Nonlinear Mixed-Effect Pharmacokinetic Modeling and Distribution of Doxycycline in Healthy Female Donkeys after Multiple Intragastric Dosing–Preliminary Investigation
Abstract
:Simple Summary
Abstract
1. Introduction
2. Materials and Methods
2.1. Animals
2.2. Experimental Design and Sample Collection
2.3. Measure of DXC
2.4. Pharmacokinetic Analysis in Serum
2.4.1. Non-Linear Mixed Effect Model Building and Evaluation
2.4.2. Estimation of Parameter Correlation
3. Results
3.1. Serum
3.1.1. Pharmacokinetic Model Evaluation
3.1.2. Estimation of Parameters and Model Evaluation
3.2. Urine
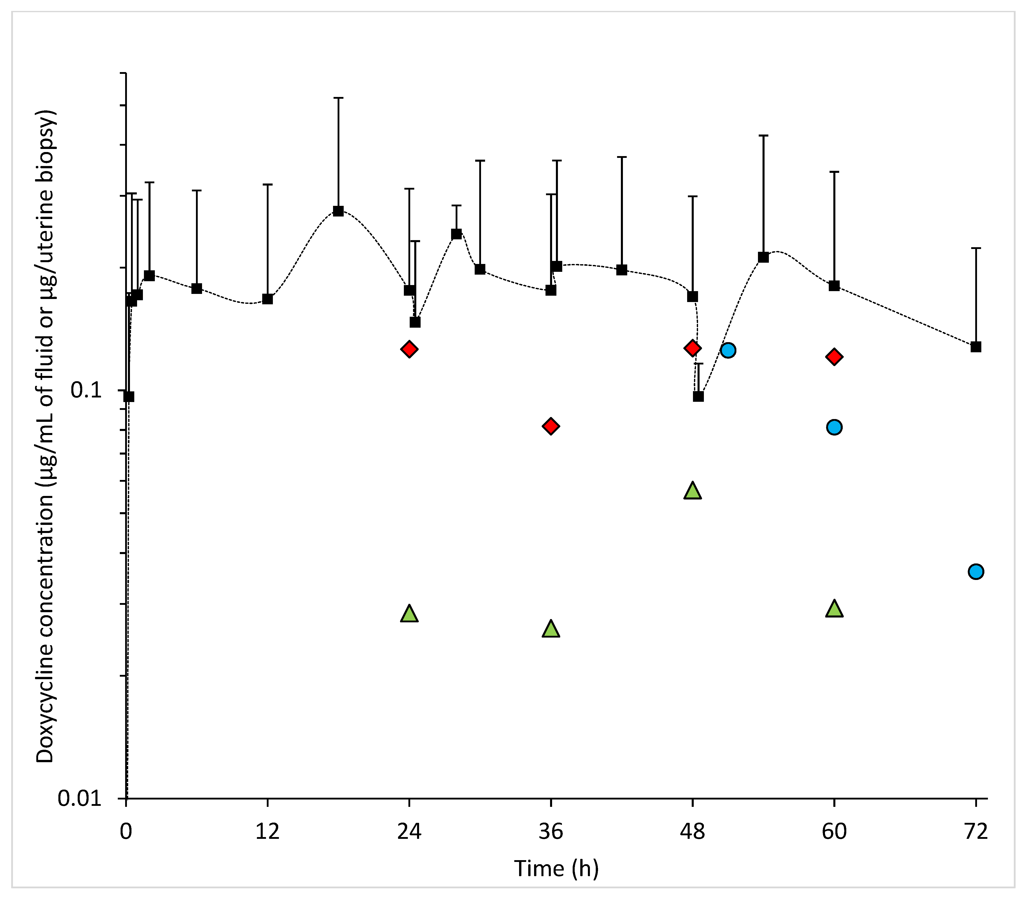
3.3. Synovial Fluid
3.4. Endometrium
4. Discussion
5. Conclusions
Supplementary Materials
Author Contributions
Funding
Institutional Review Board Statement
Data Availability Statement
Acknowledgments
Conflicts of Interest
References
- Mendoza, F.J.; Toribio, R.E.; Perez-Ecija, A. Donkey internal medicine—part I: Metabolic, endocrine, and alimentary tract disturbances. J. Equine Vet. Sci. 2018, 65, 66–74. [Google Scholar] [CrossRef]
- Faye, B.; Konuspayeva, G. The sustainability challenge to the dairy sector—The growing importance of non-cattle milk production worldwide. Int. Dairy J. 2012, 24, 50–56. [Google Scholar] [CrossRef]
- Jirillo, F.; Jirillo, E.; Magrone, T. Donkey’s and goat’s milk consumption and benefits to human health with special reference to the inflammatory status. Curr. Pharm. Des. 2010, 16, 859–863. [Google Scholar] [CrossRef]
- Mendoza, F.J.; Perez-Ecija, A.; Toribio, R.E. Clinical pharmacology in donkeys and mules. Vet. Clin. Equine Pract. 2019, 35, 589–606. [Google Scholar] [CrossRef] [PubMed]
- Lavy, E.; Ziv, G.; Glickman, A. Intravenous disposition kinetics, oral and intramuscular bioavailability and urinary excretion of norfloxacin nicotinate in donkeys. J. Vet. Pharmacol. Ther. 1995, 18, 101–107. [Google Scholar] [CrossRef] [PubMed]
- WHO. Critically Important Antimicrobials for Human Medicine, 6th ed.; World Health Organization: Geneva, Switzerland, 2019. [Google Scholar]
- Lees, P.; Svendsen, O.; Wiuff, C. Strategies to minimize the impact of antimicrobial treatment on the selection of resistant bacteria. In Guide to Antimicrobial Use in Animals; Guardabassi, L., Jensen, L.B., Kruse, H., Eds.; Blackwell Publishing Ltd.: Oxford, UK, 2009; pp. 77–101. [Google Scholar]
- Baker, A.; Plummer, C.E.; Szabo, N.J.; Barrie, K.P.; Brooks, D.E. Doxycycline levels in preocular tear film of horses following oral administration. Vet. Ophthalmol. 2008, 11, 381–385. [Google Scholar] [CrossRef]
- Bryant, J.E.; Brown, M.P.; Gronwall, R.R.; Merritt, K.A. Study of intragastric administration of doxycycline: Pharmacokinetics including body fluid, endometrial and minimum inhibitory concentrations. Equine Vet. J. 2000, 32, 233–238. [Google Scholar] [CrossRef] [PubMed]
- Davis, J.L.; Salmon, J.H.; Papich, M.G. Pharmacokinetics and tissue distribution of doxycycline after oral administration of single and multiple doses in horses. Am. J. Vet. Res. 2006, 67, 310–316. [Google Scholar] [CrossRef]
- Gilmour, M.A.; Clarke, C.R.; Macallister, C.G.; Dedeo, J.M.; Caudell, D.L.; Morton, R.J.; Pugh, M. Ocular penetration of oral doxycycline in the horse. Vet. Ophthalmol. 2005, 8, 331–335. [Google Scholar] [CrossRef]
- Schnabel, L.V.; Papich, M.G.; Watts, A.E.; Fortier, L.A. Orally administered doxycycline accumulates in synovial fluid compared to plasma. Equine Vet. J. 2010, 42, 208–212. [Google Scholar] [CrossRef]
- Winther, L.; Honore Hansen, S.; Baptiste, K.E.; Friis, C. Antimicrobial disposition in pulmonary epithelial lining fluid of horses, part II. Doxycycline. J. Vet. Pharm. 2011, 34, 285–289. [Google Scholar] [CrossRef]
- Zozaya, H.; Gutierrez, L.; Bernad, M.J.; Sumano, H. Pharmacokinetics of a peroral single dose of two long-acting formulations and an aqueous formulation of doxycycline hyclate in horses. Acta Vet. Scand. 2013, 55, 21. [Google Scholar] [CrossRef] [Green Version]
- Cypher, E.E.; Kendall, A.T.; Panizzi, L.; Stewart, A.J.; Taylor, S.L.; Bodaan, C.J.; Riley, C.B.; Gordon, S.J.; Whitfield, L.K. Medical and surgical management of an intra-abdominal abscess of hepatic origin in a horse. J. Am. Vet. Med. Assoc. 2015, 247, 98–105. [Google Scholar] [CrossRef] [PubMed]
- Saqib, M.; Muhammad, G.; Naureen, A.; Hussain, M.H.; Asi, M.N.; Mansoor, M.K.; Toufeer, M.; Khan, I.; Neubauer, H.; Sprague, L.D. Effectiveness of an antimicrobial treatment scheme in a confined glanders outbreak. BMC Vet. Res. 2012, 8, 214. [Google Scholar] [CrossRef] [Green Version]
- Divers, T.J.; Gardner, R.B.; Madigan, J.E.; Witonsky, S.G.; Bertone, J.J.; Swinebroad, E.L.; Schutzer, S.E.; Johnson, A.L. Borrelia burgdorferi Infection and Lyme Disease in North American Horses: A Consensus Statement. J. Vet. Intern. Med. 2018, 32, 617–632. [Google Scholar] [CrossRef] [Green Version]
- Dutra, F.; Schuch, L.F.D.; Delucchi, E.; Curcio, B.R.; Coimbra, H.; Raffi, M.B.; Dellagostin, O.; Riet-Correa, F. Equine monocytic Ehrlichiosis (Potomac horse fever) in horses in Uruguay and southern Brazil. J. Vet. Diagn. Investig. 2001, 13, 433–437. [Google Scholar] [CrossRef]
- Giudice, E.; Giannetto, C.; Furco, V.; Alongi, A.; Torina, A. Anaplasma phagocytophilum seroprevalence in equids: A survey in Sicily (Italy). Parasitol. Res. 2012, 111, 951–955. [Google Scholar] [CrossRef]
- Rickards, K.J.; Thiemann, A.K. Respiratory disorders of the donkey. Vet. Clin. Equine Pract. 2019, 35, 561–573. [Google Scholar] [CrossRef]
- Mendoza, F.J.; Toribio, R.E.; Perez-Ecija, A. Donkey internal medicine—Part II: Cardiovascular, respiratory, neurologic, urinary, ophthalmic, dermatology, and musculoskeletal disorders. J. Equine Vet. Sci. 2018, 65, 86–97. [Google Scholar] [CrossRef]
- Ferreira, C.F.; Babu, J.; Hamlekhan, A.; Patel, S.; Shokuhfar, T. Efficiency of nanotube surface-treated dental implants loaded with doxycycline on growth reduction of porphyromonas gingivalis. Int. J. Oral Maxillofac. Implant. 2017, 32, 322–328. [Google Scholar] [CrossRef] [Green Version]
- Michilena, J.M.; Beltrán, P.A.; Miño, L.M.; Velástegui, J.N.; Ortiz, I.Y.; Estrella, J.V. Presencia de residuos de doxiciclina en carne bovina procedente del matadero del gobierno autónomo descentralizado del cantón mejía, Ecuador. Ecuad. Es Calid. Rev. Científica Ecuat. 2020, 7. [Google Scholar] [CrossRef]
- Wang, J.; Schneider, B.K.; Sun, P.; Gong, X.; Qiu, J.; Li, J.; Seo, Y.J.; Mochel, J.P.; Cao, X. Nonlinear mixed-effects pharmacokinetic modeling of the novel COX-2 selective inhibitor vitacoxib in dogs. J. Vet. Pharmacol. Ther. 2019, 42, 530–540. [Google Scholar] [CrossRef]
- Wang, J.; Schneider, B.K.; Xue, J.; Sun, P.; Qiu, J.; Mochel, J.P.; Cao, X. Pharmacokinetic modeling of ceftiofur sodium using nonlinear mixed-effects in healthy beagle dogs. Front. Vet. Sci. 2019, 6, 363. [Google Scholar] [CrossRef] [PubMed] [Green Version]
- Mould, D.; Upton, R.N. Basic concepts in population modeling, simulation, and model-based drug development—Part 2: Introduction to pharmacokinetic modeling methods. CPT Pharmacomet. Syst. Pharmacol. 2013, 2, 1–14. [Google Scholar] [CrossRef] [PubMed]
- Pelligand, L.; Soubret, A.; King, J.; Elliott, J.; Mochel, J. Modeling of large pharmacokinetic data using nonlinear mixed-effects: A paradigm shift in veterinary pharmacology. A case study with robenacoxib in cats. CPT Pharmacomet. Syst. Pharmacol. 2016, 5, 625–635. [Google Scholar] [CrossRef] [Green Version]
- Lavielle, M.; Ribba, B. Enhanced method for diagnosing pharmacometric models: Random sampling from conditional distributions. Pharm. Res. 2016, 33, 2979–2988. [Google Scholar] [CrossRef] [Green Version]
- Nguyen, T.T.; Bazzoli, C.; Mentré, F. Design evaluation and optimisation in crossover pharmacokinetic studies analysed by nonlinear mixed effects models. Stat. Med. 2012, 31, 1043–1058. [Google Scholar] [CrossRef] [PubMed] [Green Version]
- Bon, C.; Toutain, P.; Concordet, D.; Gehring, R.; Martin-Jimenez, T.; Smith, J.; Pelligand, L.; Martinez, M.; Whittem, T.; Riviere, J. Mathematical modeling and simulation in animal health. Part III: Using nonlinear mixed-effects to characterize and quantify variability in drug pharmacokinetics. J. Vet. Pharmacol. Ther. 2018, 41, 171–183. [Google Scholar] [CrossRef] [Green Version]
- Riviere, J.E.; Papich, M.G. Veterinary Pharmacology and Therapeutics, 10th ed.; John Wiley & Sons: Hoboken, NJ, USA, 2018. [Google Scholar]
- Lizarraga, I.; Sumano, H.; Brumbaugh, G. Pharmacological and pharmacokinetic differences between donkeys and horses. Equine Vet. Educ. 2004, 16, 102–112. [Google Scholar] [CrossRef]
- Shibany, K.A.; Pratt, S.L.; Aldurdunji, M.; Totemeyer, S.; Paine, S.W. Prediction of pharmacokinetic clearance and potential Drug-Drug interactions for omeprazole in the horse using in vitro systems. Xenobiotica 2020, 50, 1220–1227. [Google Scholar] [CrossRef]
- Chapuis, R.J.; Smith, J.S.; Uehlinger, F.D.; Meachem, M.; Johnson, R.; Dowling, P.M. Pharmacokinetics and pharmacodynamics of doxycycline in a Streptococcus eq ui subsp. zooepidemicus infection model in horses. J. Vet. Pharmacol. Ther. 2021. [Google Scholar] [CrossRef]
- Riond, J.L.; Riviere, J.E.; Duckett, W.M.; Atkins, C.E.; Jernigan, A.D.; Rikihisa, Y.; Spurlock, S.L. Cardiovascular effects and fatalities associated with intravenous administration of doxycycline to horses and ponies. Equine Vet. J. 1992, 24, 41–45. [Google Scholar] [CrossRef]
- Riond, J.; Riviere, J. Allometric analysis of doxycycline pharmacokinetic parameters. J. Vet. Pharmacol. Ther. 1990, 13, 404–407. [Google Scholar] [CrossRef] [PubMed]
- Ensink, J.; Van Klingeren, B.; Houwers, D.; Klein, W.; Vulto, A. In-vitro susceptibility to antimicrobial drugs of bacterial isolates from horses in The Netherlands. Equine Vet. J. 1993, 25, 309–313. [Google Scholar] [CrossRef] [PubMed]
- Clark, C.; Greenwood, S.; Boison, J.O.; Chirino-Trejo, M.; Dowling, P.M. Bacterial isolates from equine infections in western Canada (1998–2003). Can. Vet. J. 2008, 49, 153. [Google Scholar] [PubMed]
- Anzai, T.; Walker, J.A.; Blair, M.B.; Chambers, T.M.; Timoney, J.F. Comparison of the phenotypes of Streptococcus zooepidemicus isolated from tonsils of healthy horses and specimens obtained from foals and donkeys with pneumonia. Am. J. Vet. Res. 2000, 61, 162–166. [Google Scholar] [CrossRef]
- Prats, C.; El Korchi, G.; Giralt, M.; Cristofol, C.; Pena, J.; Zorrilla, I.; Saborit, J.; Pérez, B. PK and PK/PD of doxycycline in drinking water after therapeutic use in pigs. J. Vet. Pharmacol. Ther. 2005, 28, 525–530. [Google Scholar] [CrossRef]
- Cunha, B.A.; Domenico, P.; Cunha, C.B. Pharmacodynamics of doxycycline. Clin. Microbiol. Infect. 2000, 6, 270–273. [Google Scholar] [CrossRef] [Green Version]
- Toutain, P.L.; Pelligand, L.; Lees, P.; Bousquet-Mélou, A.; Ferran, A.A.; Turnidge, J.D. The pharmacokinetic/pharmacodynamic paradigm for antimicrobial drugs in veterinary medicine: Recent advances and critical appraisal. J. Vet. Pharmacol. Ther. 2020. [Google Scholar] [CrossRef]
- Mouton, J.W.; Dudley, M.N.; Cars, O.; Derendorf, H.; Drusano, G.L. Standardization of pharmacokinetic/pharmacodynamic (PK/PD) terminology for anti-infective drugs: An update. J. Antimicrob. Chemother. 2005, 55, 601–607. [Google Scholar] [CrossRef] [Green Version]
- Barza, M. The effects of protein-binding on distribution of antibiotics and the problem of continuous versus intermittent infusions. Infection 1976, 4, S144–S148. [Google Scholar] [CrossRef]
- Toutain, P.L.; Lees, P. Integration and modelling of pharmacokinetic and pharmacodynamic data to optimize dosage regimens in veterinary medicine. J. Vet. Pharm. 2004, 27, 467–477. [Google Scholar] [CrossRef]
- Smith, J.S.; Marmulak, T.L.; Angelos, J.A.; Lin, Z.; Rowe, J.D.; Carlson, J.L.; Shelver, W.L.; Lee, E.A.; Tell, L.A. Pharmacokinetic parameters and estimated milk withdrawal intervals for domestic goats (Capra aegagrus hircus) after administration of single and multiple intravenous and subcutaneous doses of flunixin meglumine. Front. Vet. Sci. 2020, 7. [Google Scholar] [CrossRef] [PubMed]
- Shelver, W.L.; Tell, L.A.; Wagner, S.; Wetzlich, S.E.; Baynes, R.E.; Riviere, J.E.; Smith, D.J. Comparison of ELISA and LC–MS/MS for the measurement of flunixin plasma concentrations in beef cattle after intravenous and subcutaneous administration. J. Agric. Food Chem. 2013, 61, 2679–2686. [Google Scholar] [CrossRef] [PubMed]
- Jiang, X.-F.; Zhu, Y.-H.; Liu, X.-Y. Identification of ractopamine glucuronides and determination of bioactive ractopamine residues and its metabolites in food animal urine by ELISA, LC-MS/MS and GC-MS. Food Addit. Contam. Part A 2014, 31, 29–38. [Google Scholar] [CrossRef]
- Chughtai, M.I.; Maqbool, U.; Iqbal, M.; Shah, M.S.; Fodey, T. Development of in-house ELISA for detection of chloramphenicol in bovine milk with subsequent confirmatory analysis by LC-MS/MS. J. Environ. Sci. Health Part B 2017, 52, 871–879. [Google Scholar] [CrossRef] [PubMed]
- Smith, J.; Coetzee, J.F.; Fisher, I.W.; Borts, D.J.; Mochel, J.P. Pharmacokinetics of fentanyl citrate and norfentanyl in Holstein calves and effect of analytical performances on fentanyl parameter estimation. J. Vet. Pharmacol. Ther. 2018, 41, 555–561. [Google Scholar] [CrossRef] [PubMed] [Green Version]







| Parameters | Unit | Point Estimate | Relative Standard Error % |
|---|---|---|---|
| Ka pop. | h−1 | 10.3 | 45.3 |
| Vz/F pop. | L/kg | 108 | 24.4 |
| Kel pop. | h−1 | 0.0253 | 9.82 |
| Parameters | Minimum | Quartile Q1 | Median | Quartile Q3 | Maximum |
|---|---|---|---|---|---|
| Ka | 0.102 | 1.89 | 20.4 | 60 | 171 |
| Vz/F | 20.9 | 62.5 | 115 | 204 | 311 |
| Kel | 0.0253 | 0.0253 | 0.0253 | 0.0253 | 0.0253 |
Publisher’s Note: MDPI stays neutral with regard to jurisdictional claims in published maps and institutional affiliations. |
© 2021 by the authors. Licensee MDPI, Basel, Switzerland. This article is an open access article distributed under the terms and conditions of the Creative Commons Attribution (CC BY) license (https://creativecommons.org/licenses/by/4.0/).
Share and Cite
Chapuis, R.J.J.; Smith, J.S.; French, H.M.; Toka, F.N.; Peterson, E.W.; Little, E.L. Nonlinear Mixed-Effect Pharmacokinetic Modeling and Distribution of Doxycycline in Healthy Female Donkeys after Multiple Intragastric Dosing–Preliminary Investigation. Animals 2021, 11, 2047. https://doi.org/10.3390/ani11072047
Chapuis RJJ, Smith JS, French HM, Toka FN, Peterson EW, Little EL. Nonlinear Mixed-Effect Pharmacokinetic Modeling and Distribution of Doxycycline in Healthy Female Donkeys after Multiple Intragastric Dosing–Preliminary Investigation. Animals. 2021; 11(7):2047. https://doi.org/10.3390/ani11072047
Chicago/Turabian StyleChapuis, Ronan J. J., Joe S. Smith, Hilari M. French, Felix Ngosa Toka, Erik W. Peterson, and Erika L. Little. 2021. "Nonlinear Mixed-Effect Pharmacokinetic Modeling and Distribution of Doxycycline in Healthy Female Donkeys after Multiple Intragastric Dosing–Preliminary Investigation" Animals 11, no. 7: 2047. https://doi.org/10.3390/ani11072047
APA StyleChapuis, R. J. J., Smith, J. S., French, H. M., Toka, F. N., Peterson, E. W., & Little, E. L. (2021). Nonlinear Mixed-Effect Pharmacokinetic Modeling and Distribution of Doxycycline in Healthy Female Donkeys after Multiple Intragastric Dosing–Preliminary Investigation. Animals, 11(7), 2047. https://doi.org/10.3390/ani11072047

