Environmental Salinity Modifies Mucus Exudation and Energy Use in European Sea Bass Juveniles
Abstract
Simple Summary
Abstract
1. Introduction
2. Materials and Methods
2.1. The Animals and Experimental Procedures
2.2. Metabolite Biomarkers and Cortisol Levels in Mucus and Plasma
2.3. Osmolality and Ion Quantification of Plasma and Skin Mucus
2.4. Mucus Exudation Values
2.5. Gill Na+/K+-ATPase Activity
2.6. Gill Histology and Histological Analysis
2.7. Statistical Analyses
3. Results
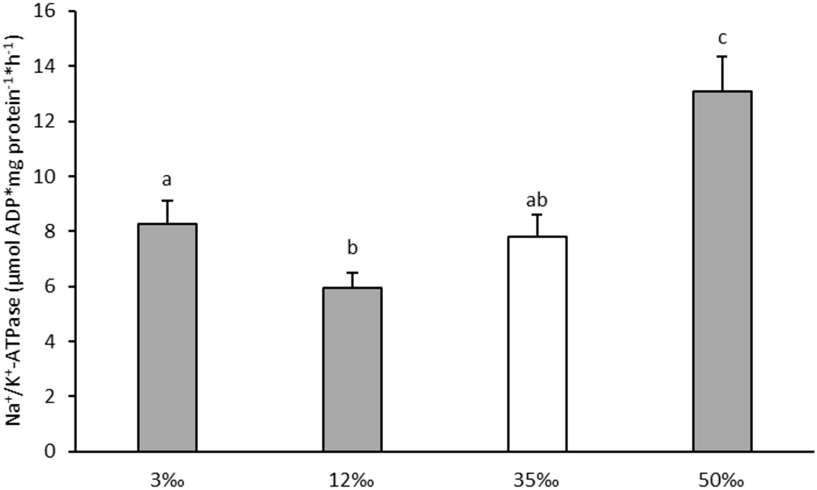
3.1. Gill Na+/K+-ATPase Activity and Gill Mucous Cells
3.2. Mucus Exudation Parameters
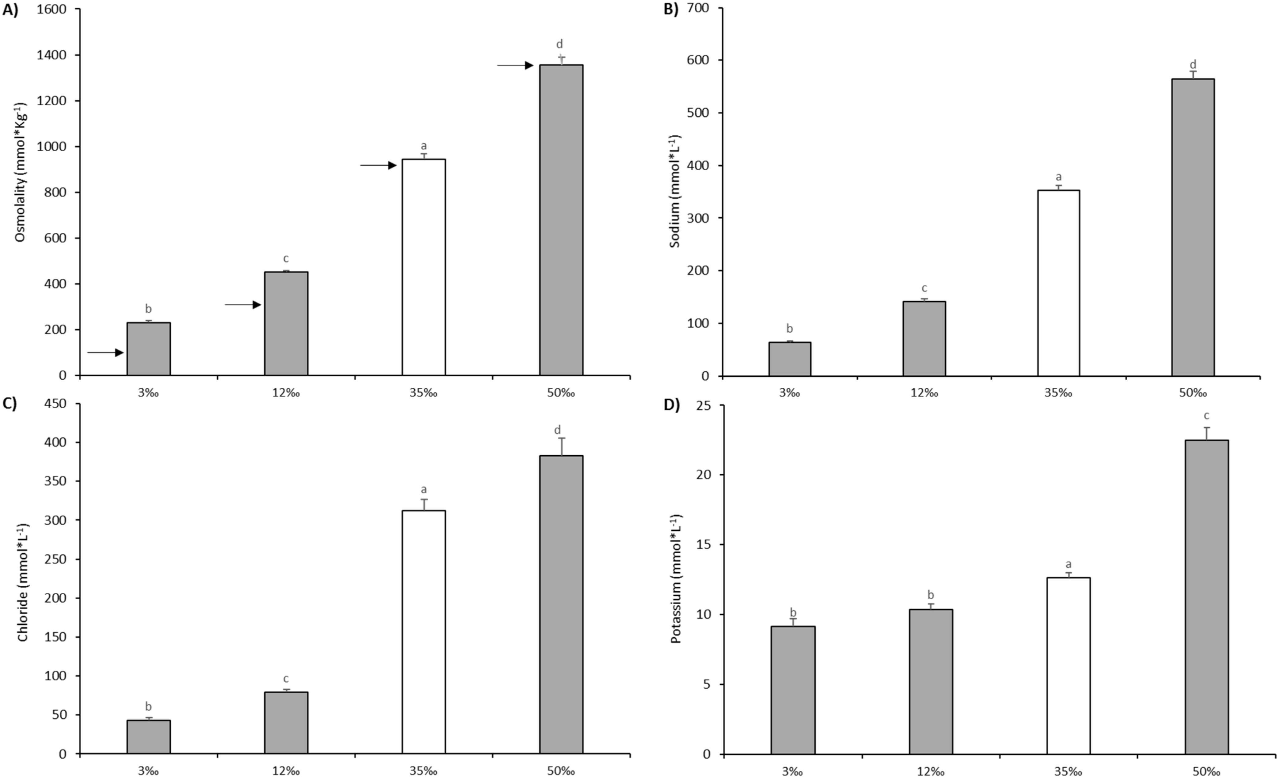
3.3. Plasma and Mucus Osmoregulation
3.4. Physiological Biomarkers in Mucus and Plasma
3.5. Energy Expenditure by Mucus Exudation
4. Discussion
4.1. Plasma Changes, Gill Activity and Stress Impacts of Osmoregulatory Responses
4.2. Gill Mucus Cells and Skin Mucus Changes in Response to Salinity
4.3. Energy Waste by Mucus Exudation
5. Conclusions
Author Contributions
Funding
Institutional Review Board Statement
Data Availability Statement
Acknowledgments
Conflicts of Interest
References
- Varsamos, S.; Connes, R.; Diaz, J.P.; Barnabé, G.; Charmantier, G. Ontogeny of osmoregulation in the European sea bass Dicentrarchus labrax L. Mar. Biol. 2001, 138, 909–915. [Google Scholar] [CrossRef]
- Varsamos, S. Tolerance range and osmoregulation in hypersaline conditions in the European sea bass (Dicentrarchus labrax). J. Mar. Biol. Assoc. UK 2002, 82, 1047–1048. [Google Scholar] [CrossRef]
- Varsamos, S.; Wendelaar Bonga, S.E.; Charmantier, G.; Flik, G. Drinking and Na+/K+ ATPase activity during early development of European sea bass, Dicentrarchus labrax: Ontogeny and short-term regulation following acute salinity changes. J. Exp. Mar. Biol. Ecol. 2004, 311, 189–200. [Google Scholar] [CrossRef]
- Vasconcelos, R.P.; Reis-Santos, P.; Costa, M.J.; Cabral, H.N. Connectivity between estuaries and marine environment: Integrating metrics to assess estuarine nursery function. Ecol. Indic. 2011, 11, 1123–1133. [Google Scholar] [CrossRef]
- Dendrinos, P.; Thorpe, J.P. Effects of reduced salinity on growth and body composition in the European bass Dicentrarchus labrax (L.). Aquaculture 1985, 49, 333–358. [Google Scholar] [CrossRef]
- Eroldoǧan, O.T.; Kumlu, M. Growth performance, body traits and fillet composition of the European sea bass (Dicentrarchus labrax) reared in various salinities and fresh water. Turkish J. Vet. Anim. Sci. 2002, 26, 993–1001. [Google Scholar]
- Jensen, M.K.; Madsen, S.S.; Kristiansen, R. Osmoregulation and salinity effects on the expression and activity of Na+,K+-ATPase in the gills of European sea bass, Dicentrarchus labrax (L.). J. Exp. Zool. 1998, 282, 290–300. [Google Scholar] [CrossRef]
- Sangiao-Alvarellos, S.; Laiz-Carrión, R.; Guzmán, J.M.; Martín del Río, M.P.; Miguez, J.M.; Mancera, J.M.; Soengas, J.L. Acclimation of S. aurata to various salinities alters energy metabolism of osmoregulatory and nonosmoregulatory organs. Am. J. Physiol. Regul. Integr. Comp. Physiol. 2003, 285, 897–907. [Google Scholar] [CrossRef] [PubMed]
- Sangiao-Alvarellos, S.; Arjona, F.J.; Martín Del Río, M.P.; Míguez, J.M.; Mancera, J.M.; Soengas, J.L. Time course of osmoregulatory and metabolic changes during osmotic acclimation in Sparus auratus. J. Exp. Biol. 2005, 208, 4291–4304. [Google Scholar] [CrossRef] [PubMed]
- Laiz-Carrión, R.; Martín Del Río, M.P.; Miguez, J.M.; Mangera, J.M.; Soengas, J.L. Influence of Cortisol on Osmoregulation and Energy Metabolism in Gilthead Seabream Sparus aurata. J. Exp. Zool. Part A Comp. Exp. Biol. 2003, 298, 105–118. [Google Scholar] [CrossRef] [PubMed]
- Laiz-Carrión, R.; Guerreiro, P.M.; Fuentes, J.; Canario, A.V.M.; Martín Del Río, M.P.; Mancera, J.M. Branchial osmoregulatory response to salinity in the gilthead sea bream, Sparus auratus. J. Exp. Zool. Part A Comp. Exp. Biol. 2005, 303, 563–576. [Google Scholar] [CrossRef]
- Laiz-Carrión, R.; Sangiao-Alvarellos, S.; Guzmán, J.M.; Martín Del Río, M.P.; Soengas, J.L.; Mancera, J.M. Growth performance of gilthead sea bream Sparus aurata in different osmotic conditions: Implications for osmoregulation and energy metabolism. Aquaculture 2005, 250, 849–861. [Google Scholar] [CrossRef]
- Mylonas, C.C.; Pavlidis, M.; Papandroulakis, N.; Zaiss, M.M.; Tsafarakis, D.; Papadakis, I.E.; Varsamos, S. Growth performance and osmoregulation in the shi drum (Umbrina cirrosa) adapted to different environmental salinities. Aquaculture 2009, 287, 203–210. [Google Scholar] [CrossRef]
- Vargas-Chacoff, L.; Calvo, Á.; Ruiz-Jarabo, I.; Villarroel, F.; Muñoz, J.L.; Tinoco, A.B.; Cárdenas, S.; Mancera, J.M. Growth performance, osmoregulatory and metabolic modifications in red porgy fry, Pagrus pagrus, under different environmental salinities and stocking densities. Aquac. Res. 2011, 42, 1269–1278. [Google Scholar] [CrossRef]
- Laiz-Carrión, R.; Sangiao-Alvarellos, S.; Guzmán, J.M.; Martín del Río, M.P.; Míguez, J.M.; Soengas, J.L.; Mancera, J.M. Energy metabolism in fish tissues related to osmoregulation and cortisol action. Fish Physiol. Biochem. 2002, 27, 179–188. [Google Scholar] [CrossRef]
- Masroor, W.; Farcy, E.; Gros, R.; Lorin-Nebel, C. Effect of combined stress (salinity and temperature) in European sea bass Dicentrarchus labrax osmoregulatory processes. Comp. Biochem. Physiol. Part A Mol. Integr. Physiol. 2018, 215, 45–54. [Google Scholar] [CrossRef]
- McCormick, S.D. Fluorescent labelling of Na+,K+-ATPase in intact cells by use of a fluorescent derivative of ouabain: Salinity and teleost chloride cells. Cell Tissue Res. 1990, 260, 529–533. [Google Scholar] [CrossRef] [PubMed]
- McCormick, S.D.; Björnsson, B.T.; Sheridan, M.; Eilerlson, C.; Carey, J.B.; O’Dea, M. Increased daylength stimulates plasma growth hormone and gill Na+, K+-ATPase in Atlantic salmon (Salmo salar). J. Comp. Physiol. B 1995, 165, 245–254. [Google Scholar] [CrossRef]
- Madsen, S.S.; Jensen, M.K.; Nohr, J.; Kristiansen, K. Expression of Na+-K+-ATPase in the brown trout, Salmo trutta: In vivo modulation by hormones and seawater. Am. J. Physiol. Regul. Integr. Comp. Physiol. 1995, 269. [Google Scholar] [CrossRef] [PubMed]
- Seidelin, M.; Madsen, S.S. Prolactin Antagonizes the Seawater-Adaptive Effect of Cortisol and Growth Hormone in Anadromous Brown Trout (Salmo trutta). Zoolog. Sci. 1997, 14, 249–256. [Google Scholar] [CrossRef]
- Morgan, J.D.; Iwama, G.K. Cortisol-induced changes in oxygen consumption and ionic regulation in coastal cutthroat trout (Oncorhynchus clarki clarki) parr. Fish Physiol. Biochem. 1996, 15, 385–394. [Google Scholar] [CrossRef]
- Morgan, J.D.; Sakamoto, T.; Grau, E.G.; Iwama, G.K. Physiological and respiratory responses of the Mozambique tilapia (Oreochromis mossambicus) to salinity acclimation. Comp. Biochem. Physiol. A Physiol. 1997, 117, 391–398. [Google Scholar] [CrossRef]
- Fernández-Alacid, L.; Sanahuja, I.; Ordóñez-Grande, B.; Sánchez-Nuño, S.; Viscor, G.; Gisbert, E.; Herrera, M.; Ibarz, A. Skin mucus metabolites in response to physiological challenges: A valuable non-invasive method to study teleost marine species. Sci. Total Environ. 2018, 644, 1323–1335. [Google Scholar] [CrossRef]
- Fernández-Alacid, L.; Sanahuja, I.; Ordóñez-Grande, B.; Sánchez-Nuño, S.; Herrera, M.; Ibarz, A. Skin mucus metabolites and cortisol in meagre fed acute stress-attenuating diets: Correlations between plasma and mucus. Aquaculture 2019, 499, 185–194. [Google Scholar] [CrossRef]
- Fernández-Alacid, L.; Sanahuja, I.; Ordóñez-Grande, B.; Sánchez-Nuño, S.; Herrera, M.; Ibarz, A. Comparison between properties of dorsal and ventral skin mucus in Senegalese sole: Response to an acute stress. Aquaculture 2019, 513, 734410. [Google Scholar] [CrossRef]
- Sanahuja, I.; Fernández-Alacid, L.; Sánchez-Nuño, S.; Ordóñez-Grande, B.; Ibarz, A. Chronic cold stress alters the skin mucus interactome in a temperate fish model. Front. Physiol. 2019, 9, 1916. [Google Scholar] [CrossRef] [PubMed]
- Ordóñez-Grande, B.; Guerreiro, P.M.; Sanahuja, I.; Fernández-Alacid, L.; Ibarz, A. Evaluation of an acute osmotic stress in European sea bass via skin mucus biomarkers. Animals 2020, 10, 1546. [Google Scholar] [CrossRef] [PubMed]
- Blackstock, N.; Pickering, A.D. Changes in the concentration and histochemistry of epidermal mucous cells during the alevin and fry stages of the Brown trout Salmo trutta. J. Zool. 1982, 197, 463–471. [Google Scholar] [CrossRef]
- Zaccone, G.; Cascio, P.L.; Fasulo, S.; Licata, A. The effect of an anionic detergent on complex carbohydrates and enzyme activities in the epidermis of the catfish Heteropneustes fossilis (Bloch). Histochem. J. 1985, 17, 453–466. [Google Scholar] [CrossRef]
- Benhamed, S.; Guardiola, F.A.; Mars, M.; Esteban, M.Á. Pathogen bacteria adhesion to skin mucus of fishes. Vet. Microbiol. 2014, 171, 1–12. [Google Scholar] [CrossRef]
- Sanahuja, I.; Fernández-Alacid, L.; Ordóñez-Grande, B.; Sánchez-Nuño, S.; Ramos, A.; Araujo, R.M.; Ibarz, A. Comparison of several non-specific skin mucus immune defences in three piscine species of aquaculture interest. Fish Shellfish Immunol. 2019, 89, 428–436. [Google Scholar] [CrossRef] [PubMed]
- Herrera, M.; Fernández-Alacid, L.; Sanahuja, I.; Ibarz, A.; Salamanca, N.; Morales, E.; Giráldez, I. Physiological and metabolic effects of a tryptophan-enriched diet to face up chronic stress in meagre (Argyrosomus regius). Aquaculture 2020, 522. [Google Scholar] [CrossRef]
- Cordero, H.; Brinchmann, M.F.; Cuesta, A.; Meseguer, J.; Esteban, M.A. Skin mucus proteome map of European sea bass (Dicentrarchus labrax). Proteomics 2015, 15, 4007–4020. [Google Scholar] [CrossRef] [PubMed]
- Patel, D.M.; Brinchmann, M.F. Skin mucus proteins of lumpsucker (Cyclopterus lumpus). Biochem. Biophys. Rep. 2017, 9, 217–225. [Google Scholar] [CrossRef]
- Pérez-Sánchez, J.; Terova, G.; Simó-Mirabet, P.; Rimoldi, S.; Folkedal, O.; Calduch-Giner, J.A.; Olsen, R.E.; Sitjà-Bobadilla, A. Skin mucus of gilthead sea bream (Sparus aurata L.). protein mapping and regulation in chronically stressed fish. Front. Physiol. 2017, 8, 34. [Google Scholar] [CrossRef] [PubMed]
- Rajan, B.; Fernandes, J.M.O.; Caipang, C.M.A.; Kiron, V.; Rombout, J.H.W.M.; Brinchmann, M.F. Proteome reference map of the skin mucus of Atlantic cod (Gadus morhua) revealing immune competent molecules. Fish Shellfish Immunol. 2011, 31, 224–231. [Google Scholar] [CrossRef] [PubMed]
- Sanahuja, I.; Ibarz, A. Skin mucus proteome of gilthead sea bream: A non-invasive method to screen for welfare indicators. Fish Shellfish Immunol. 2015, 46, 426–435. [Google Scholar] [CrossRef]
- Guardiola, F.A.; Cuesta, A.; Esteban, M.Á. Using skin mucus to evaluate stress in gilthead seabream (Sparus aurata L.). Fish Shellfish Immunol. 2016, 59, 323–330. [Google Scholar] [CrossRef] [PubMed]
- De Mercado, E.; Larrán, A.M.; Pinedo, J.; Tomás-Almenar, C. Skin mucous: A new approach to assess stress in rainbow trout. Aquaculture 2018, 484, 90–97. [Google Scholar] [CrossRef]
- Sadoul, B.; Geffroy, B. Measuring cortisol, the major stress hormone in fishes. J. Fish Biology. 2019, 94, 540–555. [Google Scholar] [CrossRef]
- Fernández-Montero, A.; Torrecillas, S.; Tort, L.; Ginés, R.; Acosta, F.; Izquierdo, M.S.; Montero, D. Stress response and skin mucus production of greater amberjack (Seriola dumerili) under different rearing conditions. Aquaculture 2020, 520, 735005. [Google Scholar] [CrossRef]
- Reverter, M.; Tapissier-Bontemps, N.; Lecchini, D.; Banaigs, B.; Sasal, P. Biological and ecological roles of external fish mucus: A review. Fishes 2018, 3, 41. [Google Scholar] [CrossRef]
- Shephard, K.L. Functions for fish mucus. Rev. Fish Biol. Fish. 1994, 4, 401–429. [Google Scholar] [CrossRef]
- Roberts, S.D.; Powell, M.D. The viscosity and glycoprotein biochemistry of salmonid mucus varies with species, salinity and the presence of amoebic gill disease. J. Comp. Physiol. B Biochem. Syst. Environ. Physiol. 2005, 175, 1–11. [Google Scholar] [CrossRef]
- Fanouraki, E.; Papandroulakis, N.; Ellis, T.; Mylonas, C.C.; Scott, A.P.; Pavlidis, M. Water cortisol is a reliable indicator of stress in European sea bass, Dicentrarchus labrax. Behav. 2008, 145, 1267–1281. [Google Scholar] [CrossRef]
- Fanouraki, E.; Mylonas, C.C.; Papandroulakis, N.; Pavlidis, M. Species specificity in the magnitude and duration of the acute stress response in Mediterranean marine fish in culture. Gen. Comp. Endocrinol. 2011, 173, 313–322. [Google Scholar] [CrossRef] [PubMed]
- McCormick, S.D. Methods for nonlethal gill biopsy and measurement of Na+,K+-ATPase activity. Can. J. Fish. Aquat. Sci. 1993, 50, 656–658. [Google Scholar] [CrossRef]
- Bradford, M.M. A rapid and sensitive method for the quantitation of microgram quantities of protein utilizing the principle of protein-dye binding. Anal. Biochem. 1976, 72, 248–254. [Google Scholar] [CrossRef]
- Mancera, J.M.; Carrion, R.L.; del Rio, M.D.M. Osmoregulatory action of PRL, GH, and cortisol in the gilthead seabream (Sparus aurata L.). Gen. Comp. Endocrinol. 2002, 129, 95–103. [Google Scholar] [CrossRef]
- Bœuf, G.; Payan, P. How should salinity influence fish growth? Comp. Biochem. Physiol. C Toxicol. Pharmacol. 2001, 130, 411–423. [Google Scholar] [CrossRef]
- Tseng, Y.; Hwang, P. Some insights into energy metabolism for osmoregulation in fish. Comp. Biochem. Physiol. Part C Toxicol. Pharmacol. 2008, 148, 419–429. [Google Scholar] [CrossRef] [PubMed]
- Sangiao-Alvarellos, S.; Polakof, S.; Arjona, F.J.; Kleszczynska, A.; Martín del Río, M.P.; Míguez, J.M.; Soengas, J.L.; Mancera, J.M. Osmoregulatory and metabolic changes in the gilthead sea bream Sparus auratus after arginine vasotocin (AVT) treatment. General Comp. Endocri. 2006, 148, 348–358. [Google Scholar] [CrossRef]
- Sangiao-Alvarellos, S.; Polakof, S.; Arjona, F.J.; García-López, A.; Martín del Río, M.P.; Martínez-Rodríguez, G.; Míguez, J.M.; Mancera, J.M.; Soengas, J.L. Influence of testosterone administration on osmoregulation and energy metabolism of gilthead sea bream Sparus auratus. General Comp. Endocri. 2006, 149, 30–41. [Google Scholar] [CrossRef] [PubMed]
- Sangiao-Alvarellos, S.; Míguez, J.M.; Soengas, J.L. Melatonin treatment affects the osmoregulatory capacity of rainbow trout. Aquac. Res. 2007, 38, 325–330. [Google Scholar] [CrossRef]
- Polakof, S.; Arjona, F.J.; Sangiao-Alvarellos, S.; Martín del Río, M.P.; Mancera, J.M.; Soengas, J.L. Food deprivation alters osmoregulatory and metabolic responses to salinity acclimation in gilthead sea bream Sparus auratus. J. Comp. Physiol. B 2006, 176, 441–452. [Google Scholar] [CrossRef]
- Alliot, E.; Pastoureaud, A.; Thebault, H. Influence de la temperature et de la salinite sur la croissance et la comosition corporelle d’alevins de Dicentrarchus labrax. Aquaculture 1983, 31, 181–194. [Google Scholar] [CrossRef]
- Johnson, D.W.; Katavic, I. Mortality, growth and swim bladder stress syndrome of sea bass. Aquaculture 1984, 38, 67–78. [Google Scholar] [CrossRef]
- Barnabé, G.; Guissi, A. Combined Effects of Diet and Salinity on European Sea Bass Larvae Dicentrarchus labrax. J. World Aquac. Soc. 1993, 24, 439–450. [Google Scholar] [CrossRef]
- Conides, A.J.; Glamuzina, B. Laboratory simulation of the effects of environmental salinity on acclimation, feeding and growth of wild-caught juveniles of European sea bass Dicentrarchus labrax and gilthead sea bream, Sparus aurata. Aquaculture 2006, 256, 235–245. [Google Scholar] [CrossRef]
- Franklin, C.; Davison, W.; Forster, M. Evaluation of the physiological responses of quinnat and sockeye salmon to acute stressors and sampling procedures. N. Z. Nat. Sci. 1990, 17, 29–38. [Google Scholar]
- Abraham, M.; Iger, Y.; Zhang, L. Fine structure of the skin cells of a stenohaline freshwater fish Cyprinus carpio exposed to diluted seawater. Tissue Cell 2001, 33, 46–54. [Google Scholar] [CrossRef] [PubMed]
- Roberts, S.D.; Powell, M.D. Comparative ionic flux and gill mucous cell histochemistry: Effects of salinity and disease status in Atlantic salmon (Salmo salar L.). Comp. Biochem. Physiol. A Mol. Integr. Physiol. 2003, 134, 525–537. [Google Scholar] [CrossRef]
- DiMaggio, M.A.; Ohs, C.L.; Petty, B.D. Salinity tolerance of the Seminole killifish, Fundulus seminolis, a candidate species for marine baitfish aquaculture. Aquaculture 2009, 293, 74–80. [Google Scholar] [CrossRef]
- Fiúza, L.S.; Aragão, N.M.; Ribeiro Junior, H.P.; de Moraes, M.G.; Rocha, Í.R.C.B.; Lustosa Neto, A.D.; de Sousa, R.R.; Madrid, R.M.M.; de Oliveira, E.G.; Costa, F.H.F. Effects of salinity on the growth, survival, haematological parameters and osmoregulation of tambaqui Colossoma macropomum juveniles. Aquac. Res. 2015, 46, 1–9. [Google Scholar] [CrossRef]
- Burden, C.E. The failure of hypophysectomized Fundulus heteroclitus to survive in fresh water. Biol. Bull. 1956, 110, 8–28. [Google Scholar] [CrossRef]
- Ahuja, S.K. Chloride-cell and mucus cell response to chloride and sulphate-enriched media in the gills of Gambusia affinis affinis (Barid and Girard) and Catla catla (Hamilton). J. Exp. Zool. 1970, 173, 231–249. [Google Scholar] [CrossRef]
- Bonga, S.E.W. The effects of changes in external sodium, calcium, and magnesium concentrations on prolactin cells, skin, and plasma electrolytes of Gasterosteus aculeatus. Gen. Comp. Endocrinol. 1978, 34, 265–275. [Google Scholar] [CrossRef][Green Version]
- Hwang, P.P.; Sun, C.M.; Wu, S.M. Changes of plasma osmolality, chloride concentration and gill Na-K-ATPase activity in tilapia Oreochromis mossambicus during seawater acclimation. Mar. Biol. 1989, 100, 295–299. [Google Scholar] [CrossRef]
- Walker, R.L.; Wilkes, P.R.H.; Wood, C.M. The Effects of Hypersaline Exposure on Oxygen-Affinity of the Blood of the Freshwater Teleost Catostomus Commersoni. J. Exp. Biol. 1989, 142, 125–142. [Google Scholar] [CrossRef]
- Altinok, I.; Galli, S.M.; Chapman, F.A. Ionic and osmotic regulation capabilities of juvenile Gulf of Mexico sturgeon, Acipenser oxyrinchus de sotoi. Comp. Biochem. Physiol. A Mol. Integr. Physiol. 1998, 120, 609–616. [Google Scholar] [CrossRef]
- LeBreton, G.T.O.; Beamish, F.W.H. The influence of salinity on ionic concentrations and osmolarity of blood serum in lake sturgeon, Acipenser fulvescens. Environ. Biol. Fishes 1998, 52, 477–482. [Google Scholar] [CrossRef]
- Evans, D.H.; Piermarini, P.M.; Potts, W.T.W. Ionic transport in the fish gill epithelium. J. Exp. Zool. 1999, 283, 641–652. [Google Scholar] [CrossRef]
- Greenwell, M.G.; Sherrill, J.; Clayton, L.A. Osmoregulation in fish mechanisms and clinical implications. Vet. Clin. North Am. Exot. Anim. Pract. 2003, 6, 169–189. [Google Scholar] [CrossRef]
- Holmes, W.N.; Donaldson, E.M. The body compartments and the distribution of electrolytes. Fish Physiol. 1969, 1, 1–89. [Google Scholar] [CrossRef]
- Madsen, S.S.; Naamansen, E.T. Plasma ionic regulation and gill Na+/K+-ATPase changes during rapid transfer to sea water of yearling rainbow trout, Salmo gairdneri: Time course and seasonal variation. J. Fish Biol. 1989, 34, 829–840. [Google Scholar] [CrossRef]
- Yoshikawa, J.S.M.; McCormick, S.D.; Young, G.; Bern, H.A. Effects of salinity on chloride cells and Na+ K+-ATPase activity in the teleost Gillchthys mirabilis. Comp. Biochem. Physiol. Part A Physiol. 1993, 105, 311–317. [Google Scholar] [CrossRef]
- McCormick, S.D. Endocrine control of osmoregulation in teleost fish. Am. Zool. 2001, 41, 781–794. [Google Scholar] [CrossRef]
- Marshall, W.S.; Lynch, E.M.; Cozzi, R.R.F. Redistribution of immunofluorescence of CFTR anion channel and NKCC cotransporter in chloride cells during adaptation of the killifish Fundulus heteroclitus to sea water. J. Exp. Biol. 2002, 205, 1265–1273. [Google Scholar] [CrossRef]
- Ellis, T.; Yildiz, H.Y.; López-Olmeda, J.; Spedicato, M.T.; Tort, L.; Øverli, Ø.; Martins, C.I.M. Cortisol and finfish welfare. Fish Physiol. Biochem. 2012, 38, 163–188. [Google Scholar] [CrossRef]
- Peres, H.; Santos, S.; Oliva-Teles, A. Selected plasma biochemistry parameters in gilthead seabream (Sparus aurata) juveniles. J. Appl. Ichthyol. 2013, 29, 630–636. [Google Scholar] [CrossRef]
- Lowe, C.J.; Davison, W. Plasma osmolarity, glucose concentration and erythrocyte responses of two Antarctic nototheniid fishes to acute and chronic thermal change. J. Fish Biol. 2005, 67, 752–766. [Google Scholar] [CrossRef]
- Schreck, C.B.; Tort, L. The concept of stress in fish. In Biology of Stress in Fish; Fish, Physiology; Schreck, C.B., Tort, L., Farrell, A.P., Brauner, C.J., Eds.; Elsevier Inc.: London, UK, 2016; Volume 35, pp. 1–34. [Google Scholar] [CrossRef]
- Martínez-Porchas, M.; Martínez-Córdova, L.R.; Ramos-Enriquez, R. Cortisol and glucose: Reliable indicators of fish stress? Pan Am. J. Aquat. Sci. 2009, 4, 158–178. [Google Scholar]
- Pankhurst, N.W. The endocrinology of stress in fish: An environmental perspective. Gen. Comp. Endocrinol. 2011, 170, 265–275. [Google Scholar] [CrossRef]
- Mancera, J.M.; McCormick, S.D. Influence of cortisol, growth hormone, insulin-like growth factor I and 3,3′,5′-triiodo-l-thyronine on hypoosmoregulatory ability in the euryhaline teleost Fundulus heteroclitus. Fish Physiol. Biochem. 1999, 21, 25–33. [Google Scholar] [CrossRef]
- McCormick, S.D. The hormonal control of osmoregulation in teleost fish. Life Sci. 2011, 1, 1466–1473. [Google Scholar] [CrossRef]
- Wendelaar Bonga, S.E. The stress response in fish. Physiol. Rev. 1997, 77, 591–625. [Google Scholar] [CrossRef] [PubMed]
- Herrera, M.; Aragão, C.; Hachero, I.; Ruiz-Jarabo, I.; Vargas-Chacoff, L.; Mancera, J.M.; Conceição, L.E.C. Physiological short-term response to sudden salinity change in the Senegalese sole (Solea senegalensis). Fish Physiol. Biochem. 2012, 38, 1741–1751. [Google Scholar] [CrossRef] [PubMed]
- Sinha, A.K.; Dasan, A.F.; Rasoloniriana, R.; Pipralia, N.; Blust, R.; De Boek, G. Hypo-osmotic stress-induced physiological and ion-osmoregulatory responses in European sea bass (Dicentrarchus labrax) are modulated differentially by nutritional status. Comp. Biochem. Physiol. Part A Mol. Integr. Physiol. 2015, 181, 87–99. [Google Scholar] [CrossRef] [PubMed]
- Mommsen, T.P. Metabolism of fish gill. Fish Physiol. 1984, 10, 203–238. [Google Scholar] [CrossRef]
- Mommsen, T.P.; Walsh, P.J.; Moon, T.W. Gluconeogenesis in hepatocytes and kidney of Atlantic salmon. Mol. Physiol. 1985, 8, 89–99. [Google Scholar]
- Soengas, J.L.; Strong, E.F.; Andrés, M.D. Glucose, lactate, and β-hydroxybutyrate utilization by rainbow trout brain: Changes during food deprivation. Physiol. Zool. 1998, 71, 285–293. [Google Scholar] [CrossRef]
- Woo, N.Y.S.; Murat, J.C. Studies on the biology of the red sea bream Chrysophrys major III. Metabolic response to starvation in different salinities. Mar. Biol. 1981, 61, 255–260. [Google Scholar] [CrossRef]
- Kelly, S.P.; Woo, N.Y.S. The response of sea bream following abrupt hyposmotic exposure. J. Fish Biol. 1999, 55, 732–750. [Google Scholar] [CrossRef]
- Laurent, P.; Perry, S.F. Environmental effects on fish gill morphology. Physiol. Biochem. Zoology 1991, 64. [Google Scholar] [CrossRef]
- Wong, M.K.S.; Tsukada, T.; Ogawa, N.; Pipil, S.; Ozaki, H.; Suzuki, Y.; Iwasaki, W.; Takei, Y. A sodium binding system alleviates acute salt stress during seawater acclimation in eels. Zool. Let. 2017, 3, 22. [Google Scholar] [CrossRef]
- Dawood, M.A.O.; Koshio, S. Physiological response, blood chemistry profile and mucus secretion of red sea bream (Pagrus major) fed diets supplemented with Lactobacillus rhamnosus under low salinity stress. Fish Physiol. Biochem. 2017, 43, 179–192. [Google Scholar] [CrossRef] [PubMed]
- Ferguson, H.W.; Morrison, D.; Ostland, V.E.; Lumsden, J.; Byrne, P. Responses of mucus-producing cells in gill disease of rainbow trout (Oncorhynchus mykiss). J. Comp. Pathol. 1992, 106, 255–265. [Google Scholar] [CrossRef]
- Kirschner, L.B. External charged layer and Na+ regulation. In Osmotic and Volume Regulation, Proceedings of the Alfred Benzon Symposium XI, Copenhagen, Denmark, 5–9 June 1977; Eds. Munksgaard: Copenhagen, Denmark, 1977. [Google Scholar]
- Verdugo, P. Hydration kinetics of exocytosed mucins in cultured secretory cells of the rabbit trachea: A new model. In Ciba Foundation Symposium 109—Mucus and Mucosa; Nugent, J., O’Connor, M., Eds.; Wiley: Hoboken, NJ, USA, 1984. [Google Scholar] [CrossRef]
- Zuchelkowski, E.M.; Pinkstaff, C.A.; Hinton, D.E. Mucosubstance histochemistry in control and acid-stressed epidermis of brown bullhead catfish, lctalurus nebulosus (LeSueur). Anat. Rec. 1985, 212, 327–335. [Google Scholar] [CrossRef] [PubMed]
- Handy, R.D. The ionic composition of rainbow trout body mucus. Comp. Biochem. Physiol. Part A Physiol. 1989, 93, 571–575. [Google Scholar] [CrossRef]
- Fast, M.D.; Sims, D.E.; Burka, J.F.; Mustafa, A.; Ross, N.W. Skin morphology and humoral non-specific defence parameters of mucus and plasma in rainbow trout, coho and Atlantic salmon. Comp. Biochem. Physiol. Part A Mol. Integr. Physiol. 2002, 132, 645–657. [Google Scholar] [CrossRef]
- Cabillon, N.A.R.; Lazado, C.C. Mucosal barrier functions of fish under changing environmental conditions. Fishes 2019, 4, 2. [Google Scholar] [CrossRef]
- Cordero, H.; Brinchmann, M.F.; Cuesta, A.; Esteban, M.A. Chronic wounds alter the proteome profile in skin mucus of farmed gilthead seabream. BMC Genom. 2017, 18, 939. [Google Scholar] [CrossRef] [PubMed]





| Parameter | 3‰ | 12‰ | 35‰ | 50‰ |
|---|---|---|---|---|
| Body weight (g) | 118.1 ± 8.5 | 126.9 ± 9.1 | 132.2 ± 7.2 | 122.7 ± 3.7 |
| Body length (cm) | 22.25 ± 0.41 | 22.75 ± 0.46 | 23.20 ± 0.47 | 22.95 ± 0.33 |
| Condition factor K | 1.06 ± 0.03 | 1.06 ± 0.02 | 1.05 ± 0.02 | 1.05 ± 0.02 |
| Parameter | 3‰ | 12‰ | 35‰ | 50‰ | ||||
|---|---|---|---|---|---|---|---|---|
| Osmolality (mOsm·Kg−1) | 322.30 ± 2.88 | b | 326.50 ± 1.47 | ab | 338.60 ± 4.5 | a | 358.40 ± 5.07 | c |
| Sodium (mmol·L−1) | 161.59 ± 1.26 | a | 160.22 ± 0.46 | a | 163.95 ± 1.56 | a | 171.97 ± 1.75 | b |
| Chloride (mmol·L−1) | 122.96 ± 8.41 | a | 129.63 ± 4.97 | a | 145.99 ± 3.82 | ab | 159.50 ± 6.33 | b |
| Potassium (mmol·L−1) | 4.43 ± 0.09 | c | 4.84 ± 0.07 | b | 5.20 ± 0.02 | a | 4.37 ± 0.07 | c |
| Mucus Biomarkers | 3‰ | 12‰ | 35‰ | 50‰ | ||||
|---|---|---|---|---|---|---|---|---|
| Soluble protein (mg/mL) | 9.44 ± 0.85 | b | 7.81 ± 0.84 | ab | 6.12 ± 0.61 | a | 10.81 ± 1.05 | b |
| Glucose (μg/mL) | 8.41 ± 0.93 | 6.78 ± 1.11 | 6.76 ± 1.16 | 8.71 ± 2.01 | ||||
| Lactate (μg/mL) | 7.94 ± 1.44 | a | 6.67 ± 1.09 | a | 6.38 ± 0.79 | a | 15.53 ± 1.82 | b |
| Cortisol (ng/mL) | 1.30 ± 0.25 | b | 0.89 ± 0.20 | ab | 0.49 ± 0.21 | a | 0.45 ± 0.16 | a |
| Plasma biomarkers | 3‰ | 12‰ | 35‰ | 50‰ | ||||
| Soluble protein (mg/mL) | 25.0 ± 1.1 | b | 23.3 ± 1.4 | ab | 15.9 ± 1.3 | a | 20.1 ± 0.3 | a |
| Glucose (mg/dL) | 147 ± 13 | 124 ± 12 | 169 ± 21 | 163 ± 20 | ||||
| Lactate (mg/dL) | 71.7 ± 7.3 | b | 52.7 ± 2.8 | b | 39.8 ± 3.1 | a | 53.7 ± 0.8 | b |
| Cortisol (ng/mL) | 225 ± 66 | ab | 289 ± 132 | ab | 467 ± 88 | a | 157 ± 51 | b |
Publisher’s Note: MDPI stays neutral with regard to jurisdictional claims in published maps and institutional affiliations. |
© 2021 by the authors. Licensee MDPI, Basel, Switzerland. This article is an open access article distributed under the terms and conditions of the Creative Commons Attribution (CC BY) license (https://creativecommons.org/licenses/by/4.0/).
Share and Cite
Ordóñez-Grande, B.; Guerreiro, P.M.; Sanahuja, I.; Fernández-Alacid, L.; Ibarz, A. Environmental Salinity Modifies Mucus Exudation and Energy Use in European Sea Bass Juveniles. Animals 2021, 11, 1580. https://doi.org/10.3390/ani11061580
Ordóñez-Grande B, Guerreiro PM, Sanahuja I, Fernández-Alacid L, Ibarz A. Environmental Salinity Modifies Mucus Exudation and Energy Use in European Sea Bass Juveniles. Animals. 2021; 11(6):1580. https://doi.org/10.3390/ani11061580
Chicago/Turabian StyleOrdóñez-Grande, Borja, Pedro M. Guerreiro, Ignasi Sanahuja, Laura Fernández-Alacid, and Antoni Ibarz. 2021. "Environmental Salinity Modifies Mucus Exudation and Energy Use in European Sea Bass Juveniles" Animals 11, no. 6: 1580. https://doi.org/10.3390/ani11061580
APA StyleOrdóñez-Grande, B., Guerreiro, P. M., Sanahuja, I., Fernández-Alacid, L., & Ibarz, A. (2021). Environmental Salinity Modifies Mucus Exudation and Energy Use in European Sea Bass Juveniles. Animals, 11(6), 1580. https://doi.org/10.3390/ani11061580

