Modeling of Heat Stress in Sows Part 2: Comparison of Various Thermal Comfort Indices
Abstract
Simple Summary
Abstract
1. Introduction
- (1)
- THI1 was developed by Thorn [9] and used as a human comfort index by the US Meteorological Administration [17]. Sales et al. [22] used the THI1 environmental index to analyze the impact of thermal environment on the reproductive performance of sows. The thresholds of THI1 were divided as follows: heat comfort zone of 61 < THI1 ≤ 65, mild heat stress of 65 < THI1 ≤ 69, and heat stress zone of 69 < THI1 ≤ 73.
- (2)
- The thermal index THI2, developed by Thom [10], was also for human comfort investigations. Later, the index was also used to determine the degree of heat stress in cattle and pigs. Mader et al. [23,24] used THI2 to analyze the heat stress in cattle, while Vashi et al. [25] used it to analyze the changes of different hormones in pigs during different seasons to determine the adaptability of pigs to the environmental changes of different seasons. Godyn et al. [26] used THI2 to study the effect of the atomization system on the microclimate of the farrowing room and the effect this had on sow welfare. The respiratory rates and rectal and skin surface temperatures of sows in different environments were analyzed. Yosuke et al. [27] also studied the effects of THI2 and maximum temperature on the farrowing rate of sows. Mellado et al. [28] used THI2 to analyze the relationship between THI2 and the reproductive performance of sows. When THI2 < 74, the pregnancy rate was 93%, and as THI2 further decreased, the pregnancy rate continued to increase. When 74 ≤ THI2 < 78, the pregnancy rate was 91.8%, and the pregnancy rate in this interval was relatively stable. When 78 ≤ THI2 < 82, the pregnancy rate was 91.4%, which was lower than before, and the pregnancy rate was relatively stable. When THI2 > 82, the pregnancy rate of sows was 89.8%. When THI2 was lower than 82, the pregnancy rate continued to decline. Therefore, according to the research of Mellado et al., THI2 can be classified into certain heat stress thresholds: THI2 < 74 indicates comfortable environment, 74 ≤ THI2 < 78 indicates mild heat stress, 78 ≤ THI2 < 82 indicates moderate heat stress, and THI2 ≥ 82 indicates severe heat stress.
- (3)
- Ingram [11] determined the weight of wet bulb temperature using THI3 according to the degree of influence of relative humidity in the air on pigs. Wang [29] analyzed the correlation between the THI3 index and the behavioral physiological response of pigs. Studies have shown that when THI3 is greater than 28, heat stress responses, such as increased body temperature, will occur.
- (4)
- Kelly et al. [12] proposed THI4 in their literature. Tummaruk et al. [30] used high temperature, high relative humidity and high THI4 to analyze the impact of the thermal environment on a sow’s litter size. Pu [31] used this index to analyze the effects of thermal environment on pig feeding behavior and pig physiological indicators. However, the thermal threshold division of this index is still unclear.
- (5)
- Maust et al. [13] used the index THI5 to analyze the effect of the comprehensive thermal environment on the performance of dairy cows during lactation. Lucas et al. [32] used THI5 to analyze the impact of the thermal environment on pigs and proposed that an evaporative cooling system could be a feasible and economical solution to the heat stress in pigs. When the index value reached 75, it indicated a heat stress level, and a value of 83 was a dangerously high level [33].
- (6)
- The National Weather Service Central Region (NWSCR) [16] of the United States proposed THI6, and a large number of scholars have used this index to analyze the impact of climate on the reproductive performance of sows. The threshold zone of the index [34] is: THI6 ≤ 74 means suitable environmental level, 74 < THI6 ≤ 78 means mild heat stress level, 78 < THI ≤ 84 means moderate heat stress level, THI > 84 means severe heat stress level.
- (7)
- (8)
- Fehr et al. [15] used THI8 to analyze the effect of evaporative cooling on pigs, and used evaporative cooling to reduce the heat stress level in pigs, but the index did not have a good threshold division.
2. Materials and Methods
2.1. Various Thermal Indices
2.2. Definition of Equivalent Air Temperature Change
2.3. The Effect of Air Velocity on Effective Temperature and Equivalent Temperature Index of Sows
2.4. Psychrometric Chart
2.5. Computational Fluid Dynamics Analysis
2.5.1. Geometric Model
2.5.2. Grid and Grid Independence Test
2.5.3. Boundary Condition Setting and Solution
3. Results
3.1. Comparison Using Equivalent Temperature Change Method
3.2. The Effect of Air Velocity
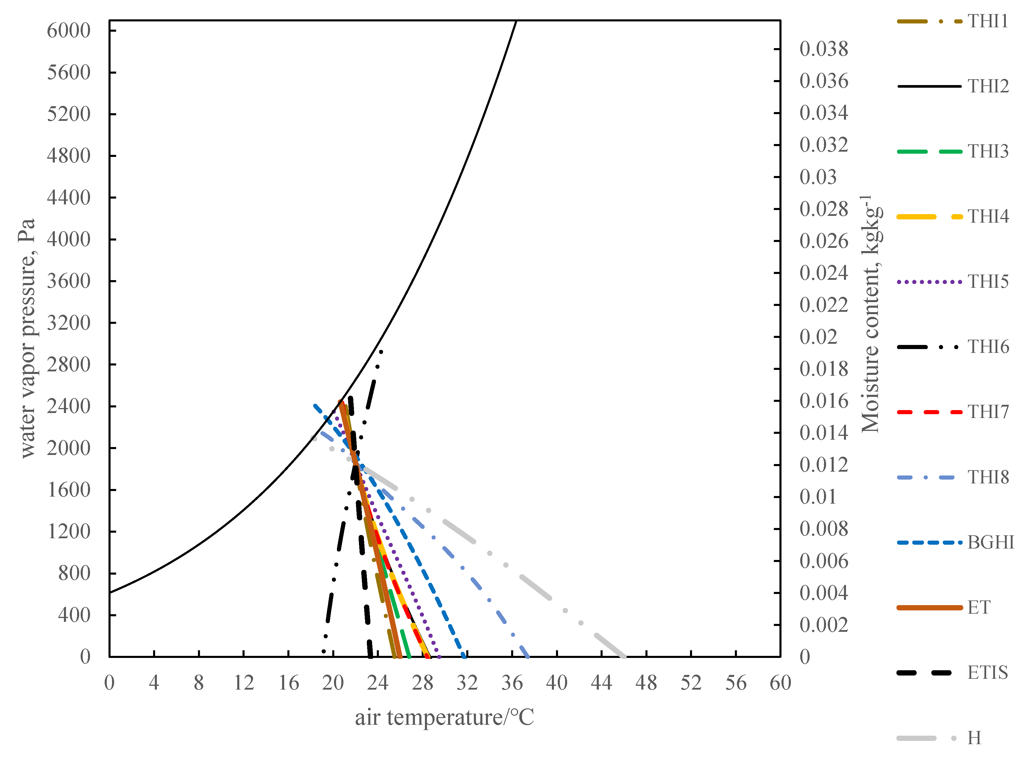
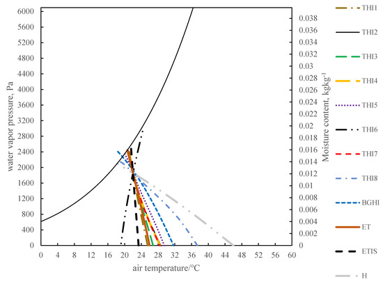
3.3. Comparison Using the Psychrometric Chart
3.4. Comparison Using Computational Fluid Dynamics Methods
4. Discussion
4.1. Comparison Using Equivalent Temperature Change Method
4.2. The Effect of Air Velocity
4.3. Comparison Using Psychrometric Chart
4.4. Comparison Using Computational Fluid Dynamics Method
4.5. Analysis of Existing Problems and Future Prospects
5. Conclusions
- It is better to use ETIS to analyze the heat stress in sows than using other thermal indices.
- When the sow house only has temperature and humidity sensors and lacks air speed data, THI2, THI4 and THI7 can also be used to evaluate the sow’s thermal comfort index.
- The threshold division of each index still needs to be improved, and the thermal stress threshold is an important parameter for evaluating the degree of heat stress. However, the heat dissipation characteristics of sows at different stages are different, and in different climate zones, different breeds of animal have different comfort requirements for the thermal environment. Therefore, threshold zones should be established according to the characteristics of sows at different stages and different climatic conditions.
Author Contributions
Funding
Institutional Review Board Statement
Informed Consent Statement
Data Availability Statement
Conflicts of Interest
References
- Almond, P.K.; Bilkei, G. Seasonal infertility in large pig production units in an Eastern-European climate. Aust. Vet. J. 2005, 83, 344–346. [Google Scholar] [CrossRef]
- Bloemhof, S.; Mathur, P.K.; Knol, E.F.; van der Waaij, E.H. Effect of daily environmental temperature on farrowing rate and total born in dam line sows. J. Anim. Sci. 2013, 91, 2667–2679. [Google Scholar] [CrossRef] [PubMed]
- Tummaruk, P.; Tantasuparuk, W.; Techakumphu, M.; Kunavongkrit, A. Effect of Season and Outdoor Climate on Litter Size at Birth in Purebred Landrace and Yorkshire Sows in Thailand. J. Vet. Med. Sci. 2004, 66, 477–482. [Google Scholar] [CrossRef][Green Version]
- Black, J.L.; Mullan, B.P.; Lorschy, M.L.; Giles, L.R. Lactation in the sow during heat stress. Livest. Prod. Sci. 1993, 35, 153–170. [Google Scholar] [CrossRef]
- Quiniou, N.; Noblet, J. Influence of high ambient temperatures on performance of multiparous lactating sows. J. Anim. Sci. 1999, 77, 2124. [Google Scholar] [CrossRef] [PubMed]
- D’Allaire, S.; Drolet, R.; Brodeur, D. Sow mortality associated with high ambient temperatures. Can. Vet. J. Rev. Vet. Can. 1996, 37, 237–239. [Google Scholar]
- St-pierre, N.R.; Cobanov, B.; Schnitkey, G. Economic Losses from Heat Stress by US Livestock Industries1. J. Dairy Sci. 2003, 86, 52–77. [Google Scholar] [CrossRef]
- Mikovits, C.; Zollitsch, W.; Hörtenhuber, S.J.; Baumgartner, J.; Niebuhr, K.; Piringer, M.; Anders, I.; Andre, K.; Hennig-Pauka, I.; Schönhart, M. Impacts of global warming on confined livestock systems for growing-fattening pigs: Simulation of heat stress for 1981 to 2017 in Central Europe. Int. J. Biometeorol. 2019, 63, 1–10. [Google Scholar] [CrossRef]
- Thom, E.C. Cooling degrees-days air conditioning, heating, and ventilating. Trans. ASAE 1958, 55, 65–72. [Google Scholar]
- Thom, E.C. The discomfort index. Weatherwise 1959, 12, 57–61. [Google Scholar] [CrossRef]
- Ingram, D.L. The effect of humidity on temperature regulation and cutaneous water loss in the young pig. Res. Vet. Sci. 1965, 6, 9. [Google Scholar] [CrossRef]
- Bond, C.F.K.T.E. Bioclimatic factors and their measurements. In A Guide to Environmental Research in Animals; National Academy of Science Press: Washington, DC, USA, 1971. [Google Scholar]
- Maust, L.E.; Mcdowell, R.E.; Hooven, N.W. Effect of Summer Weather on Performance of Holstein Cows in Three Stages of Lactation. J. Dairy Sci. 1972, 55, 1133–1139. [Google Scholar] [CrossRef]
- NOAA (National Oceanic and Atmospheric Administration). Livestock Hot Weather Stress; US Department Commerce, National Weather Service Central Region: Orlando, FL, USA, 1976.
- Fehr, R.L.; Priddy, K.T.; Mcneill, S.G.; Overhults, D.G. Limiting Swine Stress with Evaporative Cooling in the Southwest. Trans. ASAE 1983, 26, 0542–0545. [Google Scholar] [CrossRef]
- NWSCR (National Weather Service Central Region). Livestock Hot Weather Stress: Regional Operations Manual Letter; NWSCR (National Weather Service Central Region): Kansas City, MO, USA, 1976. [Google Scholar]
- Buffington, D.E.; Collazo-Arocho, A.; Canton, G.H.; Pitt, D.; Thatcher, W.W.; Collier, R.J. Black globe-humidity index (bghi) as comfort equation for dairy cows. Trans. ASAE 1981, 24, 0711–0714. [Google Scholar] [CrossRef]
- Júnior, G.M.d.O.; Ferreira, A.S.; Oliveira, R.F.M.; Silva, B.A.N.; Figueiredo, E.M.d.; Santos, M. Behaviour and performance of lactating sows housed in different types of farrowing rooms during summer. Livest. Sci. 2011, 141, 194–201. [Google Scholar] [CrossRef]
- Bjerg, B.; Rong, L.; Zhang, G. Computational prediction of the effective temperature in the lying area of pig pens. Comput. Electron. Agric. 2018, 149, 71–79. [Google Scholar] [CrossRef]
- Cao, M.; Zong, C.; Wang, X.; Teng, G.; Zhuang, Y.; Lei, K. Modeling of Heat Stress in Sows. Part 1: Establishment of the Prediction Model for the Equivalent Temperature Index of the Sows. Animals 2021, 11, 1472. [Google Scholar] [CrossRef]
- Rodrigues, V.C.; da Silva, I.J.O.; Vieira, F.M.C.; Nascimento, S.T. A correct enthalpy relationship as thermal comfort index for livestock. Int. J. Biometeorol. 2011, 55, 455–459. [Google Scholar] [CrossRef]
- Sales, G.T.; Fialho, E.T.; Junior, T.Y.; Freitas, R.T.F.D.; Day, G.B. Thermal Environment Influence on Swine Reproductive Performance. In Proceedings of the Livestock Environment VIII, Iguassu Falls, Brazil, 31 August–4 September 2008. [Google Scholar]
- Mader, T.L.; Kreikemeier, W.M. Effects of growth-promoting agents and season on blood metabolites and body temperature in heifers. J. Anim. Sci. 2006, 84, 1030. [Google Scholar] [CrossRef]
- Mader, T.L.; Davis, M.S.; Brown-Brandl, T. Environmental factors influencing heat stress in feedlot cattle. J. Anim. Sci. 2006, 84, 712–719. [Google Scholar] [CrossRef]
- Vashi, Y.; Naskar, S.; Chutia, T.; Banik, S.; Singh, A.K.; Goswami, J.; Sejian, V. Comparative assessment of native, crossbred and exotic pigs during different seasons (winter, spring and summer) based on rhythmic changes in the levels of serum cortisol, lactate dehydrogenase levels and PBMC HSP70 mRNA expression pattern. Biol. Rhythm Res. 2018, 49, 725–734. [Google Scholar] [CrossRef]
- Godyn, D.; Herbut, P.; Angrecka, S. Impact of Fogging System on Thermal Comfort of Lactating Sows. Trans. ASABE 2018, 61, 1933–1938. [Google Scholar] [CrossRef]
- Yosuke, S.; Madoka, F.; Shingo, N.; Tadahiro, K. Quantitative assessment of the effects of outside temperature on farrowing rate in gilts and sows by using a multivariate logistic regression model. Anim. Sci. J. 2018, 89, 1187–1193. [Google Scholar]
- Mellado, M.; Gaytán, L.; Macías-Cruz, U.; Avendaño, L.; Meza-Herrera, C.; Lozano, E.A.; Rodríguez, Á.; Mellado, J. Effect of climate and insemination technique on reproductive performance of gilts and sows in a subtropical zone of Mexico. Austral J. Vet. Sci. 2018, 50, 27–34. [Google Scholar] [CrossRef]
- Wang, K. Study on the Relationship between the Humid and Hot Pig Housing Environment and the Thermoregulatory Behavior of Growing Swine and Sows in Southeast China; Zhejiang University: Hangzhou, China, 2001. [Google Scholar]
- Tummaruk, P.; Tantasuparuk, W.; Techakumphu, M.; Kunavongkrit, A. Seasonal influences on the litter size at birth of pigs are more pronounced in the gilt than sow litters. J. Agric. Sci. 2010, 148, 421–432. [Google Scholar] [CrossRef]
- Pu, H. Effect of Hot-Humid Environment on Feeding Behavior, Physiological and Biochemical Parameters of Swine; Sichuan Agricultural University: Ya’an, China, 2014. [Google Scholar]
- Lucas, E.M.; Randall, J.M.; Meneses, J.F. Potential for Evaporative Cooling during Heat Stress Periods in Pig Production in Portugal (Alentejo). J. Agric. Eng. Res. 2000, 76, 363–371. [Google Scholar] [CrossRef]
- Vitt, R.; Weber, L.; Zollitsch, W.; Hrtenhuber, S.J.; Baumgartner, J.; Niebuhr, K.; Piringer, M.; Anders, I.; Andre, K.; Hennig-Pauka, I. Modelled performance of energy saving air treatment devices to mitigate heat stress for confined livestock buildings in Central Europe. Biosyst. Eng. 2017, 164, 85–97. [Google Scholar] [CrossRef]
- Wu, Z.; Chen, Z.; Zang, J.; Wang, M.; Yang, H.; Ren, F.; Liu, J.; Feng, G. Cooling performance of wet curtain fan-fabric duct ventilation system in house of pregnant sows. Trans. Chin. Soc. Agric. Eng. 2018, 34, 268–276. [Google Scholar]
- Iida, R.; Koketsu, Y. Quantitative associations between outdoor climate data and weaning-to-first-mating interval or adjusted 21-day litter weights during summer in Japanese swine breeding herds. Livest. Sci. 2013, 152, 253–260. [Google Scholar] [CrossRef]
- Beckett, F.E. Effective temperature for evaluating or designing hog environments. Trans. ASAE 1965, 8, 0163–0166. [Google Scholar] [CrossRef]
- Roller, W.L.; Goldman, R.F. Response of swine to acute heat exposure. Trans. ASAE 1969, 12, 0164–0169. [Google Scholar]
- Li, H.; Rong, L.; Zhang, G.Q. Study on convective heat transfer from pig models by CFD in a virtual wind tunnel. Comput. Electron. Agric. 2016, 123, 203–210. [Google Scholar] [CrossRef]
- William, C.; Reynolds, P.C. Thermodynamics: Fundamentals and Engineering Applications; Cambridge University Press: Cambridge, UK, 2018. [Google Scholar]
- Jorgensen, S.E. Thermodynamics and Ecological Modelling (Environmental & Ecological (Math) Modeling); CRC Press: Boca Raton, FL, USA, 2018. [Google Scholar]
- Wang, X.S.; Bjerg, B.S.; Choi, C.Y.; Zong, C.; Zhang, G.Q. A review and quantitative assessment of cattle-related thermal indices. J. Therm. Biol. 2018, 77, 24–37. [Google Scholar] [CrossRef] [PubMed]
- Yan, G.; Li, H.; Shi, Z.; Wang, C. Research status and existing problems in establishing cow heat stress indices. Trans. Chin. Soc. Agric. Eng. 2019, 35, 226–233. [Google Scholar]
- Mader, T.L.; Johnson, L.J.; Gaughan, J.B. A comprehensive index for assessing environmental stress in animals. J. Anim. Sci. 2010, 88, 2153–2165. [Google Scholar] [CrossRef]
- Zhou, B.; Wang, X.S.; Mondaca, M.R.; Rong, L.; Choi, C.Y. Assessment of optimal airflow baffle locations and angles in mechanically-ventilated dairy houses using computational fluid dynamics. Comput. Electron. Agric. 2019, 165, 104930. [Google Scholar] [CrossRef]
- Xu, X.; Yu, J.; Li, H.; Yang, L. Comparative study on calculation methods of dew-point temperature. J. Meteorol. Environ. 2016, 32, 107–111. [Google Scholar]
- Xu, Z.; Zhang, Q.; Xu, Y. Study of the calculation method of wet bulb temperature. Hebei J. Ind. Sci. Technol. 2018, 35, 123–127. [Google Scholar]
- Shao, L.; Meng, Q.; Lu, S.; Zhong, K. Simplified calculation method of outdoor wet bulb globe temperature for areas with low latitude and high latitude. J. Chongqing Univ. 2020, 43, 112–120. [Google Scholar]
- Hoving, L.L.; Soede, N.M.; van der Peet-Schwering, C.M.; Graat, E.A.; Feitsma, H.; Kemp, B. An increased feed intake during early pregnancy improves sow body weight recovery and increases litter size in young sows. J. Anim. Sci. 2011, 89, 3542–3550. [Google Scholar] [CrossRef]
- Brody, S.; Comfort, E.; Matthews, J.S. Further investigations on surface area, with special reference to its significance in energy metabolism. MO Agric. Exp. Stn. Res. Bull. 1928, 115, 8–60. [Google Scholar]
- Wang, X.S.; Zhang, G.Q.; Choi, C.Y. Effect of airflow speed and direction on convective heat transfer of standing and reclining cows. Biosyst. Eng. 2018, 167, 87–89. [Google Scholar] [CrossRef]
- Li, H.; Rong, L.; Zhang, G. Numerical study on the convective heat transfer of fattening pig in groups in a mechanical ventilated pig house. In Proceedings of the Cigr/agegen/cfd Symposium, Aarhus, Denmark, 26–29 June 2016. [Google Scholar]
- Bjerg, B.; Brandt, P.; Pedersen, P.; Zhang, G. Sows’ responses to increased heat load—A review. J. Therm. Biol. 2020, 94, 102758. [Google Scholar] [CrossRef] [PubMed]
- Drolet, R.; D’Allaire, S.; Chagnon, M. Some observations on cardiac failure in sows. Can. Vet. J. La Rev. Vet. Can. 1992, 33, 325. [Google Scholar]
- Wathes, C.M.; Charles, D.R. Livestock Housing; CAB International: Oxfordshire, UK, 1994. [Google Scholar]
- Kreith, F.; Bohn, M. Principles of Heat Transfer; Cengage Learning: San Francisco, CA, USA, 2010. [Google Scholar]
- Bergman, T.L.; Lavine, A.S.; Incropera, F.P.; DeWitt, D.P. Fundamentals of Heat and Mass Transfer; John Wiley & Sons: Hoboken, NJ, USA, 2011. [Google Scholar]
- Yasmeen, S.; Liu, H. Evaluation of thermal comfort and heat stress indices in different countries and regions—A Review. IOP Conf. Ser. Mater. Sci. Eng. 2019, 609, 052037. [Google Scholar] [CrossRef]





| Index | Calculation Equation | Threshold under Different Heat Stress Levels | Year |
|---|---|---|---|
| THI1 | Thermal comfort: 61 < THI1 ≤ 65, Intermediate: 65 < THI1 ≤ 69, Thermal stress: 69 < THI1 ≤ 73 | 1958 | |
| THI2 | Suitable: THI2 < 74, Mild: 74 ≤ THI2 < 78, Moderate: 78 ≤ THI2 < 82, Severe: THI2 ≥ 82 | 1959 | |
| THI3 | Heat stress: THI2 ≥ 28 | 1965 | |
| THI4 | - | 1971 | |
| THI5 | Moderate: 75 ≤ THI5 < 78. Severe: THI5 ≥ 83 | 1972 | |
| THI6 | Suitable: THI6 ≤ 74, Mild: 74 < THI6 ≤ 78, Moderate: 78 < THI6 ≤ 84, Severe: THI6 > 84 | 1976 | |
| THI7 | - | 1976 | |
| THI8 | - | 1983 | |
| BGHI | - | 1981 | |
| ET | - | 2018 | |
| ETIS |
Suitable: ETIS < 33.1, Mild: 33.1 ≤ ETIS < 34.5, Moderate: 34.5 ≤ ETIS < 35.9, Severe: 35.9 ≤ ETIS | 2021 | |
| H | - | 2011 |
| Boundary | Boundary Condition |
|---|---|
| Outlet | Velocity outlet, air velocity is 1 m·s−1 |
| Inlet | Pressure outlet, the temperature is 30 °C relative humidity is 60% |
| Sow | No slip wall, temperature is 38 °C |
| Other (walls) | No slip wall, heat flux = 0 |
| Heat Index | The Coefficient of Determination (R2) |
|---|---|
| THI1 | 0.8261 |
| THI2 | 0.8351 |
| THI3 | 0.8264 |
| THI4 | 0.8349 |
| THI5 | 0.8267 |
| THI6 | 0.8189 |
| THI7 | 0.835 |
| THI8 | 0.7575 |
| BGHI | 0.8005 |
| ET | 0.9883 |
| ETIS | 0.9863 |
| H | 0.8235 |
Publisher’s Note: MDPI stays neutral with regard to jurisdictional claims in published maps and institutional affiliations. |
© 2021 by the authors. Licensee MDPI, Basel, Switzerland. This article is an open access article distributed under the terms and conditions of the Creative Commons Attribution (CC BY) license (https://creativecommons.org/licenses/by/4.0/).
Share and Cite
Cao, M.; Zong, C.; Zhuang, Y.; Teng, G.; Zhou, S.; Yang, T. Modeling of Heat Stress in Sows Part 2: Comparison of Various Thermal Comfort Indices. Animals 2021, 11, 1498. https://doi.org/10.3390/ani11061498
Cao M, Zong C, Zhuang Y, Teng G, Zhou S, Yang T. Modeling of Heat Stress in Sows Part 2: Comparison of Various Thermal Comfort Indices. Animals. 2021; 11(6):1498. https://doi.org/10.3390/ani11061498
Chicago/Turabian StyleCao, Mengbing, Chao Zong, Yanrong Zhuang, Guanghui Teng, Shengnan Zhou, and Ting Yang. 2021. "Modeling of Heat Stress in Sows Part 2: Comparison of Various Thermal Comfort Indices" Animals 11, no. 6: 1498. https://doi.org/10.3390/ani11061498
APA StyleCao, M., Zong, C., Zhuang, Y., Teng, G., Zhou, S., & Yang, T. (2021). Modeling of Heat Stress in Sows Part 2: Comparison of Various Thermal Comfort Indices. Animals, 11(6), 1498. https://doi.org/10.3390/ani11061498
