Spatial Clustering by Red Deer and Its Relevance for Management of Chronic Wasting Disease
Abstract
:Simple Summary
Abstract
1. Introduction
2. Materials and Methods
2.1. Ethics Statement
2.2. Study Area
2.3. Study Design and Field Work
2.4. Field Site Descriptors of Habitat
- Agricultural fields vs. forest. The type of agricultural field was further categorized as either meadow or another form of cultivated land (other).
- Coverage (%) of grasses.
- Canopy cover (%) was measured by using a spherical densiometer [20].
- Distance to nearest tree (m) over 2 m tall was measured using a binocular with range finder (Leica Geovid 10 × 40) or using strides for shorter distances.
- Aspect (0 to 400) and slope (in °) was measured using a handheld compass.
- Distance to nearest (visible) saltlick, hay bales and feeding station. We noted whether hay bales were fenced, fenced with open gate, or not fenced.
- Counts of feces, bed sites and tracks. We counted the number of feces dung, bedding sites and tracks of cervids and livestock within a 5 m radius whenever tracking conditions allowed.
2.5. Broad Habitat Categories
2.6. Statistical Analyses
3. Results
3.1. Winter Field Data
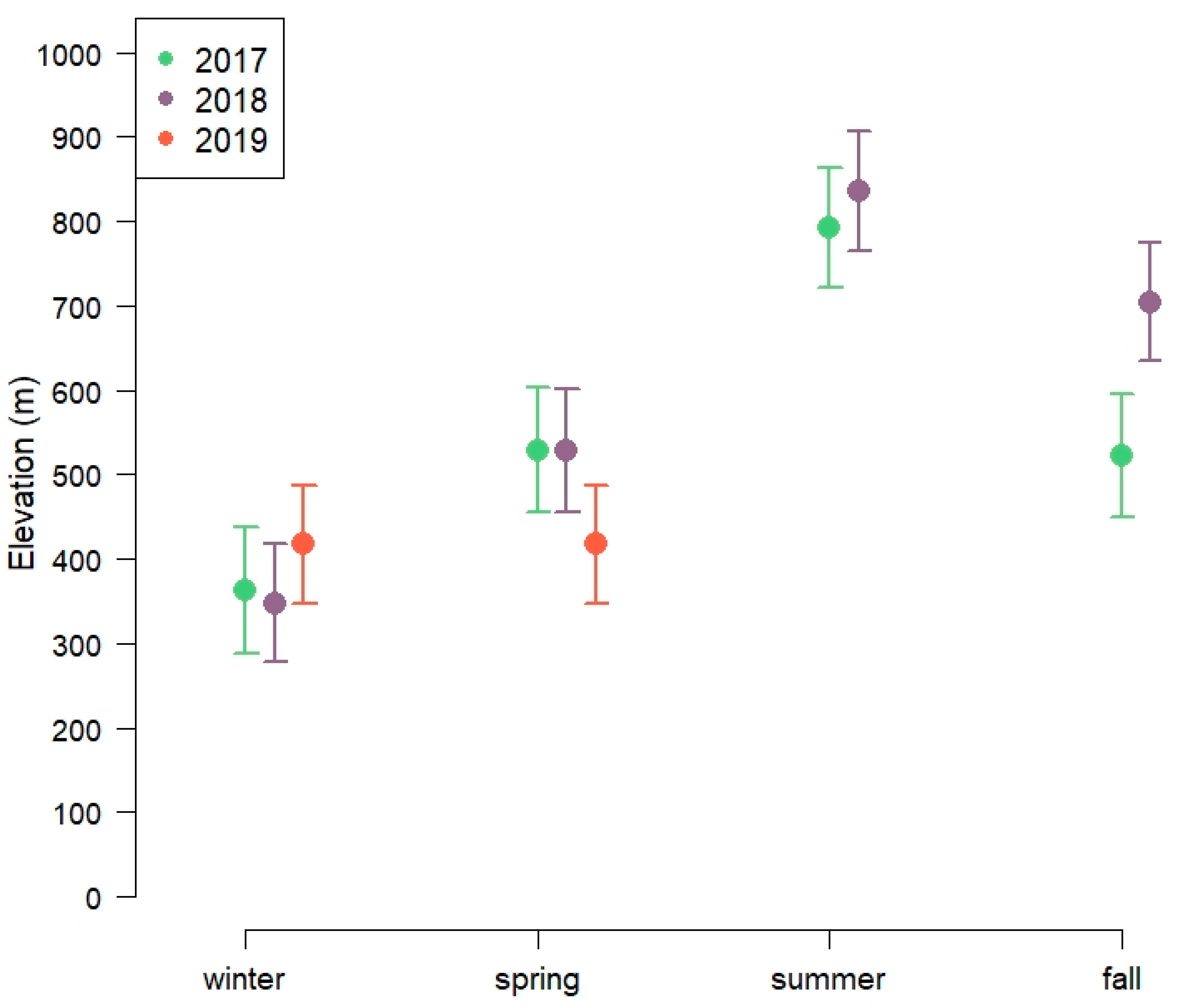
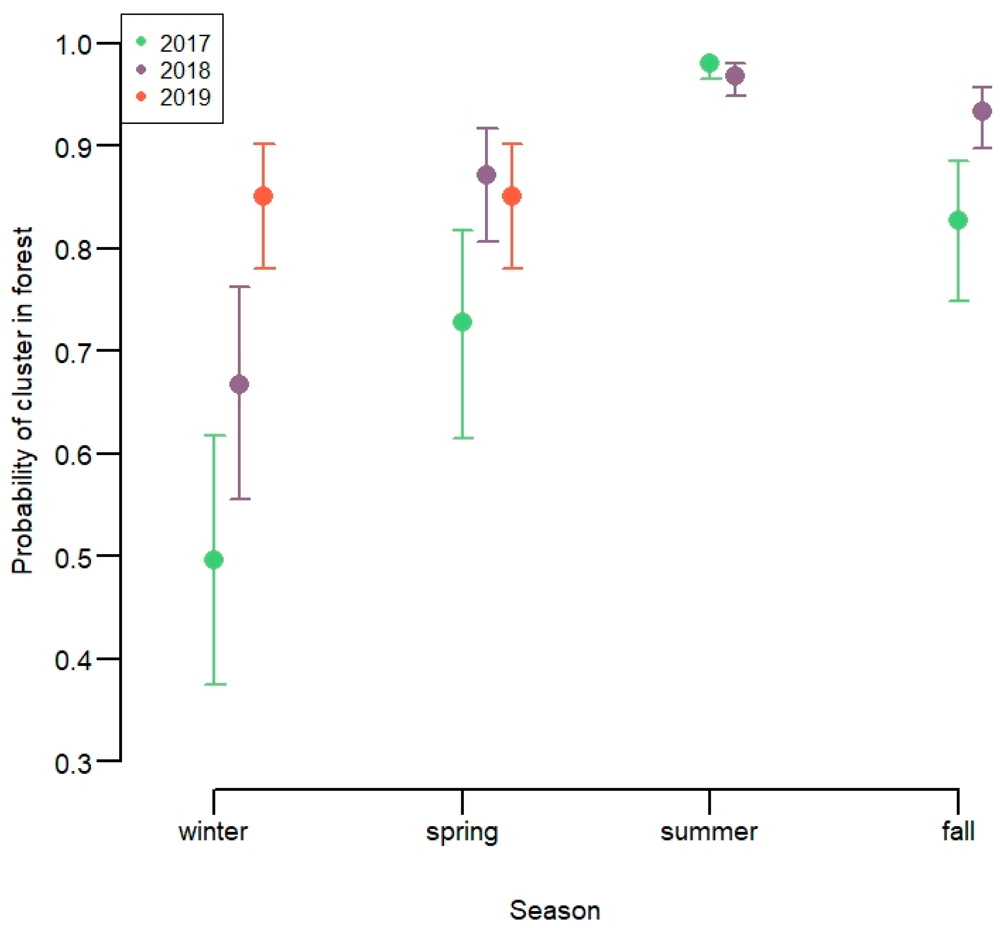
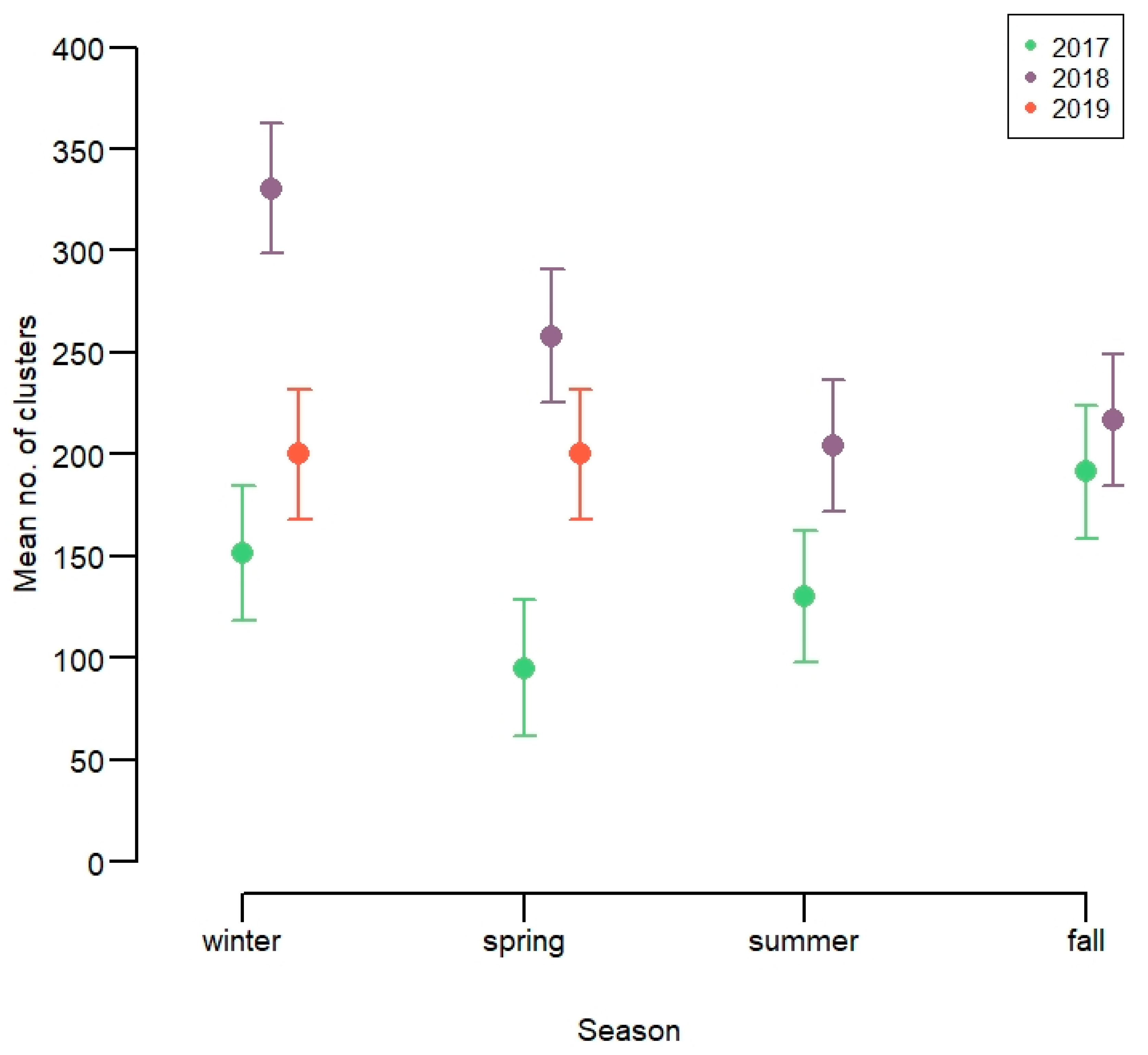
3.2. Annual Pattern
4. Discussion
4.1. Pattern of Spatial Clustering
4.2. Causes of Clustering during Winter
4.3. Clustering Versus Aggregation
5. Conclusions
Supplementary Materials
Author Contributions
Funding
Institutional Review Board Statement
Data Availability Statement
Acknowledgments
Conflicts of Interest
References
- Cagnacci, F.; Boitani, L.; Powell, R.A.; Boyce, M.S. Animal ecology meets GPS-based radiotelemetry: A perfect storm of opportunities and challenges. Philos. Trans. R. Soc. B Biol. Sci. 2010, 365, 2157–2162. [Google Scholar] [CrossRef] [Green Version]
- Bracis, C.; Bildstein, K.L.; Mueller, T. Revisitation analysis uncovers spatio-temporal patterns in animal movement data. Ecography 2018, 41, 1801–1811. [Google Scholar] [CrossRef] [Green Version]
- Wolf, M.; Frair, J.; Merrill, E.; Turchin, P. The attraction of the known: The importance of spatial familiarity in habitat selection in wapitiCervus elaphus. Ecography 2009, 32, 401–410. [Google Scholar] [CrossRef]
- Van Moorter, B.; Visscher, D.; Herfindal, I.; Basille, M.; Mysterud, A. Inferring behavioral mechanisms in habitat selection studies–getting the null-hypothesis right for functional and familiarity responses. Ecography 2013, 36, 323–330. [Google Scholar] [CrossRef]
- Putman, R.J.; Staines, B.W. Supplementary winter feeding of wild red deer Cervus elaphus in Europe and North America: Justifications, feeding practice and effectiveness. Mammal Rev. 2004, 34, 285–306. [Google Scholar] [CrossRef]
- Ossi, F.; Gaillard, J.-M.; Hebblewhite, M.; Morellet, N.; Ranc, N.; Sandfort, R.; Kroeschel, M.; Kjellander, P.; Mysterud, A.; Linnell, J.D.C.; et al. Plastic response by a small cervid to supplemental feeding in winter across a wide environmental gradient. Ecosphere 2017, 8, e01629. [Google Scholar] [CrossRef] [Green Version]
- Van Beest, F.M.; Loe, L.E.; Mysterud, A.; Milner, J.M. Comparative Space Use and Habitat Selection of Moose Around Feeding Stations. J. Wildl. Manag. 2010, 74, 219–227. [Google Scholar] [CrossRef]
- Sorensen, A.; Van Beest, F.M.; Brook, R.K. Impacts of wildlife baiting and supplemental feeding on infectious disease transmission risk: A synthesis of knowledge. Prev. Vet. Med. 2014, 113, 356–363. [Google Scholar] [CrossRef] [PubMed]
- Zabel, M.; Ortega, A. The Ecology of Prions. Microbiol. Mol. Biol. Rev. 2017, 81, e00001-17. [Google Scholar] [CrossRef] [Green Version]
- Benestad, S.L.; Mitchell, G.; Simmons, M.; Ytrehus, B.; Vikøren, T. First case of chronic wasting disease in Europe in a Norwegian free-ranging reindeer. Vet. Res. 2016, 47, 1–7. [Google Scholar] [CrossRef] [PubMed]
- Plummer, I.H.; Johnson, C.J.; Chesney, A.R.; Pedersen, J.A.; Samuel, M.D. Mineral licks as environmental reservoirs of chronic wasting disease prions. PLoS ONE 2018, 13, e0196745. [Google Scholar] [CrossRef] [PubMed] [Green Version]
- Mejía-Salazar, M.F.; Waldner, C.L.; Hwang, Y.T.; Bollinger, T.K. Use of environmental sites by mule deer: A proxy for relative risk of chronic wasting disease exposure and transmission. Ecosphere 2018, 9, e02055. [Google Scholar] [CrossRef] [Green Version]
- Mysterud, A.; Rolandsen, C.M. A reindeer cull to prevent chronic wasting disease in Europe. Nat. Ecol. Evol. 2018, 2, 1343–1345. [Google Scholar] [CrossRef] [PubMed]
- Mysterud, A.; Strand, O.; Rolandsen, C.M. Efficacy of recreational hunters and marksmen for host culling to combat chronic wasting disease in reindeer. Wildl. Soc. Bull. 2019, 43, 683–692. [Google Scholar] [CrossRef] [Green Version]
- Schwabenlander, M.D.; Culhane, M.R.; Hall, S.M.; Goyal, S.M.; Anderson, P.L.; Carstensen, M.; Wells, S.J.; Slade, W.B.; Armién, A.G. A case of chronic wasting disease in a captive red deer (Cervus elaphus). J. Vet. Diagn. Investig. 2013, 25, 573–576. [Google Scholar] [CrossRef] [Green Version]
- VKM; Ytrehus, B.; Grahek-Ogden, D.; Strand, O.; Tranulis, M.; Mysterud, A.; Aspholm, M.; Jore, S.; Kapperud, G.; Møretrø, T.; et al. Factors That Can Contribute to Spread of CWD—An Update on the Situation in Nordfjella, Norway. Opinion of the Panel on Biological Hazards; Norwegian Scientific Committee for Food and Environment (VKM): Oslo, Norway, 2018. [Google Scholar]
- Mysterud, A.; Viljugrein, H.; Solberg, E.J.; Rolandsen, C.M. Legal regulation of supplementary cervid feeding facing chronic wasting disease. J. Wildl. Manag. 2019, 83, 1667–1675. [Google Scholar] [CrossRef]
- VKM; Ytrehus, B.; Asmyhr, M.G.; Hansen, H.; Mysterud, A.; Nilsen, E.B.; Strand, O.; Tranulis, M.; Våge, J.; Kapperud, G.; et al. Options after Detection of Chronic Wasting Disease (CWD) on Hardangervidda—Scientific Basis for Future Management Strategies (In Norwegian with English summary); Norwegian Scientific Committee for Food and Environment (VKM): Oslo, Norway, 2021. [Google Scholar]
- Sente, C.; Meisingset, E.L.; Evans, A.L.; Wedul, S.J.; Zimmermann, B.; Arnemo, J.M. Reversible immobilization of free-ranging red deer (Cervus elaphus atlanticus) with xylazine-tiletamine-zolazapam and atipamezole. J. Wildl. Dis. 2014, 20, 359–363. [Google Scholar] [CrossRef] [Green Version]
- Lemmon, P.E. A spherical densiometer for estimating forest overstory density. Forest Sci. 1956, 2, 314–320. [Google Scholar]
- Godvik, I.M.R.; Loe, L.E.; Vik, J.O.; Veiberg, V.; Langvatn, R.; Mysterud, A. Temporal scales, trade-offs, and functional responses in red deer habitat selection. Ecology 2009, 90, 699–710. [Google Scholar] [CrossRef] [PubMed] [Green Version]
- Loe, L.E.; Bonenfant, C.; Meisingset, E.L.; Mysterud, A. Effects of spatial scale and sample size in GPS-based species distribution models: Are the best models trivial for red deer management? Eur. J. Wildl. Res. 2012, 58, 195–203. [Google Scholar] [CrossRef]
- Wood, S. Generalized Additive Models: An Introduction with R; Chapman & Hall: Boca Raton, FL, USA, 2006. [Google Scholar]
- Bates, D.; Maechler, M. lme4: Linear Mixed-Effects Models Using S4 Classes. R Package Version 0.999375-32. 2009. Available online: http://CRAN.R-project.org/package=lme4 (accessed on 6 April 2021).
- Johnson, D.H. The Comparison of Usage and Availability Measurements for Evaluating Resource Preference. Ecology 1980, 61, 65–71. [Google Scholar] [CrossRef]
- Senft, R.L.; Coughenour, M.B.; Bailey, D.W.; Rittenhouse, L.R.; Sala, O.E.; Swift, D.M. Large Herbivore Foraging and Ecological Hierarchies. Bioscience 1987, 37, 789–799. [Google Scholar] [CrossRef]
- Mysterud, A.; Loe, L.E.; Zimmermann, B.; Bischof, R.; Veiberg, V.; Meisingset, E. Partial migration in expanding red deer populations at northern latitudes—a role for density dependence? Oikos 2011, 120, 1817–1825. [Google Scholar] [CrossRef]
- Van Beest, F.; Mysterud, A.; Loe, L.E.; Milner, J.M. Forage quantity, quality and depletion as scale-dependent mechanisms driving habitat selection of a large browser, the moose. J. Anim. Ecol. 2010, 79, 910–922. [Google Scholar]
- Mautz, W.W. Sledding on a bushy hillside: The fat cycle in deer. Wildl. Soc. Bull. 1978, 6, 88–90. [Google Scholar]
- Cotterill, G.G.; Cross, P.C.; Cole, E.K.; Fuda, R.K.; Rogerson, J.D.; Scurlock, B.M.; Du Toit, J.T. Winter feeding of elk in the Greater Yellowstone Ecosystem and its effects on disease dynamics. Philos. Trans. R. Soc. B Biol. Sci. 2018, 373, 20170093. [Google Scholar] [CrossRef] [Green Version]
- Landbruks-og Matdepartementet Regulation 11 July 2016 No 913 Concerning Measures to Reduce the Spread of Chronic Wasting Disease (CWD). 2016. Available online: https://lovdata.no/dokument/SF/forskrift/2016-07-11-913?q=cwd (accessed on 6 April 2021).
- Bonenfant, C.; Loe, L.E.; Mysterud, A.; Langvatn, R.; Stenseth, N.C.; Gaillard, J.-M.; Klein, F. Multiple causes of sexual segregation in European red deer: Enlightenments from varying breeding phenology at high and low latitude. Proc. R. Soc. London. Ser. B Biol. Sci. 2004, 271, 883–892. [Google Scholar] [CrossRef]
- Gillingham, M.P.; Parker, K.L.; Hanley, T.A. Forage intake by black-tailed deer in a natural environment: Bout dynamics. Can. J. Zool. 1997, 75, 1118–1128. [Google Scholar] [CrossRef]
- Mysterud, A.; Bischof, R.; Loe, L.E.; Odden, J.; Linnell, J.D.C. Contrasting migration tendencies of sympatric red deer and roe deer suggest multiple causes of migration in ungulates. Ecosphere 2012, 3, e92. [Google Scholar] [CrossRef] [Green Version]
- Peters, W.; Hebblewhite, M.; Mysterud, A.; Eacker, D.; Hewison, A.J.M.; Linnell, J.D.C.; Focardi, S.; Urbano, F.; De Groeve, J.; Gehr, B.; et al. Large herbivore migration plasticity along environmental gradients in Europe: Life-history traits modulate forage effects. Oikos 2019, 128, 416–429. [Google Scholar] [CrossRef] [Green Version]






| Agricultural Fields | Forest | |||||||
|---|---|---|---|---|---|---|---|---|
| Parameter | Cluster | Random | T | p | Cluster | Random | T | p |
| Canopy cover (%) | 1.0 | 51.5 | −9.580 | <0.001 | 79.4 | 41.5 | 6.988 | <0.001 |
| Grass (%) | 70.0 | 65.6 | 0.948 | 0.357 | 14.5 | 22.8 | −1.390 | 0.181 |
| Distance to tree (m) | 31.1 | 5.3 | 4.405 | <0.001 | 2.3 | 10.1 | −4.713 | <0.001 |
| Slope (degrees) | 6.5 | 19.5 | −5.332 | <0.001 | 24.1 | 19.8 | 2.746 | 0.007 |
| Faeces | 7.8 | 2.2 | 5.161 | <0.001 | 6.6 | 2.4 | 6.925 | <0.001 |
| Bedding sites | 0.4 | 0.1 | 2.939 | 0.005 | 0.6 | 0.0 | 5.664 | <0.001 |
| Tracks red deer | 7.8 | 3.0 | 4.008 | <0.001 | 3.6 | 2.9 | 1.624 | 0.110 |
| Tracks roe deer | 0.3 | 0.1 | 1.000 | 0.323 | 0.0 | 0.1 | −1.371 | 0.176 |
Publisher’s Note: MDPI stays neutral with regard to jurisdictional claims in published maps and institutional affiliations. |
© 2021 by the authors. Licensee MDPI, Basel, Switzerland. This article is an open access article distributed under the terms and conditions of the Creative Commons Attribution (CC BY) license (https://creativecommons.org/licenses/by/4.0/).
Share and Cite
Mysterud, A.; Skjelbostad, I.N.; Rivrud, I.M.; Brekkum, Ø.; Meisingset, E.L. Spatial Clustering by Red Deer and Its Relevance for Management of Chronic Wasting Disease. Animals 2021, 11, 1272. https://doi.org/10.3390/ani11051272
Mysterud A, Skjelbostad IN, Rivrud IM, Brekkum Ø, Meisingset EL. Spatial Clustering by Red Deer and Its Relevance for Management of Chronic Wasting Disease. Animals. 2021; 11(5):1272. https://doi.org/10.3390/ani11051272
Chicago/Turabian StyleMysterud, Atle, Isa Nergård Skjelbostad, Inger Maren Rivrud, Øystein Brekkum, and Erling L. Meisingset. 2021. "Spatial Clustering by Red Deer and Its Relevance for Management of Chronic Wasting Disease" Animals 11, no. 5: 1272. https://doi.org/10.3390/ani11051272
APA StyleMysterud, A., Skjelbostad, I. N., Rivrud, I. M., Brekkum, Ø., & Meisingset, E. L. (2021). Spatial Clustering by Red Deer and Its Relevance for Management of Chronic Wasting Disease. Animals, 11(5), 1272. https://doi.org/10.3390/ani11051272

