Effects of Sources and Forms of Vitamin K3 on Its Storage Stability in Vitamin Premixes or Vitamin Trace Mineral Premixes
Abstract
Simple Summary
Abstract
1. Introduction
2. Materials and Methods
2.1. Premix Treatments
2.2. Premix Preparation, Storage, and Sampling
2.3. Determination of Vitamin K3 Content
2.4. Statistical Analysis
3. Results
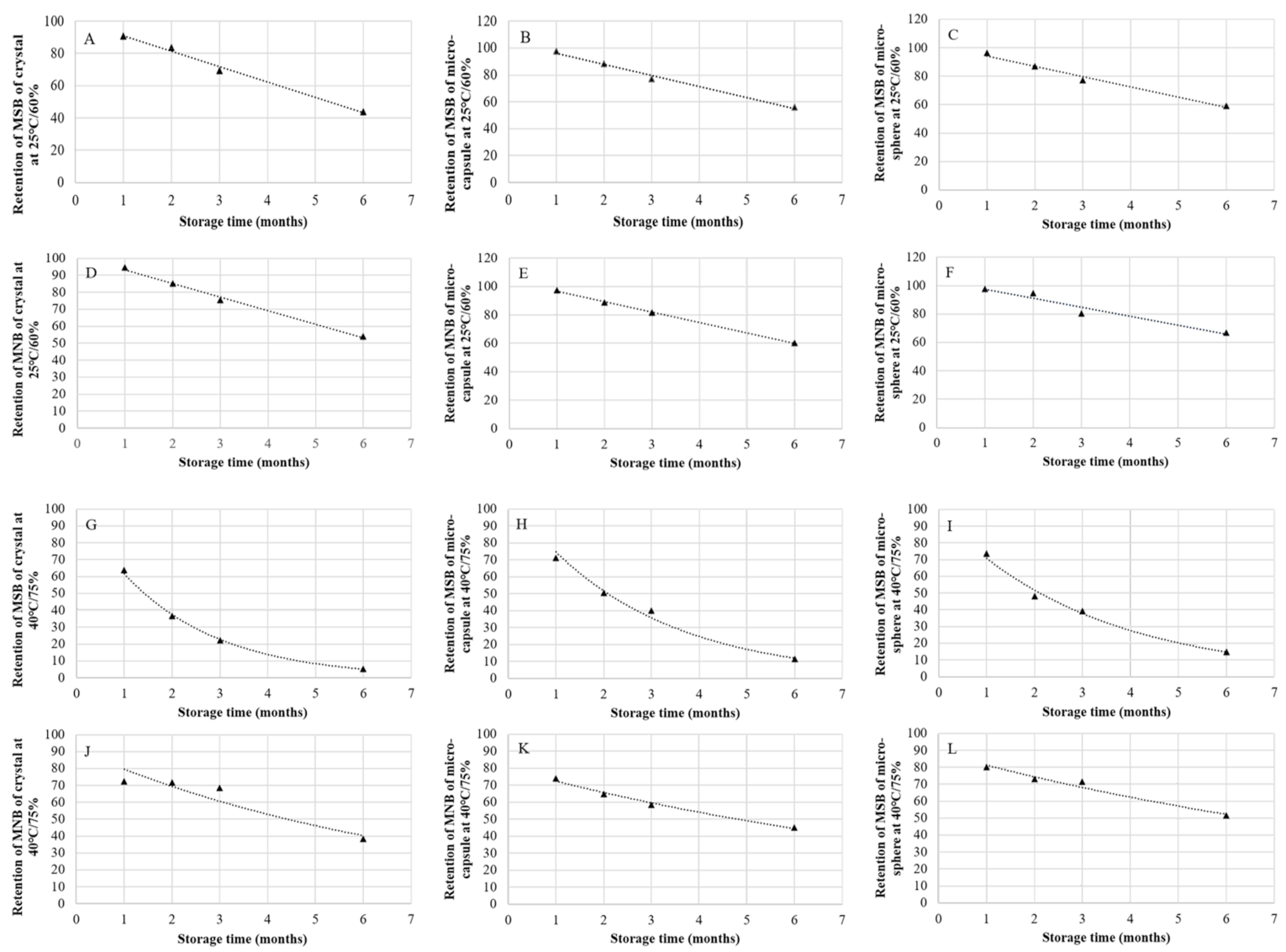
3.1. Effect of Source and Form of Vitamin K3 and Temperature/Relative Humidity on Its Stability in Vitamin Premix during Storage
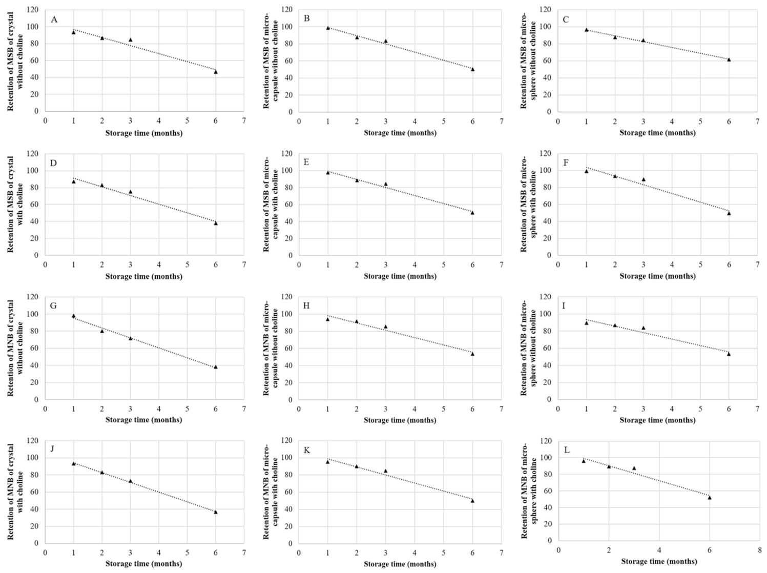
3.2. Effect of Source and Form of Vitamin K3 and Choline on Its Stability in Vitamin Trace Mineral Premix during Storage
3.3. Prediction Equations for Retention of Vitamin K3 in Vitamin or Vitamin Trace Mineral (VTM) Premixes during Storage
4. Discussion
4.1. Effect of Storage Time on the Stability of Vitamin K3
4.2. Effect of Source on the Stability of Vitamin K3
4.3. Effect of Form on the Stability of Vitamin K3
4.4. Effect of Temperature and Relative Humidity on the Stability of Vitamin K3
4.5. Effect of Choline on the Stability of Vitamin K3
5. Conclusions
Supplementary Materials
Author Contributions
Funding
Institutional Review Board Statement
Data Availability Statement
Acknowledgments
Conflicts of Interest
References
- Zempleni, J.; Suttie, J.W.; Gregory, J.F.; Stover, P.J. Handbook of Vitamins, 3rd ed.; CRC Press: Boca Raton, FL, USA, 2001; pp. 122–139. [Google Scholar]
- Coelho, M. Vitamin stability in premixes and feeds: A practical approach in ruminant diets. In Proceedings of the 13th Annual Florida Ruminant Nutrition Symposium, University of Florida, Gainesville, FL, USA, 11–12 January 2002; Volume 127, p. 145. [Google Scholar]
- Yang, P.; Wang, H.K.; Zhu, M.; Ma, Y.X. Effects of Choline Chloride, Copper Sulfate and Zinc Oxide on Long-Term Stabilization of Microencapsulated Vitamins in Premixes for Weanling Piglets. Animals 2019, 9, 1154. [Google Scholar] [CrossRef] [PubMed]
- Lee, J.S.; Nam, Y.S.; Kang, B.; Han, S.; Chang, I. Vitamin A microencapsulation within poly (methyl methacrylate)-g-polyethylenimine microspheres: Localized proton buffering effect on vitamin A stability. J. Appl. Polym. Sci. 2010, 92, 517–522. [Google Scholar] [CrossRef]
- DSM Vitamin Supplementation Guidelines 2016 for Animal Nutrition. Available online: https://www.dsm.com/markets/anh/en_US/generic/download-registration-vitamin-supplementation-guidelines-in-animal-nutrition-2016.html?assetPath=/content/dam/dsm/anh/en_US/documents/Vitamin_Supp_Guidelines.pdf (accessed on 28 November 2019).
- Trouw Nutrition China Vitamins and Minerals Recommendation. Available online: https://www.trouwnutrition.com.cn/Products_overview/Service-Overview/Technical-article/Recommendatiom/ (accessed on 28 November 2019).
- National Standard Determination of Vitamin K3 in Feeds—High Performance Liquid Chromatography; General Administration of Quality Supervision, Inspection and Quarantine of the People’s Republic of China: Beijing, China, 2017.
- Pan, L.; Ma, H.; Piao, X.S.; Liu, L.; Li, D.F. A computer-controlled simulated digestion system is a promising in vitro digestibility technique to predict digestible energy of corn grain for growing pigs. Anim. Feed Sci. Technol. 2018, 235, 43–49. [Google Scholar] [CrossRef]
- Pope, J.T.; Brake, J.; Fahrenholz, A.C. Parameters monitored during the pelleting process and their relationship to xylanase activity loss. Anim. Feed Sci. Technol. 2020, 259, 114344. [Google Scholar] [CrossRef]
- EFSA Panel on Additives and Products or Substances used in Animal Feed (FEEDAP). Scientific Opinion on the safety and efficacy of vitamin K3 (menadione sodium bisulphite and menadione nicotinamide bisulphite) as a feed additive for all animal species. EFSA J. 2014, 12, 3532. [Google Scholar]
- Shurson, G.C.; Salzer, T.M.; Koehler, D.D.; Whitney, M.H. Effect of metal specific amino acid complexes and inorganic trace minerals on vitamin stability in premixes. Anim. Feed Sci. Technol. 2011, 163, 200–206. [Google Scholar] [CrossRef]
- Whitehead, C.C. Vitamins in feedstuffs. In Poultry Feedstuffs. Supply, Composition and Nutritive Values, 1st ed.; Poultry Science Symposium Series; CABI: Wallingford, UK, 2002; pp. 181–190. [Google Scholar]
- Ball, G.F.M. Bioavailability and Analysis of Vitamins in Foods; Springer: Berlin/Heidelberg, Germany, 1998; pp. 241–266. [Google Scholar]
- Gonnet, M.; Lethuaut, L.; Boury, F. New trends in encapsulation of liposoluble vitamins. J. Control. Release 2010, 146, 276–290. [Google Scholar] [CrossRef] [PubMed]
- Mougin, K.; Bruntz, A.; Severin, D.; Teleki, A. Morphological stability of microencapsulated vitamin formulations by AFM imaging. Food Struct. 2016, 9, 1–12. [Google Scholar] [CrossRef]
- Ford, J.E.; Hurrell, R.F.; Finot, P.A. Storage of milk powders under adverse conditions. 2. Influence on the content of water-soluble vitamins. Br. J. Nutr. 1983, 49, 355–364. [Google Scholar] [CrossRef] [PubMed]
- Baker, D.H. Swine Nutrition; CRC Press: Boca Raton, FL, USA, 2010; pp. 377–400. [Google Scholar]
- Tavčar-Kalcher, G.; Vengušt, A. Stability of vitamins in premixes. Anim. Feed Sci. Technol. 2007, 132, 148–154. [Google Scholar] [CrossRef]


| Item | Vitamin Premix | VTM (Choline-Free) Premix | VTM (Choline) Premix |
|---|---|---|---|
| Vitamin, unit/kg | |||
| Vitamin A, IU | 12,000,000 | 2,400,000 | 2,400,000 |
| Vitamin D3, IU | 4,000,000 | 800,000 | 800,000 |
| Vitamin E, IU | 100,000 | 20,000 | 20,000 |
| Vitamin K3 1, mg | 5000 | 1000 | 1000 |
| Vitamin B1, mg | 4000 | 800 | 800 |
| Vitamin B2, mg | 10,000 | 2000 | 2000 |
| Vitamin B6, mg | 6000 | 1200 | 1200 |
| Vitamin B12, mg | 50 | 10 | 10 |
| Niacin, mg | 55,000 | 11,000 | 11,000 |
| Pantothenic acid, mg | 30,000 | 6000 | 6000 |
| Biotin, mg | 250 | 200 | 200 |
| Folic acid, mg | 1000 | 50 | 50 |
| Choline chloride, mg | − | 16,000 | |
| Trace Mineral, mg/kg | |||
| Cu (CuSO4) | 4000 | 4000 | |
| Fe (FeSO4) | 20,000 | 20,000 | |
| Zn (ZnO) | 20,000 | 20,000 | |
| Mn (MnO) | 6000 | 6000 | |
| I (Ca (IO3)2) | 200 | 200 | |
| Se (NaSeO2) | 60 | 60 |
| Types | Source | Form | T-H | Choline | Effective Content (mg/kg) 1 |
|---|---|---|---|---|---|
| Vitamin premix 1 | MSB | crystal | 25 °C/60% | − | 4990 |
| Vitamin premix 2 | MSB | micro-capsule | 25 °C/60% | − | 5001 |
| Vitamin premix 3 | MSB | micro-sphere | 25 °C/60% | − | 4910 |
| Vitamin premix 4 | MNB | crystal | 25 °C/60% | − | 5043 |
| Vitamin premix 5 | MNB | micro-capsule | 25 °C/60% | − | 5011 |
| Vitamin premix 6 | MNB | micro-sphere | 25 °C/60% | − | 5031 |
| Vitamin premix 7 | MSB | crystal | 40 °C/75% | − | 5019 |
| Vitamin premix 8 | MSB | micro-capsule | 40 °C/75% | − | 4991 |
| Vitamin premix 9 | MSB | micro-sphere | 40 °C/75% | − | 5018 |
| Vitamin premix 10 | MNB | crystal | 40 °C/75% | − | 5020 |
| Vitamin premix 11 | MNB | micro-capsule | 40 °C/75% | − | 5033 |
| Vitamin premix 12 | MNB | micro-sphere | 40 °C/75% | − | 5010 |
| VTM premix 1 | MSB | crystal | − | − | 958 |
| VTM premix 2 | MSB | crystal | − | + | 1042 |
| VTM premix 3 | MSB | micro-capsule | − | − | 973 |
| VTM premix 4 | MSB | micro-capsule | − | + | 993 |
| VTM premix 5 | MSB | micro-sphere | − | − | 990 |
| VTM premix 6 | MSB | micro-sphere | − | + | 1073 |
| VTM premix 7 | MNB | crystal | − | − | 988 |
| VTM premix 8 | MNB | crystal | − | + | 1059 |
| VTM premix 9 | MNB | micro-capsule | − | − | 1021 |
| VTM premix 10 | MNB | micro-capsule | − | + | 1057 |
| VTM premix 11 | MNB | micro-sphere | − | − | 1054 |
| VTM premix 12 | MNB | micro-sphere | − | + | 1001 |
| VK3 Retention (%)/Months | Source (A) | Form (B) | T-H (C) | SEM | p-Value | ||||||||||
|---|---|---|---|---|---|---|---|---|---|---|---|---|---|---|---|
| MSB | MNB | Crystal | Micro-Capsule | Micro-Sphere | 25 °C/60% | 40 °C/75% | A | B | C | A × B | A × C | B × C | A × B × C | ||
| 1 | 82 Iβ | 86 Iα | 80 Ic | 85 Ib | 87 Ia | 96 IA | 72 IB | 1.80 | <0.001 | <0.001 | <0.001 | 0.011 | <0.001 | 0.003 | 0.754 |
| 2 | 66 IIβ | 80 IIα | 69 IIb | 73 IIa | 76 IIa | 88 IIA | 57 IIB | 2.24 | <0.001 | <0.001 | <0.001 | <0.001 | <0.001 | 0.958 | 0.002 |
| 3 | 54 IIIβ | 73 IIIα | 59 IIIb | 64 IIIa | 67 IIIa | 77 IIIA | 50 IIIB | 2.20 | <0.001 | <0.001 | <0.001 | <0.001 | <0.001 | 0.021 | <0.001 |
| 6 | 32 IVβ | 52 IVα | 35 IVc | 43 IVb | 48 IVa | 56 IVA | 28 IVB | 2.47 | <0.001 | <0.001 | <0.001 | 0.224 | <0.001 | 0.282 | 0.168 |
| p-value | <0.001 | <0.001 | <0.001 | <0.001 | <0.001 | <0.001 | <0.001 | ||||||||
| VK3 Retention (%)/Months | Source (A) | Form (B) | Choline (C) | SEM | p-Value | ||||||||||
|---|---|---|---|---|---|---|---|---|---|---|---|---|---|---|---|
| MSB | MNB | Crystal | Micro-Capsule | Micro-Sphere | − | + | A | B | C | A × B | A × C | B × C | A × B × C | ||
| 1 | 95 I | 94 I | 93 Ib | 96 Ia | 95 Iab | 95 I | 95 I | 0.71 | 0.210 | 0.010 | 0.661 | <0.001 | 0.163 | <0.001 | 0.787 |
| 2 | 88 II | 87 II | 83 IIb | 89 IIa | 89 IIa | 87 II | 88 II | 0.72 | 0.329 | <0.001 | 0.216 | 0.031 | 0.925 | 0.058 | 0.058 |
| 3 | 83 III | 81 III | 76 IIIc | 84 IIIb | 86 IIIa | 82 III | 82 III | 0.95 | 0.129 | <0.001 | 0.363 | <0.001 | <0.001 | <0.001 | <0.001 |
| 6 | 49 IV | 47 IV | 40 IVb | 51 IVa | 54 IVa | 51 IVA | 46 IVB | 1.32 | 0.156 | <0.001 | <0.001 | 0.064 | 0.105 | 0.449 | 0.026 |
| p-value | <0.001 | <0.001 | <0.001 | <0.001 | <0.001 | <0.001 | <0.001 | ||||||||
Publisher’s Note: MDPI stays neutral with regard to jurisdictional claims in published maps and institutional affiliations. |
© 2021 by the authors. Licensee MDPI, Basel, Switzerland. This article is an open access article distributed under the terms and conditions of the Creative Commons Attribution (CC BY) license (https://creativecommons.org/licenses/by/4.0/).
Share and Cite
Wang, H.; Yang, P.; Li, L.; Zhang, N.; Ma, Y.; Xu, X. Effects of Sources and Forms of Vitamin K3 on Its Storage Stability in Vitamin Premixes or Vitamin Trace Mineral Premixes. Animals 2021, 11, 1140. https://doi.org/10.3390/ani11041140
Wang H, Yang P, Li L, Zhang N, Ma Y, Xu X. Effects of Sources and Forms of Vitamin K3 on Its Storage Stability in Vitamin Premixes or Vitamin Trace Mineral Premixes. Animals. 2021; 11(4):1140. https://doi.org/10.3390/ani11041140
Chicago/Turabian StyleWang, Huakai, Pan Yang, Longxian Li, Nan Zhang, Yongxi Ma, and Xuexin Xu. 2021. "Effects of Sources and Forms of Vitamin K3 on Its Storage Stability in Vitamin Premixes or Vitamin Trace Mineral Premixes" Animals 11, no. 4: 1140. https://doi.org/10.3390/ani11041140
APA StyleWang, H., Yang, P., Li, L., Zhang, N., Ma, Y., & Xu, X. (2021). Effects of Sources and Forms of Vitamin K3 on Its Storage Stability in Vitamin Premixes or Vitamin Trace Mineral Premixes. Animals, 11(4), 1140. https://doi.org/10.3390/ani11041140

