Physiological, Biochemical, and Growth Parameters of Fogera Cattle Calves to Heat Stress during Different Seasons in Sub-Humid Part of Ethiopia
Abstract
Simple Summary
Abstract
1. Introduction
2. Materials and Methods
2.1. Description of the Study Area
2.2. Experimental Design and Animal Management
2.3. Data Collection
2.3.1. Physiological Parameters
2.3.2. Blood Sample Collection and Analysis
2.3.3. Growth Parameters
2.4. Statistical Analysis
3. Results
3.1. Meteorological Variables during the Study Periods
3.2. Physiological Parameters
3.3. Hematological Parameters
3.4. Biochemical Parameters
3.5. Growth Parameters
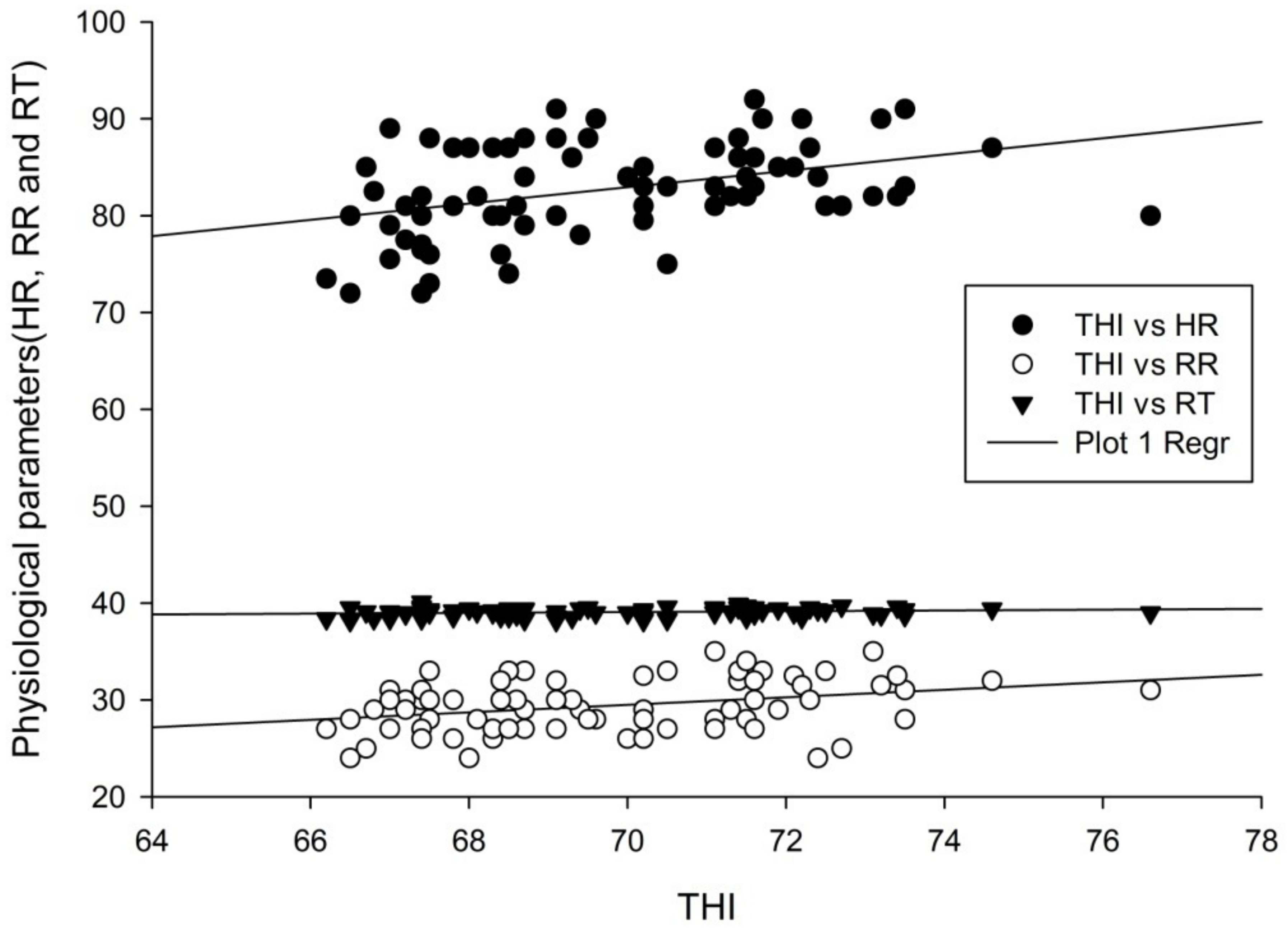
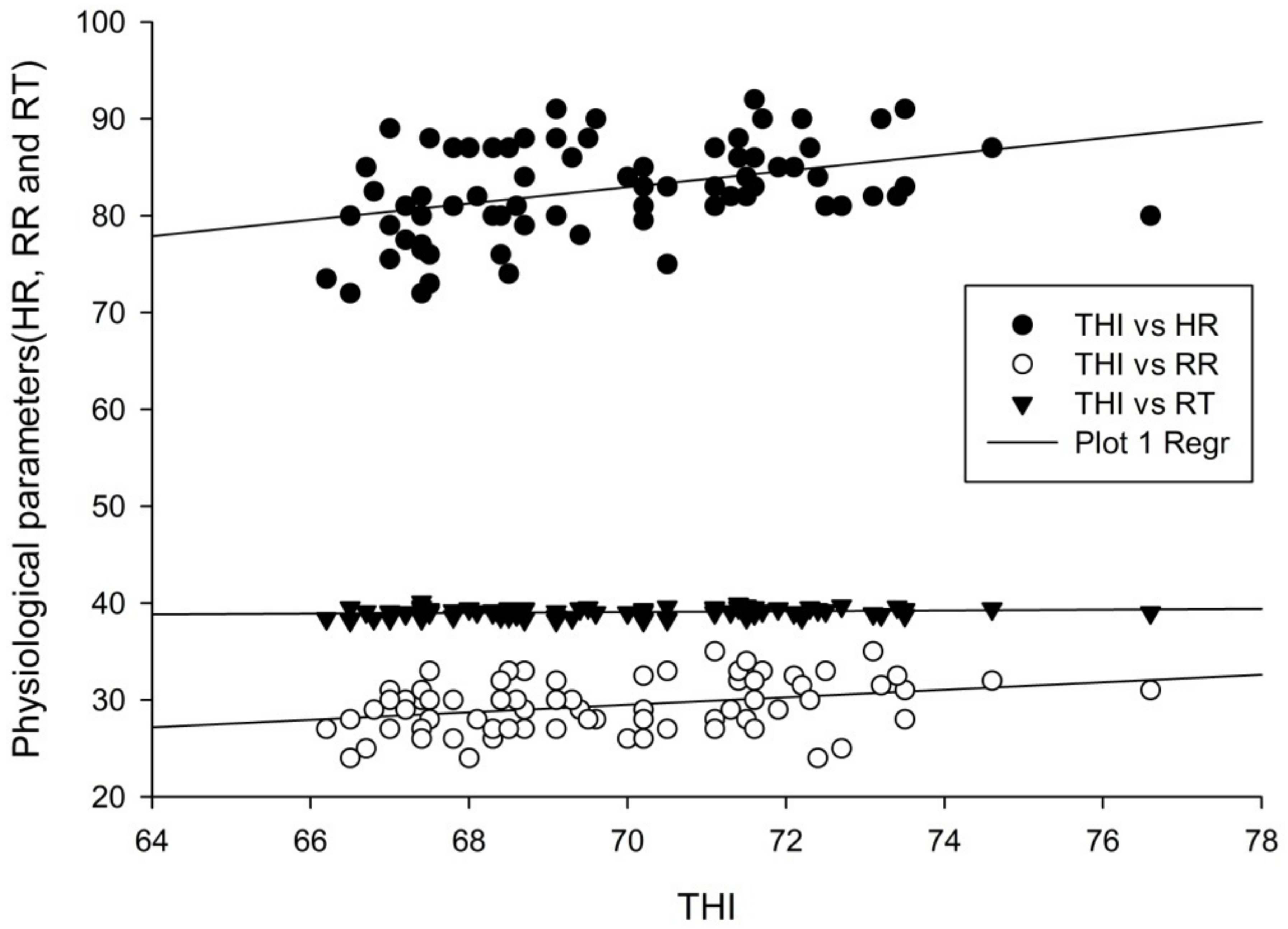
3.6. Relationship between THI and Physiological Parameters
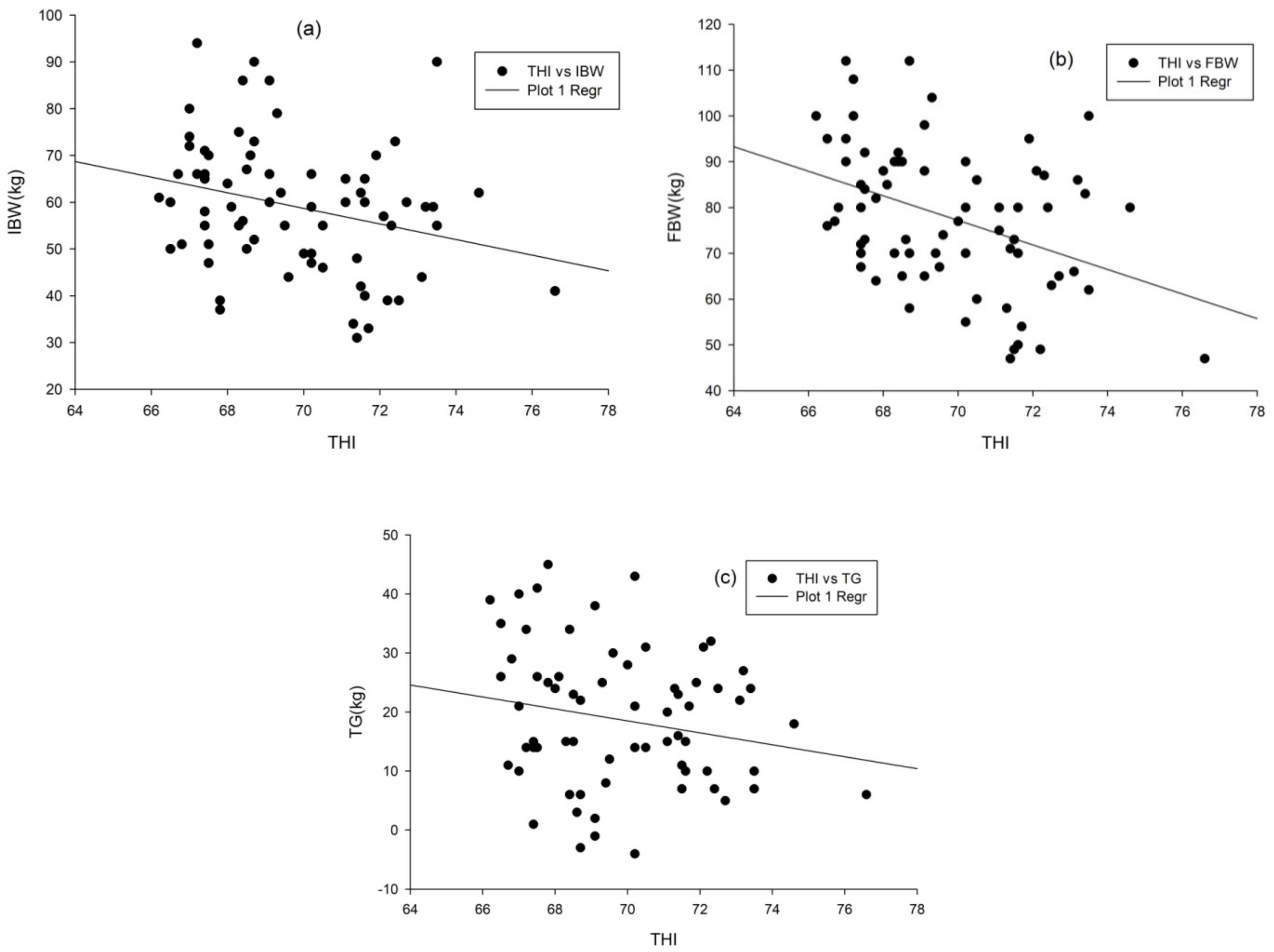
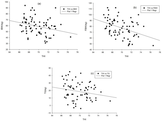
3.7. Relationship between THI and Growth Parameters
4. Discussions
4.1. Meteorological Variables during the Study Periods
4.2. Physiological Parameters
4.3. Hematological Parameters
4.4. Biochemical Parameters
4.5. Growth Parameters
4.6. Relationship between THI and Physiological Parameters
4.7. Relationship between THI and Growth Parameters
5. Conclusions and Recommendations
Author Contributions
Funding
Institutional Review Board Statement
Data Availability Statement
Acknowledgments
Conflicts of Interest
References
- Bati, B.M. Climate Change, Cattle Herd Vulnerability and Food Insecurity: Adaptation through Livestock Diversification in the Borana Pastoral System of Ethiopia. Ph.D. Thesis, Kommunikations-, Informations-und Medienzentrum der Universität Hohenheim, Stuttgart, Germany, 2014. [Google Scholar]
- Place, N.T.; Heinrichs, A.J.; Erb, H.N. The effects of disease, management, and nutrition on average daily gain of dairy heifers from birth to four months. J. Dairy Sci. 1998, 81, 1004–1009. [Google Scholar] [CrossRef]
- Wang, J.; Li, J.; Wang, F.; Xiao, J.; Wang, Y.; Yang, H.; Li, S.; Cao, Z. Heat stress on calves and heifers: A review. J. Anim. Sci. Biotechnol. 2020, 11, 79. [Google Scholar] [CrossRef]
- Baccari, F., Jr.; Johnson, H.D.; Hahn, G.L. Environmental heat effects on growth, plasma T3, and post heat compensatory effects on Holstein calves. Proc. Soc. Exp. Biol. Med. 1983, 173, 312–318. [Google Scholar] [CrossRef]
- Nonaka, I.; Takusari, N.; Tajima, K.; Suzuki, T.; Higuchi, K.; Kurihara, M. Effects of high environmental temperatures on physiological and nutritional status of prepubertal Holstein heifers. Livest. Sci. 2008, 113, 14–23. [Google Scholar] [CrossRef]
- Neuwirth, J.G.; Norton, J.K.; Rawlings, C.A.; Thompson, F.N.; Ware, G.O. Physiological responses of dairy calves to environmental heat stress. Int. J. Biometeorol. 1979, 23, 243–254. [Google Scholar] [CrossRef] [PubMed]
- Dash, S.; Chakravarty, A.K.; Singh, A.; Upadhyay, A.; Singh, M.; Yousuf, S. Effect of heat stress on reproductive performances of dairy cattle and buffaloes: A review. Vet. World 2016, 9, 235. [Google Scholar] [CrossRef] [PubMed]
- Polsky, L.; von Keyserlingk, M.A. Invited review: Effects of heat stress on dairy cattle welfare. J. Dairy Sci. 2017, 100, 8645–8657. [Google Scholar] [CrossRef]
- Mader, T.L.; Davis, M.S.; Brown-Brandl, T. Environmental factors influencing heat stress in feed lot cattle. J. Anim. Sci. 2006, 84, 712–719. [Google Scholar] [CrossRef] [PubMed]
- Anderson, B.H.; Watson, D.L.; Colditz, I.G. The effect of dexamethasone on some immunological parameters in cattle. Vet. Res. Commun. 1999, 23, 399–413. [Google Scholar] [CrossRef] [PubMed]
- Rasouli, A. The Influences of Seasonal Variations on Thyroid Activity and Some Biochemical Parameters of Cattle. Iran. J. Vet. Res. 2004, 5, 55–62. [Google Scholar]
- Kumar, M.; Jindal, R.; Nayyar, S.; Singla, M. Physiological and Biochemical Responses in Beetal Goats during Summer Season. Indian J. Small Rum. 2011, 16, 255–257. [Google Scholar]
- Melak, Y.; Ayana, A.; Aster, A. Effects of Grazing Intensity to Water Source on Grassland Condition, Yield and Nutritional Content of Selected Grass Species in Northwest Ethiopia. Ecol. Process. 2019, 8, 12. [Google Scholar] [CrossRef]
- Tesfa, A.; Dilip, K.; Solomon, A.; Getinet, M.; Tewodross, B.; Adebabay, K.; Addisu, B.; Yeshewas, F.; Hailu, M.; Mekonnen, T. Growth and Reproductive Performance of Fogera Cattle Breed at Andassa Livestock Research Center. Development 2016, 28, 1. [Google Scholar]
- Hahn, G. Dynamic responses of cattle to thermal heat loads. J. Anim. Sci. 1997, 77, 10–20. [Google Scholar] [CrossRef]
- Naik, B.; Kumar, A.; Ravi, A.; Bramhaiah, K.; Chakravarthi, V. Effect of Seasons on Physiological and Hematological Values in Punganur Cattle. Int. J. Pharma Biol. Sci. 2013, 4, 4. [Google Scholar]
- Melak, Y. Effects of Distance from Water Points on Grassland Condition, Biomass Production and Nutritional Quality of Grasses in Chagni Ranch, North West Ethiopia. Master’s Thesis, Hawassa University, Hawassa, Ethiopia, 2017. [Google Scholar]
- ENMA. Ethiopian National Meteorological Agency. In Annual Report; ENMA: Addis Ababa, Ethiopia, 2010. [Google Scholar]
- Ababa, A. Climate Change National Adaptation Programme of Action (Napa) of Ethiopia; National Meteorological Services Agency, Ministry of Water Resources, Federal Democratic Republic of Ethiopia: Addis Ababa, Ethiopia, 2007. [Google Scholar]
- NRC. A Guide to Environmental Research on Animals; NRC: Washington, DC, USA, 1971. [Google Scholar]
- Nikhil, K.; Girish, V.; Abhina, M.; Adarsh, N.; Karthiayini, K.; Gleeja, V. Impact of Season on Haematological and Biochemical Parameters of Crossbred Female Calves in Hot and Humid Tropics. Biol. Rhythm Res. 2018, 49, 267–275. [Google Scholar] [CrossRef]
- ICLAS. Council for International Organizations of Medical Sciences and the International Council for Laboratory Animal Science. International Guiding Principles for Biomedical Research Involving Animals. 2012. Available online: http://Grants.Nih.Gov/Grants/Olaw/Guiding_Principles_2012.Pdf (accessed on 4 August 2019).
- Habeeb, A.A.; Gad, A.E.; Atta, M.A. Temperature-humidity indices as indicators to heat stress of climatic conditions with relation to production and reproduction of farm animals. Int. J. Biotechnol. Recent Adv. 2018, 1, 35–50. [Google Scholar] [CrossRef]
- Aziz, Z.; Varma, G.; Raji, K.; Gleeja, V. Influence of temperature-humidity index on the physiological parameters and growth rate of crossbred cattle calves. Int. J. Appl. Pure Sci. Agric. 2016, 2, 187–189. [Google Scholar]
- Marai, I.F.; Haeeb, A.A.M. Buffaloes’ reproductive and productive traits as affected by heat stress. Trop. Subtrop. Agroecosyst. 2010, 12, 193–217. [Google Scholar]
- Kumar, J.; Kumar, M.; Madan, A.; Singh, Y.; Yadav, B.; Anand, M. Effect of Seasonon Physiological Parameters and Production Profile of Hariana and Sahiwal Cattle. J. Haryana Vet. 2017, 56, 69–71. [Google Scholar]
- Silva, J.; Araújo, A.; Júnior, J.; Dos, N.; Garcia, A.; Oliveira, R. Thermal Comfort Indices of Female Murrah Buffaloes Reared in the Eastern Amazon. Int. J. Biometeorol. 2015, 59, 1261–1267. [Google Scholar] [CrossRef]
- Purwanto, B.; Nakamasu, F.; Yamamoto, S. Effect of environmental temperatures on heat production in dairy heifers differing in feed intake level. Asian Australas. J. Anim. Sci. 1993, 6, 275–279. [Google Scholar]
- Pandey, P.; Hooda, O.; Kumar, S. Impact of heat stress and hypercapnia on physiological, hematological, and behavioral profile of Tharparkar and Karan fries heifers. Vet. World 2017, 10, 1146–1155. [Google Scholar] [CrossRef]
- VenkataReddy, B.; Sivakumar, A.S.; Jeong, D.W.; Woo, Y.B.; Park, S.J.; Lee, S.Y.; Byun, J.Y.; Kim, C.H.; Cho, S.H.; Hwang, I. Beef quality traits of heifer in comparison with steer, bull and cow at various feeding environments. Anim. Sci. J. 2015, 86, 1–16. [Google Scholar] [CrossRef] [PubMed]
- Kubkomawa, I.H.; Ogundu, M.A.; Okoli, I.C.; Udedibie, A.B.I. Seasonal hematological characterization of pastoral cattle in the Guinea Savannah zone of North-Eastern Nigeria. Glob. J. Anim. Sci. Livest. Prod. Anim. Breed. 2016, 4, 274–290. [Google Scholar]
- Celik, O.Y.; Kivanc, I.R.A.K.; Akgul, G. Effect of Sex on Some Biochemical and Hematological Parameters in Healthy Boer X Hair Goat Crossbreed. Kocatepe Vet. Derg. 2019, 12, 45–51. [Google Scholar]
- Camargo, C.; Duarte, J.; Fagliari, J.J.; Santana, A.M.; Simplício, K.M.; Santana, A.E. Effect of sex and seasons of the year on hematological and serum biochemical variables of captive brown brocket deer (Mazama gouazoubira). Pesqui. Vet. Bras. 2013, 33, 1364–1370. [Google Scholar] [CrossRef][Green Version]
- Mirzadeh, K.H.; Tabatabaei, S.; Bojarpour, M.; Mamoei, M. Comparative Study of Hematological Parameters According Strain, Age, Sex, Physiological Status and Season in Iranian Cattle. J. Anim. Vet. Adv. 2010, 9, 2123–2127. [Google Scholar] [CrossRef][Green Version]
- Aengwanich, W.; Watee, K.; Thongchai, B. Effects of Shade on Physiological Changes, Oxidative Stress, and Total Antioxidant Power in Thai Brahman Cattle. Int. J. Biometeorol. 2011, 55, 741–748. [Google Scholar] [CrossRef]
- Tibbo, M.; Jibril, Y.; Woldemeskel, M.; Dawo, F.; Aragaw, K.; Rege, J.E.O. Factors Affecting Hematological Profiles in Three Ethiopian Indigenous Goat Breeds. J. Appl. Res. Vet. Med. 2004, 2, 297–309. [Google Scholar]
- El-Nouty, F.D.; Al-Haidary, A.A.; Salah, M.S. Seasonal variation in hematological values of high- and average yielding Holstein cattle in semi-arid environment. J. King Saud Univ. 1990, 2, 173–182. [Google Scholar]
- Dar, A.H.; Kumar, S.; Singh, D.V.; Sodhi, M.; Sharma, R.K.; Ghosh, A.K.; Singh, B.; Rahman, J.U. Seasonal variation in blood biochemical characteristics of Badri cattle. Pharma. Innov. 2019, 8, 147–150. [Google Scholar]
- Farooq, U.; Ahmad, N.; Ahmad, I.; Mahmood, S.A.; Andrabi, S.M.H.; Idris, M. Effect of seasonal variations on the haemato chemical profile of Cholistani service bulls. J. Appl. Anim. Res. 2017, 45, 85–89. [Google Scholar] [CrossRef]
- Alameen, A.O.; Abdalla, A.M. Metabolic and Endocrine Responses of Crossbred Dairy Cows in Relation to Pregnancy and Season under Tropical Conditions. Am. Eurasian J. Agric. Environ. Sci. 2012, 12, 1065–1074. [Google Scholar]
- Abeni, F.; Luigi, C.; Luigi, S. Metabolic Conditions of Lactating Friesian Cows during the Hot Season in the PoValley.1. Blood Indicators of Heat Stress. Int. J. Biometeorol. 2007, 52, 87–96. [Google Scholar] [CrossRef]
- Ronchi, B.; Lacetera, N.; Bernabucci, U.; Nardone, A.; Verini, S. Distinct and Common Effects of Heat Stress and Restricted Feeding on Metabolic Status of Holstein Heifers. Zootec. Nutr. Anim. 1999, 25, 11–20. [Google Scholar]
- Bhatta, M.; Das, D.; Ghosh, P.R. The effect of ambient temperature on some biochemical profiles of Black Bengal goats (Capra aegagrus hircus) in two different agro-climatic zones in West Bengal, India. IOSR J. Pharma. Biol. Sci. 2014, 9, 32–36. [Google Scholar]
- Kalyani, P.; Aswani, K.K.; Haritha, Y.; Srinivas, B.; Kanaka, D.A. Comparative blood haemato-biochemical variations in Indian Zebu cattle breeds during early summer. Biol. Rhythm Res. 2018, 49, 811–818. [Google Scholar] [CrossRef]
- Pereira, A.M.; Baccari, F.; Titto, E.A.; Almeida, J.A. Effect of thermal stress on physiological parameters, feed intake and plasma thyroid hormones concentration in Alentejana, Mertolenga, Frisianand Limousine cattle breeds. Int. J. Biometeorol. 2008, 52, 199–208. [Google Scholar] [CrossRef]
- Mekuriaw, G.; Workneh, A.; Hegde, P.B. Growth and Reproductive Performance of Ogaden Cattle at Haramaya University, Ethiopia. Ethiop. J. Anim. Prod. 2009, 9, 13. [Google Scholar]
- Almaz, B. Genetic Parameter Estimation of Growth and Reproduction Traits of Fogera Cattle at Metekel Ranch, Amhara Region, Ethiopia. Master’s Thesis, Bahir Dar University, College of Agriculture and Natural Resource, Bahir Dar, Ethiopia, 2012. [Google Scholar]
- Bianca, W. The Relation between Respiratory Rate and Heart Rate in the Calf Subjected to Severe Heat Stress. J. Agric. Sci. 1958, 51, 321–324. [Google Scholar] [CrossRef]
- Nabenishi, H.; Atusi, Y. Effects of Temperature-Humidity Index on Health and Growth Performance in Japanese Black Calves. Trop. Anim. Health Prod. 2017, 49, 397–402. [Google Scholar] [CrossRef] [PubMed]
- Broucek, J.; Kisac, P.; Uhrincat, M. Effect of hot temperatures on the hematological parameters, health and performance of calves. Int. J. Biometeorol. 2009, 53, 201–208. [Google Scholar] [CrossRef] [PubMed]
- Colditz, P.J.; Kellaway, R.C. The effect of diet and heat stress on feed intake, growth, and nitrogen metabolism in Friesian, F1 Brahman x Friesian, and Brahman heifers. Aust. J. Agric. Res. 1972, 23, 717–725. [Google Scholar] [CrossRef]



| Parameters | Method of Analysis | Instrument Used |
|---|---|---|
| Total protein | Biuret method | A25 biochemistry analyzer (Wreck and Mended enterprise, Thane West, Thane, Maharashtra, India) by using the reagents developed for each parameter test |
| Urea | An enzymatic method (GLDH method) | |
| Creatine | Photometric colorimetric test for kinetic measurements (Jaffe’-reaction) | |
| Glucose | An enzymatic colorimetric test (GOD-PAP method) | |
| Total cholesterol | An enzymatic colorimetric method with lipid clearing factor (CHOD-PAP method) |
| Meteorological Variables | DS (January) | SR (April) | LR (July) | |
|---|---|---|---|---|
| Ambient temperature (°C) | Maximum | 33.1 ± 0.5 a | 32.9 ± 0.6 a | 23.1 ± 0.3 b |
| Minimum | 21.3 ± 0.6 a | 21.0 ± 0.7 a | 20.7 ± 0.2 a | |
| Mean | 27.0 ± 0.4 b | 26.9 ± 0.4 b | 21.8 ± 0.2 a | |
| Relative humidity (%) | Maximum | 47.6 ± 1.1 a | 41.5 ± 1.9 b | 88.6 ± 0.6 c |
| Minimum | 30.9 ± 0.8 a | 28.3 ± 0.8 a | 80.0 ± 1.2 b | |
| Mean | 39.2 ± 0.8 a | 34.9 ± 1.2 b | 84.3 ± 0.8 c | |
| THI | Maximum | 81.7 ± 0.6 a | 80.7 ± 0.9 a | 72.5 ± 0.6 b |
| Minimum | 65.6 ± 0.7 a | 65.0 ± 0.8 b | 67.9 ± 0.2 b | |
| Mean | 72.7 ± 0.5 a | 72.0 ± 0.4 a | 69.6 ± 0.3 b |
| Parameters | DS | Season | Sex | p-Value | ||||
|---|---|---|---|---|---|---|---|---|
| SR | LR | Female | Male | Season | Sex | Season × Sex | ||
| HR | 86.0 ± 0.7 a | 81.9 ± 0.8 ab | 80.3 ± 1.1 b | 81.5 ± 0.9 b | 84.0 ± 0.7 a | 0.0001 | 0.0070 | 0.0030 |
| RR | 31.8 ± 0.4 a | 28.4 ± 0.5 b | 28.0 ± 0.4 b | 28.9 ± 0.5 b | 29.9 ± 0.4 a | 0.0001 | 0.0460 | 0.0470 |
| RT | 39.1 ± 0.1 | 39.0 ± 0.1 | 38.9 ± 0.09 | 39.1 ± 0.1 | 39.0 ± 0.1 | 0.2680 | 0.1650 | 0.9450 |
| Parameters | DS | Seasons | Sex | p-Value | ||||
|---|---|---|---|---|---|---|---|---|
| SR | LR | Female | Male | Season | Sex | Season × Sex | ||
| WBC(×10 µL−3) | 10.3 ± 0.6 | 12.2 ± 0.7 | 13.6 ± 1.0 | 10.2 ± 0.7 | 10.5 ± 1.0 | 0.011 | 0.106 | 0.211 |
| RBC(×10 µL−6) | 5.2 ± 0.3 | 8.3 ± 0.3 | 2.9 ± 0.1 | 5.2 ± 0.2 | 5.3 ± 0.5 | 0.000 | 0.290 | 0.318 |
| HGB (g dL−1) | 8.0 ± 0.2 | 10.1 ± 0.2 | 8.5 ± 0.3 | 8.0 ± 0.3 | 8.1 ± 0.2 | 0.000 | 0.333 | 0.378 |
| PCV (%) | 26.3 ± 0.5 | 27.3 ± 0.8 | 26.0 ± 0.4 | 27.2 ± 0.8 | 25.3 ± 0.6 | 0.275 | 0.028 | 0.609 |
| MCV (fL) | 50.5 ± 1.2 | 33.7 ± 0.9 | 92.8 ± 0.8 | 51.4 ± 1.3 | 49.5 ± 2.1 | 0.000 | 0.275 | 0.084 |
| MCH (pg) | 15.7 ± 0.6 | 12.8 ± 0.9 | 31.1 ± 1.1 | 15.7 ± 1.0 | 15.7 ± 0.8 | 0.000 | 0.622 | 0.615 |
| MCHC (g dL−1) | 31.1 ± 0.9 | 37.5 ± 0.5 | 33.2 ± 1.1 | 30.6 ± 1.5 | 31.6 ± 0.9 | 0.000 | 0.614 | 0.135 |
| Parameters | Seasons | Sex | p | |||||
|---|---|---|---|---|---|---|---|---|
| DS | SR | LR | F | M | Season | Sex | Season × Sex | |
| Total protein (g dL−1) | 6.6 ± 0.1 a | 7.9 ± 0.2 b | 8.0 ± 0.3 b | 7.5 ± 0.2 | 7.5 ± 0.2 | 0.000 | 0.728 | 0.107 |
| Total chol. (mg dL−1) | 96.9 ± 1.1 a | 98.7 ± 1.4 a | 103.7 ± 1.1 b | 100.9 ± 1.0 | 98.7 ± 1.1 | 0.000 | 0.098 | 0.29 |
| Glucose (mg dL−1) | 70.4 ± 0.9 c | 84.3 ± 0.9 b | 90.2 ± 1.0 a | 81.4 ± 1.6 | 81.8 ± 1.6 | 0.000 | 0.731 | 0.073 |
| Creatine (mg dL−1) | 0.8 ± 0.0 a | 0.6 ± 0.0 b | 0.6 ± 0.0 b | 0.7 ± 0.0 | 0.6 ± 0.0 | 0.000 | 0.068 | 0.035 |
| Urea(mg dL−1) | 32.1 ± 1.4 a | 29.9 ± 1.0 ab | 26.6 ± 1.5 b | 30.0 ± 1.2 | 29.01 ± 1.1 | 0.012 | 0.506 | 0.005 |
| Parameters | Season | Sex | p-Value | |||||
|---|---|---|---|---|---|---|---|---|
| DS | SR | LR | F | M | Season | Sex | Season × Sex | |
| IBW (kg) | 49.0 ± 2.5 c | 63.5 ± 2.3 b | 64.8 ± 2.7 a | 59.2 ± 2.8 | 59.1 ± 1.8 | 0.0001 | 0.9688 | 0.0907 |
| FBW (kg) | 67.0 ± 2.8 c | 77.6 ± 2.5 b | 89.0 ± 2.4 a | 78.6 ± 2.7 | 77.2 ± 2.5 | 0.0001 | 0.6560 | 0.3800 |
| TG (kg) | 18.0 ± 2.1 b | 14.0 ± 2.2 c | 24.3 ± 2.3 a | 19.4 ± 1.8 | 18.1 ± 2.0 | 0.0038 | 0.6080 | 0.0127 |
| ADG (g/d) | 600.0 ± 0.07 b | 500.0 ± 0.1 c | 800.0 ± 0.07 a | 0.7 ± 0.1 | 0.6 ± 0.1 | 0.0036 | 0.6122 | 0.0126 |
Publisher’s Note: MDPI stays neutral with regard to jurisdictional claims in published maps and institutional affiliations. |
© 2021 by the authors. Licensee MDPI, Basel, Switzerland. This article is an open access article distributed under the terms and conditions of the Creative Commons Attribution (CC BY) license (https://creativecommons.org/licenses/by/4.0/).
Share and Cite
Abera, M.; Yusuf Mummed, Y.; Eshetu, M.; Pilla, F.; Wondifraw, Z. Physiological, Biochemical, and Growth Parameters of Fogera Cattle Calves to Heat Stress during Different Seasons in Sub-Humid Part of Ethiopia. Animals 2021, 11, 1062. https://doi.org/10.3390/ani11041062
Abera M, Yusuf Mummed Y, Eshetu M, Pilla F, Wondifraw Z. Physiological, Biochemical, and Growth Parameters of Fogera Cattle Calves to Heat Stress during Different Seasons in Sub-Humid Part of Ethiopia. Animals. 2021; 11(4):1062. https://doi.org/10.3390/ani11041062
Chicago/Turabian StyleAbera, Michael, Yesihak Yusuf Mummed, Mitiku Eshetu, Fabio Pilla, and Zewdu Wondifraw. 2021. "Physiological, Biochemical, and Growth Parameters of Fogera Cattle Calves to Heat Stress during Different Seasons in Sub-Humid Part of Ethiopia" Animals 11, no. 4: 1062. https://doi.org/10.3390/ani11041062
APA StyleAbera, M., Yusuf Mummed, Y., Eshetu, M., Pilla, F., & Wondifraw, Z. (2021). Physiological, Biochemical, and Growth Parameters of Fogera Cattle Calves to Heat Stress during Different Seasons in Sub-Humid Part of Ethiopia. Animals, 11(4), 1062. https://doi.org/10.3390/ani11041062

