Challenges and Tendencies of Automatic Milking Systems (AMS): A 20-Years Systematic Review of Literature and Patents
Abstract
Simple Summary
Abstract
1. Introduction
2. Materials and Methods
2.1. Scoping
2.2. Planning
2.3. Identification/Search and Screening
2.4. Eligibility Criteria
2.5. Text Mining
2.6. Cluster Analysis
3. Results
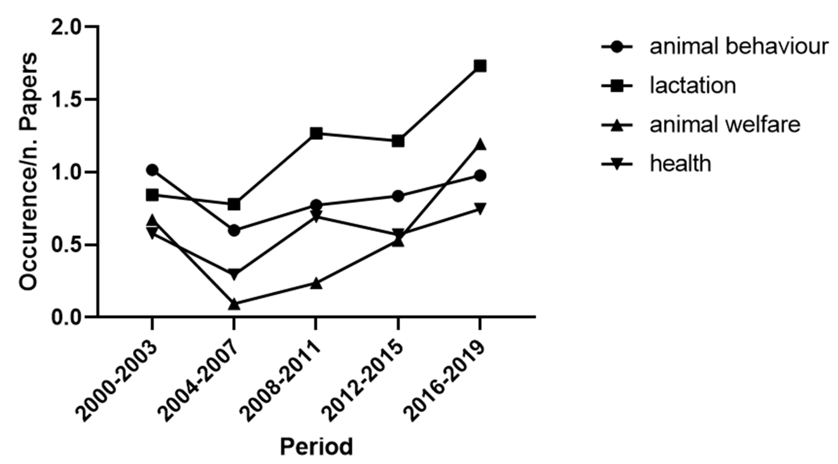
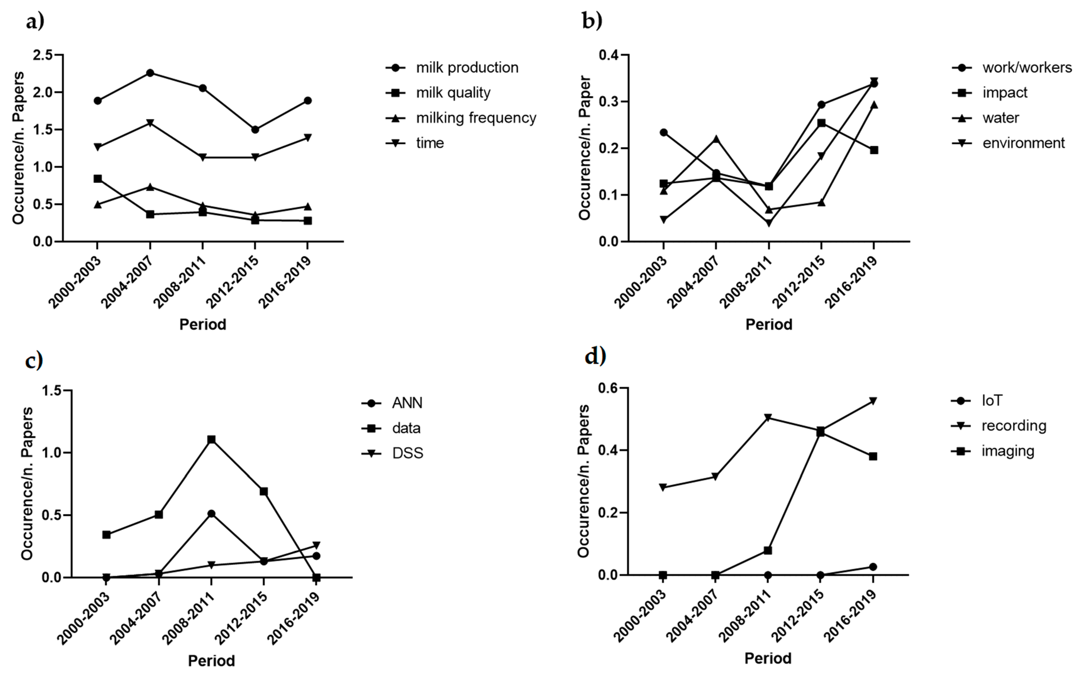
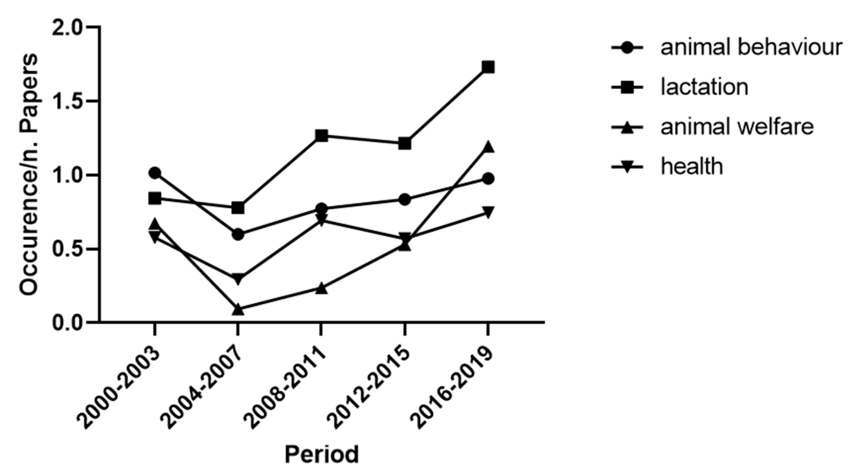
3.1. Scientific Research: Papers Review
3.1.1. Previous Reviews
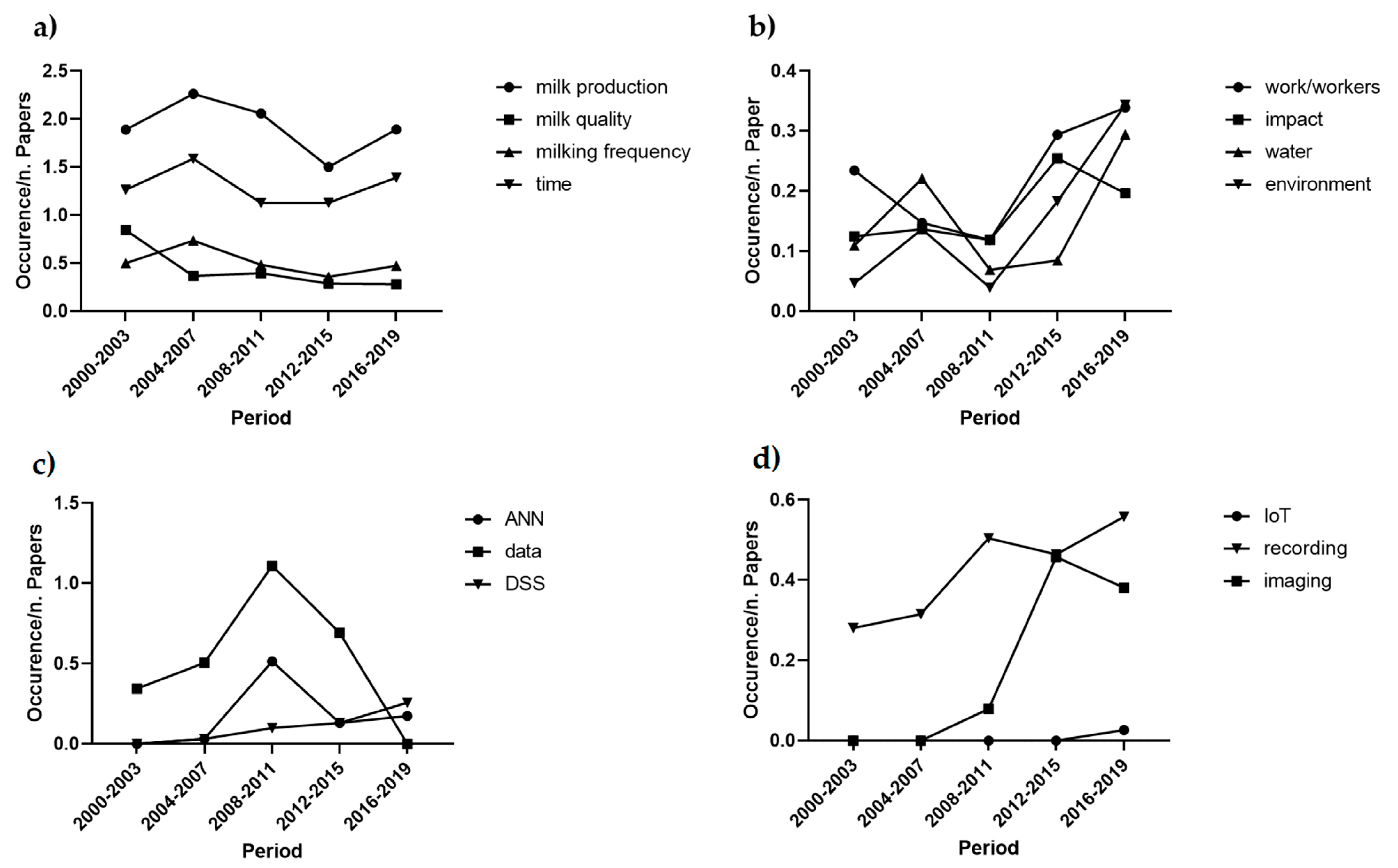
3.1.2. Papers Tendencies
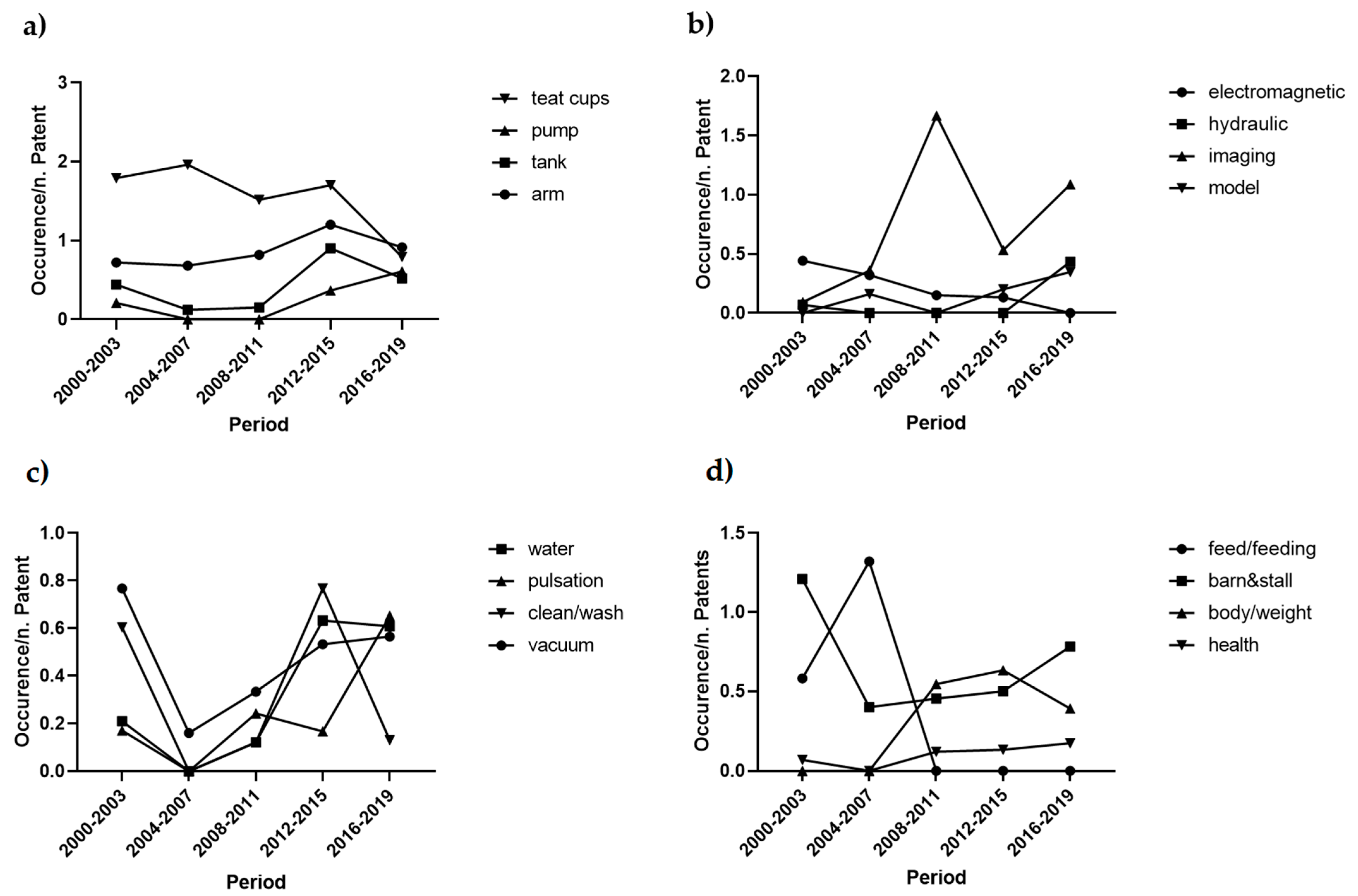
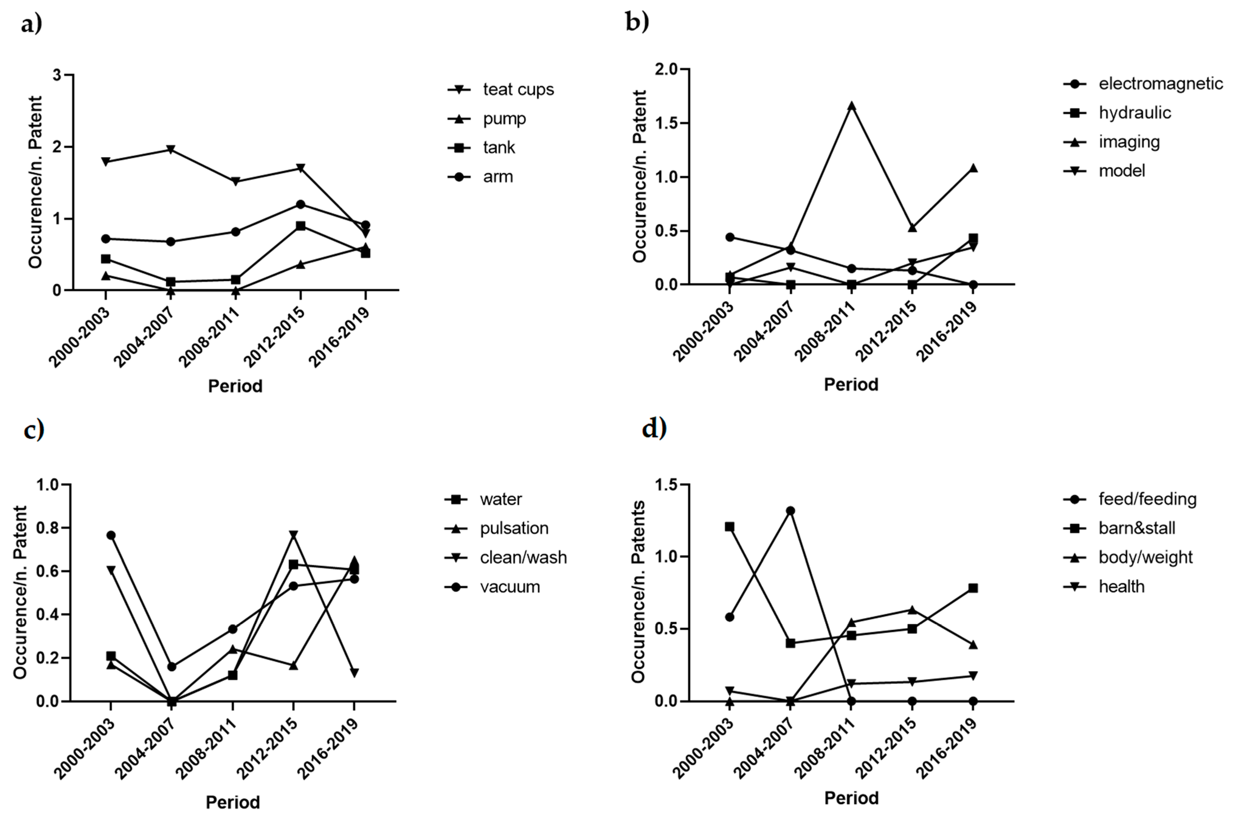
3.2. Industrial Research: Patents Tendencies
4. Discussion
5. Conclusions
Author Contributions
Funding
Institutional Review Board Statement
Data Availability Statement
Conflicts of Interest
References
- Kamphuis, C. Using activity meters to monitor cow health: DairyCare COST Action FA1308. In Proceedings of the Second DairyCare Conference, Cordoba, Spain, 3–4 March 2015. [Google Scholar]
- Groher, T.; Heitkämper, K.; Umstätter, C. Digital technology adoption in livestock production with a special focus on ruminant farming. Animal 2020, 11, 2404–2413. [Google Scholar] [CrossRef] [PubMed]
- Da Borso, F.; Chiumenti, A.; Sigura, M.; Pezzuolo, A. Influence of automatic feeding systems on design and management of dairy farms. J. Agric. Eng. 2017, 48, 48–52. [Google Scholar] [CrossRef]
- Mattachini, G.; Pompe, J.; Finzi, A.; Tullo, E.; Riva, E.; Provolo, G. Effects of feeding frequency on the lying behavior feeding and milking system. Animals 2019, 9, 121. [Google Scholar] [CrossRef] [PubMed]
- Bonora, F.; Benni, S.; Barbaresi, A.; Tassinari, P.; Torreggiani, D. A cluster-graph model for herd characterisation in dairy farms equipped with an automatic milking system. Biosyst. Eng. 2018, 167, 1–7. [Google Scholar] [CrossRef]
- Marcos, L.; Filho, S.; Lopes, M.A.; Brito, S.C.; Rossi, G.; Conti, L.; Barbari, M. Robotic milking of dairy cows: A review (Ordenha robotizada de vacas leiteiras: Uma revisão). Semina Ciências Agrárias 2020, 41, 2833–2850. [Google Scholar]
- Sivamani, S.; Kim, H.; Lee, M.; Shin, C. An Android-based feed behavior monitoring system for early disease detection in livestock. In Advances in Computer Science and Ubiquitous Computing; Springer Science & Business Media: Singapore, 2015; pp. 79–80. [Google Scholar]
- Bijl, R.; Kooistra, S.R.; Hogeveen, H. The profitability of automatic milking on Dutch dairy farms. J. Dairy Sci. 2007, 90, 239–248. [Google Scholar] [CrossRef]
- Lessire, F.; Moula, N.; Hornick, J.; Dufrasne, I. Systematic review and meta-analysis: Identification of factors influencing milking frequency of cows in automatic milking systems combined with grazing. Animals 2020, 10, 913. [Google Scholar] [CrossRef]
- Jacobs, J.A.; Siegford, J.M. Invited review: The impact of automatic milking systems on dairy cow management, behavior, health, and welfare. J. Dairy Sci. 2012, 95, 2227–2247. [Google Scholar] [CrossRef]
- de Koning, C.J.A.M. (Kees) Automatic milking—Common practice on dairy farms. In Proceedings of the First North American Conference on Precision Dairy Management, Progressive Dairy Operators, Guelph, ON, Canada, 2–5 March 2010; pp. 52–67. [Google Scholar]
- Hansen, B.G.; Herje, H.O.; Höva, J. Profitability on dairy farms with automatic milking systems compared to farms with conventional milking systems. Int. Food Agribus. Manag. Rev. 2019, 22, 215–228. [Google Scholar] [CrossRef]
- Masía, F.M.; Lyons, N.A.; Piccardi, M.; Balzarini, M.; Hovey, R.C.; Garcia, S.C. Modeling variability of the lactation curves of cows in automated milking systems. J. Dairy Sci. 2020, 103, 8189–8196. [Google Scholar] [CrossRef]
- Svennesen, L.; Søren, S.N.; Mahmmod, Y.S.; Krömker, V.; Pedersen, K.; Klaas, I.C. Association between teat skin colonization and intramammary infection with Staphylococcus aureus and Streptococcus agalactiae in herds with automatic milking systems. J. Dairy Sci. 2019, 102, 629–639. [Google Scholar] [CrossRef] [PubMed]
- Bhakat, C. Readily usable strategies to control mastitis for production augmentation in dairy cattle: A review. Vet. World 2020, 13, 2364–2370. [Google Scholar] [CrossRef] [PubMed]
- Piwczyński, D.; Brzozowski, M.; Sitkowska, B. The impact of the installation of an automatic milking system on female fertility traits in Holstein-Friesian cows. Livest. Sci. 2020, 240, 1–6. [Google Scholar] [CrossRef]
- Edwards, J.P.; Kuhn-Sherlock, B.; Dela Rue, B.T.; Eastwood, C.R. Short communication: Technologies and milking practices that reduce hours of work and increase flexibility through milking efficiency in pasture-based dairy farm systems. J. Dairy Sci. 2020, 103, 7172–7179. [Google Scholar] [CrossRef]
- Hansen, B.G.; Stræte, E.P. Dairy farmers’ job satisfaction and the influence of automatic milking systems. NJAS Wagening. J. Life Sci. 2020, 92, 100328. [Google Scholar] [CrossRef]
- Karttunen, J.P. Occupational health and safety of Finnish dairy farmers using automatic milking systems. Front. Public Health 2016, 4, 1–11. [Google Scholar] [CrossRef]
- Salfer, J.A.; Siewert, J.M.; Endres, M.I. Housing, management characteristics, and factors associated with lameness, hock lesion, and hygiene of lactating dairy cattle on Upper Midwest United States dairy farms using automatic milking systems. J. Dairy Sci. 2018, 101, 8586–8594. [Google Scholar] [CrossRef]
- Svennersten-Sjaunja, K.M.; Pettersson, G. Pros and cons of automatic milking in Europe. J. Anim. Sci. 2008, 86, 37–46. [Google Scholar] [CrossRef]
- Gygax, L.; Neuffer, I.; Kaufmann, C.; Hauser, R.; Wechsler, B. Comparison of functional aspects in two automatic milking systems and auto-tandem milking parlors. J. Dairy Sci. 2007, 90, 4265–4274. [Google Scholar] [CrossRef]
- Calcante, A.; Tangorra, F.M.; Oberti, R. Analysis of electric energy consumption of automatic milking systems in different configurations and operative conditions. J. Dairy Sci. 2016, 99, 4043–4047. [Google Scholar] [CrossRef]
- Jiang, H.; Wang, W.; Li, C.; Wang, W. Innovation, practical benefits and prospects for the future development of automatic milking systems. Front. Agric. Sci. Eng. 2017, 4, 37–47. [Google Scholar] [CrossRef]
- Hogeveen, H.; Ouweltjes, W. Sensors and management support in high-technology milking. J. Anim. Sci. 2003, 81 (Suppl. 3), 1–10. [Google Scholar] [CrossRef] [PubMed]
- Wagner-Storch, A.M.; Palmer, R.W. Feeding behavior, milking behavior, and milk yields of cows milked in a parlor versus an automatic milking system. J. Dairy Sci. 2003, 86, 1494–1502. [Google Scholar] [CrossRef]
- Chiumenti, A.; Borso, F.; Pezzuolo, A.; Chiumenti, R. Ammonia and greenhouse gas emissions from slatted dairy barn floors cleaned by robotic scrapers. Res. Agric. Eng. 2018, 64, 26–33. [Google Scholar]
- Cogato, A.; Meggio, F.; De Antoni Migliorati, M.; Marinello, F. Extreme weather events in agriculture: A systematic review. Sustainability 2019, 11, 2547. [Google Scholar] [CrossRef]
- Moher, D.; Liberati, A.; Tetzlaff, J.; Altman, D.G.; Altman, D.; Antes, G.; Atkins, D.; Barbour, V.; Barrowman, N.; Berlin, J.A.; et al. Preferred reporting items for systematic reviews and meta-analyses: The PRISMA statement. PLoS Med. 2009, 6, 1–6. [Google Scholar] [CrossRef]
- Koutsos, T.M.; Menexes, G.C.; Dordas, C.A. An efficient framework for conducting systematic literature reviews in agricultural sciences. Sci. Total Environ. 2019, 682, 106–117. [Google Scholar] [CrossRef]
- Antanaitis, R.; Juozaitienė, V.; Malašauskienė, D.; Televičius, M. Can rumination time and some blood biochemical parameters be used as biomarkers for the diagnosis of subclinical acidosis and subclinical ketosis? Vet. Anim. Sci. 2019, 8, 1–6. [Google Scholar] [CrossRef]
- Knappstein, K.; Suhren, G.; Walte, H.G. Influence of milking frequencies in automatic milking systems on excretion characteristics of different antibiotics in milk. Kiel. Milchwirtsch Forsch. 2005, 57, 215–261. [Google Scholar]
- Kannan, S.; Gurusamy, V. Preprocessing Techniques for Text Mining. IJCSC 2014, 5, 7–16. [Google Scholar]
- Millar, K.M.; Tomkins, S.M.; Mepham, T.B. Food biotechnologies and retail ethics: A survey of UK retailers’ views on the use of two dairy technologies. Int. J. Food Sci. Technol. 2001, 36, 845–854. [Google Scholar] [CrossRef]
- Mottram, T.; Velasco-Garcia, M.; Berry, P.; Richards, P.; Ghesquiere, J.; Masson, L. Automatic on-line analysis of milk constituents (urea, ketones, enzymes and hormones) using biosensors. Comp. Clin. Path. 2002, 11, 50–58. [Google Scholar] [CrossRef]
- Pyörälä, S. Indicators of inflammation in the diagnosis of mastitis. Vet. Res. 2003, 34, 565–578. [Google Scholar] [CrossRef] [PubMed]
- Olechnowicz, J.; Lipiński, M.; Jaśkowski, J.M. Main issues in robotic milking of cows. Med. Weter. 2006, 62, 611–616. [Google Scholar]
- Stoffers, I. Impacts of automatic milking systems on milk cooling and their according technical solutions. VDI Ber. 2006, 12, 15–27. [Google Scholar]
- de Koning, K. Automatic milking: State of the art: Current and future developments. VDI Ber. 2006, 1935, 137–148. [Google Scholar]
- Olechnowicz, J. External and internal damage of cow teats. Med. Weter. 2007, 63, 786–791. [Google Scholar]
- Bruckmaier, R.M.; Wellnitz, O. Induction of milk ejection and milk removal in different production systems. J. Anim. Sci. 2008, 86, 15–20. [Google Scholar] [CrossRef]
- Oudshoorn, F.W.; Renes, R.J.; Boer, I.J.M. Systems in organic dairy production. J. Agric. Environ. Ethics 2008, 21, 205–228. [Google Scholar] [CrossRef]
- Hogeveen, H.; Kamphuis, C.; Steeneveld, W.; Mollenhorst, H. Sensors and clinical mastitis—The quest for the perfect alert. Sensors 2010, 10, 7991–8009. [Google Scholar] [CrossRef]
- Macciotta, N.P.P.; Dimauro, C.; Rassu, S.P.G.; Steri, R.; Pulina, G. The mathematical description of lactation curves in dairy cattle. Ital. J. Anim. Sci. 2011, 10, 213–223. [Google Scholar] [CrossRef]
- Hovinen, M.; Pyörälä, S. Invited review: Udder health of dairy cows in automatic milking. J. Dairy Sci. 2011, 94, 547–562. [Google Scholar] [CrossRef] [PubMed]
- Dufour, S.; Fréchette, A.; Barkema, H.W.; Mussell, A.; Scholl, D.T. Invited review: Effect of udder health management practices on herd somatic cell count. J. Dairy Sci. 2011, 94, 563–579. [Google Scholar] [CrossRef] [PubMed]
- Edmondson, P. Mastitis control in robotic milking systems. Practice 2012, 34, 260–269. [Google Scholar] [CrossRef]
- Varlyakov, I.; Penev, T.; Mitev, J.; Miteva, T.; Uzunova, K.; Gergovska, Z. Effect of lameness on the behavior of dairy cows under intensive production systems. Bulg. J. Agric. Sci. 2012, 18, 125–132. [Google Scholar]
- Gaworski, M.; Leola, A.; Priekulis, J. Comparative analysis on effectiveness of AMS use on an example of three European countries. Agron. Res. 2013, 11, 231–238. [Google Scholar]
- Lyons, N.A.; Kerrisk, K.L.; Garcia, S.C. Milking frequency management in pasture-based automatic milking systems: A review. Livest. Sci. 2014, 159, 102–116. [Google Scholar] [CrossRef]
- Elgersma, A. Grazing increases the unsaturated fatty acid concentration of milk from grass-fed cows: A review of the contributing factors, challenges and future perspectives. Eur. J. Lipid Sci. Technol. 2015, 117, 1345–1369. [Google Scholar] [CrossRef]
- Litwińczuk, Z.; Król, J.; Brodziak, A. Factors determining the susceptibility of cows to mastitis and losses incurred by producers due to the disease—A review. Ann. Anim. Sci. 2015, 15, 819–831. [Google Scholar] [CrossRef]
- Wigboldus, S.; Klerkx, L.; Leeuwis, C.; Schut, M.; Muilerman, S.; Jochemsen, H. Systemic perspectives on scaling agricultural innovations. A review. Agron. Sustain. Dev. 2016, 36, 46. [Google Scholar] [CrossRef]
- Khatun, M.; Clark, C.E.F.; Lyons, N.A.; Thomson, P.C.; Kerrisk, K.L.; Garciá, S.C. Early detection of clinical mastitis from electrical conductivity data in an automatic milking system. Anim. Prod. Sci. 2017, 57, 1226–1232. [Google Scholar] [CrossRef]
- Hejel, P.; Jurkovich, V.; Kovács, P.; Bakony, M.; Könyves, L. Automatic milking systems—Factors involved in growing popularity and conditions of effective operation literature review. Magy. Allatorv. Lapja 2018, 140, 289–301. [Google Scholar]
- Penry, J.F. Mastitis control in automatic milking systems. Vet. Clin. N. Am. Food Anim. Pract. 2018, 34, 439–456. [Google Scholar] [CrossRef] [PubMed]
- Pitkäranta, J.; Kurkela, V.; Huotari, V.; Posio, M.; Halbach, C.E. Designing automated milking dairy facilities to maximize labor efficiency. Vet. Clin. N. Am. Food Anim. Pract. 2019, 35, 175–193. [Google Scholar] [CrossRef] [PubMed]
- Baiju, N.T. History of Automatic Milking Systems AMS Timeline. 2020. Available online: https://roboticsbiz.com/history-of-automatic-milking-systems-ams-timeline/ (accessed on 11 January 2021).
- Adriaens, I.; van den Brulle, I.; D’Anvers, L.; Statham, J.M.E.; Geerinckx, K.; De Vliegher, S.; Piepers, S.; Aernouts, B. Milk losses and dynamics during perturbations in dairy cows differ with parity and lactation stage. J. Dairy Sci. 2020, 104, 405–418. [Google Scholar]
- Bos, J.M.; Bovenkerk, B.; Feindt, P.H.; van Dam, Y.K. The quantified animal: Precision livestock farming and the ethical implications of objectification. Food Ethics 2018, 2, 77–92. [Google Scholar] [CrossRef]
- Vogeler, C.S. Politicizing farm animal welfare: A comparative study of policy change in the United States of America. J. Comp. Policy Anal. Res. Pract. 2020, 20, 1–18. [Google Scholar] [CrossRef]
- World Organization for Animal Health (OIE). Terrestrial Animal Health Code, 19th ed; OIE: Paris, France, 2010.
- Broom, D.; Johnson, K. Stress and Animal Welfare. Key Issues in the Biology of Humans and Other Animals; Switzerland, S.N., Ed.; Kluwer Academic Publishers: Dordecht, The Netherlands, 1993; p. 230. ISBN 9783030321529. [Google Scholar]
- Gottardo, F.; Contiero, B.; Brscic, M. The Use of Animal-Based Measures to Assess Animal Welfare in the EU—State of Art of the Last 10 Years of Activities and Analysis of the Gaps. Preparatory Work. EFSA Supporting Publ. 2015, 12, 1–5. [Google Scholar] [CrossRef]
- Wemelsfelder, F. The inside and outside aspects of consciousness: Complementary approaches to the study of animal emotion. Anim. Welf. 2001, 10, 129–139. [Google Scholar]
- Brscic, M.; Wemelsfelder, F.; Tessitore, E.; Gottardo, F.; Cozzi, G.; van Reenen, C.G. Welfare assessment: Correlations and integration between a Qualitative Behavioural Assessment and a clinical/health protocol applied in veal calves farms. Ital. J. Anim. Sci. 2009, 8, 601–603. [Google Scholar] [CrossRef]
- Castro, A.; Pereira, J.M.; Amiama, C.; Bueno, J. Estimating efficiency in automatic milking systems. J. Dairy Sci. 2012, 95, 929–936. [Google Scholar] [CrossRef] [PubMed]
- Abeni, F.; Degano, L.; Calza, F.; Giangiacomo, R.; Pirlo, G. Milk quality and automatic milking: Fat globule size, natural creaming, and lipolysis. J. Dairy Sci. 2005, 88, 3519–3529. [Google Scholar] [CrossRef]
- Tse, C.; Barkema, H.W.; DeVries, T.J.; Rushen, J.; Pajor, E.A. Impact of automatic milking systems on dairy cattle producers’ reports of milking labour management, milk production and milk quality. Animal 2018, 12, 2649–2656. [Google Scholar] [CrossRef] [PubMed]
- Johansson, M.; Lundh, Å.; De Vries, R.; Sjaunja, K.S. Composition and enzymatic activity in bulk milk from dairy farms with conventional or robotic milking systems. J. Dairy Res. 2017, 84, 154–158. [Google Scholar] [CrossRef] [PubMed]
- Salfer, J.A.; Minegishi, K.; Lazarus, W.; Berning, E.; Endres, M.I. Finances and returns for robotic dairies. J. Dairy Sci. 2017, 100, 7739–7749. [Google Scholar] [CrossRef]
- Oudshoorn, F.W.; Kristensen, T.; Van Der Zijpp, A.J.; Boer, I.J.M.D. Sustainability evaluation of automatic and conventional milking systems on organic dairy farms in Denmark. NJAS Wagening. J. Life Sci. 2012, 59, 25–33. [Google Scholar] [CrossRef]
- Fournel, S.; Charbonneau, É.; Binggeli, S.; Dion, J.-M.; Pellerin, D.; Chantigny, M.H.; Godbout, S. Optimal housing and manure management strategies to favor productive and environment-friendly dairy farms in Québec, Canada: Part II. Greenhouse gas mitigation methods. Am. Soc. Agric. Biol. Eng. 2019, 62, 973–984. [Google Scholar] [CrossRef]
- Lovarelli, D.; Bacenetti, J.; Guarino, M. A review on dairy cattle farming: Is precision livestock farming the compromise for an environmental, economic and social sustainable production? J. Clean. Prod. 2020, 262, 121409. [Google Scholar] [CrossRef]
- Eastwood, C.R.; Chapman, D.F.; Paine, M.S. Networks of practice for co-construction of agricultural decision support systems: Case studies of precision dairy farms in Australia. Agric. Syst. 2012, 108, 10–18. [Google Scholar] [CrossRef]
- Ben Azouz, A.; Esmonde, H.; Corcoran, B.; O’Callaghan, E. Development of a teat sensing system for robotic milking by combining thermal imaging and stereovision technique. Comput. Electron. Agric. 2015, 110, 162–170. [Google Scholar] [CrossRef]
- Song, X.; van der Tol, P.P.J.; Groot Koerkamp, P.W.G.; Bokkers, E.A.M. Hot topic: Automated assessment of reticulo-ruminal motility in dairy cows using 3-dimensional vision. J. Dairy Sci. 2019, 102, 9076–9081. [Google Scholar] [CrossRef] [PubMed]
- Pezzuolo, A.; Guarino, M.; Sartori, L.; Marinello, F. A feasibility study on the use of a structured light depth-camera for three-dimensional body measurements of dairy cows in free-stall barns. Sensors 2018, 18, 673. [Google Scholar] [CrossRef] [PubMed]
- Bava, L.; Tamburini, A.; Penati, C.; Riva, E.; Mattachini, G.; Provolo, G.; Sandrucci, A. Effects of feeding frequency and environmental conditions on dry matter intake, milk yield and behaviour of dairy cows milked in conventional or automatic milking systems. Ital. J. Anim. Sci. 2012, 11, 230–235. [Google Scholar] [CrossRef]
- Gygax, L.; Neuffer, I.; Kaufmann, C.; Hauser, R.; Wechsler, B. Restlessness behaviour, heart rate and heart-rate variability of dairy cows milked in two types of automatic milking systems and auto-tandem milking parlours. Appl. Anim. Behav. Sci. 2008, 109, 167–179. [Google Scholar] [CrossRef]
- Kovács, L.; Jurkovich, V.; Bakony, M.; Szenci, O.; Póti, P.; Tå’Zsér, J. Welfare implication of measuring heart rate and heart rate variability in dairy cattle: Literature review and conclusions for future research. Animal 2014, 8, 316–330. [Google Scholar] [CrossRef] [PubMed]
- Kashiwamura, F. Development and current state of the milking robot in Japan and Europe. Anim. Sci. J. 2000, 71, 445–453. [Google Scholar] [CrossRef][Green Version]
- Meyer, M. Does science push technology? Patents citing scientific literature. Res. Policy 2000, 29, 409–434. [Google Scholar] [CrossRef]
- Hogenboom, J.A.; Pellegrino, L.; Sandrucci, A.; Rosi, V.; D’Incecco, P. Invited review: Hygienic quality, composition, and technological performance of raw milk obtained by robotic milking of cows. J. Dairy Sci. 2019, 102, 7640–7654. [Google Scholar] [CrossRef]
- Kaskous, S. Optimization of the pulsation ratio during the course of milk removal after using a quarter individual milking system “MultiLactor”. Int. J. Agric. Res. 2018, 6, 284–289. [Google Scholar]
- Alawneh, J.I.; Stevenson, M.A.; Williamson, N.B.; Lopez-Villalobos, N.; Otley, T. Automatic recording of daily walkover liveweight of dairy cattle at pasture in the first 100 days in milk. J. Dairy Sci. 2011, 94, 4431–4440. [Google Scholar] [CrossRef]
- Pezzuolo, A.; Milani, V.; Zhu, D.; Guo, H.; Guercini, S.; Marinello, F. On-barn weight estimation based on body by Structure-from-Motion (SfM). Sensors 2018, 18, 3603. [Google Scholar] [CrossRef] [PubMed]










| Document Type | Search Query | Database |
|---|---|---|
| Papers | (TITLE-ABS-KEY(“automatic milking”) OR TITLE-ABS-KEY(“milking robot”) OR TITLE-ABS-KEY(“robotic milking”) OR TITLE-ABS-KEY(“automated milking”) OR TITLE-ABS-KEY(“automatically milking”)) AND (LIMIT-TO(DOCTYPE, “ar”) OR LIMIT-TO(DOCTYPE, “re”) OR LIMIT-TO(DOCTYPE, “ch”)) AND (LIMIT-TO(PUBYEAR, 2019) OR LIMIT-TO(PUBYEAR, 2018) OR LIMIT-TO(PUBYEAR, 2017) OR LIMIT-TO(PUBYEAR, 2016) OR LIMIT-TO(PUBYEAR, 2015) OR LIMIT-TO(PUBYEAR, 2014) OR LIMIT-TO(PUBYEAR, 2013) OR LIMIT-TO(PUBYEAR, 2012) OR LIMIT-TO(PUBYEAR, 2011) OR LIMIT-TO(PUBYEAR, 2010) OR LIMIT-TO(PUBYEAR, 2009) OR LIMIT-TO(PUBYEAR, 2008) OR LIMIT-TO(PUBYEAR, 2007) OR LIMIT-TO(PUBYEAR, 2006) OR LIMIT-TO(PUBYEAR, 2005) OR LIMIT-TO(PUBYEAR, 2004) OR LIMIT-TO(PUBYEAR, 2003) OR LIMIT-TO(PUBYEAR, 2002) OR LIMIT-TO(PUBYEAR, 2001) OR LIMIT-TO(PUBYEAR, 2000)) AND (LIMIT-TO(LANGUAGE, “English”)) | Scopus |
| Patents | ti = “Automatic milking” OR ti = “Milking robot” OR ti = “robotic milking” OR ti = “automated milking” OR ti = “automatically milking” | EspaceNet |
| Title | Topic | Summary | Tipology | Year | Reference |
|---|---|---|---|---|---|
| Food biotechnologies and retail ethics: A survey of UK retailers’ views on the use of two dairy technologies | Technology | Retailers’ perception of AMS acceptability | questionnaire | 2001 | [34] |
| Automatic on-line analysis of milk constituents (urea, ketones, enzymes and hormones) using biosensors | Technology | Monitoring of animal health and milk quality parameters in automated milking farms using biosensors | qualitative | 2002 | [35] |
| Sensors and management support in high-technology milking | Technology | Sensors for the detection of abnormal milk and mastitis in high-tech farms | qualitative | 2003 | [25] |
| Indicators of inflammation in the diagnosis of mastitis | Animal | New mastitis detection systems in automated milking farms | qualitative | 2003 | [36] |
| Main issues in robotic milking of cows | Process/Animal | Quantification of the AMS in terms of production, quality and animal health | meta-analysis | 2006 | [37] |
| Impacts of automatic milking systems on milk cooling and their according technical solutions | Process | Different AMS cooling approaches | qualitative | 2006 | [38] |
| Automatic milking: State of the art: Current and future developments | Process | Overview of the development of AMS | qualitative | 2006 | [39] |
| External and internal damage of cow teats | Animal/Technology | Methodologies and technologies for teat. Comparison of teat conditions in AMS and conventional milking systems | qualitative | 2007 | [40] |
| Induction of milk ejection and milk removal in different production systems | Animal | Analysis of the milk ejection process with a comparison between AMS and conventional milking systems | qualitative | 2008 | [41] |
| Pros and cons of automatic milking in Europe | Process/Animal | Focus on the pros and cons of AMS as regards milking frequency, quality, cow traffic, and animal welfare | qualitative | 2008 | [21] |
| Systems in organic dairy production | Process | Investigation of the stakeholders’ perception of the contribution of AMS to sustainability in organic dairy production | questionnaire | 2008 | [42] |
| Sensors and clinical mastitis-the quest for the perfect alert | Animal/Technology | Analysis of several sensor-based models for clinical mastitis detection | qualitative | 2010 | [43] |
| The mathematical description of lactation curves in dairy cattle | Technology | Overview of functions for modelling of lactation curves | qualitative | 2011 | [44] |
| Invited review: Udder health of dairy cows in automatic milking | Animal | Focus on udder health and cow and milking management in automated milking farms | qualitative | 2011 | [45] |
| Invited review: Effect of udder health management practices on herd somatic cell count | Animal | Analysis of the relationships between management practices and herd somatic cell count | systematic | 2011 | [46] |
| Mastitis control in robotic milking systems | Animal | Focus on the pros and cons of AMS as regards mastitis and milk quality | qualitative | 2012 | [47] |
| Invited review: The impact of automatic milking systems on dairy cow management, behavior, health, and welfare | Animal | Analysis of the effects of AMS on milk quality and animal health and welfare | qualitative | 2012 | [10] |
| Effect of lameness on the behavior of dairy cows under intensive production systems | Animal | Investigation on the impact of lameness on the behavior of dairy cows | qualitative | 2012 | [48] |
| Comparative analysis on effectiveness of AMS use on an example of three European countries | Process | Comparison of technical, biological, economic and technological data of European automated milking farms | quantitative | 2013 | [49] |
| Milking frequency management in pasture-based automatic milking systems: A review | Process | Comparison of different factors influencing milking frequency and interval in pasture-based AMS | qualitative | 2014 | [50] |
| Grazing increases the unsaturated fatty acid concentration of milk from grass-fed cows: A review of the contributing factors, challenges and future perspectives | Process | Investigations of the effects of grazing in fatty acid composition of milk | qualitative | 2015 | [51] |
| Factors determining the susceptibility of cows to mastitis and losses incurred by producers due to the disease—A review | Animal | Overview of the factors influencing the susceptibility of cows to mastitis | qualitative | 2015 | [52] |
| Systemic perspectives on scaling agricultural innovations. A review | Technology/Process | Connections between technologies, processes and practices within innovative agricultural models | systematic | 2016 | [53] |
| Early detection of clinical mastitis from electrical conductivity data in an automatic milking system | Animal | Overview of the indexes and algorithms for the early detection of clinical mastitis | qualitative | 2017 | [54] |
| Innovation, practical benefits and prospects for the future development of automatic milking systems | Process | Overview of the development of AMS | qualitative | 2017 | [24] |
| Automatic milking systems-factors involved in growing popularity and conditions of effective operation literature review | Process/Animal | Investigation of the benefits of AMS from the human and animal perspective | qualitative | 2018 | [55] |
| Mastitis Control in Automatic Milking Systems | Animal/Technology | Review of the technologies and methodologies for mastitis detection | qualitative | 2018 | [56] |
| Designing Automated Milking Dairy Facilities to Maximize Labor Efficiency | Process | Analysis of the influence of barn design on the labor efficiency | qualitative | 2019 | [57] |
| Cluster | Main Words and Relative Occurrence | Cluster Weight | ||
|---|---|---|---|---|
| Animal | Cattle/Herd (9.1%) | Lactation * (6.4%) | Behaviour (4.1%) | 49% |
| Udder * (7.8%) | Mastitis (4.5%) | Barn/Stall * (4.1%) | ||
| Feed * (7.6%) | Forage * (4.4%) | Welfare (3.2%) | ||
| Process | Milk Prod. * (18.5%) | Management * (5.5%) | Milk Quality (3.6%) | 27% |
| Time (12.6%) | Milk Flow (4.8%) | Air Pollution * (3.3%) | ||
| Measurement (5.6%) | Milk Frequency (4.7%) | Milk. Interval (3.1%) | ||
| Technology | Data (12.7%) | Detection * (8.8%) | Development * (4.4%) | 17% |
| Analysis * (11.4%) | Recording * (6.9%) | Cow Traffic (3.9%) | ||
| Model * (10.6%) | Sensors * (5.8%) | Monitoring * (3.9%) | ||
| Components | Cell count * (40.6%) | Tandem (1.5%) | Tube (1.0%) | 7% |
| Volount. MS (26.6%) | Reservoir (1.0%) | Paddock (1.0%) | ||
| Parlour (14.0%) | Rotary (1.0%) | Alarms (0.9%) | ||
| Cluster | Main Words and Relative Occurrence | Cluster Weight | ||
|---|---|---|---|---|
| Components | Teat cups (29.0%) | Tank (7.1%) | Parlour (4.4%) | 30% |
| Arm (14.0%) | Valve (5.6%) | Pump (3.6%) | ||
| Pipe/Pipeline (7.7%) | Rotary (4.7%) | Storage (3.3%) | ||
| Technology | Device (33.2%) | Receiver * (5.2%) | Sensor * (3.6%) | 29% |
| Connection (17.8%) | Electromagnetic (4.1%) | Analysis * (3.2%) | ||
| Imaging * (12.3%) | Computer (3.9%) | Signal (2.6%) | ||
| Process | Control * (19.4%) | Water (6.3%) | Pulsation * (4.8%) | 25% |
| Vacuum (10.0%) | Cooling * (6.0%) | Detection * (3.8%) | ||
| Measurement * (7.4%) | Clean/Wash * (5.0%) | Air/Air Intake (3.7%) | ||
| Animal | Udder * (42.2%) | Body/Weight (9.1%) | Health * (2.2%) | 16% |
| Barn/Stall * (21.7%) | Cattle/Herd (5.5%) | Chemical * (1.6%) | ||
| Feeding * (11.4%) | Quarter (4.1%) | Colostrum (1.6%) | ||
Publisher’s Note: MDPI stays neutral with regard to jurisdictional claims in published maps and institutional affiliations. |
© 2021 by the authors. Licensee MDPI, Basel, Switzerland. This article is an open access article distributed under the terms and conditions of the Creative Commons Attribution (CC BY) license (http://creativecommons.org/licenses/by/4.0/).
Share and Cite
Cogato, A.; Brščić, M.; Guo, H.; Marinello, F.; Pezzuolo, A. Challenges and Tendencies of Automatic Milking Systems (AMS): A 20-Years Systematic Review of Literature and Patents. Animals 2021, 11, 356. https://doi.org/10.3390/ani11020356
Cogato A, Brščić M, Guo H, Marinello F, Pezzuolo A. Challenges and Tendencies of Automatic Milking Systems (AMS): A 20-Years Systematic Review of Literature and Patents. Animals. 2021; 11(2):356. https://doi.org/10.3390/ani11020356
Chicago/Turabian StyleCogato, Alessia, Marta Brščić, Hao Guo, Francesco Marinello, and Andrea Pezzuolo. 2021. "Challenges and Tendencies of Automatic Milking Systems (AMS): A 20-Years Systematic Review of Literature and Patents" Animals 11, no. 2: 356. https://doi.org/10.3390/ani11020356
APA StyleCogato, A., Brščić, M., Guo, H., Marinello, F., & Pezzuolo, A. (2021). Challenges and Tendencies of Automatic Milking Systems (AMS): A 20-Years Systematic Review of Literature and Patents. Animals, 11(2), 356. https://doi.org/10.3390/ani11020356

