Dietary Fat and Betaine Supplements Offered to Lactating Cows Affect Dry Matter Intake, Milk Production and Body Temperature Responses to an Acute Heat Challenge
Abstract
:Simple Summary
Abstract
1. Introduction
2. Materials and Methods
2.1. Cows and Diets
2.2. Experiment Design
2.3. Feeding and Feed Analysis
2.4. Milk Production and Composition
2.5. Physiology
2.6. Calculations and Statistical Analyses
- Tdb is dry bulb temperature (°C);
- Tdp is dew point temperature (°C),
- Tdp = (237.3 × b)/(1.0 − b);
- b = [log(RH/100.0) + (17.27 × Tdb)/(237.3 + Tdb)]/17.27.
- RH = relative humidity (%)
3. Results
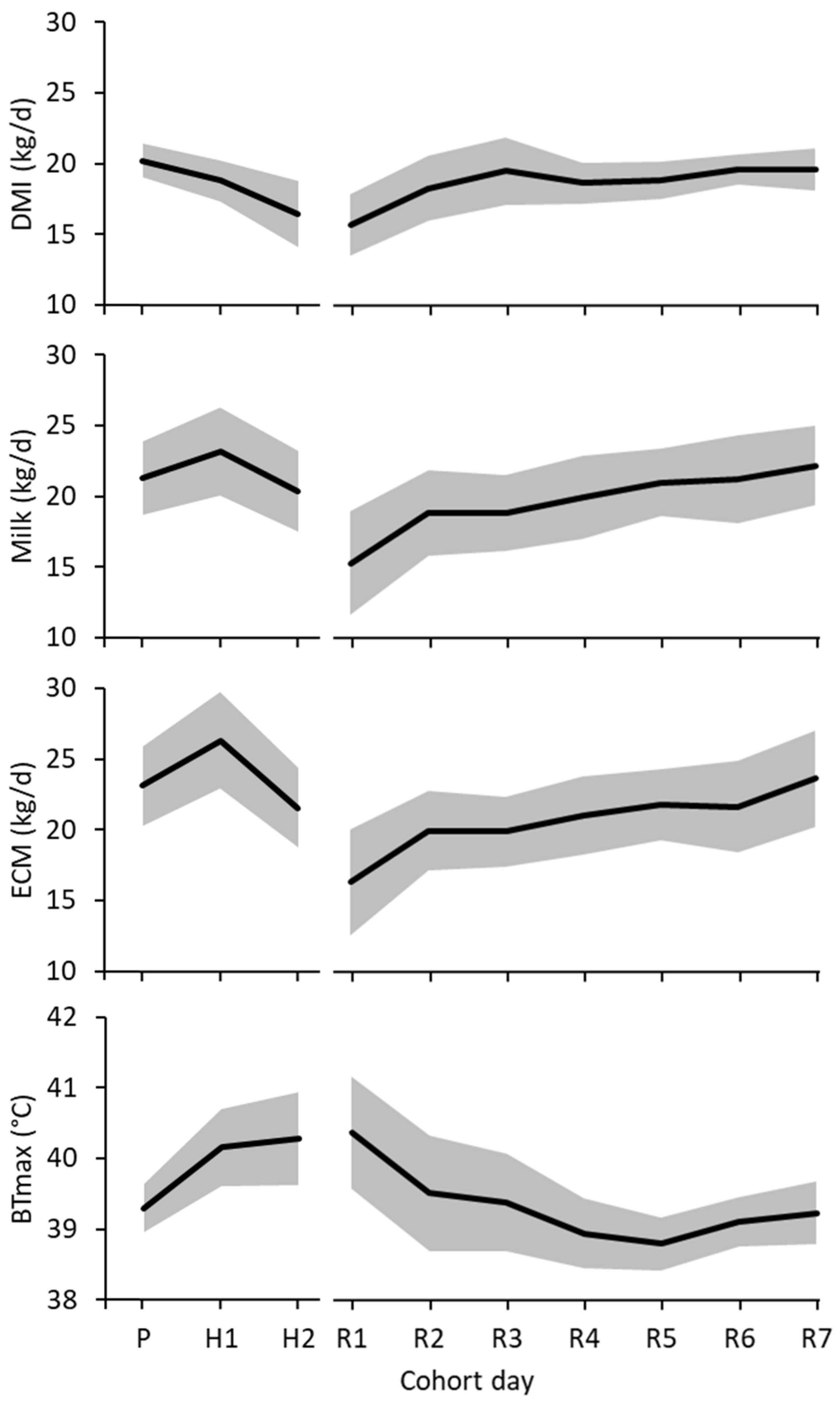
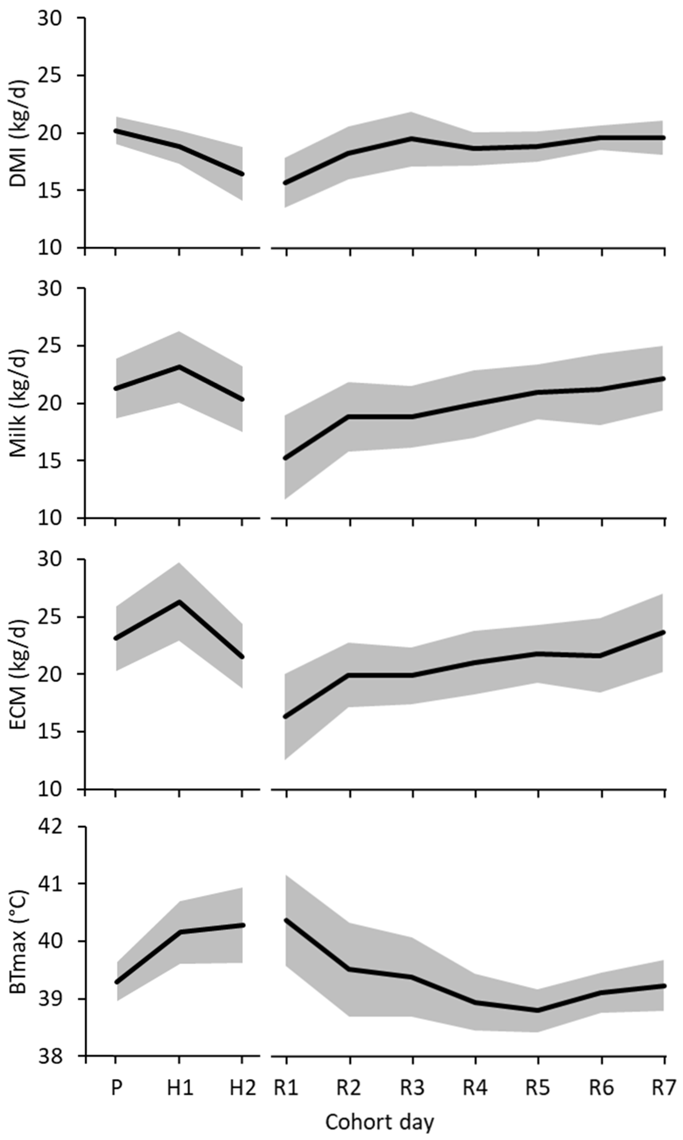
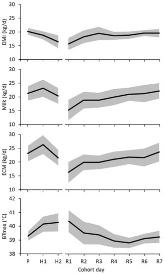
3.1. Effect of Heat Challenge
3.2. Challenge Completion
3.3. Main Effects-Dry Matter Intake
3.4. Main Effects-Milk Yield
3.5. Main Effects-Body Temperature
3.6. Treatment Effects—Dry Matter Intake
3.7. Treatment Effects—Milk Yield
3.8. Treatment Effects—Body Temperature
4. Discussion
4.1. Canola Oil Main Effect
4.2. Betaine Main Effect
4.3. Supplement Interaction–Treatment Effect
5. Conclusions
Author Contributions
Funding
Institutional Review Board Statement
Data Availability Statement
Acknowledgments
Conflicts of Interest
References
- Araki, C.T.; Nakamura, R.M.; Kam, L.W.G. Diurnal temperature sensitivity of dairy cattle in a naturally cycling environment. J. Therm. Biol. 1987, 12, 23–26. [Google Scholar] [CrossRef]
- Johnson, H.D.; Vanjonack, W.J. Effects of Environmental and Other Stressors on Blood Hormone Patterns in Lactating Animals. J. Dairy Sci. 1976, 59, 1603–1617. [Google Scholar] [CrossRef]
- Kadzere, C.T.; Murphy, M.R.; Silanikove, N.; Maltz, E. Heat stress in lactating dairy cows: A review. Livest. Prod. Sci. 2002, 77, 59–91. [Google Scholar] [CrossRef]
- CSIRO; BOM. State of the Climate 2016; Commonwealth of Australia: Canberra, Australia, 2016; p. 22.
- NRC. Nutrient Requirements of Dairy Cattle: Seventh Revised Edition; National Academies Press: Washington, DC, USA, 2001. [CrossRef] [Green Version]
- Rhoads, M.L.; Rhoads, R.P.; VanBaale, M.J.; Collier, R.J.; Sanders, S.R.; Weber, W.J.; Crooker, B.A.; Baumgard, L.H. Effects of heat stress and plane of nutrition on lactating Holstein cows: I. Production, metabolism, and aspects of circulating somatotropin. J. Dairy Sci. 2009, 92, 1986–1997. [Google Scholar] [CrossRef] [Green Version]
- Wheelock, J.B.; Rhoads, R.P.; VanBaale, M.J.; Sanders, S.R.; Baumgard, L.H. Effects of heat stress on energetic metabolism in lactating Holstein cows. J. Dairy Sci. 2010, 93, 644–655. [Google Scholar] [CrossRef] [PubMed]
- Renaudeau, D.; Collin, A.; Yahav, S.; De Basilio, V.; Gourdine, J.L.; Collier, R.J. Adaptation to hot climate and strategies to alleviate heat stress in livestock production. Animal 2012, 6, 707–728. [Google Scholar] [CrossRef] [Green Version]
- SCARM. AS 4696-2002 Australian Standard for the Hygienic Production and Transportation of Meat and Meat Products for Human Consumption; CSIRO Publishing: Collingwood, Australia, 2002. [Google Scholar]
- Rugoho, I.; Gourley, C.J.P.; Hannah, M.C. Nutritive characteristics, mineral concentrations and dietary cation-anion differences of feeds used within grazing-based dairy farms in Australia. Anim. Prod. Sci. 2017, 57, 858–876. [Google Scholar] [CrossRef]
- Moate, P.J.; Williams, S.R.O.; Grainger, C.; Hannah, M.C.; Ponnampalam, E.N.; Eckard, R.J. Influence of cold-pressed canola, brewers grains and hominy meal as dietary supplements suitable for reducing enteric methane emissions from lactating dairy cows. Anim. Feed Sci. Technol. 2011, 166–167, 254–264. [Google Scholar] [CrossRef]
- Beauchemin, K.; Kreuzer, M.; O’Mara, F.; McAllister, T. Nutritional management for enteric methane abatement: A review. Aust. J. Exper. Agric. 2008, 48, 21–27. [Google Scholar] [CrossRef]
- Drackley, J.K.; Cicela, T.M.; LaCount, D.W. Responses of Primiparous and Multiparous Holstein Cows to Additional Energy from Fat or Concentrate during Summer1. J. Dairy Sci. 2003, 86, 1306–1314. [Google Scholar] [CrossRef] [Green Version]
- Skaar, T.C.; Grummer, R.R.; Dentine, M.R.; Stauffacher, R.H. Seasonal Effects of Prepartum and Postpartum Fat and Niacin Feeding on Lactation Performance and Lipid Metabolism. J. Dairy Sci. 1989, 72, 2028–2038. [Google Scholar] [CrossRef]
- Cronjé, P.B. Heat stress in livestock—The role of the gut in its aetiology and a potential role for betaine in its alleviation. Recent Adv. Anim. Nutr. Aust. 2005, 15, 107–122. [Google Scholar]
- DiGiacomo, K.; Simpson, S.; Leury, B.J.; Dunshea, F.R. Dietary betaine impacts the physiological responses to moderate heat conditions in a dose dependent manner in sheep. Animals 2016, 6, 51. [Google Scholar] [CrossRef] [PubMed] [Green Version]
- Hall, L.W.; Dunshea, F.R.; Allen, J.D.; Rungruang, S.; Collier, J.L.; Long, N.M.; Collier, R.J. Evaluation of dietary betaine in lactating Holstein cows subjected to heat stress. J. Dairy Sci. 2016, 99, 9745–9753. [Google Scholar] [CrossRef] [Green Version]
- Zhang, L.; An, W.J.; Lian, H.; Zhou, G.B.; Han, Z.Y.; Ying, S.J. Effects of dietary betaine supplementation subjected to heat stress on milk performances and physiology indices in dairy cow. Genet. Mol. Res. 2014, 13, 7577–7586. [Google Scholar] [CrossRef]
- Davidson, S.; Hopkins, B.A.; Odle, J.; Brownie, C.; Fellner, V.; Whitlow, L.W. Supplementing limited methionine diets with rumen-protected methionine, betaine, and choline in early lactation Holstein cows. J. Dairy Sci. 2008, 91, 1552–1559. [Google Scholar] [CrossRef]
- Hassan, R.A.; Ebeid, T.A.; Abd El-Lateif, A.I.; Ismail, N.B. Effect of dietary betaine supplementation on growth, carcass and immunity of New Zealand White rabbits under high ambient temperature. Livest. Sci. 2011, 135, 103–109. [Google Scholar] [CrossRef]
- DiGiacomo, K.; Warner, R.D.; Leury, B.J.; Gaughan, J.B.; Dunshea, F.R. Dietary betaine supplementation has energy-sparing effects in feedlot cattle during summer, particularly in those without access to shade. Anim. Prod. Sci. 2014, 54, 450–458. [Google Scholar] [CrossRef] [Green Version]
- Bingül, İ.; Aydın, A.F.; Başaran-Küçükgergin, C.; Doğan-Ekici, I.; Çoban, J.; Doğru-Abbasoğlu, S.; Uysal, M. High-fat diet plus carbon tetrachloride-induced liver fibrosis is alleviated by betaine treatment in rats. Int. Immunopharmacol. 2016, 39, 199–207. [Google Scholar] [CrossRef]
- Du, J.; Shen, L.; Tan, Z.; Zhang, P.; Zhao, X.; Xu, Y.; Gan, M.; Yang, Q.; Ma, J.; Jiang, A.; et al. Betaine supplementation enhances lipid metabolism and improves insulin resistance in mice fed a high-fat diet. Nutrients 2018, 10, 131. [Google Scholar] [CrossRef] [PubMed] [Green Version]
- Williams, S.R.O.; Moate, P.J.; Hannah, M.C.; Ribaux, B.E.; Wales, W.J.; Eckard, R.J. Background matters with the SF6 tracer method for estimating enteric methane emissions from dairy cows: A critical review. Anim. Feed Sci. Technol. 2011, 170, 265–276. [Google Scholar] [CrossRef]
- Garner, J.B.; Douglas, M.L.; Williams, S.R.O.; Wales, W.J.; Marett, L.C.; Nguyen, T.T.T.; Reich, C.M.; Hayes, B.J. Genomic selection improves heat tolerance in dairy cattle. Sci. Rep. 2016, 6, 34114. [Google Scholar] [CrossRef]
- Dairy One. Analytical Procedures. Available online: https://dairyone.com/download/forage-forage-lab-analytical-procedures/ (accessed on 7 October 2019).
- Tyrrell, H.F.; Reid, J.T. Prediction of the Energy Value of Cow’s Milk. J. Dairy Sci. 1965, 48, 1215–1223. [Google Scholar] [CrossRef]
- Nguyen, T.T.T.; Bowman, P.J.; Haile-Mariam, M.; Pryce, J.E.; Hayes, B.J. Genomic selection for tolerance to heat stress in Australian dairy cattle. J. Dairy Sci. 2016, 99, 2849–2862. [Google Scholar] [CrossRef] [Green Version]
- Collier, R.J.; Zimbleman, R.B.; Rhoads, R.P.; Rhoads, M.L.; Baumgard, L.H. A re-evaluation of the impact of temperature humidity index (THI) and black globe humidity index (BGHI) on milk production in high producing dairy cows. In Proceedings of the Western Dairy Management Conference, Reno, NV, USA, 9–11 March 2011; pp. 113–126. [Google Scholar]
- McCullagh, P.; Nelder, J.A. Generalized Linear Models, 2nd ed.; Chapman & Hall/CRC, Taylor & Francis Group: Boca Raton, FL, USA, 1989. [Google Scholar]
- Palmquist, D.L.; Jenkins, T.C. A 100-Year Review: Fat feeding of dairy cows. J. Dairy Sci. 2017, 100, 10061–10077. [Google Scholar] [CrossRef] [PubMed] [Green Version]
- Moate, P.J.; Jacobs, J.L.; Hixson, J.L.; Deighton, M.H.; Hannah, M.C.; Morris, G.L.; Ribaux, B.E.; Wales, W.J.; Williams, S.R.O. Effects of Feeding either Red or White Grape Marc on Milk Production and Methane Emissions from Early-Lactation Dairy Cows. Animals 2020, 10, 976. [Google Scholar] [CrossRef] [PubMed]
- Hu, W.; Boerman, J.P.; Aldrich, J.M. Production responses of Holstein dairy cows when fed supplemental fat containing saturated free fatty acids: A meta-analysis. Asian-Australas J. Anim. Sci. 2017, 30, 1105–1116. [Google Scholar] [CrossRef] [PubMed] [Green Version]
- Weld, K.A.; Armentano, L.E. The effects of adding fat to diets of lactating dairy cows on total-tract neutral detergent fiber digestibility: A meta-analysis. J. Dairy Sci. 2017, 100, 1766–1779. [Google Scholar] [CrossRef] [Green Version]
- Huber, J.T.; Higginbotham, G.; Gomez-Alarcon, R.A.; Taylor, R.B.; Chen, K.H.; Chan, S.C.; Wu, Z. Heat Stress Interactions with Protein, Supplemental Fat, and Fungal Cultures. J. Dairy Sci. 1994, 77, 2080–2090. [Google Scholar] [CrossRef]
- Moody, E.G.; Van Soest, P.J.; McDowell, R.E.; Ford, G.L. Effect of High Temperature and Dietary Fat on Performance of Lactating Cows. J. Dairy Sci. 1967, 50, 1909–1916. [Google Scholar] [CrossRef]
- Knapp, D.M.; Grummer, R.R. Response of Lactating Dairy Cows to Fat Supplementation During Heat Stress. J. Dairy Sci. 1991, 74, 2573–2579. [Google Scholar] [CrossRef]
- Moallem, U.; Altmark, G.; Lehrer, H.; Arieli, A. Performance of high-yielding dairy cows supplemented with fat or concentrate under hot and humid climates. J. Dairy Sci. 2010, 93, 3192–3202. [Google Scholar] [CrossRef] [PubMed]
- Wang, J.P.; Bu, D.P.; Wang, J.Q.; Huo, X.K.; Guo, T.J.; Wei, H.Y.; Zhou, L.Y.; Rastani, R.R.; Baumgard, L.H.; Li, F.D. Effect of saturated fatty acid supplementation on production and metabolism indices in heat-stressed mid-lactation dairy cows. J. Dairy Sci. 2010, 93, 4121–4127. [Google Scholar] [CrossRef] [PubMed] [Green Version]
- Peterson, S.E.; Rezamand, P.; Williams, J.E.; Price, W.; Chahine, M.; McGuire, M.A. Effects of dietary betaine on milk yield and milk composition of mid-lactation Holstein dairy cows. J. Dairy Sci. 2012, 95, 6557–6562. [Google Scholar] [CrossRef] [Green Version]
- Löest, C.A.; Titgemeyer, E.C.; Drouillard, J.S.; Coetzer, C.M.; Hunter, R.D.; Bindel, D.J.; Lambert, B.D. Supplemental betaine and peroxide-treated feather meal for finishing cattle. J. Anim. Sci. 2002, 80, 2234–2240. [Google Scholar] [CrossRef] [PubMed]
- Shah, A.M.; Ma, J.; Wang, Z.; Zou, H.; Hu, R.; Peng, Q. Betaine supplementation improves the production performance, rumen fermentation, and antioxidant profile of dairy cows in heat stress. Animals 2020, 10, 634. [Google Scholar] [CrossRef] [Green Version]
- Dunshea, F.R.; Oluboyede, K.; DiGiacomo, K.; Leury, B.J.; Cottrell, J.J. Betaine Improves Milk Yield in Grazing Dairy Cows Supplemented with Concentrates at High Temperatures. Animals 2019, 9, 57. [Google Scholar] [CrossRef] [Green Version]
- Deshpande, A.; Singh, S.V.; Somagond, Y.M.; Sheoran, P.; Naskar, S.; Chahal, V.P. Physio-biochemical responses and growth performance of buffalo heifers to betaine supplementation during hot humid season under field conditions. Indian J. Anim. Sci. 2020, 90, 416–423. [Google Scholar]
- NHMRC. Australian Code for the Care and Use of Animals for Scientific Purposes, 8th ed.; National Health and Medical Research Council: Canberra, Australia, 2013.


| Parameter | Grain Mix 1 | Lucerne Hay | Pasture Silage |
|---|---|---|---|
| Crude protein | 194 | 168 | 176 |
| Soluble protein (% CP) | 26.6 | 39.7 | 65.6 |
| Acid detergent fiber | 73 | 364 | 336 |
| Neutral detergent fiber | 153 | 457 | 508 |
| Lignin | 20 | 78 | 36 |
| Non-fiber carbohydrate | 586 | 278 | 154 |
| Starch | 486 | 16 | 5 |
| Ash | 40 | 78 | 110 |
| Total digestible nutrients | 818 | 583 | 642 |
| Calcium | 2.2 | 8.7 | 5.8 |
| Magnesium | 2.3 | 2.1 | 2.0 |
| Sodium | 0.2 | 0.8 | 3.7 |
| Potassium | 6.2 | 24.0 | 35.5 |
| Chloride | 1.1 | 6.7 | 11.9 |
| DCAD (meq./100 g DM) | −4.04 | 29.4 | 54.2 |
| Copper (mg/kg DM) | 6.46 | 7.43 | 6.39 |
| Sulfur | 2.8 | 2.6 | 3.1 |
| Crude fat | 27.5 | 18.6 | 51.4 |
| ME 2 (MJ/kg DM) | 13.7 | 9.4 | 10.5 |
| Diet 1 | Cows Entering Challenge | Day of Heat | |||
|---|---|---|---|---|---|
| 1 | 2 | 3 | 4 | ||
| BASE | 6 | 6 | 6 | 5 | 3 |
| CAN | 6 | 4 | 4 | 3 | 2 |
| BET | 6 | 6 | 6 | 6 | 5 |
| CB | 6 | 6 | 6 | 6 | 2 |
| Main Effects | Treatment Effects | |||||||||||||
|---|---|---|---|---|---|---|---|---|---|---|---|---|---|---|
| Can 1 | Bet | SEDm 2 | p-Value | |||||||||||
| − | + | − | + | Can | Bet | Can | Bet | Can × Bet | BASE 3 | CAN | BET | CB | SEDt 4 | |
| n | 12 | 10 | 10 | 12 | 6 | 4 | 6 | 6 | ||||||
| Pre-challenge | ||||||||||||||
| DMI | 20.1 | 20.4 | 20.1 | 20.4 | 0.20 | 0.21 | 0.081 | 0.181 | 0.181 | 20.1 a | 20.2 ab | 20.1 a | 20.7 b | 0.29 |
| MEI | 224 | 239 | 230 | 233 | 2.2 | 2.2 | 0.001 | 0.306 | 0.293 | 224 a | 237 b | 224 a | 242 b | 3.1 |
| Heat challenge day 2 | ||||||||||||||
| DMI | 17.4 | 14.9 | 15.7 | 16.6 | 1.07 | 1.08 | 0.071 | 0.489 | 0.153 | 17.8 b | 13.6 a | 17.0 ab | 16.2 ab | 1.53 |
| MEI | 194 | 181 | 185 | 190 | 11.8 | 11.9 | 0.307 | 0.716 | 0.284 | 199 | 171 | 190 | 190 | 16.9 |
| Pre challenge to heat | ||||||||||||||
| ΔDMI 5 | −2.7 | −5.4 | −4.4 | −3.8 | 1.03 | 1.04 | 0.035 | 0.680 | 0.235 | −2.3 b | −6.4 a | −3.1 ab | −4.5 ab | 1.47 |
| ΔMEI | −29 | −58 | −45 | −43 | 10.9 | 11.0 | 0.029 | 0.875 | 0.367 | −26 b | −64 a | −34 ab | −51 ab | 15.5 |
| Initial recovery | ||||||||||||||
| ΔDMI 6 | 3.3 | 1.9 | 2.8 | 2.3 | 1.00 | 1.01 | 0.113 | 0.765 | 0.133 | 2.7 ab | 3.0 ab | 3.9 b | 0.8 a | 1.44 |
| ΔMEI | 37 | 27 | 36 | 27 | 10.6 | 10.7 | 0.288 | 0.465 | 0.102 | 31.3 | 40.8 | 41.7 | 12.2 | 15.2 |
| Main Effect | Treatment Effects | |||||||||||||
|---|---|---|---|---|---|---|---|---|---|---|---|---|---|---|
| Can 1 | Bet | SEDm 2 | p-Value | |||||||||||
| − | + | − | + | Can | Bet | Can | Bet | Can × Bet | BASE 3 | CAN | BET | CB | SEDt 4 | |
| n | 12 | 10 | 10 | 12 | 6 | 4 | 6 | 6 | ||||||
| Pre-challenge | ||||||||||||||
| Milk yield | 19.8 | 23.3 | 22.2 | 20.9 | 0.60 | 0.62 | 0.001 | 0.073 | 0.658 | 20.3 a | 24.0 b | 19.3 a | 22.5 b | 0.87 |
| ECM4 yield | 21.7 | 24.5 | 23.9 | 22.3 | 1.04 | 1.11 | 0.032 | 0.255 | 0.261 | 21.8 a | 25.9 b | 21.6 a | 23.1ab | 1.52 |
| Fat yield | 0.93 | 1.02 | 1.02 | 0.93 | 0.05 | 0.05 | 0.138 | 0.172 | 0.106 | 0.93 a | 1.11 b | 0.93 a | 0.93 a | 0.07 |
| Protein yield | 0.70 | 0.80 | 0.77 | 0.73 | 0.03 | 0.03 | 0.007 | 0.305 | 0.313 | 0.70 a | 0.84 b | 0.70 a | 0.77 ab | 0.04 |
| Fat concentration | 47.7 | 44.1 | 45.9 | 46.0 | 1.4 | 1.4 | 0.022 | 0.891 | 0.346 | 47.0 ab | 44.7 ab | 48.5 b | 43.5 a | 1.94 |
| Protein concentration | 35.8 | 34.9 | 35.0 | 35.7 | 0.68 | 0.69 | 0.227 | 0.350 | 0.658 | 35.3 | 34.7 | 36.3 | 35.1 | 0.96 |
| Heat challenge day 2 | ||||||||||||||
| Milk yield | 19.4 | 22.2 | 21.2 | 20.4 | 1.03 | 1.06 | 0.026 | 0.525 | 0.268 | 19.1 a | 23.2 b | 19.6 a | 21.2 ab | 1.49 |
| ECM yield | 20.8 | 23.2 | 22.4 | 21.6 | 1.30 | 1.39 | 0.105 | 0.716 | 0.259 | 20.3 | 24.4 | 21.2 | 22.0 | 1.91 |
| Fat yield | 0.88 | 0.96 | 0.94 | 0.90 | 0.06 | 0.07 | 0.265 | 0.751 | 0.246 | 0.86 | 1.02 | 0.91 | 0.90 | 0.09 |
| Protein yield | 0.65 | 0.75 | 0.71 | 0.68 | 0.04 | 0.04 | 0.036 | 0.555 | 0.187 | 0.64 a | 0.79 b | 0.67 a | 0.70 ab | 0.05 |
| Fat concentration | 45.4 | 43.5 | 44.1 | 44.9 | 1.71 | 1.76 | 0.291 | 0.643 | 0.780 | 44.8 | 43.3 | 46.1 | 43.7 | 2.4 |
| Protein concentration | 33.9 | 33.6 | 33.8 | 33.7 | 0.52 | 0.52 | 0.467 | 0.996 | 0.754 | 33.9 | 33.6 | 34.0 | 33.5 | 0.73 |
| Pre challenge to heat | ||||||||||||||
| ∆Milk yield 5 | −0.4 | −1.1 | −1.0 | −0.5 | 0.83 | 0.85 | 0.429 | 0.540 | 0.288 | −1.1 | −0.8 | 0.3 | −1.3 | 1.20 |
| ∆ECM yield | −1.0 | −1.3 | −1.5 | −0.7 | 0.93 | 0.99 | 0.778 | 0.429 | 0.739 | −1.5 | −1.5 | −0.4 | −1.1 | 1.37 |
| ∆Fat yield | −0.05 | −0.06 | −0.08 | −0.03 | 0.05 | 0.05 | 0.974 | 0.335 | 0.901 | −0.07 | −0.09 | −0.03 | −0.02 | 0.07 |
| ∆Protein yield | −0.04 | −0.06 | −0.06 | −0.05 | 0.02 | 0.02 | 0.491 | 0.617 | 0.382 | −0.06 | −0.05 | −0.03 | −0.06 | 0.03 |
| ∆Fat concentration | −2.3 | −0.6 | −1.8 | −1.1 | 1.64 | 1.68 | 0.304 | 0.710 | 0.613 | −2.2 | −1.4 | −2.4 | 0.2 | 2.3 |
| ∆Protein concentration | −1.9 | −1.4 | −1.3 | −2.0 | 0.62 | 0.63 | 0.453 | 0.309 | 0.821 | −1.5 | −1.1 | −2.3 | −1.6 | 0.88 |
| Initial recovery | ||||||||||||||
| ∆Milk yield 6 | 2.7 | 3.3 | 2.7 | 3.3 | 0.99 | 1.01 | 0.823 | 0.610 | 0.054 | 1.3 | 4.2 | 4.2 | 2.5 | 1.43 |
| ∆ECM yield | 3.5 | 3.6 | 2.3 | 4.8 | 1.32 | 1.46 | 0.655 | 0.134 | 0.293 | 1.4 | 3.3 | 5.7 | 3.9 | 2.11 |
| ∆Fat yield | 0.16 | 0.14 | 0.08 | 0.23 | 0.08 | 0.08 | 0.863 | 0.131 | 0.320 | 0.05 | 0.11 | 0.28 | 0.17 | 0.12 |
| ∆Protein yield | 0.12 | 0.13 | 0.09 | 0.15 | 0.03 | 0.04 | 0.460 | 0.152 | 0.612 | 0.08 | 0.11 | 0.16 | 0.15 | 0.05 |
| ∆Fat concentration | 1.2 | −1.0 | −3.5 | 3.7 | 4.0 | 4.6 | 0.820 | 0.165 | 0.680 | −3.49 | −3.53 | 5.90 | 1.48 | 6.68 |
| ∆Protein concentration | −0.58 | 0.07 | −0.99 | 0.48 | 0.54 | 0.63 | 0.182 | 0.054 | 0.620 | −1.14 a | −0.83 ab | −0.02 ab | 0.98 b | 0.91 |
| Main Effects | Treatment Effects | |||||||||||||
|---|---|---|---|---|---|---|---|---|---|---|---|---|---|---|
| Can 1 | Bet | SEDm 2 | p-Value | |||||||||||
| − | + | − | + | Can | Bet | Can | Bet | Can × Bet | BASE 3 | CAN | BET | CB | SEDt 4 | |
| n | 12 | 10 | 10 | 12 | 6 | 4 | 6 | 6 | ||||||
| Pre-challenge | ||||||||||||||
| Mean | 38.3 | 38.4 | 38.4 | 38.3 | 0.08 | 0.08 | 0.477 | 0.227 | 0.510 | 38.3 | 38.5 | 38.3 | 38.3 | 0.11 |
| Maximum | 39.4 | 39.4 | 39.6 | 39.2 | 0.10 | 0.11 | 0.530 | 0.014 | 1.000 | 39.5 b | 39.6 b | 39.2 a | 39.2 ab | 0.15 |
| Heat challenge day 2 | ||||||||||||||
| Mean | 39.0 | 39.6 | 39.4 | 39.2 | 0.19 | 0.20 | 0.016 | 0.314 | 0.614 | 39.2 ab | 39.6 b | 38.9 a | 39.5 b | 0.27 |
| Maximum | 40.0 | 40.5 | 40.4 | 40.1 | 0.25 | 0.28 | 0.039 | 0.371 | 0.789 | 40.1 ab | 40.6 b | 39.8 a | 40.5 ab | 0.38 |
| Pre challenge to heat | ||||||||||||||
| ΔMean 5 | 0.74 | 1.18 | 1.01 | 0.91 | 0.21 | 0.22 | 0.074 | 0.679 | 0.487 | 0.86 | 1.16 | 0.62 | 1.20 | 0.29 |
| ΔMaximum | 0.62 | 1.13 | 0.82 | 0.92 | 0.30 | 0.34 | 0.127 | 0.825 | 0.808 | 0.61 | 1.03 | 0.63 | 1.22 | 0.45 |
| Initial recovery | ||||||||||||||
| ΔMean 6 | −0.45 | −0.79 | −0.55 | −0.69 | 0.18 | 0.20 | 0.072 | 0.510 | 0.119 | −0.53 ab | −0.57 ab | −0.37 b | −1.02 a | 0.27 |
| ΔMaximum | −0.86 | −1.00 | −1.03 | −0.82 | 0.23 | 0.25 | 0.382 | 0.589 | 0.418 | −0.85 | −1.22 | −0.87 | −0.77 | 0.35 |
Publisher’s Note: MDPI stays neutral with regard to jurisdictional claims in published maps and institutional affiliations. |
© 2021 by the authors. Licensee MDPI, Basel, Switzerland. This article is an open access article distributed under the terms and conditions of the Creative Commons Attribution (CC BY) license (https://creativecommons.org/licenses/by/4.0/).
Share and Cite
Williams, S.R.O.; Milner, T.C.; Garner, J.B.; Moate, P.J.; Jacobs, J.L.; Hannah, M.C.; Wales, W.J.; Marett, L.C. Dietary Fat and Betaine Supplements Offered to Lactating Cows Affect Dry Matter Intake, Milk Production and Body Temperature Responses to an Acute Heat Challenge. Animals 2021, 11, 3110. https://doi.org/10.3390/ani11113110
Williams SRO, Milner TC, Garner JB, Moate PJ, Jacobs JL, Hannah MC, Wales WJ, Marett LC. Dietary Fat and Betaine Supplements Offered to Lactating Cows Affect Dry Matter Intake, Milk Production and Body Temperature Responses to an Acute Heat Challenge. Animals. 2021; 11(11):3110. https://doi.org/10.3390/ani11113110
Chicago/Turabian StyleWilliams, S. Richard O., Tori C. Milner, Josie B. Garner, Peter J. Moate, Joe L. Jacobs, Murray C. Hannah, William J. Wales, and Leah C. Marett. 2021. "Dietary Fat and Betaine Supplements Offered to Lactating Cows Affect Dry Matter Intake, Milk Production and Body Temperature Responses to an Acute Heat Challenge" Animals 11, no. 11: 3110. https://doi.org/10.3390/ani11113110
APA StyleWilliams, S. R. O., Milner, T. C., Garner, J. B., Moate, P. J., Jacobs, J. L., Hannah, M. C., Wales, W. J., & Marett, L. C. (2021). Dietary Fat and Betaine Supplements Offered to Lactating Cows Affect Dry Matter Intake, Milk Production and Body Temperature Responses to an Acute Heat Challenge. Animals, 11(11), 3110. https://doi.org/10.3390/ani11113110

