Myeloperoxidase and Lysozymes as a Pivotal Hallmark of Immunity Status in Rabbits
Simple Summary
Abstract
1. Introduction
2. Materials and Methods
2.1. Animals
2.2. The Scheme of the Experiment
- L. europaeus/GI.1a/Erfurt (Germany, 2000),
- L. europaeus/GI.1a/Rossi (Germany, 2002).
2.3. Virus Preparation and Administration
2.4. Myeloperoxidase (MPO) Activity
2.5. Concentration and Activity of Lysozyme (LZM)
2.6. Clinical Studies of Experimental Animals
2.7. Statistical Analysis
3. Results
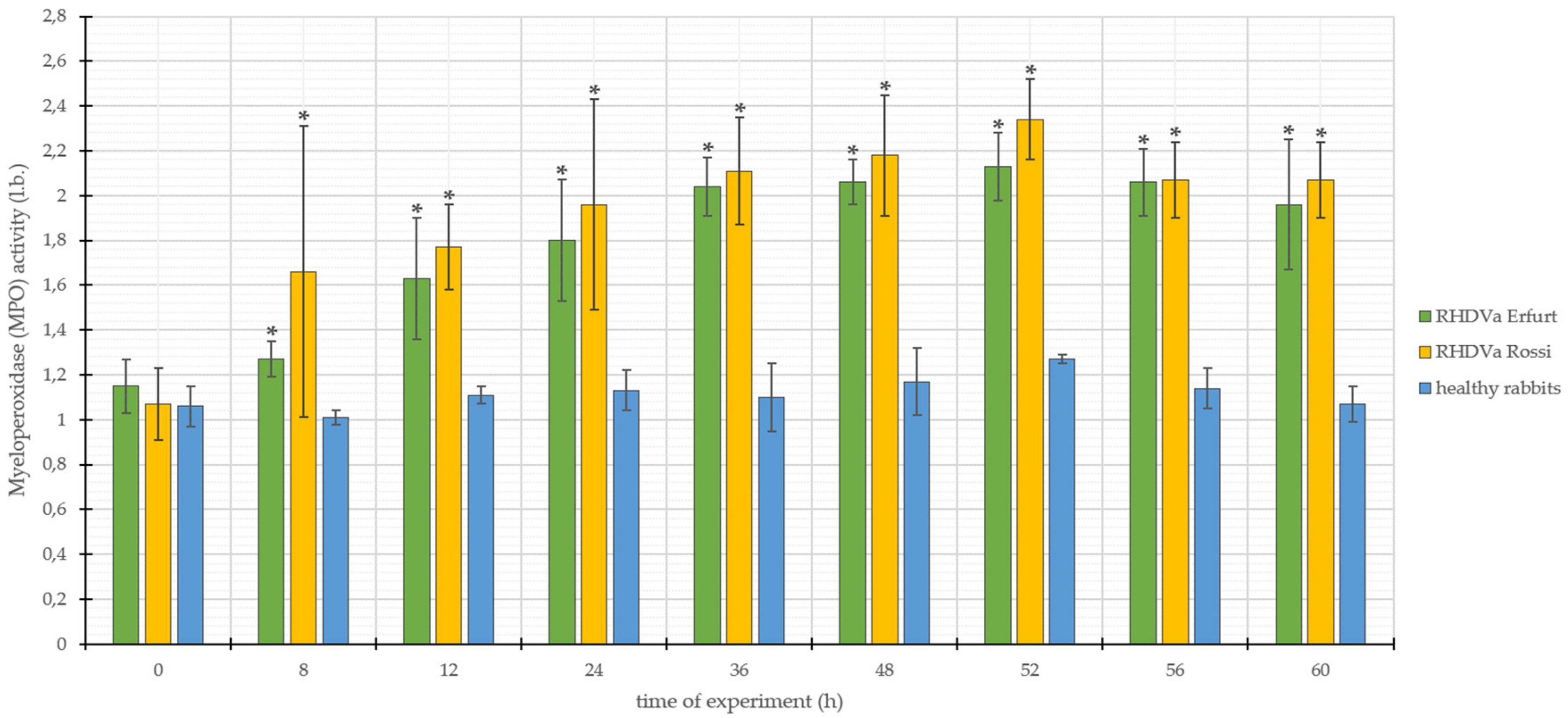
3.1. Myeloperoxidase (MPO) Activity
3.2. Lysozyme (LZM) Concentration
3.3. Lysozyme (LZM) Activity
3.4. Clinical Signs Infection of Lagovirus Europaeus/GI.1a.
4. Discussion
5. Conclusions
Author Contributions
Funding
Conflicts of Interest
References
- Alda, F.; Gaitero, T.; Suárez, M.; Merchán, T.; Rocha, G.; Doadrio, I. Evolutionary history and molecular epidemiology of rabbit haemorrhagic disease virus in the Iberian Peninsula and Western Europe. BMC Evol. Biol. 2010, 10, 347. [Google Scholar] [CrossRef]
- Abrantes, J.; van der Loo, W.; Le Pendu, J.; Esteves, P.J. Rabbit haemorrhagic disease (RHD) and rabbit haemorrhagic disease virus (RHDV): A review. Vet. Res. 2012, 43, 12. [Google Scholar] [CrossRef]
- Abrantes, J.; Lopes, A.M.; Dalton, K.P.; Parra, F.F.; Esteves, P.J. Detection of RHDVa on the Iberian Peninsula: Isolation on an RHDVa strain from a Spanisch rabbitry. Arch. Virol. 2014, 159, 321–326. [Google Scholar] [CrossRef]
- Rouco, C.; Abrantes, J.; Serronha, A.; Lopes, A.M.; Maio, E.; Magalhaes, M.J.; Blanco, E.; Barcena, J.; Esteves, P.J.; Santos, N.; et al. Epidemiology of RHDV2 (Lagovirus europaeus/GI.2) in free-living wild European rabbits in Portugal. Transbound. Emerg. Dis. 2018, 65, e373–e382. [Google Scholar] [CrossRef]
- Delibes-Mateos, M.; Smith, A.T.; Slobodchikoff, C.N.; Swenson, J.E. The paradox of keystone species persecuted as pests: A call for the conservation of abundant small mammals in their native range. Biol. Conserv. 2011, 144, 1335–1346. [Google Scholar] [CrossRef]
- Niedźwiedzka-Rystwej, P.; Tokarz-Deptuła, B.; Abrantes, J.; Esteves, P.J.; Deptuła, W. B and T lymphocytes in rabbits change according to the sex and throughout the year. Pol. J. Vet. Sci. 2020, 23, 37–42. [Google Scholar] [CrossRef]
- Esteves, P.J.; Abrantes, J.; Baldauf, H.M.; BenMohamed, L.; Chen, Y.; Christensen, N.; González-Gallego, J.; Giacani, L.; Hu, J.; Kaplan, G. The wide utility of rabbits as models of human diseases. Exp. Mol. Med. 2018, 50, 1–10. [Google Scholar] [CrossRef] [PubMed]
- Mage, R.G.; Esteves, P.J.; Rader, C. Rabbit models of human diseases for diagnostics and therapeutics development. Dev. Comp. Immunol. 2019, 92, 99–104. [Google Scholar] [CrossRef] [PubMed]
- Food and Agriculture Organization of the United Nations (FAOSTAT). Available online: http://www.fao.org/faostat/en/#data/QL (accessed on 9 August 2020).
- World Organisation for Animal Health (OIE). Rabbit Haemorrhagic Disease. Available online: https://www.oie.int/fileadmin/Home/eng/Animal_Health_in_the_World/docs/pdf/Disease_cards/RHD.pdf (accessed on 9 July 2020).
- World Animal Health Information Database (WAHIS OIE). Available online: https://www.oie.int/wahis_2/public/wahid.php/Diseaseinformation/Diseasetimelines (accessed on 9 August 2020).
- Niedźwiedzka-Rystwej, P.; Deptuła, W. Phagocytosis of neutrophils in rabbit infected with antigenic variant of RHD virus. Pol. J. Vet. Sci. 2012, 15, 143–150. [Google Scholar] [CrossRef] [PubMed]
- International Committee on Taxonomy of Viruses (ICTV). Available online: https://talk.ictvonline.org/ictv-reports/ictv_online_report/positive-sense-rna-viruses/w/caliciviridae/1163/genus-lagovirus (accessed on 31 July 2020).
- Le Pendu, J.; Abrantes, J.; Bertagnoli, S.; Guitton, J.S.; Le Gall-Reculé, G.; Lopes, A.M.; Marchandeau, S.; Alda, F.; Almeida, T.; Célio, A.P.; et al. Proposal for a unified classification system and nomenclature of lagoviruses. J. Gen. Virol. 2017, 98, 1658–1666. [Google Scholar] [CrossRef] [PubMed]
- Vinjé, J.; Estes, M.K.; Esteves, P.; Green, K.Y.; Katayama, K.; Knowles, N.J.; L’Homme, Y.; Martella, V.; Vennema, H.; White, P.A.; et al. ICTV Virus Taxonomy Profile: Caliciviridae. J. Gen. Virol. 2019, 100, 1469–1470. [Google Scholar] [CrossRef] [PubMed]
- Le Gall-Recule, G.; Zwingelstein, F. Detection of a new variant of rabbit haemorrhagic disease virus in France. Vet. Rec. 2011, 168, 137–138. [Google Scholar] [CrossRef] [PubMed]
- Liu, S.J.; Xue, H.P.; Pu, B.Q.; Quian, N.H. A new viral disease in rabbits. Anim. Hus. Vet. Med. 1984, 16, 253–255. [Google Scholar]
- Huang, H.B. Vaccination against and immune response to viral haemorrhagic disease of rabbits: A review of research in the People’s Republic of China. Rev. Sci. Tech. Off. Int. Epiz. 1991, 10, 481–498. [Google Scholar]
- Capucci, L.; Frigoli, G.; Ronshold, L.; Lavazza, A.; Brocchi, E.; Rossi, C. Antigenicity of the rabbit hemorrhagic disease virus studied by its reactivity with monoclonal antibodies. Virus Res. 1995, 37, 221–238. [Google Scholar] [CrossRef]
- Bębnowska, D.; Niedźwiedzka-Rystwej, P. Characteristics of a new variant of rabbit haemorrhagic disease virus—RHDV2. Acta Biol. 2019, 15, 83–97. [Google Scholar] [CrossRef]
- Abrantes, J.; Lopes, A.M.; Dalton, K.P.; Melo, P.; Correia, J.J.; Ramada, M.; Alves, P.C.; Parra, F.; Esteves, P.J. New variant of rabbit hemorrhagic disease virus, Portugal, 2012–2013. Emerg. Infect. Dis. 2013, 19, 1900–1902. [Google Scholar] [CrossRef]
- Carvalho, C.L.; Silva, S.; Gouveia, P.; Costa, M.; Duarte, E.L.; Henriques, A.M.; Barros, S.S.; Luis, T.; Ramos, F.; Fagulha, T.; et al. Emergence of rabbit haemorrhagic disease virus 2 in the archipelago of Madeira, Portugal (2016–2017). Virus Genes 2017, 53, 922–926. [Google Scholar] [CrossRef]
- Silverio, D.; Lopes, A.M.; Melo-Ferreira, J.; Magalhães, M.J.; Monterroso, P.; Serronha, A.; Maio, E.; Alves, P.C.; Esteves, P.J.; Abrantes, J. Insights into the evolution of the new variant rabbit haemorrhagic disease virus (GI.2) and the identification of novel recombinant strains. Transbound. Emerg. Dis. 2018, 65, 983–992. [Google Scholar] [CrossRef]
- Müller, C.; Ulrich, R.; Franzke, K.; Müller, M.; Köllner, B. Crude extracts of recombinant baculovirus expressing rabbit hemorrhagic disease virus 2 VLPs from both insect and rabbit cells protect rabbits from rabbit hemorrhagic disease caused by RHDV2. Archiv. Virol. 2019, 164, 137–148. [Google Scholar] [CrossRef]
- Information and training materials of the Laboratory Animals Section, General Assembly of the Association of Agriculture Engineers and Technicians. In Materiały Informacyjno-Szkoleniowe Sekcji ds. Zwierząt Laboratoryjnych ; ZG Stowarzyszenia Inżynierów i Techników Rolnictwa: Warsaw, Poland, 1987; pp. 26–77. (In Polish)
- Regulation of the Minister of Agriculture and Rural Development of 10 March 2006 on Detailed Conditions for Maintenance of Laboratory Animals in Experimental Units, Breeding Units and Suppliers (Polish Journal of Laws of 2006, No 50, Item 368). Available online: http://prawo.sejm.gov.pl/isap.nsf/DocDetails.xsp?id=WDU20060500368 (accessed on 9 July 2020).
- Niedźwiedzka-Rystwej, P.; Deptuła, W. Lymphocyte subpopulations and apoptosis of immune cells in rabbits experimentally infected with a strain of the RHD virus having a variable haemagglutination capacity. Pol. J. Vet. Sci. 2012, 15, 43–49. [Google Scholar] [CrossRef] [PubMed]
- Niedźwiedzka-Rystwej, P.; Deptuła, W. Non-specyfic immunity in rabbits infected with 10 strain of the rabbit haemorrhagic disease virus with different biological properties. Centr. Europ. J. Biol. 2012, 5, 613. [Google Scholar] [CrossRef]
- Fitzner, A.; Kęsy, A.; Niedbalski, W.; Paprocka, G.; Walkowiak, B. Identification of the dominating VP60 polypeptide in domestic isolates of the RHD virus. Med. Wet. 1996, 52, 303–305. [Google Scholar]
- Zawistowski, S. Histology—Techniques and Basics; PZWL: Warsaw, Poland, 1976. (In Polish) [Google Scholar]
- Afanasjew, W.I.; Kolot, L.I. Izmienienije peroksydazy i cytochromaksydazy w krowi Karpow Cyprinus carpio L. pri krasnuchie. Woprosy Ichtiologii 1971, 11, 940–943. [Google Scholar]
- Hankiewicz, J.; Świerczek, E. Comparison analysis of lysozyme evaluation with agar diffusion and nefelometric method. Przegl. Lek. 1975, 32, 376–378. (In Polish) [Google Scholar]
- Szmigielski, S. The Analysis of up and down Regulated Granulocytes. Ph.D. Thesis, Wojskowy Instytut Medycyny Lotniczej, Warsaw, Poland, 1972. (In Polish). [Google Scholar]
- Guven, F.M.K.; Aydin, H.; Yildiz, G.; Engin, A.; Celik, V.K.; Bakir, D.; Deveci, K. The importance of myeloperoxidase enyme activity in the pathogenesis of Crimean-Congo haemorrhagic fever. J. Med. Microbiol. 2013, 62, 441–445. [Google Scholar] [CrossRef]
- Kulander, L.; Pauksens, K.; Venge, P. Soluble adhesion mlecules, cytokines and cellular markers in serum in patients with acute infections. Scand. J. Infect. Dis. 2001, 33, 290–300. [Google Scholar] [CrossRef]
- Altinyazar, H.C.; Gurel, A.; Koca, R.; Armutcu, F.; Unalacak, M. The status of oxidants and antioxidants in the neutrophils of patients with recurrent aphthous stomatitis. Turk. J. Med. Sci. 2006, 36, 87–91. [Google Scholar]
- Michowitz, Y.; Kisil, S.; Guzner-Gur, H.; Rubinstein, A.; Wexler, D.; Sheps, D.; Keren, G.; George, J. Usefullness of serum myeloperoxidase in prediction of mortality in patients with severe heart failure. Isr. Med. Assoc. J. 2008, 10, 884–888. [Google Scholar]
- Aratani, Y.; Kouama, H.; Nyui, S.; Suzuki, K.; Kura, F.; Maeda, N. Severe impairment in early host defense agains Cancida albicans in mice deficient in myeloperoxidase. Infect. Immun. 1999, 67, 1828–1836. [Google Scholar] [CrossRef]
- Hirche, T.O.; Gaut, J.P.; Heinecke, J.W.; Belaaouaj, A. Myeloperoxidase plays critical roles in killing Klebsiella pneumoniae and inactivating neutrophil elastase: Effects on host defense. J. Immunol. 2005, 174, 1557–1565. [Google Scholar] [CrossRef] [PubMed]
- Christensen, R.D.; Rothstein, G. Neutrophil myeloperoxidase concentration: Changes with development and during bacterial infection. Pediatr. Res. 1985, 19, 1278–1282. [Google Scholar] [CrossRef] [PubMed]
- Khan, A.A.; Alsahli, M.A.; Rahmani, A.H. Myeloperoxidase as an active disease biomarker: Recent biochemical and pathological perspectives. Med. Sci. 2018, 6, 33. [Google Scholar] [CrossRef] [PubMed]
- Odobasic, D.; Kitching, A.R.; Holdsworth, S.R. Neutrophil-mediated regulation of innate and adaptive immunity: The role of myeloperoxidase. J. Immunol. Res. 2016, 2016, 2349817. [Google Scholar] [CrossRef] [PubMed]
- Strzepa, A.; Pritchard, K.A.; Dittel, B.N. Myeloperoxidase: A new player in autoimmunity. Cell. Immunol. 2017, 317, 1–8. [Google Scholar] [CrossRef]
- Ly-Chatain, M.H.; Moussaoui, S.; Vera, A.; Rigobello, V.; Demarigny, Y. Antiviriral effect of cationic compounds on bacteriophages. Front. Microbiol. 2013, 4, 46. [Google Scholar] [CrossRef]
- Villa, T.G.; Feijoo-Siota, L.; Rama, J.L.R.; Ageitos, J.M. Antivirals against animal viruses. Biochem. Pharmacol. 2017, 133, 97–116. [Google Scholar] [CrossRef]
- Dziarski, R.; Gupta, D. Peptidoglycan recognition in innate immunity. J. Endotoxin Res. 2005, 11, 304–310. [Google Scholar] [CrossRef]
- Sahoo, N.R.; Kumar, P.; Bhusan, B.; Bhattacharya, T.K.; Dayal, S.; Sahoo, M. Lysozyme in livestock: A guide to selection for disease resistance: A review. J. Anim. Sci. Adv. 2012, 2, 347–360. [Google Scholar]
- Pang, G.; Clancy, R.; Cong, M.; Ortega, M.; Zhigang, R.; Reeves, G. Influenza virus inhibits lysozyme secretion by sputum neutrophils in subjects with chronic bronchial sepsis. Am. J. Respir. Crit. Care Med. 2000, 161, 718–722. [Google Scholar] [CrossRef]





© 2020 by the authors. Licensee MDPI, Basel, Switzerland. This article is an open access article distributed under the terms and conditions of the Creative Commons Attribution (CC BY) license (http://creativecommons.org/licenses/by/4.0/).
Share and Cite
Hrynkiewicz, R.; Bębnowska, D.; Niedźwiedzka-Rystwej, P. Myeloperoxidase and Lysozymes as a Pivotal Hallmark of Immunity Status in Rabbits. Animals 2020, 10, 1581. https://doi.org/10.3390/ani10091581
Hrynkiewicz R, Bębnowska D, Niedźwiedzka-Rystwej P. Myeloperoxidase and Lysozymes as a Pivotal Hallmark of Immunity Status in Rabbits. Animals. 2020; 10(9):1581. https://doi.org/10.3390/ani10091581
Chicago/Turabian StyleHrynkiewicz, Rafał, Dominika Bębnowska, and Paulina Niedźwiedzka-Rystwej. 2020. "Myeloperoxidase and Lysozymes as a Pivotal Hallmark of Immunity Status in Rabbits" Animals 10, no. 9: 1581. https://doi.org/10.3390/ani10091581
APA StyleHrynkiewicz, R., Bębnowska, D., & Niedźwiedzka-Rystwej, P. (2020). Myeloperoxidase and Lysozymes as a Pivotal Hallmark of Immunity Status in Rabbits. Animals, 10(9), 1581. https://doi.org/10.3390/ani10091581

