Reporter-Phage-Based Detection and Antibiotic Susceptibility Testing of Yersinia pestis for a Rapid Plague Outbreak Response
Abstract
1. Introduction
2. Materials and Methods
2.1. Bacterial Strains
2.2. Bacteriophages
2.3. Growth Media, Buffers, Antibiotics and Human Whole Blood
2.4. Preparation of Blood-Culture-Derived Y. pestis
2.5. Preparation of Y. pestis-Spiked Environmental Samples
2.6. Detection of Y. pestis by Reporter-Phage-Based Luminescence Assay
2.7. Standard Microdilution Susceptibility Test
2.8. Reporter-Phage-Based AST
3. Results
3.1. Rapid Detection of Y. pestis Using a Bioluminescent Reporter Phage
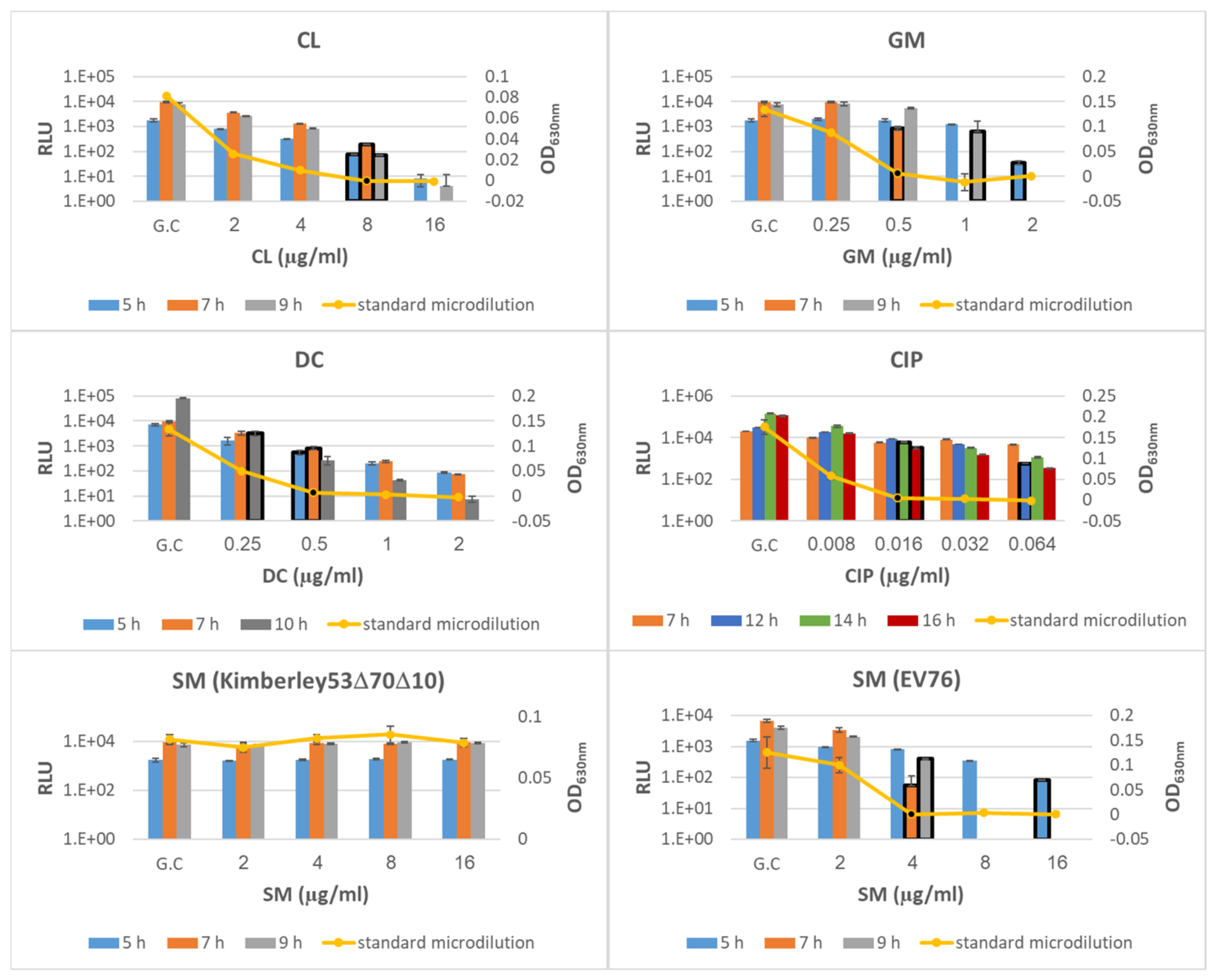
3.2. Optimization of the Exposure Period to Antibiotics for the Reporter-Phage-Based AST
3.3. Phage-Based AST for Y. pestis Derivates with Reduced Susceptibility to DC or CIP
3.4. Phage-Based Direct ID-AST of Y. pestis from Blood Cultures
3.5. Detection and AST of Y. pestis Directly from Environmental Asphalt Samples
4. Discussion
Supplementary Materials
Author Contributions
Funding
Institutional Review Board Statement
Informed Consent Statement
Data Availability Statement
Acknowledgments
Conflicts of Interest
References
- Yang, R. Plague: Recognition, treatment and prevention. J. Clin. Microbiol. 2018, 56, e01519-17. [Google Scholar] [CrossRef]
- Demeure, C.; Dussurget, O.; Fiol, G.M.; Le Guern, A.S.; Savin, C.; Pizarro-Cerdá, J. Yersinia pestis and plague: An updated view on evolution, virulence determinants, immune subversion, vaccination and diagnostics. Microbes. Infect. 2019, 21, 202–212. [Google Scholar] [CrossRef] [PubMed]
- Ligon, B.L. Plague: A Review of its history and potential as a biological weapon. Semin. Pediatr. Infect. Dis. 2006, 17, 161–170. [Google Scholar] [CrossRef]
- Rabaan, A.A.; Al-Ahmed, S.H.; Alsuliman, S.A.; Aldrazi, F.A.; Alfouzan, W.A.; Haque, S. The rise of pneumonic plague in Madagascar: Current plague outbreak breaks usual seasonal mould. J. Med. Microbiol. 2019, 68, 292–302. [Google Scholar] [CrossRef]
- Pechous, R.D.; Sivaraman, V.; Stasulli, N.M.; Goldman, W.E. Pneumonic plague: The darker side of Yersinia pestis. Trends Microbiol. 2016, 24, 190–197. [Google Scholar] [CrossRef] [PubMed]
- Salam, A.; Rojek, A.; Cai, E.; Raberahona, M.; Horby, P. Deaths associated with pneumonic plague, 1946–2017. Emerg. Infect. Dis. J. 2020, 26, 2432. [Google Scholar] [CrossRef] [PubMed]
- Randremanana, R.; Andrianaivoarimanana, V.; Nikolay, B.; Ramasindrazana, B.; Paireau, J.; Ten Bosch, Q.A.; Rakotondramanga, J.M.; Rahajandraibe, S.; Rahelinirina, S.; Rakotomanana, F.; et al. Epidemiological characteristics of an urban plague epidemic in Madagascar, August-November, 2017: An outbreak report. Lancet Infect. Dis. 2019, 19, 537–545. [Google Scholar] [CrossRef]
- Aloni-Grinstein, R.; Schuster, O.; Yitzhaki, S.; Aftalion, M.; Maoz, S.; Steinberger-Levy, I.; Ber, R. Isolation of Francisella tularensis and Yersinia pestis from blood cultures by plasma purification and immunomagnetic separation accelerates antibiotic susceptibility determination. Front. Microbiol. 2017, 8, 312. [Google Scholar] [CrossRef][Green Version]
- Nikiforov, V.V.; Gao, H.; Zhou, L.; Anisimov, A. Plague: Clinics, diagnosis and treatment. In Yersinia Pestis: Retrospectives and Perspectives; Advances in Experimental Medicine and Biology; Springer: Dordrecht, The Netherlands, 2016; Volume 918, pp. 293–312. ISBN 9789402408904. [Google Scholar]
- Taleghani, N.; Taghipour, F. Diagnosis of COVID-19 for controlling the pandemic: A review of the state-of-the-art. Biosens. Bioelectron. 2021, 174. [Google Scholar] [CrossRef]
- Kugeler, K.J.; Mead, P.S.; Campbell, S.B.; Nelson, C.A. Antimicrobial treatment patterns and illness outcome among United States patients with plague, 1942–2018. Clin. Infect. Dis. 2020, 70, S20–S26. [Google Scholar] [CrossRef] [PubMed]
- Cabanel, N.; Bouchier, C.; Rajerison, M.; Carniel, E. Plasmid-mediated doxycycline resistance in a Yersinia pestis strain isolated from a rat. Int. J. Antimicrob. Agents 2018, 51, 249–254. [Google Scholar] [CrossRef]
- Galimand, M.; Carniel, E.; Courvalin, P. Resistance of Yersinia pestis to antimicrobial agents. Antimicrob. Agents Chemother. 2006, 50, 3233–3236. [Google Scholar] [CrossRef] [PubMed]
- Welch, T.J.; Fricke, W.F.; McDermott, P.F.; White, D.G.; Rosso, M.L.; Rasko, D.A.; Mammel, M.K.; Eppinger, M.; Rosovitz, M.J.; Wagner, D.; et al. Multiple antimicrobial resistance in plague: An emerging public health risk. PLoS ONE 2007, 2, e309. [Google Scholar] [CrossRef]
- Tieh, T.H.; Landauer, E.; Miyagawa, F.; Kobayashi, G.; Okayasu, G. Primary pneumonic plague in Mukden, 1946, and report of 39 cases with 3 recoveries. J. Infect. Dis. 1948, 82, 52–58. [Google Scholar] [CrossRef]
- CLSI. Methods for Antimicrobial Dilution and Disk Susceptibility Testing of Infrequently Isolated or Fastidious Bacteria, 3rd ed.; CLSI Guideline M45; Clinical and Laboratory Standards Institute: Wayne, PA, USA, 2015; ISBN 1562385836. [Google Scholar]
- Steinberger-Levy, I.; Shifman, O.; Zvi, A.; Ariel, N.; Beth-Din, A.; Israeli, O.; Gur, D.; Aftalion, M.; Maoz, S.; Ber, R. A rapid molecular test for determining Yersinia pestis susceptibility to ciprofloxacin by the quantification of differentially expressed marker genes. Front. Microbiol. 2016, 7, 1–13. [Google Scholar] [CrossRef]
- Ayyadurai, S.; Flaudrops, C.; Raoult, D.; Drancourt, M. Rapid identification and typing of Yersinia pestis and other Yersinia species by matrix-assisted laser desorption/ionization time-of-flight (MALDI-TOF) mass spectrometry. BMC Microbiol. 2010, 10, 285. [Google Scholar] [CrossRef] [PubMed]
- Berendsen, E.M.; Levin, E.; Braakman, R.; Prodan, A.; van Leeuwen, H.C.; Paauw, A. Untargeted accurate identification of highly pathogenic bacteria directly from blood culture flasks. Int. J. Med. Microbiol. 2020, 310. [Google Scholar] [CrossRef]
- Zahavy, E.; Rotem, S.; Gur, D.; Aloni-Grinstein, R.; Aftalion, M.; Ber, R. Rapid antibiotic susceptibility determination for Yersinia pestis using flow cytometry spectral intensity ratio (SIR) fluorescence analysis. J. Fluoresc. 2018, 28, 1151–1161. [Google Scholar] [CrossRef] [PubMed]
- Jones, S.W.; Dobson, M.E.; Francesconi, S.C.; Schoske, R.; Crawford, R. DNA assays for detection, identification, and individualization of select agent microorganisms. Croat. Med. J. 2005, 46, 522–529. [Google Scholar]
- Shifman, O.; Steinberger-Levy, I.; Aloni-Grinstein, R.; Gur, D.; Aftalion, M.; Ron, I.; Mamroud, E.; Ber, R.; Rotem, S. A rapid antimicrobial susceptibility test for determining Yersinia pestis susceptibility to doxycycline by RT-PCR quantification of RNA markers. Front. Microbiol. 2019, 10, 1–11. [Google Scholar] [CrossRef] [PubMed]
- Aloni-Grinstein, R.; Shifman, O.; Gur, D.; Aftalion, M.; Rotem, S. MAPt: A rapid antibiotic susceptibility testing for bacteria in environmental samples as a means for bioterror preparedness. Front. Microbiol. 2020, 11. [Google Scholar] [CrossRef]
- McLaughlin, H.P.; Sue, D. Rapid antimicrobial susceptibility testing and β-lactam-induced cell morphology changes of Gram-negative biological threat pathogens by optical screening. BMC Microbiol. 2018, 18, 218. [Google Scholar] [CrossRef]
- Sozhamannan, S.; Hofmann, E.R. The state of the art in biodefense related bacterial pathogen detection using bacteriophages: How it started and how it’s going. Viruses 2020, 12, 1393. [Google Scholar] [CrossRef] [PubMed]
- Van der Merwe, R.G.; Warren, R.M.; Sampson, S.L.; Gey van Pittius, N.C. Phage-based detection of bacterial pathogens. Analyst 2014, 139, 2617–2626. [Google Scholar] [CrossRef]
- Richter, Ł.; Janczuk-Richter, M.; Niedziółka-Jönsson, J.; Paczesny, J.; Hołyst, R. Recent advances in bacteriophage-based methods for bacteria detection. Drug Discov. Today 2018, 23, 448–455. [Google Scholar] [CrossRef] [PubMed]
- Meile, S.; Kilcher, S.; Loessner, M.J.; Dunne, M. Reporter phage-based detection of bacterial pathogens: Design guidelines and recent developments. Viruses 2020, 12, 944. [Google Scholar] [CrossRef] [PubMed]
- Schofield, D.A.; Molineux, I.J.; Westwater, C. Diagnostic bioluminescent phage for detection of Yersinia pestis. J. Clin. Microbiol. 2009, 47, 3887–3894. [Google Scholar] [CrossRef] [PubMed]
- Schofield, D.A.; Molineux, I.J.; Westwater, C. Rapid identification and antibiotic susceptibility testing of Yersinia pestis using bioluminescent reporter phare. J. Microbiol. Methods 2012, 90, 80–82. [Google Scholar] [CrossRef]
- Moses, S.; Vagima, Y.; Tidhar, A.; Aftalion, M.; Mamroud, E.; Rotem, S.; Steinberger-Levy, I. Characterization of Yersinia pestis phage lytic activity in human whole blood for the selection of efficient therapeutic phages. Viruses 2021, 13, 89. [Google Scholar] [CrossRef]
- Gur, D.; Glinert, I.; Aftalion, M.; Vagima, Y.; Levy, Y.; Rotem, S.; Zauberman, A.; Tidhar, A.; Tal, A.; Maoz, S.; et al. Inhalational gentamicin treatment is effective against pneumonic plague in a mouse model. Front. Microbiol. 2018, 9, 741. [Google Scholar] [CrossRef]
- Kiljunen, S.; Datta, N.; Dentovskaya, S.V.; Anisimov, A.P.; Knirel, Y.A.; Bengoechea, J.A.; Holst, O.; Skurnik, M. Identification of the lipopolysaccharide core of Yersinia pestis and Yersinia pseudotuberculosis as the receptor for bacteriophage phiA1122. J. Bacteriol. 2011, 193, 4963–4972. [Google Scholar] [CrossRef] [PubMed]
- Kropinski, A.M.; Mazzocco, A.; Waddell, T.E.; Lingohr, E.; Johnson, R.P. Enumeration of bacteriophages by double agar overlay plaque assay. In Bacteriophages: Methods and Protocols, Volume 1: Isolation, Characterization, and Interactions; Clokie, M.R.J., Kropinski, A.M., Eds.; Humana Press: Totowa, NJ, USA, 2009; pp. 69–76. ISBN 978-1-60327-164-6. [Google Scholar]
- Steinberger-Levy, I.; Zahavy, E.; Cohen, S.; Flashner, Y.; Mamroud, E.; Aftalion, M.; Gur, D.; Ber, R. Enrichment of Yersinia pestis from blood cultures enables rapid antimicrobial susceptibility determination by flow cytometry. In Advances in Experimental Medicine and Biology; Springer: New York, NY, USA, 2007; Volume 603, pp. 339–350. ISBN 9780387721231. [Google Scholar]
- Shifman, O.; Aminov, T.; Aftalion, M.; Gur, D.; Cohen, H.; Bar-David, E.; Cohen, O.; Mamroud, E.; Levy, H.; Aloni-Grinstein, R.; et al. Evaluation of the european committee on antimicrobial susceptibility testing guidelines for rapid antimicrobial susceptibility testing of Bacillus anthracis-, Yersinia pestis- and Francisella tularensis-positive blood cultures. Microorganisms 2021, 9, 1055. [Google Scholar] [CrossRef] [PubMed]
- Gargis, A.S.; Cherney, B.; Conley, A.B.; McLaughlin, H.P.; Sue, D. Rapid detection of genetic engineering, structural variation, and antimicrobial resistance markers in bacterial biothreat pathogens by nanopore sequencing. Sci. Rep. 2019, 9, 1–14. [Google Scholar] [CrossRef]
- Vandamm, J.P.; Rajanna, C.; Sharp, N.J.; Molineux, I.J.; Schofield, D.A. Rapid detection and simultaneous antibiotic susceptibility analysis of Yersinia pestis directly from clinical specimens by use of reporter phage. J. Clin. Microbiol. 2014, 52, 2998–3003. [Google Scholar] [CrossRef] [PubMed][Green Version]
- Inglesby, T.V.; Dennis, D.T.; Henderson, D.A.; Bartlett, J.G.; Ascher, M.S.; Eitzen, E.; Fine, A.D.; Friedlander, A.M.; Hauer, J.; Koerner, J.F.; et al. Plague as a biological weapon: Medical and public health management. Working Group on Civilian Biodefense. JAMA 2000, 283, 2281–2290. [Google Scholar] [CrossRef]







| Derivate # | MIC 1 (µg/mL) | Susceptibility Category 2 | Resistance Mechanism |
|---|---|---|---|
| Doxycycline | |||
| WT | 0.5 | S | |
| 36 | 2 | S | unknown |
| 36-4 | 8 | I | |
| 36-4-18 | 32 | R | |
| Ciprofloxacin | |||
| WT | 0.016 | S | |
| 83 | 0.125 | S | single mutation in gyrA |
| 111 | 0.5 | Non-S | |
| 66-6 | 8 | Non-S |
| Antibiotic | Final Concentration Range (µg/mL) | Y. pestis MIC Interpretive Criteria1 | ||
|---|---|---|---|---|
| Sensitive | Intermediate | Resistant | ||
| Chloramphenicol (CL) | 2–16 | ≤8 | 16 | ≥32 |
| Streptomycin (SM) | 2–16 | ≤4 | 8 | ≥16 |
| Gentamycin (GM) | 0.25–2 | ≤4 | 8 | ≥16 |
| Doxycycline (DC) | 0.25–2 | ≤4 | 8 | ≥16 |
| Ciprofloxacin (CIP) | 0.008–0.064 | ≤0.25 | ||
Publisher’s Note: MDPI stays neutral with regard to jurisdictional claims in published maps and institutional affiliations. |
© 2021 by the authors. Licensee MDPI, Basel, Switzerland. This article is an open access article distributed under the terms and conditions of the Creative Commons Attribution (CC BY) license (https://creativecommons.org/licenses/by/4.0/).
Share and Cite
Moses, S.; Aftalion, M.; Mamroud, E.; Rotem, S.; Steinberger-Levy, I. Reporter-Phage-Based Detection and Antibiotic Susceptibility Testing of Yersinia pestis for a Rapid Plague Outbreak Response. Microorganisms 2021, 9, 1278. https://doi.org/10.3390/microorganisms9061278
Moses S, Aftalion M, Mamroud E, Rotem S, Steinberger-Levy I. Reporter-Phage-Based Detection and Antibiotic Susceptibility Testing of Yersinia pestis for a Rapid Plague Outbreak Response. Microorganisms. 2021; 9(6):1278. https://doi.org/10.3390/microorganisms9061278
Chicago/Turabian StyleMoses, Sarit, Moshe Aftalion, Emanuelle Mamroud, Shahar Rotem, and Ida Steinberger-Levy. 2021. "Reporter-Phage-Based Detection and Antibiotic Susceptibility Testing of Yersinia pestis for a Rapid Plague Outbreak Response" Microorganisms 9, no. 6: 1278. https://doi.org/10.3390/microorganisms9061278
APA StyleMoses, S., Aftalion, M., Mamroud, E., Rotem, S., & Steinberger-Levy, I. (2021). Reporter-Phage-Based Detection and Antibiotic Susceptibility Testing of Yersinia pestis for a Rapid Plague Outbreak Response. Microorganisms, 9(6), 1278. https://doi.org/10.3390/microorganisms9061278

