In Vitro Evaluation of the Effect of Oral Probiotic Weissella cibaria on the Formation of Multi-Species Oral Biofilms on Dental Implant Surfaces
Abstract
:1. Introduction
2. Materials and Methods
2.1. Bacterial Strains and Growth Conditions
2.2. Saliva Preparation
2.3. Formation of Multi-Species Colony Biofilm
2.4. Evaluation of W. cibaria on Multi-Species Colony Biofilm Formation
2.5. Evaluation of W. cibaria on the Formation of Multi-Species Oral Biofilms on Dental Implant Surface
2.6. Measurement of Viable Cells and Quantity of Biofilm
2.7. qPCR
2.8. Confocal Laser Scanning Microscopy (CLSM) Analysis
2.9. Scanning Electron Microscopic (SEM) Analysis
2.10. Statistical Analysis
3. Results
3.1. Formation of Multi-Species Colony Biofilm
3.2. Effects of W. cibaria on Multi-Species Colony Biofilm Formation
3.3. Effects of W. Cibaria on the Formation of Multi-Species Oral Biofilms on Dental Implant Surface
3.3.1. Measurement of Viable Cells and Quantity of Implant Biofilms
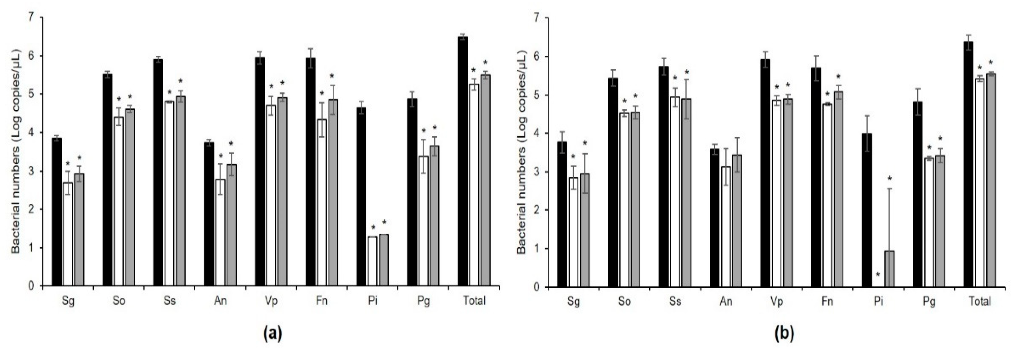
3.3.2. Quantitative Analysis of Implant Biofilms Using qPCR
3.3.3. CLSM Analysis of Implant Biofilms
3.3.4. SEM Analysis of Implant Biofilms
4. Discussion
5. Conclusions
Author Contributions
Funding
Institutional Review Board Statement
Informed Consent Statement
Data Availability Statement
Conflicts of Interest
References
- Vilhjálmsson, V.H.; Klock, K.S.; Størksen, K.; Bårdsen, A. Aesthetics of implant-supported single anterior maxillary crowns evaluated by objective indices and participants’ perceptions. Clin. Oral Implant. Res. 2011, 22, 1399–1403. [Google Scholar] [CrossRef] [PubMed]
- Ferreira, R.C.; Cogo-Müller, K.; Franco, G.C.; Silva-Concílio, L.R.; Sampaio, C.M.; de Mello, R.S.; Claro, N.A.C. Initial oral biofilm formation on titanium implants with different surface treatments: An in vivo study. Arch. Oral Biol. 2016, 69, 33–39. [Google Scholar] [CrossRef] [Green Version]
- Quirynen, M.; Al-Nawas, B.; Meijer, H.J.; Razavi, A.; Reichert, T.E.; Schimmel, M.; Storelli, S.; Romeo, E.; Roxolid Study Group. Small-diameter titanium Grade IV and titanium-zirconium implants in edentulous mandibles: Three-year results from a double-blind, randomized controlled trial. Clin. Oral Implant. Res. 2015, 26, 831–840. [Google Scholar] [CrossRef] [PubMed]
- Cordeiro, J.M.; Barão, V.A.R. Is there scientific evidence favoring the substitution of commercially pure titanium with titanium alloys for the manufacture of dental implants? Mater. Sci. Eng. C Mater. Biol. Appl. 2017, 71, 1201–1215. [Google Scholar] [CrossRef] [PubMed]
- Eliades, T. Passive film growth on titanium alloys: Physicochemical and biologic considerations. Int. J. Oral Maxillofac. Implant. 1997, 12, 621–627. [Google Scholar]
- Zhang, L.; Geraets, W.; Zhou, Y.; Wu, W.; Wismeijer, D. A new classification of peri-implant bone morphology: A radiographic study of patients with lower implant-supported mandibular overdentures. Clin. Oral Implant. Res. 2014, 25, 905–909. [Google Scholar] [CrossRef]
- Stadlinger, B.; Pilling, E.; Huhle, M.; Mai, R.; Bierbaum, S.; Bernhardt, R.; Scharnweber, D.; Kuhlisch, E.; Hempel, U.; Eckelt, U. Influence of extracellular matrix coatings on implant stability and osseointegration: An animal study. J. Biomed. Mater. Res. B Appl. Biomater. 2007, 83, 222–231. [Google Scholar] [CrossRef]
- Piattelli, M.; Scarano, A.; Paolantonio, M.; Iezzi, G.; Petrone, G.; Piattelli, A. Bone response to machined and resorbable blast material titanium implants: An experimental study in rabbits. J. Oral Implantol. 2002, 28, 2–8. [Google Scholar] [CrossRef] [Green Version]
- Violant, D.; Galofré, M.; Nart, J.; Teles, R.P. In Vitro evaluation of a multispecies oral biofilm on different implant surfaces. Biomed. Mater. 2014, 9, 35007. [Google Scholar] [CrossRef]
- Heitz-Mayfield, L.J.A.; Salvi, G.E. Peri-implant mucositis. J. Periodontol. 2018, 89, S257–S266. [Google Scholar] [CrossRef] [Green Version]
- Schwarz, F.; Derks, J.; Monje, A.; Wang, H.L. Peri-implantitis. J. Periodontol. 2018, 89, S267–S290. [Google Scholar] [CrossRef] [PubMed]
- Graziani, F.; Figuero, E.; Herrera, D. Systematic review of quality of reporting, outcome measurements and methods to study efficacy of preventive and therapeutic approaches to peri-implant diseases. J. Clin. Periodontol. 2012, 39, 224–244. [Google Scholar] [CrossRef] [PubMed]
- Teughels, W.; Loozen, G.; Quirynen, M. Do probiotics offer opportunities to manipulate the periodontal oral microbiota? J. Clin. Periodontol. 2011, 38, 159–177. [Google Scholar] [CrossRef] [PubMed]
- Reid, G. Food and Agricultural Organization of the United Nation and the WHO. The importance of guidelines in the development and application of probiotics. Curr. Pharm. Des. 2005, 11, 11–16. [Google Scholar] [CrossRef]
- Björkroth, K.J.; Schillinger, U.; Geisen, R.; Weiss, N.; Hoste, B.; Holzapfel, W.H.; Korkeala, H.J.; Vandamme, P. Taxonomic study of Weissella confusa and description of Weissella cibaria sp. nov., detected in food and clinical samples. Int. J. Syst. Evol. Microbiol. 2002, 52, 141–148. [Google Scholar] [CrossRef]
- Do, K.H.; Park, H.E.; Kang, M.S.; Kim, J.T.; Yeu, J.E.; Lee, W.K. Effects of Weissella cibaria CMU on halitosis and calculus, plaque, and gingivitis indices in beagles. J. Vet. Dent. 2019, 36, 135–142. [Google Scholar] [CrossRef]
- Kang, M.S.; Lee, D.S.; Lee, S.A.; Kim, M.S.; Nam, S.H. Effects of probiotic bacterium Weissella cibaria CMU on periodontal health and microbiota: A randomised, double-blind, placebo-controlled trial. BMC Oral Health 2020, 20, 243. [Google Scholar] [CrossRef] [PubMed]
- Kang, M.S.; Chung, J.; Kim, S.M.; Yang, K.H.; Oh, J.S. Effect of Weissella cibaria isolates on the formation of Streptococcus mutans biofilm. Caries Res. 2006, 40, 418–425. [Google Scholar] [CrossRef]
- Kang, M.S.; Yeu, J.E.; Hong, S.P. Safety Evaluation of oral care probiotics Weissella cibaria CMU and CMS1 by phenotypic and genotypic analysis. Int. J. Mol. Sci. 2019, 20, 2693. [Google Scholar] [CrossRef] [Green Version]
- Sánchez, M.C.; Llama-Palacios, A.; Blanc, V.; León, R.; Herrera, D.; Sanz, M. Structure, viability and bacterial kinetics of an in vitro biofilm model using six bacteria from the subgingival microbiota. J. Periodontal Res. 2011, 46, 252–260. [Google Scholar] [CrossRef]
- Sánchez, M.C.; Llama-Palacios, A.; Fernández, E.; Figuero, E.; Marín, M.J.; León, R.; Blanc, V.; Herrera, D.; Sanz, M. An in vitro biofilm model associated to dental implants: Structural and quantitative analysis of in vitro biofilm formation on different dental implant surfaces. Dent. Mater. 2014, 30, 1161–1171. [Google Scholar] [CrossRef]
- Bermejo, P.; Sánchez, M.C.; Llama-Palacios, A.; Figuero, E.; Herrera, D.; Sanz, M. Topographic characterization of multispecies biofilms growing on dental implant surfaces: An in vitro model. Clin. Oral Implant. Res. 2019, 30, 229–241. [Google Scholar] [CrossRef] [PubMed]
- Kang, M.S.; Lim, H.S.; Oh, J.S.; Lim, Y.J.; Wuertz-Kozak, K.; Harro, J.M.; Shirtliff, M.E.; Achermann, Y. Antimicrobial activity of Lactobacillus salivarius and Lactobacillus fermentum against Staphylococcus aureus. Pathog. Dis. 2017, 75, ftx009. [Google Scholar] [CrossRef] [PubMed]
- Periasamy, S.; Kolenbrander, P.E. Mutualistic biofilm communities develop with Porphyromonas gingivalis and initial, early, and late colonizers of enamel. J. Bacteriol. 2009, 191, 6804–6811. [Google Scholar] [CrossRef] [Green Version]
- Shelburne, C.E.; Prabhu, A.; Gleason, R.M.; Mullally, B.H.; Coulter, W.A. Quantitation of Bacteroides forsythus in subgingival plaque comparison of immunoassay and quantitative polymerase chain reaction. J. Microbiol. Methods 2000, 39, 97–107. [Google Scholar] [CrossRef]
- Ceresa, C.; Tessarolo, F.; Caola, I.; Nollo, G.; Cavallo, M.; Rinaldi, M.; Fracchia, L. Inhibition of Candida albicans adhesion on medical-grade silicone by a Lactobacillus-derived biosurfactant. J. Appl. Microbiol. 2015, 118, 1116–1125. [Google Scholar] [CrossRef]
- Figuero, E.; Graziani, F.; Sanz, I.; Herrera, D.; Sanz, M. Management of peri-implant mucositis and peri-implantitis. Periodontology 2000 2014, 66, 255–273. [Google Scholar] [CrossRef]
- Butera, A.; Gallo, S.; Maiorani, C.; Molino, D.; Chiesa, A.; Preda, C.; Esposito, F.; Scribante, A. Probiotic alternative to chlorhexidine in periodontal therapy: Evaluation of clinical and microbiological parameters. Microorganisms 2021, 9, 69. [Google Scholar] [CrossRef] [PubMed]
- Butera, A.; Gallo, S.; Pascadopoli, M.; Luraghi, G.; Scribante, A. Ozonized water administration in peri-implant mucositis sites: A randomized clinical trial. Appl. Sci. 2021, 11, 7812. [Google Scholar] [CrossRef]
- Ciandrini, E.; Campana, R.; Baffone, W. Live and heat-killed Lactobacillus spp. interfere with Streptococcus mutans and Streptococcus oralis during biofilm development on titanium surface. Arch. Oral Biol. 2017, 78, 48–57. [Google Scholar] [CrossRef]
- Kim, A.R.; Ahn, K.B.; Yun, C.H.; Park, O.J.; Perinpanayagam, H.; Yoo, Y.J.; Kum, K.Y.; Han, S.H. Lactobacillus plantarum lipoteichoic acid inhibits oral multispecies biofilm. J. Endod. 2019, 45, 310–315. [Google Scholar] [CrossRef] [PubMed]
- Larsen, T.; Fiehn, N.E. Dental biofilm infections: An update. APMIS 2017, 125, 376–384. [Google Scholar] [CrossRef] [PubMed]








| Bacteria | Sequence (5′–3′) | Length (bp) | References |
|---|---|---|---|
| S. gordonii | |||
| Forward | CCGTCACACCACGAGAGTTT | 104 | This study |
| Reverse | CCTTGTTACGACTTCACCCCA | ||
| S. oralis | |||
| Forward | CAACGATACATAGCCGACCTGAG | 102 | [21] |
| Reverse | TCCATTGCCGAAGATTCC | ||
| S. sanguinis | |||
| Forward | GATCCTGGCTCAGGACGAAC | 103 | This study |
| Reverse | TACTCACCCGTTCGCAACTC | ||
| A. naeslundii | |||
| Forward | GGCTGCGATACCGTGAGG | 104 | [21] |
| Reverse | TCTGCGATTACTAGCGACTCC | ||
| V. parvula | |||
| Forward | CCGTGATGGGATGGAAACTGC | 106 | [24] |
| Reverse | CCTTCGCCACTGGTGTTCTTC | ||
| F. nucleatum | |||
| Forward | TCGTGTCGTGAGATGTTGGG | 156 | This study |
| Reverse | GTAGCCCAGCGTATAAGGGG | ||
| P. intermedia | |||
| Forward | TTGGGGAGTAAAGCGGGCA | 151 | This study |
| Reverse | CGCTTAACAGACCGCCTACA | ||
| P. gingivalis | |||
| Forward | AGGCAGCTTGCCATACTGCG | 100 | This study |
| Reverse | ACTGTTAGCAACTACCGATGT | ||
| Total bacteria | |||
| Forward | CCATGAAGTCGGAATCGCTAGT | 86 | [25] |
| Reverse | GCTTGACGGGCGTGTG |
Publisher’s Note: MDPI stays neutral with regard to jurisdictional claims in published maps and institutional affiliations. |
© 2021 by the authors. Licensee MDPI, Basel, Switzerland. This article is an open access article distributed under the terms and conditions of the Creative Commons Attribution (CC BY) license (https://creativecommons.org/licenses/by/4.0/).
Share and Cite
Kang, M.-S.; Park, G.-Y. In Vitro Evaluation of the Effect of Oral Probiotic Weissella cibaria on the Formation of Multi-Species Oral Biofilms on Dental Implant Surfaces. Microorganisms 2021, 9, 2482. https://doi.org/10.3390/microorganisms9122482
Kang M-S, Park G-Y. In Vitro Evaluation of the Effect of Oral Probiotic Weissella cibaria on the Formation of Multi-Species Oral Biofilms on Dental Implant Surfaces. Microorganisms. 2021; 9(12):2482. https://doi.org/10.3390/microorganisms9122482
Chicago/Turabian StyleKang, Mi-Sun, and Geun-Yeong Park. 2021. "In Vitro Evaluation of the Effect of Oral Probiotic Weissella cibaria on the Formation of Multi-Species Oral Biofilms on Dental Implant Surfaces" Microorganisms 9, no. 12: 2482. https://doi.org/10.3390/microorganisms9122482
APA StyleKang, M.-S., & Park, G.-Y. (2021). In Vitro Evaluation of the Effect of Oral Probiotic Weissella cibaria on the Formation of Multi-Species Oral Biofilms on Dental Implant Surfaces. Microorganisms, 9(12), 2482. https://doi.org/10.3390/microorganisms9122482

