New Roles for Two-Component System Response Regulators of Salmonella enterica Serovar Typhi during Host Cell Interactions
Abstract
1. Introduction
2. Materials and Methods
2.1. Bacterial Strains and Growth Conditions
2.2. Chromosomal Deletion of TCS Regulatory Genes
2.3. Interaction with Cultured Human Epithelial Intestinal Cells
2.4. Infection of Cultured Macrophages
2.5. Motility Assays
3. Results
3.1. Deletion and Characterization of RR Mutants
3.2. Adhesion, Invasion, and Replication in Epithelial Cells
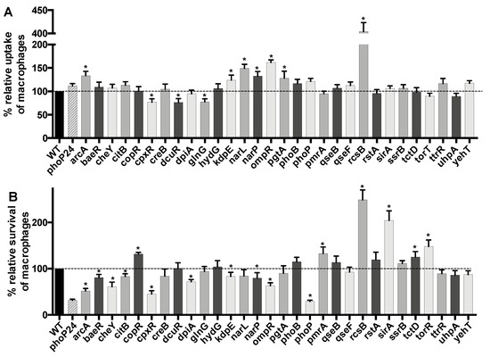
3.3. Uptake and Survival in Macrophages
3.4. Complementation
3.5. Impact of the Vi Antigen
3.6. Strain Specificity
4. Discussion
5. Conclusions
Supplementary Materials
Author Contributions
Funding
Conflicts of Interest
References
- Beier, D.; Gross, R. Regulation of bacterial virulence by two-component systems. Curr. Opin. Microbiol. 2006, 9, 143–152. [Google Scholar] [CrossRef] [PubMed]
- Stock, A.M.; Robinson, V.L.; Goudreau, P.N. Two-component signal transduction. Annu. Rev. Biochem. 2000, 69, 183–215. [Google Scholar] [CrossRef] [PubMed]
- Parkinson, J.S.; Kofoid, E.C. Communication modules in bacterial signaling proteins. Annu. Rev. Genet. 1992, 26, 71–112. [Google Scholar] [CrossRef] [PubMed]
- Gibani, M.M.; Britto, C.; Pollard, A.J. Typhoid and paratyphoid fever: A call to action. Curr. Opin. Infect. Dis. 2018, 31, 440–448. [Google Scholar] [CrossRef]
- Audia, J.P.; Webb, C.C.; Foster, J.W. Breaking through the acid barrier: An orchestrated response to proton stress by enteric bacteria. Int. J. Med. Microbiol. 2001, 291, 97–106. [Google Scholar] [CrossRef]
- Tiwari, R.P.; Sachdeva, N.; Hoondal, G.S.; Grewal, J.S. Adaptive acid tolerance response in Salmonella enterica serovar Typhimurium and Salmonella enterica serovar Typhi. J. Basic Microbiol. 2004, 44, 137–146. [Google Scholar] [CrossRef]
- Lostroh, C.P.; Lee, C.A. The Salmonella pathogenicity island-1 type III secretion system. Microbes Infect. 2001, 3, 1281–1291. [Google Scholar] [CrossRef]
- Lara-Tejero, M.; Galan, J.E. The Injectisome, a Complex Nanomachine for Protein Injection into Mammalian Cells. EcoSal Plus 2019, 8. [Google Scholar] [CrossRef]
- Raffatellu, M.; Chessa, D.; Wilson, R.P.; Dusold, R.; Rubino, S.; Baumler, A.J. The Vi capsular antigen of Salmonella enterica serotype Typhi reduces Toll-like receptor-dependent interleukin-8 expression in the intestinal mucosa. Infect. Immun. 2005, 73, 3367–3374. [Google Scholar] [CrossRef]
- Waterman, S.R.; Holden, D.W. Functions and effectors of the Salmonella pathogenicity island 2 type III secretion system. Cell. Microbiol. 2003, 5, 501–511. [Google Scholar] [CrossRef]
- Hensel, M.; Shea, J.E.; Waterman, S.R.; Mundy, R.; Nikolaus, T.; Banks, G.; Vazquez-Torres, A.; Gleeson, C.; Fang, F.C.; Holden, D.W. Genes encoding putative effector proteins of the type III secretion system of Salmonella pathogenicity island 2 are required for bacterial virulence and proliferation in macrophages. Mol. Microbiol. 1998, 30, 163–174. [Google Scholar] [CrossRef] [PubMed]
- Parry, C.M.; Hien, T.T.; Dougan, G.; White, N.J.; Farrar, J.J. Typhoid fever. N. Engl. J. Med. 2002, 347, 1770–1782. [Google Scholar] [CrossRef] [PubMed]
- Pickard, D.; Li, J.; Roberts, M.; Maskell, D.; Hone, D.; Levine, M.; Dougan, G.; Chatfield, S. Characterization of defined ompR mutants of Salmonella typhi: ompR is involved in the regulation of Vi polysaccharide expression. Infect. Immun. 1994, 62, 3984–3993. [Google Scholar] [CrossRef] [PubMed]
- Santander, J.; Roland, K.L.; Curtiss, R., 3rd. Regulation of Vi capsular polysaccharide synthesis in Salmonella enterica serotype Typhi. J. Infect. Dev. Ctries 2008, 2, 412–420. [Google Scholar]
- Virlogeux, I.; Waxin, H.; Ecobichon, C.; Lee, J.O.; Popoff, M.Y. Characterization of the rcsA and rcsB genes from Salmonella typhi: rcsB through tviA is involved in regulation of Vi antigen synthesis. J. Bacteriol. 1996, 178, 1691–1698. [Google Scholar] [CrossRef] [PubMed]
- Winter, S.E.; Winter, M.G.; Thiennimitr, P.; Gerriets, V.A.; Nuccio, S.P.; Russmann, H.; Baumler, A.J. The TviA auxiliary protein renders the Salmonella enterica serotype Typhi RcsB regulon responsive to changes in osmolarity. Mol. Microbiol. 2009, 74, 175–193. [Google Scholar] [CrossRef]
- Arricau, N.; Hermant, D.; Waxin, H.; Ecobichon, C.; Duffey, P.S.; Popoff, M.Y. The RcsB-RcsC regulatory system of Salmonella typhi differentially modulates the expression of invasion proteins, flagellin and Vi antigen in response to osmolarity. Mol. Microbiol. 1998, 29, 835–850. [Google Scholar] [CrossRef]
- Fowler, C.C.; Galan, J.E. Decoding a Salmonella Typhi Regulatory Network that Controls Typhoid Toxin Expression within Human Cells. Cell Host Microbe 2018, 23, 65–76, e66. [Google Scholar] [CrossRef]
- Faucher, S.P.; Forest, C.; Beland, M.; Daigle, F. A novel PhoP-regulated locus encoding the cytolysin ClyA and the secreted invasin TaiA of Salmonella enterica serovar Typhi is involved in virulence. Microbiology 2009, 155, 477–488. [Google Scholar] [CrossRef]
- Charles, R.C.; Harris, J.B.; Chase, M.R.; Lebrun, L.M.; Sheikh, A.; LaRocque, R.C.; Logvinenko, T.; Rollins, S.M.; Tarique, A.; Hohmann, E.L.; et al. Comparative proteomic analysis of the PhoP regulon in Salmonella enterica serovar Typhi versus Typhimurium. PLoS ONE 2009, 4, e6994. [Google Scholar] [CrossRef]
- Sheikh, A.; Charles, R.C.; Sharmeen, N.; Rollins, S.M.; Harris, J.B.; Bhuiyan, M.S.; Arifuzzaman, M.; Khanam, F.; Bukka, A.; Kalsy, A.; et al. In vivo expression of Salmonella enterica serotype Typhi genes in the blood of patients with typhoid fever in Bangladesh. PLoS Negl. Trop. Dis. 2011, 5, e1419. [Google Scholar] [CrossRef] [PubMed]
- Hohmann, E.L.; Oletta, C.A.; Killeen, K.P.; Miller, S.I. phoP/phoQ-deleted Salmonella typhi (Ty800) is a safe and immunogenic single-dose typhoid fever vaccine in volunteers. J. Infect. Dis. 1996, 173, 1408–1414. [Google Scholar] [CrossRef] [PubMed]
- Forest, C.G.; Ferraro, E.; Sabbagh, S.C.; Daigle, F. Intracellular survival of Salmonella enterica serovar Typhi in human macrophages is independent of Salmonella pathogenicity island (SPI)-2. Microbiology 2010, 156, 3689–3698. [Google Scholar] [CrossRef] [PubMed]
- Leclerc, G.J.; Tartera, C.; Metcalf, E.S. Environmental regulation of Salmonella typhi invasion-defective mutants. Infect. Immun. 1998, 66, 682–691. [Google Scholar] [CrossRef]
- Moreira, C.G.; Sperandio, V. Interplay between the QseC and QseE bacterial adrenergic sensor kinases in Salmonella enterica serovar Typhimurium pathogenesis. Infect. Immun. 2012, 80, 4344–4353. [Google Scholar] [CrossRef]
- Bearson, B.L.; Bearson, S.M. The role of the QseC quorum-sensing sensor kinase in colonization and norepinephrine-enhanced motility of Salmonella enterica serovar Typhimurium. Microb. Pathog. 2008, 44, 271–278. [Google Scholar] [CrossRef]
- Ji, Y.; Li, W.; Zhang, Y.; Chen, L.; Zhang, Y.; Zheng, X.; Huang, X.; Ni, B. QseB mediates biofilm formation and invasion in Salmonella enterica serovar Typhi. Microb. Pathog. 2017, 104, 6–11. [Google Scholar] [CrossRef]
- Island, M.D.; Wei, B.Y.; Kadner, R.J. Structure and function of the uhp genes for the sugar phosphate transport system in Escherichia coli and Salmonella typhimurium. J. Bacteriol. 1992, 174, 2754–2762. [Google Scholar] [CrossRef]
- Sheng, X.; Huang, X.; Li, J.; Xie, X.; Xu, S.; Zhang, H.; Xu, H. Regulation of sulfur assimilation pathways in Salmonella enterica serovar Typhi upon up-shift high osmotic treatment: The role of UhpA revealed through transcriptome profiling. Curr. Microbiol. 2009, 59, 628–635. [Google Scholar] [CrossRef]
- Wanner, B.L. Is cross regulation by phosphorylation of two-component response regulator proteins important in bacteria? J. Bacteriol. 1992, 174, 2053–2058. [Google Scholar] [CrossRef]
- Hone, D.M.; Harris, A.M.; Chatfield, S.; Dougan, G.; Levine, M.M. Construction of genetically defined double aro mutants of Salmonella typhi. Vaccine 1991, 9, 810–816. [Google Scholar] [CrossRef]
- O’Callaghan, D.; Charbit, A. High efficiency transformation of Salmonella typhimurium and Salmonella typhi by electroporation. Mol. Gen. Genet. 1990, 223, 156–158. [Google Scholar] [CrossRef] [PubMed]
- Parkhill, J.; Dougan, G.; James, K.D.; Thomson, N.R.; Pickard, D.; Wain, J.; Churcher, C.; Mungall, K.L.; Bentley, S.D.; Holden, M.T.; et al. Complete genome sequence of a multiple drug resistant Salmonella enterica serovar Typhi CT18. Nature 2001, 413, 848–852. [Google Scholar] [CrossRef] [PubMed]
- Forest, C.; Faucher, S.; Poirier, K.; Houle, S.; Dozois, C.; Daigle, F. Contribution of the stg fimbrial operon of Salmonella enterica serovar Typhi during interaction with human cells. Infect. Immun. 2007, 75, 5264–5271. [Google Scholar] [CrossRef]
- Ho, S.N.; Hunt, H.D.; Horton, R.M.; Pullen, J.K.; Pease, L.R. Site-directed mutagenesis by overlap extension using the polymerase chain reaction. Gene 1989, 77, 51–59. [Google Scholar] [CrossRef]
- Daigle, F.; Graham, J.; Curtiss, R., 3rd. Identification of Salmonella typhi genes expressed within macrophages by selective capture of transcribed sequences (SCOTS). Mol. Microbiol. 2001, 41, 1211–1222. [Google Scholar] [CrossRef]
- Sabbagh, S.C.; Lepage, C.; McClelland, M.; Daigle, F. Selection of Salmonella enterica serovar Typhi genes involved during interaction with human macrophages by screening of a transposon mutant library. PLoS ONE 2012, 7, e36643. [Google Scholar] [CrossRef]
- Lu, S.; Killoran, P.B.; Fang, F.C.; Riley, L.W. The global regulator ArcA controls resistance to reactive nitrogen and oxygen intermediates in Salmonella enterica serovar Enteritidis. Infect. Immun. 2002, 70, 451–461. [Google Scholar] [CrossRef]
- Morales, E.H.; Calderon, I.L.; Collao, B.; Gil, F.; Porwollik, S.; McClelland, M.; Saavedra, C.P. Hypochlorous acid and hydrogen peroxide-induced negative regulation of Salmonella enterica serovar Typhimurium ompW by the response regulator ArcA. BMC Microbiol. 2012, 12, 63. [Google Scholar] [CrossRef]
- Lim, S.; Yoon, H.; Kim, M.; Han, A.; Choi, J.; Choi, J.; Ryu, S. Hfq and ArcA are involved in the stationary phase-dependent activation of Salmonella pathogenicity island 1 (SPI1) under shaking culture conditions. J. Microbiol. Biotechnol. 2013, 23, 1664–1672. [Google Scholar] [CrossRef]
- Evans, M.R.; Fink, R.C.; Vazquez-Torres, A.; Porwollik, S.; Jones-Carson, J.; McClelland, M.; Hassan, H.M. Analysis of the ArcA regulon in anaerobically grown Salmonella enterica sv. Typhimurium. BMC Microbiol. 2011, 11, 58. [Google Scholar] [CrossRef]
- Pardo-Este, C.; Hidalgo, A.A.; Aguirre, C.; Briones, A.C.; Cabezas, C.E.; Castro-Severyn, J.; Fuentes, J.A.; Opazo, C.M.; Riedel, C.A.; Otero, C.; et al. The ArcAB two-component regulatory system promotes resistance to reactive oxygen species and systemic infection by Salmonella Typhimurium. PLoS ONE 2018, 13, e0203497. [Google Scholar] [CrossRef] [PubMed]
- Guerrero, P.; Collao, B.; Morales, E.H.; Calderon, I.L.; Ipinza, F.; Parra, S.; Saavedra, C.P.; Gil, F. Characterization of the BaeSR two-component system from Salmonella Typhimurium and its role in ciprofloxacin-induced mdtA expression. Arch. Microbiol. 2012, 194, 453–460. [Google Scholar] [CrossRef] [PubMed]
- Appia-Ayme, C.; Patrick, E.; Sullivan, M.J.; Alston, M.J.; Field, S.J.; AbuOun, M.; Anjum, M.F.; Rowley, G. Novel inducers of the envelope stress response BaeSR in Salmonella Typhimurium: BaeR is critically required for tungstate waste disposal. PLoS ONE 2011, 6, e23713. [Google Scholar] [CrossRef] [PubMed][Green Version]
- Bott, M. Anaerobic citrate metabolism and its regulation in enterobacteria. Arch. Microbiol. 1997, 167, 78–88. [Google Scholar] [CrossRef]
- Stecher, B.; Hapfelmeier, S.; Muller, C.; Kremer, M.; Stallmach, T.; Hardt, W.D. Flagella and chemotaxis are required for efficient induction of Salmonella enterica serovar Typhimurium colitis in streptomycin-pretreated mice. Infect. Immun. 2004, 72, 4138–4150. [Google Scholar] [CrossRef]
- Lee, C.A.; Jones, B.D.; Falkow, S. Identification of a Salmonella typhimurium invasion locus by selection for hyperinvasive mutants. Proc. Natl. Acad. Sci. USA 1992, 89, 1847–1851. [Google Scholar] [CrossRef]
- Pezza, A.; Pontel, L.B.; Lopez, C.; Soncini, F.C. Compartment and signal-specific codependence in the transcriptional control of Salmonella periplasmic copper homeostasis. Proc. Natl. Acad. Sci. USA 2016, 113, 11573–11578. [Google Scholar] [CrossRef]
- Kato, A.; Higashino, N.; Utsumi, R. Fe(3+)-dependent epistasis between the CpxR-activated loci and the PmrA-activated LPS modification loci in Salmonella enterica. J. Gen. Appl. Microbiol. 2017, 62, 286–296. [Google Scholar] [CrossRef]
- Cerminati, S.; Giri, G.F.; Mendoza, J.I.; Soncini, F.C.; Checa, S.K. The CpxR/CpxA system contributes to Salmonella gold-resistance by controlling the GolS-dependent gesABC transcription. Environ. Microbiol. 2017, 19, 4035–4044. [Google Scholar] [CrossRef]
- Weatherspoon-Griffin, N.; Zhao, G.; Kong, W.; Kong, Y.; Andrews-Polymenis, H.; McClelland, M.; Shi, Y. The CpxR/CpxA two-component system up-regulates two Tat-dependent peptidoglycan amidases to confer bacterial resistance to antimicrobial peptide. J. Biol. Chem. 2011, 286, 5529–5539. [Google Scholar] [CrossRef] [PubMed]
- Lopez, C.; Checa, S.K.; Soncini, F.C. CpxR/CpxA Controls scsABCD Transcription To Counteract Copper and Oxidative Stress in Salmonella enterica Serovar Typhimurium. J. Bacteriol. 2018, 200. [Google Scholar] [CrossRef] [PubMed]
- Humphreys, S.; Rowley, G.; Stevenson, A.; Anjum, M.F.; Woodward, M.J.; Gilbert, S.; Kormanec, J.; Roberts, M. Role of the two-component regulator CpxAR in the virulence of Salmonella enterica serotype Typhimurium. Infect. Immun. 2004, 72, 4654–4661. [Google Scholar] [CrossRef] [PubMed]
- De la Cruz, M.A.; Perez-Morales, D.; Palacios, I.J.; Fernandez-Mora, M.; Calva, E.; Bustamante, V.H. The two-component system CpxR/A represses the expression of Salmonella virulence genes by affecting the stability of the transcriptional regulator HilD. Front. Microbiol. 2015, 6, 807. [Google Scholar] [CrossRef] [PubMed]
- Subramaniam, S.; Muller, V.S.; Hering, N.A.; Mollenkopf, H.; Becker, D.; Heroven, A.K.; Dersch, P.; Pohlmann, A.; Tedin, K.; Porwollik, S.; et al. Contribution of the Cpx envelope stress system to metabolism and virulence regulation in Salmonella enterica serovar Typhimurium. PLoS ONE 2019, 14, e0211584. [Google Scholar] [CrossRef]
- Fujimoto, M.; Goto, R.; Haneda, T.; Okada, N.; Miki, T. Salmonella enterica Serovar Typhimurium CpxRA Two-Component System Contributes to Gut Colonization in Salmonella-Induced Colitis. Infect. Immun. 2018, 86. [Google Scholar] [CrossRef] [PubMed]
- Avison, M.B.; Horton, R.E.; Walsh, T.R.; Bennett, P.M. Escherichia coli CreBC is a global regulator of gene expression that responds to growth in minimal media. J. Biol. Chem. 2001, 276, 26955–26961. [Google Scholar] [CrossRef] [PubMed]
- Scheu, P.D.; Kim, O.B.; Griesinger, C.; Unden, G. Sensing by the membrane-bound sensor kinase DcuS: Exogenous versus endogenous sensing of C(4)-dicarboxylates in bacteria. Future Microbiol. 2010, 5, 1383–1402. [Google Scholar] [CrossRef]
- Golby, P.; Davies, S.; Kelly, D.J.; Guest, J.R.; Andrews, S.C. Identification and characterization of a two-component sensor-kinase and response-regulator system (DcuS-DcuR) controlling gene expression in response to C4-dicarboxylates in Escherichia coli. J. Bacteriol. 1999, 181, 1238–1248. [Google Scholar] [CrossRef]
- Miller, C.; Thomsen, L.E.; Gaggero, C.; Mosseri, R.; Ingmer, H.; Cohen, S.N. SOS response induction by beta-lactams and bacterial defense against antibiotic lethality. Science 2004, 305, 1629–1631. [Google Scholar] [CrossRef]
- Ferro-Luzzi Ames, G.; Nikaido, K. Nitrogen regulation in Salmonella typhimurium. Identification of an ntrC protein-binding site and definition of a consensus binding sequence. EMBO J. 1985, 4, 539–547. [Google Scholar] [CrossRef] [PubMed]
- Klose, K.E.; Mekalanos, J.J. Simultaneous prevention of glutamine synthesis and high-affinity transport attenuates Salmonella typhimurium virulence. Infect. Immun. 1997, 65, 587–596. [Google Scholar] [CrossRef] [PubMed]
- Leonhartsberger, S.; Huber, A.; Lottspeich, F.; Bock, A. The hydH/G Genes from Escherichia coli code for a zinc and lead responsive two-component regulatory system. J. Mol. Biol. 2001, 307, 93–105. [Google Scholar] [CrossRef] [PubMed]
- Rhoads, D.B.; Waters, F.B.; Epstein, W. Cation transport in Escherichia coli. VIII. Potassium transport mutants. J. Gen. Physiol. 1976, 67, 325–341. [Google Scholar] [CrossRef]
- Alegado, R.A.; Chin, C.Y.; Monack, D.M.; Tan, M.W. The two-component sensor kinase KdpD is required for Salmonella typhimurium colonization of Caenorhabditis elegans and survival in macrophages. Cell. Microbiol. 2011, 13, 1618–1637. [Google Scholar] [CrossRef]
- Noriega, C.E.; Lin, H.Y.; Chen, L.L.; Williams, S.B.; Stewart, V. Asymmetric cross-regulation between the nitrate-responsive NarX-NarL and NarQ-NarP two-component regulatory systems from Escherichia coli K-12. Mol. Microbiol. 2010, 75, 394–412. [Google Scholar] [CrossRef]
- Rabin, R.S.; Stewart, V. Dual response regulators (NarL and NarP) interact with dual sensors (NarX and NarQ) to control nitrate- and nitrite-regulated gene expression in Escherichia coli K-12. J. Bacteriol. 1993, 175, 3259–3268. [Google Scholar] [CrossRef]
- Lopez, C.A.; Rivera-Chavez, F.; Byndloss, M.X.; Baumler, A.J. The Periplasmic Nitrate Reductase NapABC Supports Luminal Growth of Salmonella enterica Serovar Typhimurium during Colitis. Infect. Immun. 2015, 83, 3470–3478. [Google Scholar] [CrossRef]
- Bang, I.S.; Kim, B.H.; Foster, J.W.; Park, Y.K. OmpR regulates the stationary-phase acid tolerance response of Salmonella enterica serovar typhimurium. J. Bacteriol. 2000, 182, 2245–2252. [Google Scholar] [CrossRef]
- Chakraborty, S.; Kenney, L.J. A New Role of OmpR in Acid and Osmotic Stress in Salmonella and E. coli. Front. Microbiol. 2018, 9, 2656. [Google Scholar] [CrossRef]
- Dorman, C.J.; Chatfield, S.; Higgins, C.F.; Hayward, C.; Dougan, G. Characterization of porin and ompR mutants of a virulent strain of Salmonella typhimurium: ompR mutants are attenuated in vivo. Infect. Immun. 1989, 57, 2136–2140. [Google Scholar] [CrossRef] [PubMed]
- Cameron, A.D.; Dorman, C.J. A fundamental regulatory mechanism operating through OmpR and DNA topology controls expression of Salmonella pathogenicity islands SPI-1 and SPI-2. PLoS Genet. 2012, 8, e1002615. [Google Scholar] [CrossRef] [PubMed]
- Lee, A.K.; Detweiler, C.S.; Falkow, S. OmpR regulates the two-component system SsrA-ssrB in Salmonella pathogenicity island 2. J. Bacteriol. 2000, 182, 771–781. [Google Scholar] [CrossRef] [PubMed]
- Garmendia, J.; Beuzon, C.R.; Ruiz-Albert, J.; Holden, D.W. The roles of SsrA-SsrB and OmpR-EnvZ in the regulation of genes encoding the Salmonella typhimurium SPI-2 type III secretion system. Microbiology 2003, 149, 2385–2396. [Google Scholar] [CrossRef] [PubMed]
- Feng, X.; Oropeza, R.; Kenney, L.J. Dual regulation by phospho-OmpR of ssrA/B gene expression in Salmonella pathogenicity island 2. Mol. Microbiol. 2003, 48, 1131–1143. [Google Scholar] [CrossRef]
- Mills, S.D.; Ruschkowski, S.R.; Stein, M.A.; Finlay, B.B. Trafficking of porin-deficient Salmonella typhimurium mutants inside HeLa cells: ompR and envZ mutants are defective for the formation of Salmonella-induced filaments. Infect. Immun. 1998, 66, 1806–1811. [Google Scholar] [CrossRef]
- Yang, Y.L.; Goldrick, D.; Hong, J.S. Identification of the products and nucleotide sequences of two regulatory genes involved in the exogenous induction of phosphoglycerate transport in Salmonella typhimurium. J. Bacteriol. 1988, 170, 4299–4303. [Google Scholar] [CrossRef]
- Pontes, M.H.; Groisman, E.A. Protein synthesis controls phosphate homeostasis. Genes Dev. 2018, 32, 79–92. [Google Scholar] [CrossRef]
- Lucas, R.L.; Lee, C.A. Roles of hilC and hilD in regulation of hilA expression in Salmonella enterica serovar Typhimurium. J. Bacteriol. 2001, 183, 2733–2745. [Google Scholar] [CrossRef]
- Miller, S.I.; Kukral, A.M.; Mekalanos, J.J. A two-component regulatory system (phoP phoQ) controls Salmonella typhimurium virulence. Proc. Natl. Acad. Sci. USA 1989, 86, 5054–5058. [Google Scholar] [CrossRef]
- Choi, E.; Groisman, E.A.; Shin, D. Activated by different signals, the PhoP/PhoQ two-component system differentially regulates metal uptake. J. Bacteriol. 2009, 191, 7174–7181. [Google Scholar] [CrossRef] [PubMed]
- Shi, Y.; Cromie, M.J.; Hsu, F.F.; Turk, J.; Groisman, E.A. PhoP-regulated Salmonella resistance to the antimicrobial peptides magainin 2 and polymyxin B. Mol. Microbiol. 2004, 53, 229–241. [Google Scholar] [CrossRef] [PubMed]
- Navarre, W.W.; Halsey, T.A.; Walthers, D.; Frye, J.; McClelland, M.; Potter, J.L.; Kenney, L.J.; Gunn, J.S.; Fang, F.C.; Libby, S.J. Co-regulation of Salmonella enterica genes required for virulence and resistance to antimicrobial peptides by SlyA and PhoP/PhoQ. Mol. Microbiol. 2005, 56, 492–508. [Google Scholar] [CrossRef] [PubMed]
- van Velkinburgh, J.C.; Gunn, J.S. PhoP-PhoQ-regulated loci are required for enhanced bile resistance in Salmonella spp. Infect. Immun. 1999, 67, 1614–1622. [Google Scholar] [CrossRef] [PubMed]
- Palmer, A.D.; Kim, K.; Slauch, J.M. PhoP-Mediated Repression of the SPI1 Type 3 Secretion System in Salmonella enterica Serovar Typhimurium. J. Bacteriol. 2019, 201. [Google Scholar] [CrossRef]
- Gunn, J.S.; Ryan, S.S.; Van Velkinburgh, J.C.; Ernst, R.K.; Miller, S.I. Genetic and functional analysis of a PmrA-PmrB-regulated locus necessary for lipopolysaccharide modification, antimicrobial peptide resistance, and oral virulence of Salmonella enterica serovar typhimurium. Infect. Immun. 2000, 68, 6139–6146. [Google Scholar] [CrossRef]
- Choi, J.; Groisman, E.A. The lipopolysaccharide modification regulator PmrA limits Salmonella virulence by repressing the type three-secretion system Spi/Ssa. Proc. Natl. Acad. Sci. USA 2013, 110, 9499–9504. [Google Scholar] [CrossRef]
- Moreira, C.G.; Weinshenker, D.; Sperandio, V. QseC mediates Salmonella enterica serovar typhimurium virulence in vitro and in vivo. Infect. Immun. 2010, 78, 914–926. [Google Scholar] [CrossRef]
- Merighi, M.; Septer, A.N.; Carroll-Portillo, A.; Bhatiya, A.; Porwollik, S.; McClelland, M.; Gunn, J.S. Genome-wide analysis of the PreA/PreB (QseB/QseC) regulon of Salmonella enterica serovar Typhimurium. BMC Microbiol. 2009, 9, 42. [Google Scholar] [CrossRef]
- Mouslim, C.; Delgado, M.; Groisman, E.A. Activation of the RcsC/YojN/RcsB phosphorelay system attenuates Salmonella virulence. Mol. Microbiol. 2004, 54, 386–395. [Google Scholar] [CrossRef]
- Farris, C.; Sanowar, S.; Bader, M.W.; Pfuetzner, R.; Miller, S.I. Antimicrobial peptides activate the Rcs regulon through the outer membrane lipoprotein RcsF. J. Bacteriol. 2010, 192, 4894–4903. [Google Scholar] [CrossRef] [PubMed]
- Farizano, J.V.; Torres, M.A.; Pescaretti Mde, L.; Delgado, M.A. The RcsCDB regulatory system plays a crucial role in the protection of Salmonella enterica serovar Typhimurium against oxidative stress. Microbiology 2014, 160, 2190–2199. [Google Scholar] [CrossRef] [PubMed]
- Cabeza, M.L.; Aguirre, A.; Soncini, F.C.; Vescovi, E.G. Induction of RpoS degradation by the two-component system regulator RstA in Salmonella enterica. J. Bacteriol. 2007, 189, 7335–7342. [Google Scholar] [CrossRef] [PubMed]
- Jeon, J.; Kim, H.; Yun, J.; Ryu, S.; Groisman, E.A.; Shin, D. RstA-promoted expression of the ferrous iron transporter FeoB under iron-replete conditions enhances Fur activity in Salmonella enterica. J. Bacteriol. 2008, 190, 7326–7334. [Google Scholar] [CrossRef][Green Version]
- Tran, T.K.; Han, Q.Q.; Shi, Y.; Guo, L. A comparative proteomic analysis of Salmonella typhimurium under the regulation of the RstA/RstB and PhoP/PhoQ systems. Biochim. Biophys. Acta 2016, 1864, 1686–1695. [Google Scholar] [CrossRef]
- Ahmer, B.M.; van Reeuwijk, J.; Watson, P.R.; Wallis, T.S.; Heffron, F. Salmonella SirA is a global regulator of genes mediating enteropathogenesis. Mol. Microbiol. 1999, 31, 971–982. [Google Scholar] [CrossRef]
- Martinez, L.C.; Yakhnin, H.; Camacho, M.I.; Georgellis, D.; Babitzke, P.; Puente, J.L.; Bustamante, V.H. Integration of a complex regulatory cascade involving the SirA/BarA and Csr global regulatory systems that controls expression of the Salmonella SPI-1 and SPI-2 virulence regulons through HilD. Mol. Microbiol. 2011, 80, 1637–1656. [Google Scholar] [CrossRef]
- Teplitski, M.; Goodier, R.I.; Ahmer, B.M. Pathways leading from BarA/SirA to motility and virulence gene expression in Salmonella. J. Bacteriol. 2003, 185, 7257–7265. [Google Scholar] [CrossRef]
- Pickard, D.; Kingsley, R.A.; Hale, C.; Turner, K.; Sivaraman, K.; Wetter, M.; Langridge, G.; Dougan, G. A genomewide mutagenesis screen identifies multiple genes contributing to Vi capsular expression in Salmonella enterica serovar Typhi. J. Bacteriol. 2013, 195, 1320–1326. [Google Scholar] [CrossRef]
- Johnston, C.; Pegues, D.A.; Hueck, C.J.; Lee, A.; Miller, S.I. Transcriptional activation of Salmonella typhimurium invasion genes by a member of the phosphorylated response-regulator superfamily. Mol. Microbiol. 1996, 22, 715–727. [Google Scholar] [CrossRef]
- Ochman, H.; Soncini, F.C.; Solomon, F.; Groisman, E.A. Identification of a pathogenicity island required for Salmonella survival in host cells. Proc. Natl. Acad. Sci. USA 1996, 93, 7800–7804. [Google Scholar] [CrossRef] [PubMed]
- Brown, N.F.; Rogers, L.D.; Sanderson, K.L.; Gouw, J.W.; Hartland, E.L.; Foster, L.J. A horizontally acquired transcription factor coordinates Salmonella adaptations to host microenvironments. MBio 2014, 5, e01727-14. [Google Scholar] [CrossRef]
- Perez-Morales, D.; Banda, M.M.; Chau, N.Y.E.; Salgado, H.; Martinez-Flores, I.; Ibarra, J.A.; Ilyas, B.; Coombes, B.K.; Bustamante, V.H. The transcriptional regulator SsrB is involved in a molecular switch controlling virulence lifestyles of Salmonella. PLoS Pathog. 2017, 13, e1006497. [Google Scholar] [CrossRef] [PubMed]
- Widenhorn, K.A.; Somers, J.M.; Kay, W.W. Expression of the divergent tricarboxylate transport operon (tctI) of Salmonella typhimurium. J. Bacteriol. 1988, 170, 3223–3227. [Google Scholar] [CrossRef] [PubMed]
- Baraquet, C.; Theraulaz, L.; Guiral, M.; Lafitte, D.; Mejean, V.; Jourlin-Castelli, C. TorT, a member of a new periplasmic binding protein family, triggers induction of the Tor respiratory system upon trimethylamine N-oxide electron-acceptor binding in Escherichia coli. J. Biol. Chem. 2006, 281, 38189–38199. [Google Scholar] [CrossRef] [PubMed]
- Hensel, M.; Hinsley, A.P.; Nikolaus, T.; Sawers, G.; Berks, B.C. The genetic basis of tetrathionate respiration in Salmonella typhimurium. Mol. Microbiol. 1999, 32, 275–287. [Google Scholar] [CrossRef]
- Wong, V.K.; Pickard, D.J.; Barquist, L.; Sivaraman, K.; Page, A.J.; Hart, P.J.; Arends, M.J.; Holt, K.E.; Kane, L.; Mottram, L.F.; et al. Characterization of the yehUT two-component regulatory system of Salmonella enterica Serovar Typhi and Typhimurium. PLoS ONE 2013, 8, e84567. [Google Scholar] [CrossRef]
- Kier, L.D.; Weppelman, R.M.; Ames, B.N. Regulation of nonspecific acid phosphatase in Salmonella: phoN and phoP genes. J. Bacteriol. 1979, 138, 155–161. [Google Scholar] [CrossRef]
- Miller, S.I.; Mekalanos, J.J. Constitutive expression of the phoP regulon attenuates Salmonella virulence and survival within macrophages. J. Bacteriol. 1990, 172, 2485–2490. [Google Scholar] [CrossRef]
- Pullinger, G.D.; van Diemen, P.M.; Dziva, F.; Stevens, M.P. Role of two-component sensory systems of Salmonella enterica serovar Dublin in the pathogenesis of systemic salmonellosis in cattle. Microbiology 2010, 156, 3108–3122. [Google Scholar] [CrossRef][Green Version]
- Karlinsey, J.E.; Stepien, T.A.; Mayho, M.; Singletary, L.A.; Bingham-Ramos, L.K.; Brehm, M.A.; Greiner, D.L.; Shultz, L.D.; Gallagher, L.A.; Bawn, M.; et al. Genome-wide Analysis of Salmonella enterica serovar Typhi in Humanized Mice Reveals Key Virulence Features. Cell Host Microbe 2019, 26, 426–434 e426. [Google Scholar] [CrossRef] [PubMed]
- Winter, S.E.; Thiennimitr, P.; Winter, M.G.; Butler, B.P.; Huseby, D.L.; Crawford, R.W.; Russell, J.M.; Bevins, C.L.; Adams, L.G.; Tsolis, R.M.; et al. Gut inflammation provides a respiratory electron acceptor for Salmonella. Nature 2010, 467, 426–429. [Google Scholar] [CrossRef]
- Jourlin, C.; Ansaldi, M.; Mejean, V. Transphosphorylation of the TorR response regulator requires the three phosphorylation sites of the TorS unorthodox sensor in Escherichia coli. J. Mol. Biol. 1997, 267, 770–777. [Google Scholar] [CrossRef] [PubMed]
- Mejean, V.; Iobbi-Nivol, C.; Lepelletier, M.; Giordano, G.; Chippaux, M.; Pascal, M.C. TMAO anaerobic respiration in Escherichia coli: Involvement of the tor operon. Mol. Microbiol. 1994, 11, 1169–1179. [Google Scholar] [CrossRef] [PubMed]
- Gon, S.; Giudici-Orticoni, M.T.; Mejean, V.; Iobbi-Nivol, C. Electron transfer and binding of the c-type cytochrome TorC to the trimethylamine N-oxide reductase in Escherichia coli. J. Biol. Chem. 2001, 276, 11545–11551. [Google Scholar] [CrossRef]
- McCrindle, S.L.; Kappler, U.; McEwan, A.G. Microbial dimethylsulfoxide and trimethylamine-N-oxide respiration. Adv. Microb. Physiol. 2005, 50, 147–198. [Google Scholar] [CrossRef]
- Teplitski, M.; Goodier, R.I.; Ahmer, B.M. Catabolite repression of the SirA regulatory cascade in Salmonella enterica. Int. J. Med. Microbiol. 2006, 296, 449–466. [Google Scholar] [CrossRef]
- Kossack, R.E.; Guerrant, R.L.; Densen, P.; Schadelin, J.; Mandell, G.L. Diminished neutrophil oxidative metabolism after phagocytosis of virulent Salmonella typhi. Infect. Immun. 1981, 31, 674–678. [Google Scholar] [CrossRef]
- Perkins, T.T.; Kingsley, R.A.; Fookes, M.C.; Gardner, P.P.; James, K.D.; Yu, L.; Assefa, S.A.; He, M.; Croucher, N.J.; Pickard, D.J.; et al. A strand-specific RNA-Seq analysis of the transcriptome of the typhoid bacillus Salmonella typhi. PLoS Genet. 2009, 5, e1000569. [Google Scholar] [CrossRef]






| SK | RR | Function |
|---|---|---|
| ArcB (STY3507) | ArcA (STY4947) | Global aerobic respiration control; oxidative stress [38,39]; SPI-1 activation [40]; motility [41]; defective in invasion and survival [42] |
| BaeS (STY2343) | BaeR (STY2155) | Envelope stress: (antimicrobial resistance (AMR) and metal resistance) [43,44] |
| CitA (STY0062) | CitB (STY0061) | Anaerobic citrate fermentationa [45] |
| CheA (STY2130) | CheY (STY2125) | Chemotaxis; required for virulence in mice [46], and in invasion [47] |
| CopS (STY1127) | CopR (STY1128) | Uncharacterized a |
| CpxA (STY3813) | CpxR (STY3812) | Membrane stress (AMR and metal resistance) [48,49,50,51,52]; SPI-1 repression [53,54] and SPI-2 regulation [55]; virulence [53,55,56] |
| CreC (STY4936) | CreB (STY4935) | Carbon source metabolism a [57] |
| DcuS (STY4502) | DcuR (STY4501) | C4-dicarboxylates catabolism a [57,58,59] |
| DpiB (STY0674) | DpiA (STY0675) | SOS response a [60] |
| GlnL (STY3875) | GlnG (STY3876) | Nitrogen response [61,62] |
| HydH (STY3712) | HydG (STY3211) | Zinc transport a [63] |
| KdpD (STY0744) | KdpE (STY0743) | Potassium transport [64], C. elegans colonization [65] |
| NarX (STY1286) | NarL (STY1285) | Nitrate responsive [66,67] |
| NarQ (STY2718) | NarP (STY2472) | Nitrate respiration [66] a; Involved in virulence [68] |
| EnvZ (STY4295) | OmpR (STY4294) | Envelope stress response. Osmolarity and acid resistance [69,70]; virulence [71], SPI-1 and SPI-2 control [72,73,74,75], Vi capsule activation [13,14]; adhesion and invasion [76] |
| PgtB (STY2634) | PgtA (STY2633) | Phosphoglycerate transport [77] |
| PhoR (STY0433) | PhoB (STY0432) | Inorganic phosphate assimilation [78]; SPI-1 regulation [79] |
| PhoQ (STY1270) | PhoP (STY1271) | Global virulence regulator [80]; Magnesium transport [81]; AMR [82,83,84]; invasion [85]; survival in macrophages [80] |
| PmrB (STY4490) | PmrA (STY4491) | LPS modification, AMR resistance, virulence [27,86]; SPI-2 repression [87] |
| QseC (STY3355) | QseB (STY3354) | Motility, invasion [27], macrophage survival [25], virulence [25,88,89] |
| QseE (STY2811) | QseF (STY2809) | Invasion and intramacrophage replication [25]; virulence [25] |
| RcsC (STY2496) | RcsB (STY2495) | Cell envelope stress response, Vi capsule activation [16]; virulence [90]; AMR [91]; LPS modifications; oxidative and acidic stress [92]; invasion [17] |
| RstB (STY1651) | RstA (STY1647) | Motility [93]; iron acquisition [94,95] |
| BarA (STY3096) | SirA (STY2155) | Virulence [96], SPI-1 [97], SPI-2 [97], motility [98], Vi capsule [99]; invasion [100] |
| SsrA (STY1728) | SsrB (STY1729) | SPI-2 regulator [11,101], oxidative stress [102]; SPI-1 repression [103] |
| TctE (STY2903) | TctD (STY2904) | Tricarboxylate transport [104] |
| TorS (STY3951) | TorR (STY3954) | Trimethylamine-N-oxide respiration (anaerobic) a [105] |
| TtrS (STY1735) | TtrR (STY1733) | Tetrathionate respiration [106] |
| UhpB (STY3993) | UhpA (STY3992) | Hexose phosphate transport [28], sulfur assimilation [29] |
| YehU (STY2389) | YehT (STY2388) | Poorly characterized, regulation of the carbon starvation protein (CstA) [107] |
| Epithelial Cells (INT407) | Macrophages (THP1) | ||||
|---|---|---|---|---|---|
| RR | Adhesion | Invasion | Rep | Uptake | Survial |
| ArcA | C | N | C | ||
| BaeR | N | N | |||
| CitB | N | N | N | ||
| CheY | N | C | N | ||
| CopR | N | N | |||
| CpxR | * | N | * | ||
| CreB | |||||
| DcuR | |||||
| DpiA | N | ||||
| GlnG | N | N | |||
| HydG | |||||
| KdpE | N | N | |||
| NarL | N | ||||
| NarP | N | N | N | N | |
| OmpR | * | * | N | * | |
| PgtA | N | N | N | N | |
| PhoB | |||||
| PhoP | C | C | |||
| PmrA | N | N | N | ||
| QseB | C | N | |||
| QseF | C | ||||
| RcsB | N | C | N | N | |
| RstA | N | ||||
| SirA | C | N | |||
| SsrB | |||||
| TctD | N | N | |||
| TorR | N | N | |||
| TtrR | |||||
| UhpA | N | ||||
| YehT | C | ||||
© 2020 by the authors. Licensee MDPI, Basel, Switzerland. This article is an open access article distributed under the terms and conditions of the Creative Commons Attribution (CC BY) license (http://creativecommons.org/licenses/by/4.0/).
Share and Cite
Murret-Labarthe, C.; Kerhoas, M.; Dufresne, K.; Daigle, F. New Roles for Two-Component System Response Regulators of Salmonella enterica Serovar Typhi during Host Cell Interactions. Microorganisms 2020, 8, 722. https://doi.org/10.3390/microorganisms8050722
Murret-Labarthe C, Kerhoas M, Dufresne K, Daigle F. New Roles for Two-Component System Response Regulators of Salmonella enterica Serovar Typhi during Host Cell Interactions. Microorganisms. 2020; 8(5):722. https://doi.org/10.3390/microorganisms8050722
Chicago/Turabian StyleMurret-Labarthe, Claudie, Maud Kerhoas, Karine Dufresne, and France Daigle. 2020. "New Roles for Two-Component System Response Regulators of Salmonella enterica Serovar Typhi during Host Cell Interactions" Microorganisms 8, no. 5: 722. https://doi.org/10.3390/microorganisms8050722
APA StyleMurret-Labarthe, C., Kerhoas, M., Dufresne, K., & Daigle, F. (2020). New Roles for Two-Component System Response Regulators of Salmonella enterica Serovar Typhi during Host Cell Interactions. Microorganisms, 8(5), 722. https://doi.org/10.3390/microorganisms8050722

