Elimination of Extracellular Adenosine Triphosphate for the Rapid Prediction of Quantitative Plate Counts in 24 h Time-Kill Studies against Carbapenem-Resistant Gram-Negative Bacteria
Abstract
1. Introduction
2. Materials and Methods
2.1. Bacterial Isolates
2.2. Minimum Inhibitory Concentrations (MICs) and Mechanisms of Resistance
2.3. Antimicrobial Agents and Reagents
2.4. Experimental Conditions for Removal of EC-ATP
- (a)
- Viable plating. Viable bacterial counts were quantified by depositing serial ten-fold dilutions of the broth sample onto Mueller–Hinton agar (MHA) plates (Thermo Scientific, Waltham, MA, USA), incubated at 35 °C for 18–24 h, and enumerated visually.
- (b)
- Measurement of ATP (total). Bacterial ATP contents of the samples were quantified by the addition of 100 μL BacTiter-Glo™ assay reagent and bioluminescence intensities were recorded using the GloMax Integrated Luminescence System (Promega, Madison, WI, USA) with a 1 s integration time. Measurements were obtained in triplicate.
- (c)
- Measurement of EC-ATP. To measure EC-ATP, the samples were filtered using an Acrodisc™ 25 mm syringe filter with a 0.2 μm Supor™ membrane (Pall Corporation, Port Washington, NY, USA) and the ATP content of the filtrate was measured using the GloMax Integrated Luminescence System. As intact bacterial cells were held within the filter membrane, the ATP bioluminescence measured in the filtrate reflected the EC-ATP content in each sample.
2.5. Relationship between ATP Bioluminescence and Viable Bacterial Counts
2.6. Time–Kill Studies
2.7. Data Analysis
3. Results
3.1. Characteristics of the CR-GNB Isolates
3.2. Experimental Conditions for Removal of EC-ATP
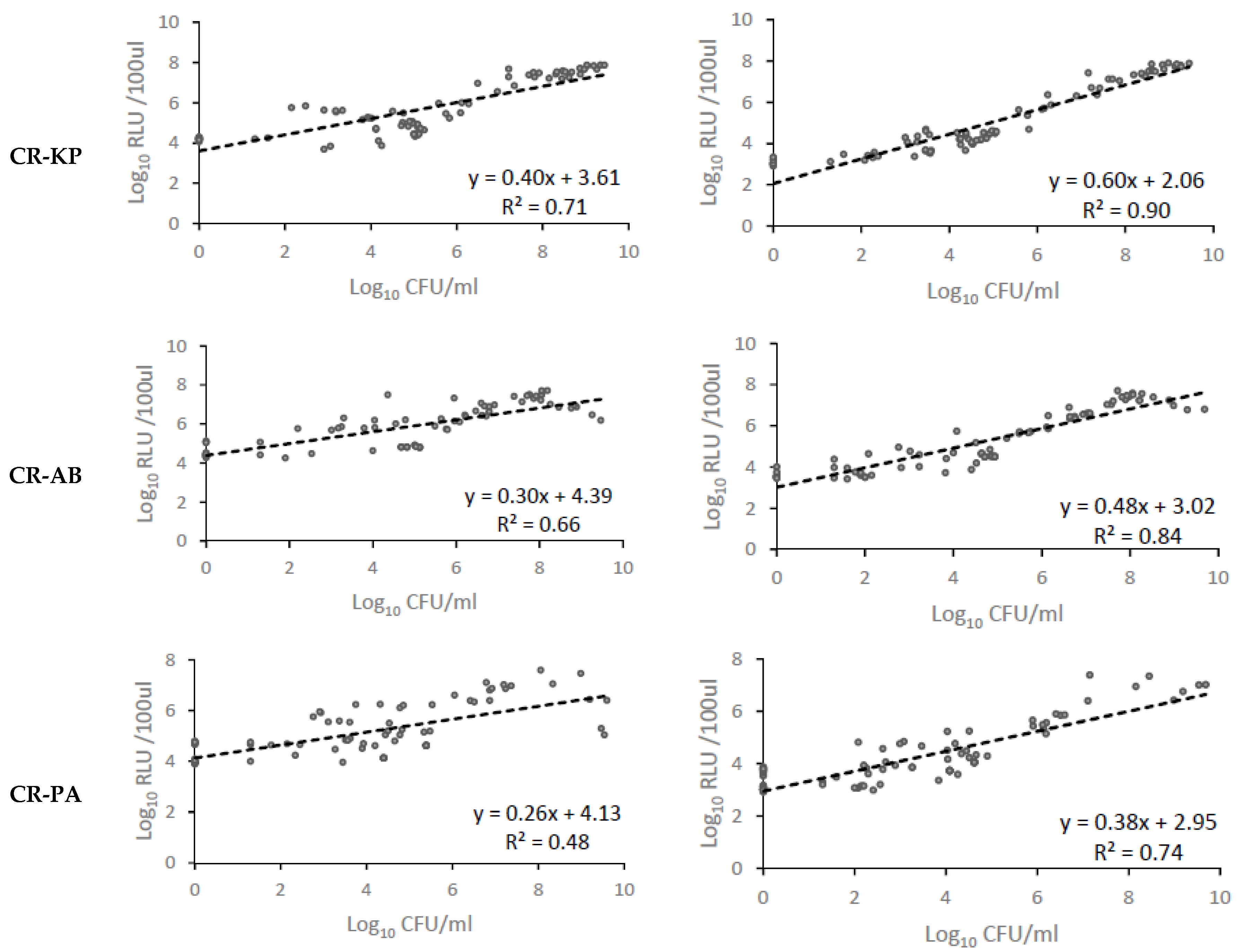
3.3. Relationship between ATP Bioluminescence and Viable Bacterial Counts
3.4. Time-Kill Studies (TKSs)
3.4.1. Viable Counts
3.4.2. Prediction of Inhibitory/Non-Inhibitory and Bactericidal/Non-Bactericidal Activity Using ATP Bioluminescence
3.4.3. Correlation between ATP Bioluminescence and Viable Counts
4. Discussion
5. Conclusions
Supplementary Materials
Author Contributions
Funding
Acknowledgments
Conflicts of Interest
References
- WHO. Global Priority List of Antibiotic-Resistant Bacteria to Guide Research, Discovery and Development of New Antibiotics; WHO: Geneva, Switzerland, 2017; Available online: http://www.who.int/medicines/publications/WHO-PPL-Short_Summary_25Feb-ET_NM_WHO.pdf (accessed on 15 May 2020).
- Teo, J.Q.; Cai, Y.; Lim, T.-P.; Tan, T.T.; Kwa, A.L. Carbapenem Resistance in Gram-Negative Bacteria: The Not-So-Little Problem in the Little Red Dot. Microorganisms 2016, 4, 13. [Google Scholar] [CrossRef]
- Cai, Y.; Chua, N.G.; Lim, T.-P.; Teo, J.Q.-M.; Lee, W.; Kurup, A.; Koh, T.-H.; Tan, T.-T.; Kwa, A.L. From Bench-Top to Bedside: A Prospective In Vitro Antibiotic Combination Testing (iACT) Service to Guide the Selection of Rationally Optimized Antimicrobial Combinations against Extensively Drug Resistant (XDR) Gram Negative Bacteria (GNB). PLoS ONE 2016, 11, e0158740. [Google Scholar] [CrossRef]
- Doern, C. When Does 2 Plus 2 Equal 5? A Review of Antimicrobial Synergy Testing. J. Clin. Microbiol. 2014, 52, 4124–4128. [Google Scholar] [CrossRef]
- Chappelle, E.; Levin, G. Use of the firefly bioluminescent reaction for rapid detection and counting of bacteria. Biochem. Med. 1968, 2, 41–52. [Google Scholar] [CrossRef]
- Amodio, E.; Dino, C. Use of ATP bioluminescence for assessing the cleanliness of hospital surfaces: A review of the published literature (1990–2012). J. Infect. Public Health 2014, 7, 92–98. [Google Scholar] [CrossRef] [PubMed]
- Shama, G.; Malik, D.J. The uses and abuses of rapid bioluminescence-based ATP assays. Int. J. Hyg. Environ. Health 2013, 216, 115–125. [Google Scholar] [CrossRef]
- Yan, S.-L.; Miao, S.-N.; Deng, S.-Y.; Zou, M.-J.; Zhong, F.-S.; Huang, W.-B.; Pan, S.-Y.; Wang, Q.-Z. ATP bioluminescence rapid detection of total viable count in soy sauce. Luminescence 2011, 27, 34–38. [Google Scholar] [CrossRef] [PubMed]
- Cai, Y.; Leck, H.; Lim, T.P.; Teo, J.; Lee, W.; Hsu, L.Y.; Koh, T.H.; Tan, T.T.; Tan, T.-Y.; Kwa, A.L. Using an Adenosine Triphosphate Bioluminescent Assay to Determine Effective Antibiotic Combinations against Carbapenem-Resistant Gram Negative Bacteria within 24 Hours. PLoS ONE 2015, 10, e0140446. [Google Scholar] [CrossRef]
- Lafond, M.; Vidal, N.; Letourneux, Y.; Brunel, J.M. A comparison of three rapid and accurate bioluminescent antibiotic susceptibility tests. J. Pharmacol. Toxicol. Methods 2010, 61, 16–19. [Google Scholar] [CrossRef]
- Cai, Y.; Seah, C.L.; Leck, H.; Lim, T.-P.; Teo, J.Q.; Lee, W.; Tan, T.T.; Koh, T.-H.; Ee, P.L.R.; Kwa, A.L.; et al. Rapid Antibiotic Combination Testing for Carbapenem-Resistant Gram-Negative Bacteria within Six Hours Using ATP Bioluminescence. Antimicrob. Agents Chemother. 2018, 62, e00183-18. [Google Scholar] [CrossRef]
- Kapoor, R.; Yadav, J. Development of a Rapid ATP Bioluminescence Assay for Biocidal Susceptibility Testing of Rapidly Growing Mycobacteria. J. Clin. Microbiol. 2010, 48, 3725–3728. [Google Scholar] [CrossRef] [PubMed]
- Ivančić, V.; Mastali, M.; Percy, N.; Gornbein, J.; Babbitt, J.T.; Li, Y.; Landaw, E.M.; Bruckner, D.A.; Churchill, B.M.; Haake, D.A. Rapid Antimicrobial Susceptibility Determination of Uropathogens in Clinical Urine Specimens by Use of ATP Bioluminescence. J. Clin. Microbiol. 2008, 46, 1213–1219. [Google Scholar] [CrossRef] [PubMed]
- Boswell, F.J.; Sunderland, J.; Andrews, J.M.; Wise, R. Time-kill kinetics of quinupristin/dalfopristin on Staphylococcus aureus with and without a raised MBC evaluated by two methods. J. Antimicrob. Chemother. 1997, 39 (Suppl. A), 29–32. [Google Scholar] [CrossRef] [PubMed]
- Mempin, R.; Tran, H.; Chen, C.; Gong, H.; Ho, K.K.; Lu, S. Release of extracellular ATP by bacteria during growth. BMC Microbiol. 2013, 13, 301. [Google Scholar] [CrossRef]
- Sakakibara, T.; Murakami, S.; Hattori, N.; Nakajima, M.-O.; Imai, K. Enzymatic treatment to eliminate the extracellular ATP for improving the detectability of bacterial intracellular ATP. Anal. Biochem. 1997, 250, 157–161. [Google Scholar] [CrossRef]
- Clinical and Laboratory Standards Institute. Performance Standards for Antimicrobial Susceptibility Testing; CLSI: Wayne, PA, USA, 2017. [Google Scholar]
- Inouye, M.; Dashnow, H.; Raven, L.-A.; Schultz, M.B.; Pope, B.J.; Tomita, T.; Zobel, J.; Holt, K.E. SRST2: Rapid genomic surveillance for public health and hospital microbiology labs. Genome Med. 2014, 6, 90. [Google Scholar] [CrossRef]
- Lim, T.-P.; Tan, T.Y.; Lee, W.; Sasikala, S.; Tan, T.-T.; Hsu, L.Y.; Kwa, A.L. In Vitro activity of various combinations of antimicrobials against carbapenem-resistant Acinetobacter species in Singapore. J. Antibiot. 2009, 62, 675–679. [Google Scholar] [CrossRef]
- Lim, T.-P.; Lee, W.; Tan, T.Y.; Sasikala, S.; Teo, J.; Hsu, L.Y.; Tan, T.-T.; Syahidah, N.; Kwa, A.L. Effective Antibiotics in Combination against Extreme Drug-Resistant Pseudomonas aeruginosa with Decreased Susceptibility to Polymyxin B. PLoS ONE 2011, 6, e28177. [Google Scholar] [CrossRef]
- Lim, T.-P.; Tan, T.Y.; Lee, W.; Sasikala, S.; Tan, T.-T.; Hsu, L.Y.; Kwa, A.L. In-Vitro Activity of Polymyxin B, Rifampicin, Tigecycline Alone and in Combination against Carbapenem-Resistant Acinetobacter baumannii in Singapore. PLoS ONE 2011, 6, e18485. [Google Scholar] [CrossRef]
- Lim, T.-P.; Cai, Y.; Hong, Y.; Chan, E.C.Y.; Suranthran, S.; Teo, J.Q.-M.; Lee, W.H.; Tan, T.-Y.; Hsu, L.Y.; Koh, T.-H.; et al. In VitroPharmacodynamics of Various Antibiotics in Combination against Extensively Drug-Resistant Klebsiella pneumoniae. Antimicrob. Agents Chemother. 2015, 59, 2515–2524. [Google Scholar] [CrossRef]
- Cai, Y.; Lim, T.-P.; Teo, J.Q.; Sasikala, S.; Chan, E.C.Y.; Hong, Y.; Lee, W.; Tan, T.Y.; Tan, T.T.; Koh, T.H.; et al. Evaluating Polymyxin B-Based Combinations against Carbapenem-Resistant Escherichia coli in Time-Kill Studies and in a Hollow-Fiber Infection Model. Antimicrob. Agents Chemother. 2016, 61, e01509-16. [Google Scholar] [CrossRef] [PubMed]
- Tod, M.; Lortholary, O.; Seytre, D.; Semaoun, R.; Uzzan, B.; Guillevin, L.; Casassus, P.; Petitjean, O. Population Pharmacokinetic Study of Amikacin Administered Once or Twice Daily to Febrile, Severely Neutropenic Adults. Antimicrob. Agents Chemother. 1998, 42, 849–856. [Google Scholar] [CrossRef] [PubMed]
- Laplante, K.L.; Sakoulas, G. Evaluating Aztreonam and Ceftazidime Pharmacodynamics with Escherichia coli in Combination with Daptomycin, Linezolid, or Vancomycin in an In Vitro Pharmacodynamic Model. Antimicrob. Agents Chemother. 2009, 53, 4549–4555. [Google Scholar] [CrossRef] [PubMed]
- Rebuck, J.A.; Fish, D.N.; Abraham, E. Pharmacokinetics of Intravenous and Oral Levofloxacin in Critically Ill Adults in a Medical Intensive Care Unit. Pharmacotherapy 2002, 22, 1216–1225. [Google Scholar] [CrossRef] [PubMed]
- Tam, V.H.; Schilling, A.N.; Neshat, S.; Poole, K.; Melnick, D.A.; Coyle, E.A. Optimization of Meropenem Minimum Concentration/MIC Ratio to Suppress In Vitro Resistance of Pseudomonas aeruginosa. Antimicrob. Agents Chemother. 2005, 49, 4920–4927. [Google Scholar] [CrossRef] [PubMed]
- Sandri, A.M.; Landersdorfer, C.B.; Jacob, J.; Boniatti, M.M.; Dalarosa, M.G.; Falci, D.R.; Behle, T.F.; Bordinhão, R.C.; Wang, J.; Forrest, A.; et al. Population Pharmacokinetics of Intravenous Polymyxin B in Critically Ill Patients: Implications for Selection of Dosage Regimens. Clin. Infect. Dis. 2013, 57, 524–531. [Google Scholar] [CrossRef]
- Rodvold, K.A.; Gotfried, M.H.; Cwik, M.; Korth-Bradley, J.M.; Dukart, G.; Ellis-Grosse, E.J. Serum, tissue and body fluid concentrations of tigecycline after a single 100 mg dose. J. Antimicrob. Chemother. 2006, 58, 1221–1229. [Google Scholar] [CrossRef]
- Robin, X.; Turck, N.; Hainard, A.; Tiberti, N.; Lisacek, F.; Sánchez, J.C.; Mueller, M. pROC: An open-source package for R and S+ to analyze and compare ROC curves. BMC Bioinform. 2011, 12, 77. [Google Scholar] [CrossRef]
- Diedenhofen, B.; Musch, J. cocor: A Comprehensive Solution for the Statistical Comparison of Correlations. PLoS ONE 2015, 10, e0121945. [Google Scholar] [CrossRef]
- Matsui, A.; Niimi, H.; Uchiho, Y.; Kawabe, S.; Noda, H.; Kitajima, I. A Rapid ATP Bioluminescence-based Test for Detecting Levofloxacin Resistance Starting from Positive Blood Culture Bottles. Sci. Rep. 2019, 9, 13565–13569. [Google Scholar] [CrossRef]
- Dong, T.; Zhao, X. Rapid Identification and Susceptibility Testing of Uropathogenic Microbes via Immunosorbent ATP-Bioluminescence Assay on a Microfluidic Simulator for Antibiotic Therapy. Anal. Chem. 2015, 87, 2410–2418. [Google Scholar] [CrossRef] [PubMed]
- Zamaraeva, M.V.; Sabirov, R.Z.; Maeno, E.; Ando-Akatsuka, Y.; Bessonova, S.V.; Okada, Y. Cells die with increased cytosolic ATP during apoptosis: A bioluminescence study with intracellular luciferase. Cell Death Differ. 2005, 12, 1390–1397. [Google Scholar] [CrossRef] [PubMed]
- Orriss, I.; Key, M.L.; Hajjawi, M.O.R.; Arnett, T.R. Extracellular ATP Released by Osteoblasts Is A Key Local Inhibitor of Bone Mineralisation. PLoS ONE 2013, 8, e69057. [Google Scholar] [CrossRef] [PubMed]
- Karamohamed, S.; Guidotti, G. Bioluminometric Method for Real-Time Detection of ATPase Activity. Biotechniques 2001, 31, 420–425. [Google Scholar] [CrossRef] [PubMed]
- Hanberger, H.; Svensson, E.; Nilsson, M.; Nilsson, L.E.; Hörnsten, E.G.; Maller, R. Effects of imipenem on Escherichia coli studied using bioluminescence, viable counting and microscopy. J. Antimicrob. Chemother. 1993, 31, 245–260. [Google Scholar] [CrossRef] [PubMed]
- Hattori, N.; Nakajima, M.-O.; O’Hara, K.; Sawai, T. Novel Antibiotic Susceptibility Tests by the ATP-Bioluminescence Method Using Filamentous Cell Treatment. Antimicrob. Agents Chemother. 1998, 42, 1406–1411. [Google Scholar] [CrossRef]
- Wheat, P.F.; Hastings, J.G.M.; Spencer, R.C. Rapid antibiotic susceptibility tests on Enterobacteriaceae by ATP bioluminescence. J. Med. Microbiol. 1988, 25, 95–99. [Google Scholar] [CrossRef]
- Helaine, S.; Kugelberg, E. Bacterial persisters: Formation, eradication, and experimental systems. Trends Microbiol. 2014, 22, 417–424. [Google Scholar] [CrossRef] [PubMed]







| Species | E. coli | Klebsiella spp. | A. baumannii | P. aeruginosa | ||||
|---|---|---|---|---|---|---|---|---|
| Strain no. | EC195 | EC196 | KP44 | KP215 | AB10 | AB17 | PA4 | PA23 |
| Molecular mechanisms of resistance | ||||||||
| Carbapenemases | NDM-1 | OXA-48 | NDM-1 | OXA-181 | OXA-23 OXA-51 | OXA-23 OXA-51 | IMP-1 | - |
| Minimum inhibitory concentrations (MICs) | ||||||||
| Amikacin | ≥128 | ≥128 | ≥128 | ≥128 | 32 | ≥128 | 32 | ≥128 |
| Aztreonam | ≥64 | ≥64 | ≥64 | ≥64 | ≥64 | ≥64 | 16 | ≥64 |
| Cefepime | ≥64 | ≥64 | ≥64 | ≥64 | ≥64 | ≥64 | ≥64 | ≥64 |
| Levofloxacin | ≥64 | ≥64 | ≥64 | ≥64 | ≥64 | 16 | 32 | ≥64 |
| Imipenem | ≥64 | ≥64 | ≥64 | ≥64 | 32 | ≥64 | 16 | 32 |
| Meropenem | ≥64 | ≥64 | ≥64 | ≥64 | 32 | ≥64 | 16 | 16 |
| Polymyxin B | 1 | 1 | 4 | 1 | 1 | 1 | 2 | 1 |
| Tigecycline | 0.25 | 0.5 | 2 | 4 | ≥32 | 2 | 8 | 16 |
| Organism | Coefficient of Determination (r2) | p-Value | |
|---|---|---|---|
| No Apyrase | Apyrase | ||
| All CR-GNB | 0.63 | 0.82 | <0.01 |
| CR E. coli | 0.71 | 0.89 | <0.01 |
| CR Klebsiella spp. | 0.71 | 0.90 | <0.01 |
| CR A. baumannii | 0.66 | 0.84 | <0.01 |
| CR P. aeruginosa | 0.48 | 0.74 | <0.01 |
© 2020 by the authors. Licensee MDPI, Basel, Switzerland. This article is an open access article distributed under the terms and conditions of the Creative Commons Attribution (CC BY) license (http://creativecommons.org/licenses/by/4.0/).
Share and Cite
Cai, Y.; Ng, J.J.; Leck, H.; Teo, J.Q.; Goh, J.-X.; Lee, W.; Koh, T.-H.; Tan, T.-T.; Lim, T.-P.; Kwa, A.L. Elimination of Extracellular Adenosine Triphosphate for the Rapid Prediction of Quantitative Plate Counts in 24 h Time-Kill Studies against Carbapenem-Resistant Gram-Negative Bacteria. Microorganisms 2020, 8, 1489. https://doi.org/10.3390/microorganisms8101489
Cai Y, Ng JJ, Leck H, Teo JQ, Goh J-X, Lee W, Koh T-H, Tan T-T, Lim T-P, Kwa AL. Elimination of Extracellular Adenosine Triphosphate for the Rapid Prediction of Quantitative Plate Counts in 24 h Time-Kill Studies against Carbapenem-Resistant Gram-Negative Bacteria. Microorganisms. 2020; 8(10):1489. https://doi.org/10.3390/microorganisms8101489
Chicago/Turabian StyleCai, Yiying, Jonathan J. Ng, Hui Leck, Jocelyn Q. Teo, Jia-Xuan Goh, Winnie Lee, Tse-Hsien Koh, Thuan-Tong Tan, Tze-Peng Lim, and Andrea L. Kwa. 2020. "Elimination of Extracellular Adenosine Triphosphate for the Rapid Prediction of Quantitative Plate Counts in 24 h Time-Kill Studies against Carbapenem-Resistant Gram-Negative Bacteria" Microorganisms 8, no. 10: 1489. https://doi.org/10.3390/microorganisms8101489
APA StyleCai, Y., Ng, J. J., Leck, H., Teo, J. Q., Goh, J.-X., Lee, W., Koh, T.-H., Tan, T.-T., Lim, T.-P., & Kwa, A. L. (2020). Elimination of Extracellular Adenosine Triphosphate for the Rapid Prediction of Quantitative Plate Counts in 24 h Time-Kill Studies against Carbapenem-Resistant Gram-Negative Bacteria. Microorganisms, 8(10), 1489. https://doi.org/10.3390/microorganisms8101489

