Evaluation of the Efficacy of UV-C Radiation in Eliminating Clostridioides difficile from Touch Surfaces Under Laboratory Conditions
Abstract
1. Introduction
2. Materials and Methods
- The strain C. difficile was inoculated into 10 mL of BHI (brain–heart infusion) broth and then cultured under anaerobic conditions at 37 °C for 24 h. The following day, the C. difficile cultures remained under microaerophilic conditions at room temperature for 24 hours to allow spore germination, and then were diluted in BHI broth to a density of 0.5 McF (density A), which is equal to 108 CFU/mL.
- Culture A was diluted in order to obtain density B, equal to 107 CFU/mL.
- The cultures of known density (density A or density B, depending on the experiment option) were transferred onto metal, glass and plastic carriers in a volume of 50 µL. These were left to dry (which took about 1.5 h), and then the samples distributed over five test points (table top floor, desk top, refrigerator/shelf, door frame) were subjected to UV disinfection (OCTA-UV C Multisystem). Following 10 min of disinfection, samples from the tested materials were collected using flocked swabs.
- Subsequently, a serial dilution in saline was carried out, and 100 μL specimens were seeded onto blood agar plates using the spread plate method.
- The control consisted of metal, glass and plastic substrates with the appropriate strain applied, untreated with UV light.
- The initial bacterial suspension was also inoculated to determine its exact density (CFU/mL). The samples were incubated for 4 days under anaerobic conditions at 37 °C.
Statistical Analysis
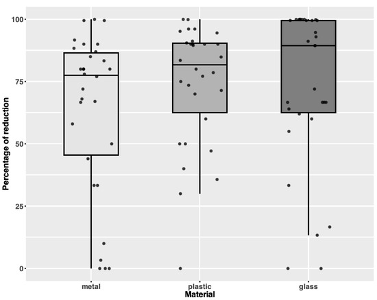
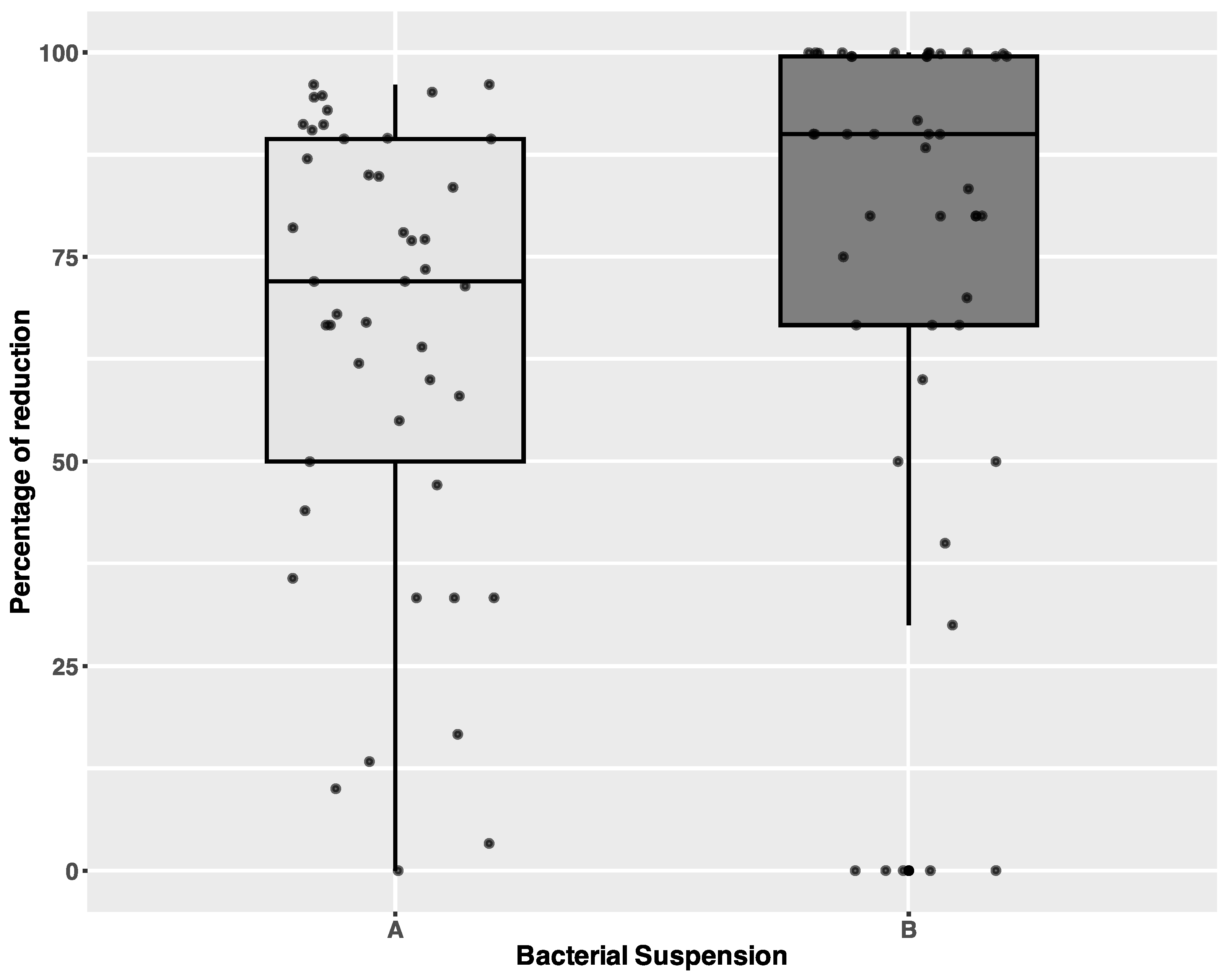
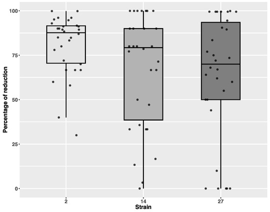
3. Results
4. Discussion
Author Contributions
Funding
Institutional Review Board Statement
Informed Consent Statement
Data Availability Statement
Conflicts of Interest
References
- Guh, A.Y.; Kutty, P.K. Clostridioides difficile Infection. Ann. Intern. Med. 2018, 169, ITC49–ITC64. [Google Scholar] [CrossRef] [PubMed] [PubMed Central]
- Liu, C.; Monaghan, T.; Yadegar, A.; Louie, T.; Kao, D. Insights into the Evolving Epidemiology of Clostridioides difficile Infection and Treatment: A Global Perspective. Antibiotics 2023, 12, 1141. [Google Scholar] [CrossRef]
- Kiersnowska, Z.; Lemiech-Mirowska, E.; Ginter-Kramarczyk, D.; Kruszelnicka, I.; Michałkiewicz, M.; Marczak, M. Problems of Clostridium difficile infection (CDI) in Polish healthcare units. Ann. Agric. Environ. Med. 2021, 28, 224–230. [Google Scholar] [CrossRef] [PubMed]
- European Centre for Disease Prevention and Control. Clostridioides (Clostridium) difficile Infections; Annual Epidemiological Report for 2016–2017; ECDC: Stockholm, Sweden, 2022; Available online: https://www.ecdc.europa.eu/en/publications-data/clostridiodes-difficile-infections-annual-epidemiological-report-2016-2017 (accessed on 14 March 2025).
- Ptaszyńska, A.; Macieja, A.; Rosińska-Lewandoska, D.; Bielec, F.; Machnicki, P.; Brauncajs, M.; Pastuszak-Lewandoska, D. Molecular Epidemiology of Clostridioides difficile Infections in Patients Hospitalized in 2017-2019 at the Central Teaching Hospital of Medical University of Lodz, Central Poland. Antibiotics 2025, 14, 219. [Google Scholar] [CrossRef]
- Gregorczyk-Maga, I.; Pałka, A.; Fiema, M.; Kania, M.; Kujawska, A.; Maga, P.; Jachowicz-Matczak, E.; Romaniszyn, D.; Chmielarczyk, A.; Żółtowska, B.; et al. Impact of tooth brushing on oral bacteriota and health care-associated infections among ventilated COVID-19 patients: An intervention study. Antimicrob. Resist. Infect. Control 2023, 12, 17. [Google Scholar] [CrossRef] [PubMed]
- Pawłowska, I.; Ziółkowski, G.; Wójkowska-Mach, J.; Bielecki, T. Can surgical site infections be controlled through microbiological surveillance? A three-year laboratory-based surveillance at an orthopaedic unit, retrospective observatory study. Int. Orthop. SICOT 2019, 43, 2009–2016. [Google Scholar] [CrossRef]
- Trejnowska, E.; Deptuła, A.; Tarczyńska-Słomian, M.; Knapik, P.; Jankowski, M.; Misiewska-Kaczur, A.; Tamowicz, B.; Śmiechowicz, J.; Antończyk, R.; Armatowicz, P.; et al. Surveillance of Antibiotic Prescribing in Intensive Care Units in Poland. Can. J. Infect. Dis. Med. Microbiol. 2018, 2018, 5670238. [Google Scholar] [CrossRef] [PubMed] [PubMed Central]
- Durlak, U.; Kapturkiewicz, C.; Różańska, A.; Gajda, M.; Krzyściak, P.; Kania, F.; Wójkowska-Mach, J. Is Antimicrobial Stewardship Policy Effectively Implemented in Polish Hospitals? Results from Antibiotic Consumption Surveillance before and during the COVID-19 Pandemic. Antibiotics 2024, 13, 636. [Google Scholar] [CrossRef]
- Garus-Pakowska, A.; Sobala, W.; Szatko, F. Observance of hand washing procedures performed by the medical personnel before patient contact. Part I. Int. J. Occup. Med. Environ. Health 2013, 26, 113–121. [Google Scholar] [CrossRef]
- Wałaszek, M.; Kołpa, M.; Wolak, Z.; Różańska, A.; Wójkowska-Mach, J. Poor Hand Hygiene Procedure Compliance among Polish Medical Students and Physicians—The Result of an Ineffective Education Basis or the Impact of Organizational Culture? Int. J. Environ. Res. Public Health 2017, 14, 1026. [Google Scholar] [CrossRef]
- Yin, R.; Dai, T.; Avci, P.; Jorge, A.E.S.; de Melo, W.C.M.A.; Vecchio, D.; Huang, Y.; Gupta, A.; Hamblin, M.R. Light based anti-infectives: Ultraviolet C irradiation, photodynamic therapy, blue light, and beyond. Curr. Opin. Pharmacol. 2013, 13, 731–762. [Google Scholar] [CrossRef] [PubMed] [PubMed Central]
- Dai, T.; Vrahas, M.S.; Murray, C.K.; Hamblin, M.R. Ultraviolet C irradiation: An alternative antimicrobial approach to localized infections? Expert Rev. Anti Infect. Ther. 2012, 10, 185–195. [Google Scholar] [CrossRef] [PubMed]
- Gayán, E.; Álvarez, I.; Condón, S. Inactivation of bacterial spores by UV-C light. Innov. Food Sci. Emerg. Technol. 2013, 19, 140–145. [Google Scholar] [CrossRef]
- Reed, N.G. The History of Ultraviolet Germicidal Irradiation for Air Disinfection. Public Health Rep. 2010, 125, 15–27. [Google Scholar] [CrossRef] [PubMed]
- Resendiz, M.; Blanchard, D.; West, G.F. A systematic review of the germicidal effectiveness of ultraviolet disinfection across high-touch surfaces in the immediate patient environment. J. Infect. Prev. 2023, 24, 166–177. [Google Scholar] [CrossRef] [PubMed] [PubMed Central]
- Stoesser, N.; Eyre, D.W.; Quan, T.; Godwin, H.; Pill, G.; Mbuvi, E.; Vaughan, A.; Griffiths, D.; Martin, J.; Fawley, W.; et al. Epidemiology of Clostridium difficile in infants in Oxfordshire, UK: Risk factors for colonization and carriage, and genetic overlap with regional C. difficile infection strains. Modernising Medical Microbiology Informatics Group (MMMIG). PLoS ONE 2017, 12, e0182307. [Google Scholar] [CrossRef]
- Różańska, A.; Walkowicz, M.; Bulanda, M.; Kasperski, T.; Synowiec, E.; Osuch, P.; Chmielarczyk, A. Evaluation of the Efficacy of UV-C Radiation in Eliminating Microorganisms of Special Epidemiological Importance from Touch Surfaces under Laboratory Conditions and in the Hospital Environment. Healthcare 2023, 11, 3096. [Google Scholar] [CrossRef]
- Różańska, A.; Chmielarczyk, A.; Romaniszyn, D.; Majka, G.; Bulanda, M. Antimicrobial effect of copper alloys on Acinetobacter species isolated from infections and hospital environment. Antimicrob. Resist. Infect. Control 2018, 7, 10. [Google Scholar] [CrossRef]
- Koutras, C.; Wade, R.L. Effectiveness of an ultraviolet-C disinfection system for inactivating Clostridioides difficile spores in critical areas of a simulated patient room. bioRxiv 2023. [Google Scholar] [CrossRef]
- Blau, K.; Gallert, C. Efficacy of UV-C 254 nm Light and a Sporicidal Surface Disinfectant in Inactivating Spores from Clostridioides difficile Ribotypes In Vitro. Pathogens 2024, 13, 965. [Google Scholar] [CrossRef]
- Liscynesky, C.; Hines, L.; Smyer, J.; Hanrahan, M.; Orellana, R.; Mangino, J. The Effect of Ultraviolet Light on Clostridium difficile Spore Recovery Versus Bleach Alone. Infect. Control Hosp. Epidemiol. 2017, 38, 1116–1117. [Google Scholar] [CrossRef]
- Richter, A.M.; Konrat, K.; Osland, A.M.; Brook, E.; Oastler, C.; Vestby, L.K.; Gosling, R.J.; Nesse, L.L.; Arvand, M. Evaluation of Biofilm Cultivation Models for Efficacy Testing of Disinfectants against Salmonella Typhimurium Biofilms. Microorganisms 2023, 11, 761. [Google Scholar] [CrossRef] [PubMed] [PubMed Central]
- Casini, B.; Tuvo, B.; Cristina, M.L.; Spagnolo, A.M.; Totaro, M.; Baggiani, A.; Privitera, G.P. Evaluation of an Ultraviolet C (UVC) Light-Emitting Device for Disinfection of High Touch Surfaces in Hospital Critical Areas. Int. J. Environ. Res. Public Health 2019, 16, 3572. [Google Scholar] [CrossRef] [PubMed]
- de la Rocha, C.; Caprara, C.d.S.C.; Poester, V.R.; Xavier, M.O.; Porte, A.F.; Galarça, M.M.; Filgueira, D.d.M.V.B.; Votto, A.P.d.S.; Ramos, D.F. Highly effective decontamination in a hospital environment: An easy-to-operate, low-cost prototype. Photochem. Photobiol. 2024, 100, 1827–1832. [Google Scholar] [CrossRef] [PubMed]
- Ploydaeng, M.; Rajatanavin, N.; Rattanakaemakorn, P. UV-C light: A powerful technique for inactivating microorganisms and the related side effects to the skin. Photodermatol. Photoimmunol. Photomed. 2021, 37, 12–19. [Google Scholar] [CrossRef] [PubMed]
- Raggi, R.; Archulet, K.; Haag, C.W.; Tang, W. Clinical, operational, and financial impact of an ultraviolet-C terminal disinfection intervention at a community hospital. Am. J. Infect. Control 2018, 46, 1224–1229. [Google Scholar] [CrossRef] [PubMed]
- Maugeri, A.; Casini, B.; Esposito, E.; Bracaloni, S.; Scarpaci, M.; Patanè, F.; Milazzo, G.; Agodi, A.; Barchitta, M. Impact of ultraviolet light disinfection on reducing hospital-associated infections: A systematic review in healthcare environments. J. Hosp. Infect. 2025, 159, 32–41. [Google Scholar] [CrossRef] [PubMed]





| Testing Points | 10 min |
|---|---|
| Testing point no. 1 | 472 mJ/cm2 |
| Testing point no. 2 | 273 mJ/cm2 |
| Testing point no. 3 | 542 mJ/cm2 |
| Testing point no. 4 | 925 mJ/cm2 |
| Testing point no. 5a | 636 mJ/cm2 |
| Testing point no. 5b | 1059 mJ/cm2 |
| Metal | Plastic | Glass | |||||||
|---|---|---|---|---|---|---|---|---|---|
| Strain 002 | |||||||||
| Location | (cfu/mL) | reduction log | % of reduction | (cfu/mL) | reduction log | % reduction | (cfu/mL) | reduction log | % reduction |
| 1 | 4.20 × 102 | 5.80 × 102 | 58.00 | 5.00 × 102 | 2.80 × 103 | 84.85 | 3.00 × 102 | 3.10 × 103 | 91.18 |
| 2 | 1.30 × 102 | 8.70 × 102 | 87.00 | 1.30 × 102 | 3.17 × 103 | 96.06 | 2.40 × 102 | 3.16 × 103 | 92.94 |
| 3 | 2.80 × 102 | 7.20 × 102 | 72.00 | 2.90 × 102 | 3.01 × 103 | 91.21 | 3.60 × 102 | 3.04 × 103 | 89.41 |
| 4 | 1.50 × 102 | 8.50 × 102 | 85.00 | 1.60 × 102 | 3.14 × 103 | 95.15 | 3.60 × 102 | 3.04 × 103 | 89.41 |
| 5 | 2.20 × 102 | 7.80 × 102 | 78.00 | 1.30 × 102 | 3.17 × 103 | 96.06 | 1.80 × 102 | 3.22 × 103 | 94.71 |
| Control | 1.00 × 103 | 3.30 × 103 | 3.40 × 103 | ||||||
| Strain 014 | |||||||||
| 1 | 4.00 × 102 | 2.00 × 102 | 33.33 | 4.50 × 102 | 2.50 × 102 | 35.71 | 3.00 × 102 | 0.00 × 100 | 0.00 |
| 2 | 2.00 × 102 | 4.00 × 102 | 66.67 | 1.50 × 102 | 5.50 × 102 | 78.57 | 1.00 × 102 | 2.00 × 102 | 66.67 |
| 3 | 4.00 × 102 | 2.00 × 102 | 33.33 | 2.00 × 102 | 5.00 × 102 | 71.43 | 2.00 × 102 | 1.00 × 102 | 33.33 |
| 4 | 3.00 × 102 | 3.00 × 102 | 50.00 | 1.60 × 102 | 5.40 × 102 | 77.14 | 2.50 × 102 | 5.00 × 101 | 16.67 |
| 5 | 5.80 × 102 | 2.00 × 101 | 3.33 | 3.70 × 102 | 3.30 × 102 | 47.14 | 2.60 × 102 | 4.00 × 101 | 13.33 |
| Control | 6.00 × 102 | 7.00 × 102 | 3.00 × 102 | ||||||
| Strain 027 | |||||||||
| 1 | 5.60 × 102 | 4.40 × 102 | 44.00 | 5.30 × 102 | 1.47 × 103 | 73.50 | 4.50 × 102 | 5.50 × 102 | 55.00 |
| 2 | 2.30 × 102 | 7.70 × 102 | 77.00 | 1.10 × 102 | 1.89 × 103 | 94.50 | 3.80 × 102 | 6.20 × 102 | 62.00 |
| 3 | 9.00 × 102 | 1.00 × 102 | 10.00 | 3.30 × 102 | 1.67 × 103 | 83.50 | 2.80 × 102 | 7.20 × 102 | 72.00 |
| 4 | 3.20 × 102 | 6.80 × 102 | 68.00 | 1.90 × 102 | 1.81 × 103 | 90.50 | 4.00 × 102 | 6.00 × 102 | 60.00 |
| 5 | 3.30 × 102 | 6.70 × 102 | 67.00 | 2.10 × 102 | 1.79 × 103 | 89.50 | 3.60 × 102 | 6.40 × 102 | 64.00 |
| Control | 1.00 × 103 | 2.00 × 103 | 1.00 × 103 | ||||||
| Metal | Plastic | Glass | |||||||
|---|---|---|---|---|---|---|---|---|---|
| Strain 002 | |||||||||
| Location | (cfu/mL) | reduction log | % of reduction | (cfu/mL) | reduction log | % reduction | (cfu/mL) | reduction log | % reduction |
| 1 | 1.20 × 103 | 1.00 × 104 | 90.00 | 1.40 × 103 | 6.00 × 102 | 30.00 | 2.00 × 102 | 1.00 × 102 | 66.70 |
| 2 | 2.40 × 103 | 9.60 × 103 | 80.00 | 1.20 × 103 | 8.00 × 102 | 40.00 | 0.00 × 100 | 6.00 × 102 | 100.00 |
| 3 | 1.00 × 103 | 1.10 × 104 | 91.70 | 2.00 × 102 | 1.80 × 103 | 90.00 | 2.00 × 102 | 4.00 × 102 | 66.70 |
| 4 | 2.00 × 103 | 1.00 × 104 | 83.30 | 8.00 × 102 | 1.20 × 103 | 60.00 | 0.00 × 100 | 6.00 × 102 | 100.00 |
| 5 | 1.40 × 103 | 1.06 × 104 | 83.30 | 6.00 × 102 | 1.40 × 103 | 70.00 | 2.00 × 102 | 4.00 × 102 | 66.70 |
| Control | 1.20 × 104 | 2.00 × 103 | 6.00 × 102 | ||||||
| Strain 014 | |||||||||
| 1 | 4.00 × 102 | 1.60 × 103 | 80.00 | 2.00 × 102 | 1.80 × 103 | 90.0 | 0.00 × 100 | 2.00 × 103 | 100.00 |
| 2 | 4.00 × 102 | 1.60 × 103 | 80.00 | 2.00 × 102 | 1.80 × 103 | 90.0 | 0.00 × 100 | 2.00 × 103 | 100.00 |
| 3 | 0.00 × 100 | 2.00 × 103 | 100.00 | 4.00 × 102 | 1.60 × 103 | 80.0 | 0.00 × 100 | 2.00 × 103 | 100.00 |
| 4 | 2.00 × 102 | 1.80 × 103 | 90.00 | 0.00 × 100 | 1.60 × 103 | 100.0 | 0.00 × 100 | 2.00 × 103 | 100.00 |
| 5 | 4.00 × 102 | 1.60 × 103 | 80.00 | 2.00 × 102 | 1.80 × 103 | 90.0 | 0.00 × 100 | 2.00 × 103 | 100.00 |
| Control | 2.00 × 103 | 2.00 × 103 | 2.00 × 103 | ||||||
| Strain 027 | |||||||||
| 1 | 2.00 × 102 | 0.00 × 100 | 0.00 | 2.00 × 102 | 6.00 × 102 | 75.00 | 0.00 × 100 | 2.00 × 102 | 100.00 |
| 2 | 0.00 × 100 | 2.00 × 102 | 100.00 | 8.00 × 102 | 0.00 × 100 | 0.00 | 0.00 × 100 | 2.00 × 102 | 100.00 |
| 3 | 2.00 × 102 | 0.00 × 100 | 0.00 | 0.00 × 100 | 8.00 × 102 | 100.00 | 0.00 × 100 | 2.00 × 102 | 100.00 |
| 4 | 0.00 × 100 | 2.00 × 102 | 100.00 | 4.00 × 102 | 4.00 × 102 | 50.00 | 0.00 × 100 | 2.00 × 102 | 100.00 |
| 5 | 2.00 × 102 | 0.00 × 100 | 0.00 | 4.00 × 102 | 4.00 × 102 | 50.00 | 2.00 × 102 | 0.00 × 100 | 0.00 |
| Control | 2.00 × 102 | 8.00 × 102 | 8.00 × 102 | ||||||
Disclaimer/Publisher’s Note: The statements, opinions and data contained in all publications are solely those of the individual author(s) and contributor(s) and not of MDPI and/or the editor(s). MDPI and/or the editor(s) disclaim responsibility for any injury to people or property resulting from any ideas, methods, instructions or products referred to in the content. |
© 2025 by the authors. Licensee MDPI, Basel, Switzerland. This article is an open access article distributed under the terms and conditions of the Creative Commons Attribution (CC BY) license (https://creativecommons.org/licenses/by/4.0/).
Share and Cite
Różańska, A.; Pioskowik, A.; Herrles, L.; Datta, T.; Krzyściak, P.; Jachowicz-Matczak, E.; Siewierski, T.; Walkowicz, M.; Chmielarczyk, A. Evaluation of the Efficacy of UV-C Radiation in Eliminating Clostridioides difficile from Touch Surfaces Under Laboratory Conditions. Microorganisms 2025, 13, 986. https://doi.org/10.3390/microorganisms13050986
Różańska A, Pioskowik A, Herrles L, Datta T, Krzyściak P, Jachowicz-Matczak E, Siewierski T, Walkowicz M, Chmielarczyk A. Evaluation of the Efficacy of UV-C Radiation in Eliminating Clostridioides difficile from Touch Surfaces Under Laboratory Conditions. Microorganisms. 2025; 13(5):986. https://doi.org/10.3390/microorganisms13050986
Chicago/Turabian StyleRóżańska, Anna, Anna Pioskowik, Laura Herrles, Tanisha Datta, Paweł Krzyściak, Estera Jachowicz-Matczak, Tomasz Siewierski, Monika Walkowicz, and Agnieszka Chmielarczyk. 2025. "Evaluation of the Efficacy of UV-C Radiation in Eliminating Clostridioides difficile from Touch Surfaces Under Laboratory Conditions" Microorganisms 13, no. 5: 986. https://doi.org/10.3390/microorganisms13050986
APA StyleRóżańska, A., Pioskowik, A., Herrles, L., Datta, T., Krzyściak, P., Jachowicz-Matczak, E., Siewierski, T., Walkowicz, M., & Chmielarczyk, A. (2025). Evaluation of the Efficacy of UV-C Radiation in Eliminating Clostridioides difficile from Touch Surfaces Under Laboratory Conditions. Microorganisms, 13(5), 986. https://doi.org/10.3390/microorganisms13050986

