An Engineered Yeast Expressing an Artificial Heavy Metal-Binding Protein Enhances the Phytoremediation of Alum Mine Soils
Abstract
1. Introduction
2. Materials and Methods
2.1. Materials
2.2. Construction of the Artificial Yeast Cells
2.3. Confocal Microscopy
2.4. SEM Observation and EDS Mapping
2.5. Plant Culturing
2.6. Biochemical Analysis of the Plants
2.7. Analysis of Soil Properties
2.8. CFU Assays
2.9. Heavy Metal Quantification
2.10. Statistical Analysis
3. Results
3.1. Construction of the Artificial Heavy Metal-Binding Yeast ScHB
3.2. The Artificial ScHB Cells Exhibit Strong Cadmium-Capturing Capacity
3.3. The Artificial ScHB Cells Promote Plant Growth in Alum Mine Soils
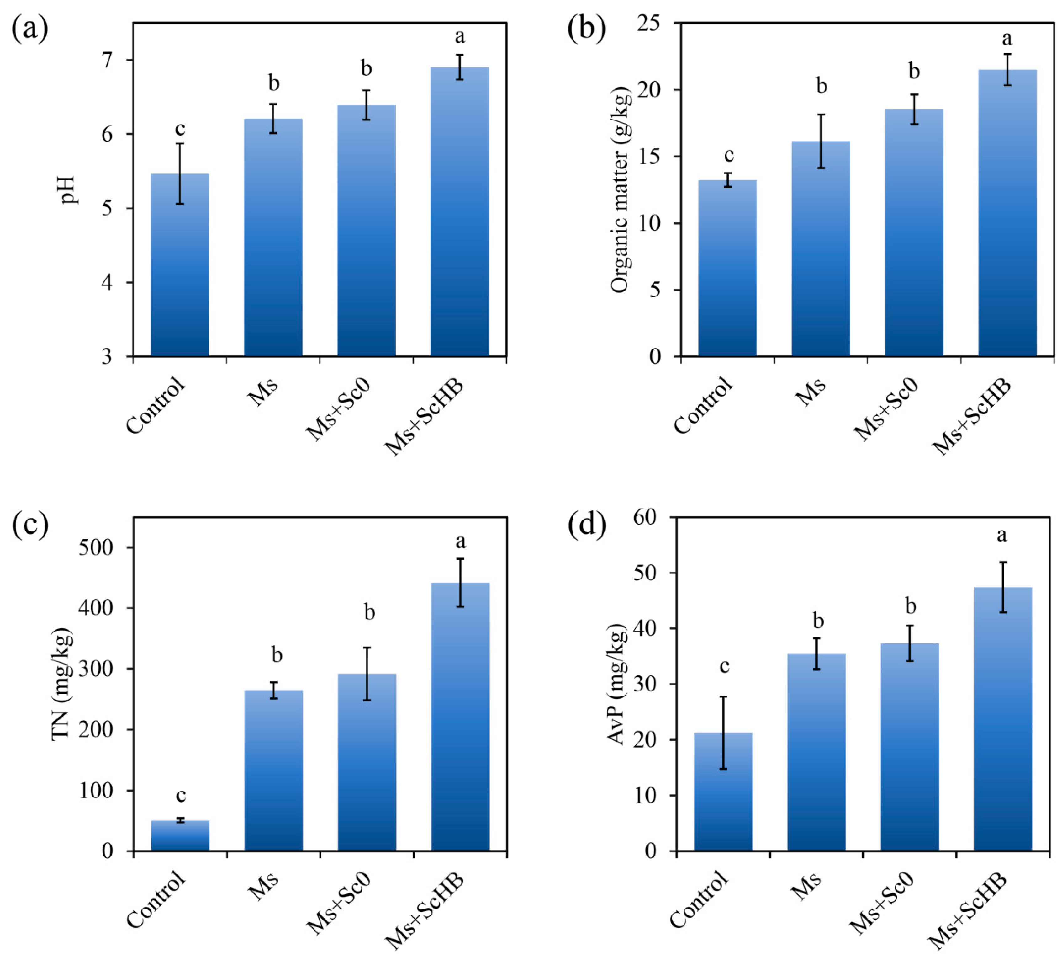
3.4. The Artificial ScHB Cells Improve the Quality of Alum Mine Soils Cultured with M. sativa
3.5. The Artificial ScHB Cells Increase Rhizosphere Bacterial Numbers in Alum Mine Soils
3.6. The Artificial ScHB Cells Promote Removal of Heavy Metal Contents by the Plants
4. Discussion
5. Conclusions
Supplementary Materials
Author Contributions
Funding
Institutional Review Board Statement
Informed Consent Statement
Data Availability Statement
Acknowledgments
Conflicts of Interest
References
- Chen, G.; Ye, Y.; Yao, N.; Hu, N.; Zhang, J.; Huang, Y. A Critical Review of Prevention, Treatment, Reuse, and Resource Recovery from Acid Mine Drainage. J. Clean. Product. 2021, 329, 129666. [Google Scholar] [CrossRef]
- Dubiński, J. Sustainable Development of Mining Mineral Resources. J. Sustain. Mining 2013, 12, 1–6. [Google Scholar] [CrossRef]
- Farjana, S.H.; Huda, N.; Mahmud, M.P.; Saidur, R. A Review on the Impact of Mining and Mineral Processing Industries through Life Cycle Assessment. J. Clean. Product. 2019, 231, 1200–1217. [Google Scholar] [CrossRef]
- Kan, X.; Dong, Y.; Feng, L.; Zhou, M.; Hou, H. Contamination and Health Risk Assessment of Heavy Metals in China’s Lead–Zinc Mine Tailings: A Meta–Analysis. Chemosphere 2021, 267, 128909. [Google Scholar] [CrossRef] [PubMed]
- Saria, L.; Shimaoka, T.; Miyawaki, K. Leaching of heavy metals in acid mine drainage. Waste Manag. Res. 2006, 24, 134–140. [Google Scholar] [CrossRef] [PubMed]
- Zhu, H.; Xu, J.; Zhou, B.; Ren, J.; Yang, Q.; Wang, Z.; Nie, W. Leaching Characteristics of Potentially Toxic Metals from Tailings at Lujiang Alum Mine, China. Int. J. Environ. Res. Public Health 2022, 19, 17063. [Google Scholar] [CrossRef]
- Wesdock, J.C.; Arnold, I.M. Occupational and Environmental Health in the Aluminum Industry: Key Points for Health Practitioners. J. Occup. Environ. Med. 2014, 56, S5–S11. [Google Scholar] [CrossRef]
- Pandey, B.; Agrawal, M.; Singh, S. Coal Mining Activities Change Plant Community Structure due to Air Pollution and Soil Degradation. Ecotoxicology 2014, 23, 1474–1483. [Google Scholar] [CrossRef]
- El Azhari, A.; Rhoujjati, A.; El Hachimi, M.L.; Ambrosi, J.P. Pollution and Ecological Risk Assessment of Heavy Metals in the Soil-Plant System and the Sediment-Water Column around a Former Pb/Zn-Mining Area in NE Morocco. Ecotoxicol. Environ. Saf. 2017, 144, 464–474. [Google Scholar] [CrossRef]
- Wantzen, K.M.; Mol, J.H. Soil Erosion from Agriculture and Mining: A Threat to Tropical Stream Ecosystems. Agriculture 2013, 3, 660–683. [Google Scholar] [CrossRef]
- Wang, L.; Ji, B.; Hu, Y.; Liu, R.; Sun, W. A Review on in Situ Phytoremediation of Mine Tailings. Chemosphere 2017, 184, 594–600. [Google Scholar] [CrossRef]
- Thomas, G.; Sheridan, C.; Holm, P.E. A critical Review of Phytoremediation for Acid Mine Drainage-Impacted Environments. Sci. Total Environ. 2022, 811, 152230. [Google Scholar] [CrossRef]
- Midhat, L.; Ouazzani, N.; Hejjaj, A.; Ouhammou, A.; Mandi, L. Accumulation of Heavy Metals in Metallophytes from Three Mining Sites (Southern Centre Morocco) and Evaluation of Their Phytoremediation Potential. Ecotox. Environ. Saf. 2019, 169, 150–160. [Google Scholar] [CrossRef]
- Mang, K.C.; Ntushelo, K. Phytoextraction and Phytostabilisation Approaches of Heavy Metal Remediation in Acid Mine Drainage with Case Studies: A Review. Appl. Ecol. Environ. Res. 2019, 17, 6129. [Google Scholar] [CrossRef]
- Padmapriya, S.; Murugan, N.; Ragavendran, C.; Thangabalu, R.; Natarajan, D. Phytoremediation Potential of Some Agricultural Plants on Heavy Metal Contaminated Mine Waste Soils, Salem District, Tamilnadu. Int. J. Phytoremediat. 2016, 18, 288–294. [Google Scholar] [CrossRef] [PubMed]
- Liu, S.; He, F.; Kuzyakov, Y.; Xiao, H.; Hoang, D.T.T.; Pu, S.; Razavi, B.S. Nutrients in the rhizosphere: A Meta-Analysis of Content, Availability, and Influencing Factors. Sci. Total Environ. 2022, 826, 153908. [Google Scholar] [CrossRef]
- Li, X.; Wang, X.; Chen, Y.; Yang, X.; Cui, Z. Optimization of Combined Phytoremediation for Heavy Metal Contaminated Mine Tailings by A Field-Scale Orthogonal Experiment. Ecotox. Environ. Saf. 2019, 168, 1–8. [Google Scholar] [CrossRef]
- Zhang, X.; Zeng, B.; Li, H.; Huang, J.; Jiang, L.; Zhang, X.; Tan, Z.; Wu, Z.; Qin, X.; Feng, C.; et al. Soil Heavy Metals and Phytoremediation by Populus Deltoides Alter the Structure and Function of Bacterial Community in Mine Ecosystems. Appl. Soil Ecol. 2022, 172, 104359. [Google Scholar] [CrossRef]
- Zhang, Y.; Zhao, S.; Liu, S.; Peng, J.; Zhang, H.; Zhao, Q.; Zheng, L.; Chen, Y.; Shen, Z.; Xu, X.; et al. Enhancing the Phytoremediation of Heavy Metals by Combining Hyperaccumulator and Heavy Metal-Resistant Plant Growth-Promoting Bacteria. Front. Plant Sci. 2022, 13, 912350. [Google Scholar] [CrossRef]
- Mendoza-Hernández, J.C.; Vázquez-Delgado, O.R.; Castillo-Morales, M.; Varela-Caselis, J.L.; Santamaría-Juárez, J.D.; Olivares-Xometl, O.; Morales, J.A.; Pérez-Osorio, G. Phytoremediation of Mine Tailings by Brassica Juncea Inoculated with Plant Growth-Promoting Bacteria. Microbiol. Res. 2019, 228, 126308. [Google Scholar] [CrossRef]
- Chen, L.; Beiyuan, J.; Hu, W.; Zhang, Z.; Duan, C.; Cui, Q.; Zhu, X.; He, H.; Huang, X.; Fang, L. Phytoremediation of Potentially Toxic Elements (PTEs) Contaminated Soils Using Alfalfa (Medicago sativa L.): A Comprehensive Review. Chemosphere 2022, 293, 133577. [Google Scholar] [CrossRef]
- He, D.; Guo, T.; Peng, C.; Li, J.; Wang, F. Foliar Application of Lanthanum Promotes Growth and Phytoremediation Potential Solanum Nigrum L. J. Environ. Manag. 2023, 334, 117259. [Google Scholar] [CrossRef]
- Aloud, S.S.; Alotaibi, K.D.; Almutairi, K.F.; Albarakah, F.N. Phytoremediation Potential of Native Plants Growing in Industrially Polluted Soils of Al-Qassim, Saudi Arabia. Sustainability 2023, 15, 2668. [Google Scholar] [CrossRef]
- Liu, L.; Bilal, M.; Duan, X.; Iqbal, H.M. Mitigation of environmental pollution by genetically engineered bacteria—Current challenges and future perspectives. Sci. Total Environ. 2019, 667, 444–454. [Google Scholar] [CrossRef] [PubMed]
- Hug, J.J.; Krug, D.; Müller, R. Bacteria as Genetically Programmable Producers of Bioactive Natural Products. Nat. Rev. Chem. 2020, 4, 172–193. [Google Scholar] [CrossRef] [PubMed]
- Pant, G.; Garlapati, D.; Agrawal, U.; Prasuna, R.G.; Mathimani, T.; Pugazhendhi, A. Biological Approaches Practised Using Genetically Engineered Microbes for A Sustainable Environment: A Review. J Hazard. Mater. 2021, 405, 124631. [Google Scholar] [CrossRef]
- Wu, C.; Li, F.; Yi, S.; Ge, F. Genetically engineered microbial remediation of soils co-contaminated by heavy metals and polycyclic aromatic hydrocarbons: Advances and ecological risk assessment. J. Environ. Manag. 2021, 296, 113185. [Google Scholar] [CrossRef] [PubMed]
- Uçkun, A.A.; Uçkun, M.; Akkurt, Ş. Efficiency of Escherichia coli Jm109 and Genetical Engineering Strains (E. coli MT2, E. coli MT3) in Cadmium Removal from Aqueous Solutions. Environ. Technol. Innov. 2021, 24, 102024. [Google Scholar] [CrossRef]
- Nevoigt, E.; Kohnke, J.; Fischer, C.R.; Alper, H.; Stahl, U.; Stephanopoulos, G. Engineering of Promoter Replacement Cassettes for Fine-Tuning of Gene Expression in Saccharomyces cerevisiae. Appl. Environ. Microbiol. 2006, 72, 5266–5273. [Google Scholar] [CrossRef]
- Mori, A.; Hara, S.; Sugahara, T.; Kojima, T.; Iwasaki, Y.; Kawarasaki, Y.; Nakano, H. Signal Peptide Optimization Tool for the Secretion of Recombinant Protein from Saccharomyces cerevisiae. J. Biosci. Bioeng. 2015, 120, 518–525. [Google Scholar] [CrossRef]
- Zhu, N.; Zhang, B.; Yu, Q. Genetic Engineering-Facilitated Coassembly of Synthetic Bacterial Cells and Magnetic Nanoparticles for Efficient Heavy Metal Removal. ACS Appl. Mater. Interfaces 2020, 12, 22948–22957. [Google Scholar] [CrossRef] [PubMed]
- Hamada, K.; Fukuchi, S.; Arisawa, M.; Baba, M.; Kitada, K. Screening for Glycosylphosphatidylinositol (GPI)-Dependent Cell Wall Proteins in Saccharomyces cerevisiae. Mol. Gen. Genet. 1998, 258, 53–59. [Google Scholar] [CrossRef] [PubMed]
- Tian, L.; Wang, D.; Liu, Y.; Wei, M.; Han, X.; Sun, X.; Yin, L.; Luo, G. Construction of Genetically Engineered Escherichia coli Cell Factory for Enhanced Cadmium Bioaccumulation in Wastewater. Water 2024, 16, 1759. [Google Scholar] [CrossRef]
- Aza, P.; Molpeceres, G.; de Salas, F.; Camarero, S. Design of An Improved Universal Signal Peptide Based on the A-Factor Mating Secretion Signal for Enzyme Production in Yeast. Cell. Mol. Life Sci. 2021, 78, 3691–3707. [Google Scholar] [CrossRef]
- Pittet, M.; Conzelmann, A. Biosynthesis and function of GPI proteins in the yeast Saccharomyces cerevisiae. BBA-Mol. Cell Biol. Lipids 2007, 1771, 405–420. [Google Scholar] [CrossRef]
- Paradiso, A.; Berardino, R.; de Pinto, M.C.; Sanità di Toppi, L.; Storelli, M.M.; Tommasi, F.; De Gara, L. Increase in ascorbate–glutathione metabolism as local and precocious systemic responses induced by cadmium in durum wheat plants. Plant Cell Physiol. 2008, 49, 362–374. [Google Scholar] [CrossRef]
- Garrido-Sanz, D.; Čaušević, S.; Vacheron, J.; Heiman, C.M.; Sentchilo, V.; van der Meer, J.R.; Keel, C. Changes in Structure and Assembly of a Species-Rich Soil Natural Community with Contrasting Nutrient Availability upon Establishment of a Plant-Beneficial Pseudomonas in the Wheat Rhizosphere. Microbiome 2023, 11, 214. [Google Scholar] [CrossRef]
- Ge, J.; Li, D.; Ding, J.; Xiao, X.; Liang, Y. Microbial Coexistence in the Rhizosphere and the Promotion of Plant Stress Resistance: A Review. Environ. Res. 2023, 222, 115298. [Google Scholar] [CrossRef]
- Bandara, T.; Xu, J.; Potter, I.D.; Franks, A.; Chathurika, J.B.A.J.; Tang, C. Mechanisms for the Removal of Cd (II) and Cu (II) from Aqueous Solution and Mine Water by Biochars Derived from Agricultural Wastes. Chemosphere 2020, 254, 126745. [Google Scholar] [CrossRef]







Disclaimer/Publisher’s Note: The statements, opinions and data contained in all publications are solely those of the individual author(s) and contributor(s) and not of MDPI and/or the editor(s). MDPI and/or the editor(s) disclaim responsibility for any injury to people or property resulting from any ideas, methods, instructions or products referred to in the content. |
© 2025 by the authors. Licensee MDPI, Basel, Switzerland. This article is an open access article distributed under the terms and conditions of the Creative Commons Attribution (CC BY) license (https://creativecommons.org/licenses/by/4.0/).
Share and Cite
Wang, W.; Xie, L.; Zhao, L.; Yu, Q. An Engineered Yeast Expressing an Artificial Heavy Metal-Binding Protein Enhances the Phytoremediation of Alum Mine Soils. Microorganisms 2025, 13, 612. https://doi.org/10.3390/microorganisms13030612
Wang W, Xie L, Zhao L, Yu Q. An Engineered Yeast Expressing an Artificial Heavy Metal-Binding Protein Enhances the Phytoremediation of Alum Mine Soils. Microorganisms. 2025; 13(3):612. https://doi.org/10.3390/microorganisms13030612
Chicago/Turabian StyleWang, Wenming, Liling Xie, Lin Zhao, and Qilin Yu. 2025. "An Engineered Yeast Expressing an Artificial Heavy Metal-Binding Protein Enhances the Phytoremediation of Alum Mine Soils" Microorganisms 13, no. 3: 612. https://doi.org/10.3390/microorganisms13030612
APA StyleWang, W., Xie, L., Zhao, L., & Yu, Q. (2025). An Engineered Yeast Expressing an Artificial Heavy Metal-Binding Protein Enhances the Phytoremediation of Alum Mine Soils. Microorganisms, 13(3), 612. https://doi.org/10.3390/microorganisms13030612

