Host-Mediated Antimicrobial Effects and NLRP3 Inflammasome Modulation by Caulerpin and Its Derivatives in Macrophage Models of Mycobacterial Infections
Abstract
1. Introduction
2. Materials and Methods
2.1. CP Extraction and Isolation
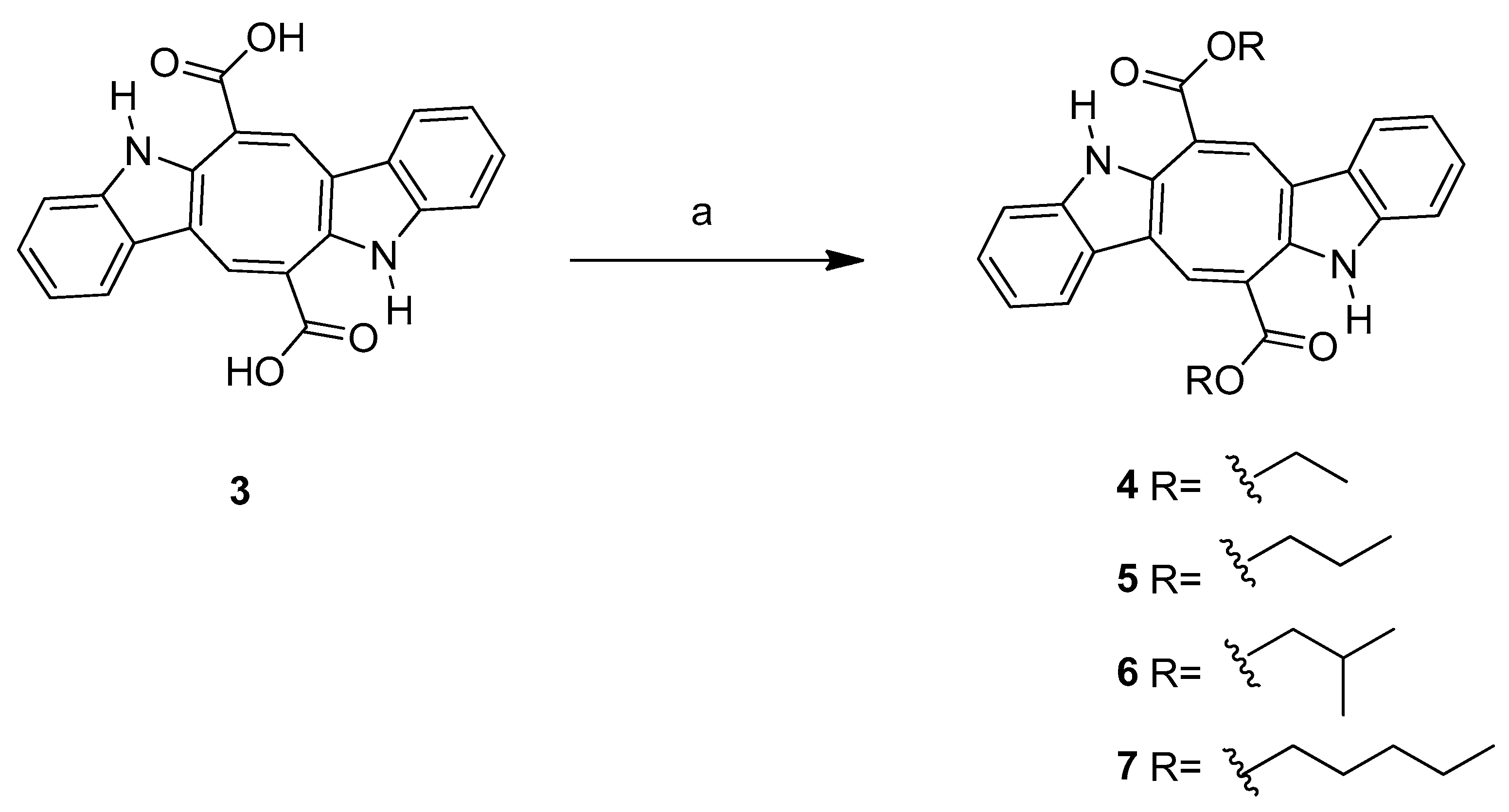
2.2. Preparation of Derivatives
2.3. General Method for Obtaining 4–7 Analogs
2.4. Bacteria and Cell Lines
2.5. Evaluation of the Direct Effects of CP and Analogues on RAW 264.7 Cell Viability
2.6. M. smegmatis Susceptibility Investigation
2.7. Evaluation of the Therapeutic Potential of CP and Analogues in M. smegmatis-Infected RAW 264.7 Cells
2.8. Evaluation of the Preventive Effects of CP and Analogues in M. smegmatis-Infected RAW 264.7 Cellss
2.9. Quantification of Cytokine Production
2.10. NLRP3 Evaluation by Flow Cytometry
2.11. M. tuberculosis Susceptibility Investigation
2.12. Evaluation of the Therapeutic Potential of CP and Analogues in M. tuberculosis-Infected RAW 264.7 Cells
2.13. Evaluation of the Preventive Effects of CP and Analogues in M. tuberculosis-Infected RAW 264.7 Cells
2.14. Molecular Docking Simulations
2.15. Molecular Docking Simulation and Visualization of Interactions
2.16. Cytotoxicity Evaluation of CP and Its Analogues on Vero E6 and HepG2 Cell Lines
2.17. Artemia Salina Toxicity Test
2.18. Statistical Analysis
2.19. Flow Cytometry Data Analysis
3. Results
3.1. Evaluation of the Direct Effects of CP and Its Analogues on RAW 264.7 Cell Viability
3.2. M. smegmatis Susceptibility Testing
3.3. Infection Experiments Using Macrophages and M. smegmatis
3.4. Immunomodulatory Activity of CP and DE During M. smegmatis Infection of RAW 265.7 Cells
3.5. M. tuberculosis Susceptibility Investigation
3.6. Infection Experiments Using Macrophages and M. tuberculosis
3.7. Molecular Docking Simulations
3.8. Molecular Interaction Maps of the CP and DE Compounds with the COX-1 Enzyme AlphaFold Model
3.9. Molecular Interaction Maps of the CP and DE Compounds with the COX-2 Enzyme (PDB: 6COX)
3.10. Cytotoxicity Evaluation of CP, DE, and CA on Vero E6 and HepG2 Cell Viabilities and on A. salina Survival
4. Discussion
5. Conclusions
Author Contributions
Funding
Institutional Review Board Statement
Informed Consent Statement
Data Availability Statement
Acknowledgments
Conflicts of Interest
References
- Howard, N.C.; Khader, S.A. Immunometabolism during Mycobacterium tuberculosis Infection. Trends Microbiol. 2020, 28, 832–850. [Google Scholar] [CrossRef] [PubMed]
- Goletti, D.; Delogu, G.; Matteelli, A.; Migliori, G.B. The role of IGRA in the diagnosis of tuberculosis infection, differ-entiating from active tuberculosis, and decision making for initiating treatment or preventive therapy of tuberculosis infection. Int. J. Infect. Dis. 2022, 124, 12–19. [Google Scholar] [CrossRef] [PubMed]
- World Health Organization. Global Tuberculosis Report; World Health Organization: Geneva, Switzerland, 2024. [Google Scholar]
- Liu, D.; Huang, F.; Zhang, G.; He, W.; Ou, X.; He, P.; Zhao, B.; Liu, F.; Li, Z.; Liu, C.; et al. Whole-genome sequencing for surveillance of tuberculosis drug resistance and deter-mination of resistance level in China. Clin. Microbiol. Infect. 2022, 28, 731e9–731e15. [Google Scholar] [CrossRef]
- Singh, V.; Chibale, K. Strategies to Combat Multi-Drug Resistance in Tuberculosis. Acc. Chem. Res. 2021, 54, 2361–2376. [Google Scholar] [CrossRef] [PubMed]
- Liebenberg, D.; Gordhan, B.G.; Kana, B.D. Drug resistant tuberculosis: Implications for transmission, diagnosis, and disease management. Front. Cell. Infect. Microbiol. 2022, 12, 943545. [Google Scholar] [CrossRef]
- Jeong, E.K.; Lee, H.J.; Jung, Y.J. Host-Directed Therapies for Tuberculosis. Pathogens 2022, 11, 1291. [Google Scholar] [CrossRef]
- Yang, J.; Zhang, L.; Qiao, W.; Luo, Y. Mycobacterium tuberculosis: Pathogenesis and therapeutic targets. MedComm 2023, 4, e353. [Google Scholar] [CrossRef]
- Raqib, R.; Sarker, P. Repurposed Drugs and Plant-Derived Natural Products as Potential Host Directed Therapeutic Candidates for Tuberculosis. Biomolecules 2024, 14, 1497. [Google Scholar] [CrossRef]
- Huang, X.; Lowrie, D.B.; Fan, X.; Hu, Z. Natural products in anti-tuberculosis host-directed therapy. Biomed. Pharmacother. 2024, 171, 116087. [Google Scholar] [CrossRef]
- Zhang, M.; Zhang, Q.; Zhang, Q.; Cui, Q.; Zhu, L. Promising Antiparasitic Natural and Synthetic Products from Marine Invertebrates and Microorganisms. Mar. Drugs 2023, 21, 84. [Google Scholar] [CrossRef]
- Rocha, D.H.A.; Pinto, D.C.G.; Silva, A.M. Macroalgae Specialized Metabolites: Evidence for Their Anti-Inflammatory Health Benefits. Mar. Drugs 2022, 20, 789. [Google Scholar] [CrossRef] [PubMed]
- Mert-Ozupek, N.; Calibasi-Kocal, G.; Olgun, N.; Basbinar, Y.; Cavas, L.; Ellidokuz, H. An Efficient and Quick Analytical Method for the Quantification of an Algal Alkaloid Caulerpin Showed In-Vitro Anticancer Activity against Colorectal Cancer. Mar. Drugs 2022, 20, 757. [Google Scholar] [CrossRef]
- El-Mageed, H.R.A.; Abdelrheem, D.A.; Ahmed, S.A.; Rahman, A.A.; Elsayed, K.N.M.; Ahmed, S.A.; El-Bassuony, A.A.; Mohamed, H.S. Combination and tricombination therapy to destabilize the structural integrity of COVID-19 by some bioactive compounds with antiviraldrugs: Insights from molecular docking study. Struct. Chem. 2021, 32, 1415–1430. [Google Scholar] [CrossRef]
- Abílio, G.M.F.; Camilo, C.J.; Coutinho, H.D.M.; Costa, J.G.M.d.; Pena, L.J.; Silva-Júnior, A.; Nascimento, Y.M.d.; Barbosa-Filho, J.M.; Santos, B.V.d.O.; Freire, K.R.d.L. Cytotoxic and anti-HSV-1 effects of caulerpin derivatives. Molecules 2024, 29, 3859. [Google Scholar] [CrossRef] [PubMed]
- Lucena, A.M.M.; Souza, C.R.M.; Jales, J.T.; Guedes, P.M.M.; De Miranda, G.E.C.; De Moura, A.M.A.; Araújo-Júnior, J.X.; Nascimento, G.J.; Scortecci, K.C.; Santos, B.V.O.; et al. The Bisindole Alkaloid Caulerpin, from Seaweeds of the Genus Caulerpa, Attenuated Colon Damage in Murine Colitis Model. Mar. Drugs 2018, 16, 318. [Google Scholar] [CrossRef] [PubMed]
- Cuomo, P.; Medaglia, C.; Allocca, I.; Montone, A.M.I.; Guerra, F.; Cabaro, S.; Mollo, E.; Elleto, D.; Papaianni, M.; Capparelli, R. Caulerpin Mitigates Helicobacter pylori-Induced Inflammation via Formyl Peptide Receptors. Int. J. Mol. Sci. 2021, 22, 13154. [Google Scholar] [CrossRef]
- Tanaka, K.; Sawanishi, H. Asymmetric syntheses of all four isomers of 4-amino-4-carboxyproline: Novel conformationally restricted glutamic acid analogs. Tetrahedron Asymmetry 1995, 6, 1641–1656. [Google Scholar] [CrossRef]
- Sidrônio, M.G.S.; Castelo Branco, A.P.O.T.; Abbadi, B.L.; Macchi, F.; Silveira, M.D.; Lock, G.A.; Costa, T.D.; Araújo, D.M.; Cibulski, S.; Bizarro, C.V.; et al. Effects of tafenoquine against active, dormant and resistant Mycobacterium tuberculosis. Tuberculosis 2021, 128, 102089. [Google Scholar] [CrossRef]
- Rodrigues, V.S., Jr.; Pail, P.B.; Villela, A.D.; Falcão, V.C.A.; Dadda, A.S.; Abbadi, B.L.; Pesquero, J.B.; Santos, D.G.; Basso, L.A.; Campos, M.M. Effect of the bradykinin 1 receptor antagonist SSR240612 after oral administration in Mycobacterium tuberculosis-infected mice. Tuberculosis 2018, 109, 17. [Google Scholar] [CrossRef]
- Kurumbail, R.G.; Stevens, A.M.; Gierse, J.K.; McDonald, J.J.; Stegeman, R.A.; Pak, J.Y.; Gildehaus, D.; Iyashiro, J.M.; Penning, T.D.; Seibert, K.; et al. Structural basis for selective inhibition of cyclooxygenase-2 by anti-inflammatory agents. Nature 1996, 384, 644–648. [Google Scholar] [CrossRef]
- Bernstein, F.C.; Koetzle, T.F.; Williams, G.J.B.; Meyer, E.F., Jr.; Brice, M.D.; Rodgers, J.R.; Kennard, O.; Shimanouchi, T.; Tasumi, M. The Protein Data Bank: A Computer-based Archival File for Macromolecular Structures. J. Mol. Biol. 1977, 112, 535–542. [Google Scholar] [CrossRef] [PubMed]
- Megantara, S.; Iwo, M.I.; Levita, J.; Ibrahim, S. Determination of ligand position in aspartic proteases by correlating tanimoto coefficient and binding affinity with root mean square deviation. J. Appl. Pharm. Sci. 2016, 6, 125–129. [Google Scholar] [CrossRef]
- El-Din, N.S.; Barseem, A. Synthesis, bioactivity and docking study of some new indole-hydrazone derivatives. J. Appl. Pharm. Sci. 2016, 6, 75–83. [Google Scholar] [CrossRef][Green Version]
- Rouzer, C.A.; Marnett, L.J. Structural and chemical biology of the interaction of cyclooxygenase with substrates and non-steroidal anti-inflammatory drugs. Chem. Rev. 2020, 120, 7592–7641. [Google Scholar] [CrossRef]
- Jumper, J.; Evans, R.; Pritzel, A.; Green, T.; Figurnov, M.; Ronneberger, O.; Tunyasuvunakool, K.; Bates, A.; Cowie, A.; Romera-Paredes, B.; et al. Highly accurate protein structure prediction with AlphaFold. Nature 2021, 596, 583–589. [Google Scholar] [CrossRef] [PubMed]
- Dallakyan, S.; Olson, A.J. Small-molecule library screening by docking with PyRx. Chem. Biol. 2015, 1263, 243–250. [Google Scholar] [CrossRef]
- Pettersen, E.F.; Goddard, T.D.; Huang, C.C.; Couch, G.S.; Greenblatt, D.M.; Meng, E.C.; Ferrin, T.E. UCSF Chimera—A visualization system for exploratory research and analysis. J. Comput. Chem. 2004, 25, 1605–1612. [Google Scholar] [CrossRef]
- De Azevedo, J.; Walter, F. MolDock Applied to Structure-Based Virtual Screening. Curr. Drug Targets 2010, 11, 327–334. [Google Scholar] [CrossRef]
- Martinelli, L.K.B.; Rotta, M.; Villela, A.D.; Rodrigues, V.S., Jr.; Abbadi, B.L.; Trindade, R.V.; Petersen, G.O.; Danesi, G.M.; Nery, L.R.; Pauli, I.; et al. Functional, thermodynamics, structural and biological studies of in silico-identified inhibitors of Mycobacterium tuberculosis enoyl-ACP(CoA) reductase enzyme. Sci. Rep. 2017, 7, 46696. [Google Scholar] [CrossRef]
- Magalhães, D.W.A.; Sidrônio, M.G.S.; Nogueira, N.N.A.; Carvalho, D.C.M.; de Freitas, M.E.G.; Oliveira, E.C.; de Frazao Lima, G.F.; de Araújo, D.A.M.; Scavone, C.; de Souza, T.A.; et al. Evaluation of the Anti-Mycobacterial and Anti-Inflammatory Activities of the New Cardiotonic Steroid γ-Benzylidene Digoxin-15 in Macrophage Models of Infection. Microorganisms 2025, 13, 269. [Google Scholar] [CrossRef]
- Heinrichs, M.T.; May, R.J.; Heider, F.; Reimers, T.; Sy, S.K.B.; Peloquin, C.A.; Derendorf, H. Mycobacterium tuberculosis Strains H37ra and H37rv have equivalent minimum inhibitory concentrations to most antituberculosis drugs. Int. J. Mycobact. 2018, 7, 156–161. [Google Scholar] [CrossRef]
- Pavić, K.; Rajić, Z.; Michnová, H.; Jampílek, J.; Perković, I.; Zorc, B. Second generation of primaquine ureas and bis-ureas as potential anti-mycobacterial agents. Mol. Divers. 2018, 23, 657–667. [Google Scholar] [CrossRef] [PubMed]
- Sundarsingh, J.A.T.; Ranjitha, J.; Rajan, A.; Shankar, V. Features of the biochemistry of Mycobacterium smegmatis, as a possible model for Mycobacterium tuberculosis. J. Infect. Public Health 2020, 13, 1255–1264. [Google Scholar] [CrossRef]
- Ho, T.L.; Lee, J.; Ahn, S.Y.; Lee, D.; Song, W.; Kang, I.; Ko, E. Immunostimulatory effects of marine algae extracts on in vitro antigen-presenting cell activation and in vivo immune cell recruitment. Food. Sci. Nutr. 2023, 11, 6560–6570. [Google Scholar] [CrossRef] [PubMed]
- Kidgell, J.T.; Glasson, C.R.K.; Magnusson, M.; Vamvounis, G.; Sims, I.M.; Carnachan, S.M.; Hinkley, S.F.R.; Lopata, A.L.; Nys, R.; Taki, A.C. The molecular weight of ulvan affects the in vitro inflammatory response of a murine macrophage. Int. J. Biol. Macromol. 2020, 150, 839–848. [Google Scholar] [CrossRef]
- Wang, M.; Hou, Y.; Chiu, Y.; Chen, Y. Immunomodulatory activities of Gelidium amansii gel extracts on murine RAW 264.7 macrophages. J. Food Drug Anal. 2013, 21, 397–403. [Google Scholar] [CrossRef]
- Cavalcante-Silva, L.H.A.; Correia, A.C.C.; Barbosa-Filho, J.M.; Silva, B.A.; Santos, B.V.O.; Lira, D.P.; Sousa, J.C.F.; Miranda, G.E.C.; Cavalcante, F.A.; Alexandre-Moreira, M.S. Spasmolytic Effect of Caulerpine Involves Blockade of Ca2+ Influx on Guinea Pig Ileum. Mar. Drug. 2013, 11, 1553–1564. [Google Scholar] [CrossRef]
- De Souza, É.T.; Pereira de Lira, D.; Cavalcanti de Queiroz, A.; Costa da Silva, D.J.; Bezerra de Aquino, A.; Campessato Mella, E.A.; Prates Lorenzo, V.; De Miranda, G.E.C.; De Araújo-Júnior, J.X.; De Oliveira Chaves, M.C.; et al. The Antinociceptive and Anti-Inflammatory Activities of Caulerpin, a Bisindole Alkaloid Isolated from Seaweeds of the Genus Caulerpa. Mar. Drug. 2009, 7, 689–704. [Google Scholar] [CrossRef]
- Cavalcante-Silva, L.H.A.; Falcão, M.A.P.; Vieira, A.C.S.; Viana, M.D.M.; De Araújo-Júnior, J.X.; Sousa, J.C.F.; Silva, T.M.S.d.; Barbosa-Filho, J.M.; Noël, F.; De Miranda, G.E.C.; et al. Assessment of Mechanisms Involved in Antinociception Produced by the Alkaloid Caulerpine. Mar. Drug. 2014, 19, 14699–14709. [Google Scholar] [CrossRef]
- Bitencourt, M.A.O.; Dantas, G.R.; Lira, D.P.; Barbosa-Filho, J.M.; Miranda, G.E.C.; Santos, B.V.O.; Souto, J.T. Aqueous and Methanolic Extracts of Caulerpa mexicana Suppress Cell Migration and Ear Edema Induced by Inflammatory Agents. Mar. Drug. 2011, 9, 1332–1345. [Google Scholar] [CrossRef]
- Silvério, D.; Gonçalves, R.; Appelberg, R.; Saraiva, M. Advances on the Role and Applications of Interleukin-1 in Tuberculosis. mBio 2021, 12, e0313421. [Google Scholar] [CrossRef]
- Yoojam, S.; Ontawong, A.; Lailerd, N.; Mengamphan, K.; Amornlerdpison, D. The Enhancing Immune Response and Anti-Inflammatory Effects of Caulerpa lentillifera Extract in RAW 264. 7 Cells. Molecules 2021, 26, 5734. [Google Scholar] [CrossRef]
- Zeng, J.; Liu, J.; Zhao, N.; Wong, I.N.; Huang, R. Caulerpa chemnitzia polysaccharide exerts immunomodulatory activity in macrophages by mediating the succinate/PHD2/HIF-1α/IL-1β pathway. Int. J. Biol. Macromol. 2024, 277, 134450. [Google Scholar] [CrossRef] [PubMed]
- Solovic, I.; Sester, M.; Gomez-Reino, J.J.; Rieder, H.L.; Ehlers, S.; Milburn, H.J.; Kampmann, B.; Hellmich, B.; Groves, R.; Schreiber, R.S.; et al. The risk of tuberculosis related to tumour necrosis factor antagonist therapies: A TBNET consensus statement. Eur. Respir. J. 2010, 36, 1185–1206. [Google Scholar] [CrossRef] [PubMed]
- Lu, K.Y.; Cheng, L.C.; Hung, Z.C.; Chen, Z.Y.; Wang, C.W.; Hou, H.H. The Ethyl Acetate Extract of Caulerpa microphysa Promotes Collagen Homeostasis and Inhibits Inflammation in the Skin. Curr. Issues Mol. Biol. 2024, 46, 2701–2712. [Google Scholar] [CrossRef] [PubMed]
- Satoh, T.; Otsuka, A.; Contassot, E.; French, L.E. The inflammasome and IL-1β: Implications for the treatment of inflammatory diseases. Immunotherapy 2015, 7, 243–254. [Google Scholar] [CrossRef]
- Ma, J.; Zhao, S.; Gao, X.; Wang, R.; Liu, J.; Zhou, X.; Zhou, Y. The Roles of Inflammasomes in Host Defense against Mycobacterium tuberculosis. Pathogens 2021, 10, 120. [Google Scholar] [CrossRef]
- Bindu, S.; Mazumder, S.; Bandyopadhyay, U. Non-steroidal anti-inflammatory drugs (NSAIDs) and organ damage: A current perspective. Biochem. Pharmacol. 2020, 180, 114147. [Google Scholar] [CrossRef]
- Velasco-Velázquez, M.A.; Barreira, D.; González-Arenas, A.; Rosales, C.; Agramonte-Hevia, J. Macrophage—Mycobacterium tuberculosis interactions: Role of complement receptor 3. Microb. Pathog. 2003, 35, 125–131. [Google Scholar] [CrossRef]
- Taciak, B.; Białasek, M.; Braniewska, A.; Sas, Z.; Sawicka, P.; Kiraga, Ł.; Rygiel, T.; Krói, M. Evaluation of phenotypic and functional stability of RAW 264.7 cell line through serial passages. PLoS ONE 2018, 13, e0198943. [Google Scholar] [CrossRef]
- Guengerich, F.P. Mechanisms of Drug Toxicity and Relevance to Pharmaceutical Development. Drug Metab. Pharmacokinet. 2011, 26, 3–14. [Google Scholar] [CrossRef]
- Macedo, N.R.P.V.; Ribeiro, M.S.; Villaça, R.C.; Ferreira, W.; Pinto, A.M.; Teixeira, V.L.; Cirne-Santos, C.; Paixão, I.C.N.P.; Giongo, V. Caulerpin as a potential antiviral herpes simplex virus type 1. Braz. J. Pharmaco. 2012, 22, 861–867. [Google Scholar] [CrossRef]
- Esteves, P.O.; Oliveira, M.C.; Barros, C.S.; Cirne-Santos, C.; Laneuvlille, V.T.; Paixão, I.C.P. Antiviral Effect of Caulerpin Against Chikungunya. Nat. Prod. Commun. 2019, 14, 1934578X19878295. [Google Scholar] [CrossRef]
- Tabernilla, A.; dos Santos Rodrigues, B.; Pieters, A.; Caufriez, A.; Leroy, K.; Van Campenhout, R.; Cooreman, A.; Gomes, A.R.; Arnesdotter, E.; Gijbels, E.; et al. In Vitro Liver Toxicity Testing of Chemicals: A Pragmatic Approach. Int. J. Mol. Sci. 2021, 22, 5038. [Google Scholar] [CrossRef] [PubMed]
- Amorim, C.F.; Galina, L.; Carvalho, N.B.; Sperotto, N.D.M.; Pissinate, K.; Machado, P.; Campos, M.M.; Basso, L.; Rodrigues, V.S., Jr.; Carvalho, E.M.; et al. Inhibitory activity of pentacyano(isoniazid) ferrate (II), IQG-607, against promastigotes and amastigotes forms of Leishmania braziliensis. PLoS ONE 2017, 12, e0190294. [Google Scholar] [CrossRef]
- Macchi, F.S.; Pissinate, K.; Villela, A.D.; Abbadi, B.L.; Rodrigues, V.S., Jr.; Nabinger, D.D.; Altenhofen, S.; Sperotto, N.; Dadda, A.S.; Subtil, F.T.; et al. 1H-Benzo[d]imidazoles and 3,4-dihydroquinazolin-4-ones: Design, synthesis and antitubercular activity. Eur. J. Med. Chem. 2018, 155, 153–164. [Google Scholar] [CrossRef]
- Abdelrheem, D.A.; El-Mageed, H.R.A.; Mohamed, H.S.; Rahman, A.A.; Elsayed, K.N.K.; Ahmed, S.A. Bis-indole alkaloid caulerpin from a new source Sargassum platycarpum: Isolation, characterization, in vitro anticancer activity, binding with nucleobases by DFT calculations and MD simulation. J. Biomol. Struct. Dyn. 2021, 39, 5137–5147. [Google Scholar] [CrossRef]
- Rajabi, S.; Ramazani, A.; Hamidi, M.; Naji, T. Artemia salina as a model organism in toxicity assessment of nanoparticles. DARU J. Pharm. Sci. 2015, 23, 20. [Google Scholar] [CrossRef]
- Ara, J.; Sultan, V.; Ehteshamul-Haque, S.; Qasim, R.; Ahmad, V.U. Cytotoxic activity of marine macro-algae on Artemia salina (brine shrimp). Phytother. Res. 1999, 13, 304–307. [Google Scholar] [CrossRef]
- Nofiani, R.; Hertanto, S.; Zaharah, T.A.; Gafur, S. Proximate Compositions and Biological Activities of Caulerpa lentillifera. Molekul 2018, 2, 104454807. [Google Scholar] [CrossRef]


















| Compounds | COX-1 (AlphaFold Model) | COX-2 (PDB: 6COX) |
|---|---|---|
| CP | −126.619 | −132.423 |
| DE | −138.966 | −137.589 |
| Positive Control/PDB Ligand | −91.114 | −144.343 |
Disclaimer/Publisher’s Note: The statements, opinions and data contained in all publications are solely those of the individual author(s) and contributor(s) and not of MDPI and/or the editor(s). MDPI and/or the editor(s) disclaim responsibility for any injury to people or property resulting from any ideas, methods, instructions or products referred to in the content. |
© 2025 by the authors. Licensee MDPI, Basel, Switzerland. This article is an open access article distributed under the terms and conditions of the Creative Commons Attribution (CC BY) license (https://creativecommons.org/licenses/by/4.0/).
Share and Cite
Sidrônio, M.G.S.; Freitas, M.E.G.; Magalhães, D.W.A.; Carvalho, D.C.M.; Gonçalves, V.A.B.; Oliveira, A.C.M.d.Q.; Paulino, G.C.; Borges, G.C.; Ribeiro, R.L.; Sousa, N.F.d.; et al. Host-Mediated Antimicrobial Effects and NLRP3 Inflammasome Modulation by Caulerpin and Its Derivatives in Macrophage Models of Mycobacterial Infections. Microorganisms 2025, 13, 561. https://doi.org/10.3390/microorganisms13030561
Sidrônio MGS, Freitas MEG, Magalhães DWA, Carvalho DCM, Gonçalves VAB, Oliveira ACMdQ, Paulino GC, Borges GC, Ribeiro RL, Sousa NFd, et al. Host-Mediated Antimicrobial Effects and NLRP3 Inflammasome Modulation by Caulerpin and Its Derivatives in Macrophage Models of Mycobacterial Infections. Microorganisms. 2025; 13(3):561. https://doi.org/10.3390/microorganisms13030561
Chicago/Turabian StyleSidrônio, Maria Gabriella S., Maria Eugênia G. Freitas, Daniel W. A. Magalhães, Deyse C. M. Carvalho, Vinícius A. B. Gonçalves, Ana Caroline M. de Queiroz Oliveira, Gisela C. Paulino, Gabriela C. Borges, Rafaelle L. Ribeiro, Natália Ferreira de Sousa, and et al. 2025. "Host-Mediated Antimicrobial Effects and NLRP3 Inflammasome Modulation by Caulerpin and Its Derivatives in Macrophage Models of Mycobacterial Infections" Microorganisms 13, no. 3: 561. https://doi.org/10.3390/microorganisms13030561
APA StyleSidrônio, M. G. S., Freitas, M. E. G., Magalhães, D. W. A., Carvalho, D. C. M., Gonçalves, V. A. B., Oliveira, A. C. M. d. Q., Paulino, G. C., Borges, G. C., Ribeiro, R. L., Sousa, N. F. d., Scotti, M. T., Araújo, D. A. M. d., Mendonça-Junior, F. J. B., Freire, K. R. d. L., Rodrigues-Mascarenhas, S., Santos, B. V. d. O., & Rodrigues-Junior, V. S. (2025). Host-Mediated Antimicrobial Effects and NLRP3 Inflammasome Modulation by Caulerpin and Its Derivatives in Macrophage Models of Mycobacterial Infections. Microorganisms, 13(3), 561. https://doi.org/10.3390/microorganisms13030561

