Exserohilum turcicum Alters Phyllosphere Microbiome Diversity and Functions—Implications for Plant Health Management
Abstract
1. Introduction
2. Materials and Methods
2.1. Experimental Design and Sampling
2.2. Sample Collection
2.3. DNA Extraction and Sequencing
2.4. Bioinformatic Analysis of the Metagenomes
3. Results
3.1. E. turcicum Influenced the Assembly of the Phyllosphere Microbiome
3.2. E. turcicum Altered the Stability of the Phyllosphere Microbiome Co-Occurrence Network
3.3. E. turcicum Changed the Bacterial and Fungal Genera on the Adaxial and Abaxial Surfaces of Both CKWT and EWT Maize Leaves
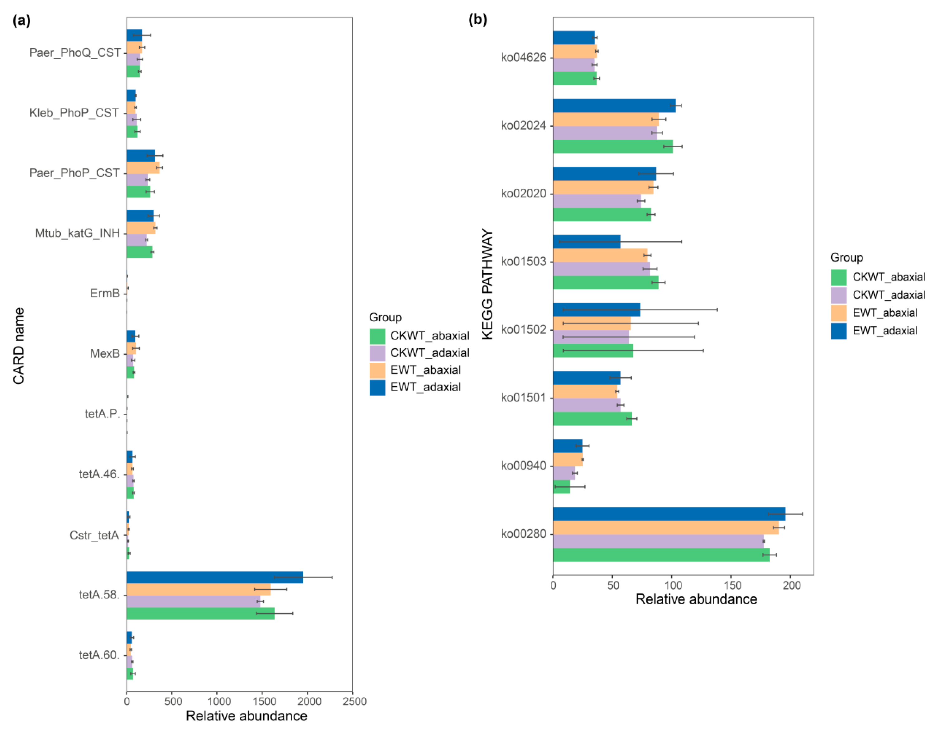
3.4. E. turcicum Showed No Difference in the Dominant Resistance Gene Categories of the Maize Phyllosphere Microbiome
3.5. E. turcicum Altered the Abundance of Functional Microbiomes in the Maize Phyllosphere
4. Discussion
5. Conclusions
Supplementary Materials
Author Contributions
Funding
Institutional Review Board Statement
Informed Consent Statement
Data Availability Statement
Conflicts of Interest
References
- Jafari, F.; Wang, B.; Wang, H.; Zou, J. Breeding maize of ideal plant architecture for high-density planting tolerance through modulating shade avoidance response and beyond. J. Integr. Plant Biol. 2024, 66, 849–864. [Google Scholar] [CrossRef] [PubMed]
- Galiano-Carneiro, A.L.; Miedaner, T. Genetics of Resistance and Pathogenicity in the Maize/Setosphaeria turcica Pathosystem and Implications for Breeding. Front. Plant Sci. 2017, 8, 1490. [Google Scholar] [CrossRef] [PubMed]
- Leonard, K.J.; Suggs, E.G. Setosphaeria prolata, the Ascigerous State of Exserohilum prolatum. Mycologia 2018, 66, 281–297. [Google Scholar] [CrossRef]
- Zang, Z.; Wang, Z.; Zhao, F.; Yang, W.; Ci, J.; Ren, X.; Jiang, L.; Yang, W. Maize Ethylene Response Factor ZmERF061 Is Required for Resistance to Exserohilum turcicum. Front. Plant Sci. 2021, 12, 630413. [Google Scholar] [CrossRef]
- Cao, Z.; Zhang, K.; Guo, X.; Turgeon, B.G.; Dong, J. A Genome Resource of Setosphaeria turcica, Causal Agent of Northern Leaf Blight of Maize. Phytopathology 2020, 110, 2014–2016. [Google Scholar] [CrossRef] [PubMed]
- Meng, Y.; Zeng, F.; Hu, J.; Li, P.; Xiao, S.; Zhou, L.; Gong, J.; Liu, Y.; Hao, Z.; Cao, Z.; et al. Novel factors contributing to fungal pathogenicity at early stages of Setosphaeria turcica infection. Mol. Plant Pathol. 2021, 23, 32–44. [Google Scholar] [CrossRef] [PubMed]
- Savary, S.; Willocquet, L.; Pethybridge, S.J.; Esker, P.; McRoberts, N.; Nelson, A. The global burden of pathogens and pests on major food crops. Nat. Ecol. Evol. 2019, 3, 430–439. [Google Scholar] [CrossRef]
- Nsibo, D.L.; Barnes, I.; Berger, D.K. Recent advances in the population biology and management of maize foliar fungal pathogens Exserohilum turcicum, Cercospora zeina and Bipolaris maydis in Africa. Front. Plant Sci. 2024, 15, 1404483. [Google Scholar] [CrossRef]
- Fang, Y.L.; Zhou, Y.Y.; Li, X.; Gao, Y.; Wang, D.L.; Liu, M.J.; Zhang, Z.J. Histological characterization of the early-stage infection events of Setosphaeria turcicain maize. Plant Pathol. 2022, 71, 251–261. [Google Scholar] [CrossRef]
- Liu, Y.; Gong, X.; Zhou, Q.; Liu, Y.; Liu, Z.; Han, J.; Dong, J.; Gu, S. Comparative proteomic analysis reveals insights into the dynamic responses of maize (Zea mays L.) to Setosphaeria turcica infection. Plant Sci. 2021, 304, 110811. [Google Scholar] [CrossRef]
- Raymundo, A.D.; Hooker, A.L. Measuring the relationship between northern corn leaf blight and yield losses. Plant Dis. 1981, 65, 325–327. [Google Scholar] [CrossRef]
- Sibiya, J.; Tongoona, P.; Derera, J. Combining ability and GGE biplot analyses for resistance to northern leaf blight in tropical and subtropical elite maize inbred lines. Euphytica 2012, 191, 245–257. [Google Scholar] [CrossRef]
- Fajemisin, J.M.; Hooker, A.L. Top weight, root weight, and root rot of corn seedlings as influenced by three Helminthosporium leaf blights. Plant Dis. Report. 1974, 58, 313–317. [Google Scholar]
- Sohrabi, R.; Paasch, B.C.; Liber, J.A.; He, S.Y. Phyllosphere Microbiome. Annu. Rev. Plant Biol. 2023, 74, 539–568. [Google Scholar] [CrossRef]
- Vorholt, J.A. Microbial life in the phyllosphere. Nat. Rev. Microbiol. 2012, 10, 828–840. [Google Scholar] [CrossRef]
- Vacher, C.; Hampe, A.; Porté, A.J.; Sauer, U.; Compant, S.; Morris, C.E. The Phyllosphere: Microbial Jungle at the Plant–Climate Interface. Annu. Rev. Ecol. Evol. Syst. 2016, 47, 1–24. [Google Scholar] [CrossRef]
- Leach, J.E.; Triplett, L.R.; Argueso, C.T.; Trivedi, P. Communication in the Phytobiome. Cell 2017, 169, 587–596. [Google Scholar] [CrossRef]
- Gong, T.; Xin, X.F. Phyllosphere microbiota: Community dynamics and its interaction with plant hosts. J. Integr. Plant Biol. 2021, 63, 297–304. [Google Scholar] [CrossRef]
- Zhu, L.; Wang, S.; Duan, H.; Lu, X. Foliar pathogen-induced assemblage of beneficial rhizosphere consortia increases plant defense against Setosphaeria turcica. Front. Biosci. 2021, 26, 543–555. [Google Scholar] [CrossRef] [PubMed]
- Xueliang, T.; Dan, X.; Tingting, S.; Songyu, Z.; Ying, L.; Diandong, W. Plant resistance and leaf chemical characteristic jointly shape phyllosphere bacterial community. World J. Microbiol. Biotechnol. 2020, 36, 139. [Google Scholar] [CrossRef]
- Wu, Y.; Sexton, W.K.; Zhang, Q.; Bloodgood, D.; Wu, Y.; Hooks, C.; Coker, F.; Vasquez, A.; Wei, C.I.; Xiao, S. Leaf abaxial immunity to powdery mildew in Arabidopsis is conferred by multiple defense mechanisms. J. Exp. Bot. 2024, 75, 1465–1478. [Google Scholar] [CrossRef]
- Rubiales, D.; Carver, T.L.W. Defence reactions of Hordeum chilense accessions to three Formae speciales of cereal powdery mildew fungi. Can. J. Bot. 2000, 78, 1561–1570. [Google Scholar] [CrossRef]
- Zhang, X.; Fernandes, S.B.; Kaiser, C.; Adhikari, P.; Brown, P.J.; Mideros, S.X.; Jamann, T.M. Conserved defense responses between maize and sorghum to Exserohilum turcicum. BMC Plant Biol. 2020, 20, 67. [Google Scholar] [CrossRef]
- Wu, F.; Shu, J.; Jin, W. Identification and validation of miRNAs associated with the resistance of maize (Zea mays L.) to Exserohilum turcicum. PLoS ONE 2014, 9, e87251. [Google Scholar] [CrossRef]
- Ibekwe, A.M.; Bodenhausen, N.; Horton, M.W.; Bergelson, J. Bacterial Communities Associated with the Leaves and the Roots of Arabidopsis thaliana. PLoS ONE 2013, 8, e56329. [Google Scholar] [CrossRef]
- Wu, D.; Ma, X.; Meng, Y.; Cai, R.; Zhang, X.; Liu, L.; Deng, L.; Chen, C.; Wang, F.; Xu, Q.; et al. Impact of nitrogen application and crop stage on epiphytic microbial communities on silage maize leaf surfaces. PeerJ 2023, 11, e16386. [Google Scholar] [CrossRef]
- Liao, Y.; Smyth, G.K.; Shi, W. featureCounts: An efficient general purpose program for assigning sequence reads to genomic features. Bioinformatics 2014, 30, 923–930. [Google Scholar] [CrossRef] [PubMed]
- Rahmawati, U.E.; Suryani, E.; Riski, R. System thinking approach to increase eco-friendly maize production to support food security. IPTEK J. Proc. Ser. 2021, 17–23. [Google Scholar] [CrossRef]
- Lindow, S.E.; Brandl, M.T. Microbiology of the phyllosphere. Appl. Environ. Microbiol. 2003, 69, 1875–1883. [Google Scholar] [CrossRef]
- Helfrich, E.J.N.; Vogel, C.M.; Ueoka, R.; Schäfer, M.; Ryffel, F.; Müller, D.B.; Probst, S.; Kreuzer, M.; Piel, J.; Vorholt, J.A. Bipartite interactions, antibiotic production and biosynthetic potential of the Arabidopsis leaf microbiome. Nat. Microbiol. 2018, 3, 909–919. [Google Scholar] [CrossRef] [PubMed]
- Craven, M.; Morey, L.; Abrahams, A.; Njom, H.A.; van Rensburg, B.J. Effect of northern corn leaf blight severity on Fusarium ear rot incidence of maize. S. Afr. J. Sci. 2020, 116, 67–77. [Google Scholar] [CrossRef]
- Ruiz-Perez, C.A.; Restrepo, S.; Zambrano, M.M. Microbial and functional diversity within the phyllosphere of Espeletia species in an Andean High-Mountain ecosystem. Appl. Environ. Microbiol. 2016, 82, 1807–1817. [Google Scholar] [CrossRef] [PubMed]
- Ruppel, S.; Krumbein, A.; Schreiner, M. Composition of the phyllospheric microbial populations on vegetable plants with different glucosinolate and carotenoid compositions. Microb. Ecol. 2008, 56, 364–372. [Google Scholar] [CrossRef] [PubMed]
- An, M.; Zhou, X.; Wu, F.; Ma, Y.; Yang, P. Rhizosphere soil microorganism populations and community structures of different watermelon cultivars with differing resistance to Fusarium oxysporum f. sp. niveum. Can. J. Microbiol. 2011, 57, 355–365. [Google Scholar] [CrossRef] [PubMed]
- Zhao, Y.; Fu, W.; Hu, C.; Chen, G.; Xiao, Z.; Chen, Y.; Wang, Z.; Cheng, H. Variation of rhizosphere microbial community in continuous mono-maize seed production. Sci. Rep. 2021, 11, 1544. [Google Scholar] [CrossRef] [PubMed]
- Mazzola, M. Assessment and management of soil microbial community structure for disease suppression. Annu. Rev. Phytopathol. 2004, 42, 35–59. [Google Scholar] [CrossRef] [PubMed]
- Dlamini, S.P.; Akanmu, A.O.; Fadiji, A.E.; Babalola, O.O. Maize rhizosphere modulates the microbiome diversity and community structure to enhance plant health. Saudi J. Biol. Sci. 2023, 30, 103499. [Google Scholar] [CrossRef]
- Bhattarai, A.; Bhattarai, B.; Pandey, S. Variation of soil microbial population in different soil horizons. J. Microbiol. Exp. 2015, 2, 75–78. [Google Scholar] [CrossRef]
- Fadiji, A.E.; Kanu, J.O.; Babalola, O.O. Impact of cropping systems on the functional diversity of rhizosphere microbial communities associated with maize plant: A shotgun approach. Arch. Microbiol. 2021, 203, 3605–3613. [Google Scholar] [CrossRef] [PubMed]
- Enebe, M.C.; Babalola, O.O. The impact of microbes in the orchestration of plants’ resistance to biotic stress: A disease management approach. Appl. Microbiol. Biotechnol. 2019, 103, 9–25. [Google Scholar] [CrossRef]
- Dey, S.; Wenig, M.; Langen, G.; Sharma, S.; Kugler, K.G.; Knappe, C.; Hause, B.; Bichlmeier, M.; Babaeizad, V.; Imani, J.; et al. Bacteria-triggered systemic immunity in barley is associated with WRKY and ethylene responsive factors but not with salicylic acid. Plant Physiol. 2014, 166, 2133–2151. [Google Scholar] [CrossRef] [PubMed]
- Khare, D.; Choi, H.; Huh, S.U.; Bassin, B.; Kim, J.; Martinoia, E.; Sohn, K.H.; Paek, K.-H.; Lee, Y. Arabidopsis ABCG34 contributes to defense against necrotrophic pathogens by mediating the secretion of camalexin. Proc. Natl. Acad. Sci. USA 2017, 114, E5712–E5720. [Google Scholar] [CrossRef]
- Ashwin, N.M.R.; Barnabas, L.; Ramesh Sundar, A.; Malathi, P.; Viswanathan, R.; Masi, A.; Agrawal, G.K.; Rakwal, R. CfPDIP1, a novel secreted protein of Colletotrichum falcatum, elicits defense responses in sugarcane and triggers hypersensitive response in tobacco. Appl. Microbiol. Biotechnol. 2018, 2, 6001–6021. [Google Scholar] [CrossRef]
- Haidar, R.; Roudet, J.; Bonnard, O.; Dufour, M.C.; Corio-Costet, M.F.; Fert, M.; Gautier, T.; Deschamps, A.; Fermaud, M. Screening and modes of action of antagonistic bacteria to control the fungal pathogen Phaeomoniella chlamydospora involved in grapevine trunk diseases. Microbiol. Res. 2016, 192, 172–184. [Google Scholar] [CrossRef]
- Procópio, R.E.; Silva, I.R.; Martins, M.K.; Azevedo, J.L.; Araújo, J.M. Antibiotics produced by Streptomyces. Braz. J. Infect. Dis. 2012, 16, 466–471. [Google Scholar] [CrossRef] [PubMed]
- Wagner, M.R.; Busby, P.E.; Balint-Kurti, P. Analysis of leaf microbiome composition of near-isogenic maize lines differing in broad-spectrum disease resistance. New Phytol. 2020, 225, 2152–2165. [Google Scholar] [CrossRef] [PubMed]
- Berg, M.; Koskella, B. Nutrient- and Dose-Dependent Microbiome-Mediated Protection against a Plant Pathogen. Curr. Biol. 2018, 28, 2487–2492.e3. [Google Scholar] [CrossRef]
- Santhanam, R.; Luu, V.T.; Weinhold, A.; Goldberg, J.; Oh, Y.; Baldwin, I.T. Native root-associated bacteria rescue a plant from a sudden-wilt disease that emerged during continuous cropping. Proc. Natl. Acad. Sci. USA 2015, 112, E5013–E5020. [Google Scholar] [CrossRef] [PubMed]
- Kelly, L.W.; Williams, G.J.; Barott, K.L.; Carlson, C.A.; Dinsdale, E.A.; Edwards, R.A.; Haas, A.F.; Haynes, M.; Lim, Y.W.; McDole, T.; et al. Local genomic adaptation of coral reef-associated microbiomes to gradients of natural variability and anthropogenic stressors. Proc. Natl. Acad. Sci. USA 2014, 111, 10227–10232. [Google Scholar] [CrossRef] [PubMed]
- Burke, C.; Steinberg, P.; Rusch, D.; Kjelleberg, S.; Thomas, T. Bacterial community assembly based on functional genes rather than species. Proc. Natl. Acad. Sci. USA 2011, 108, 14288–14293. [Google Scholar] [CrossRef]
- Doolittle, W.F.; Inkpen, S.A. Processes and patterns of interaction as units of selection: An introduction to ITSNTS thinking. Proc. Natl. Acad. Sci. USA 2018, 115, 4006–4014. [Google Scholar] [CrossRef]
- Wallace, J.G.; Kremling, K.A.; Buckler, E.S. Quantitative Genetic Analysis of the Maize Leaf Microbiome. bioRxiv 2018. [Google Scholar] [CrossRef]
- Hacquard, S.; Spaepen, S.; Garrido-Oter, R.; Schulze-Lefert, P. Interplay Between Innate Immunity and the Plant Microbiota. Annu. Rev. Phytopathol. 2017, 55, 565–589. [Google Scholar] [CrossRef]
- Huang, K.; Xu, Y.; Zhang, J.; Chen, C.; Gao, F.; Zhao, F.J. Arsenicibacter rosenii gen. nov., sp. nov., an efficient arsenic methylating and volatilizing bacterium isolated from an arsenic-contaminated paddy soil. Int. J. Syst. Evol. Microbiol. 2017, 67, 3186–3191. [Google Scholar] [CrossRef] [PubMed]
- Yoshida, S.; Hiraga, K.; Taniguchi, I.; Oda, K. Ideonella sakaiensis, PETase, and MHETase: From identification of microbial PET degradation to enzyme characterization. Methods Enzymol. 2021, 648, 187–205. [Google Scholar] [CrossRef] [PubMed]
- Ren, F.; Liu, N.; Gao, B.; Shen, H.; Li, S.; Li, L.; Zheng, D.; Shen, W.; Gao, N. Identification of Stutzerimonas stutzeri volatile organic compounds that enhance the colonization and promote tomato seedling growth. J. Appl. Microbiol. 2024, 135, lxae248. [Google Scholar] [CrossRef] [PubMed]





| Microbial Communities | Variables | Shannon Diversity | Chao1 Index | ||
|---|---|---|---|---|---|
| F Value | p (>F) | F Value | p (>F) | ||
| Bacterial Community | E. turcicum | 4.754 | 0.057 | 1.526 | 0.245 |
| Niche | 1.997 | 0.191 | 0.433 | 0.527 | |
| Fungal Community | E. turcicum | 5.574 | 0.043 | 8.144 | 0.019 |
| Niche | 1.681 | 0.227 | 9.144 | 0.014 | |
| Microbial Community | Factor | F Value | R Square | p Value |
|---|---|---|---|---|
| Bacterial Community | Niche | 0.3605 | 0.03479 | 0.921 |
| E. turcicum | 6.876 | 0.40744 | 0.002 ** | |
| Niche * E. turcicum | 2.3559 | 0.46906 | 0.011 * | |
| Pairwise comparison | ||||
| CKWT_adaxial vs. CKWT_abaxial | 0.501442 | 0.111396 | 0.7 | |
| CKWT_adaxial vs. EWT_adaxial | 2.124 | 0.346832 | 0.1 | |
| CKWT_abaxial vs. EWT_abaxial | 5.977186 | 0.599085 | 0.1 | |
| EWT_adaxial vs. EWT_abaxial | 0.444321 | 0.099975 | 0.7 | |
| Fungal Community | Niche | 0.4115 | 0.03952 | 0.767 |
| E. turcicum | 15.328 | 0.60518 | 0.002 ** | |
| Niche * E. turcicum | 5.8321 | 0.68623 | 0.004 ** | |
| Pairwise comparison | ||||
| CKWT_adaxial vs. CKWT_abaxial | 3.298574 | 0.451948 | 0.1 | |
| CKWT_adaxial vs. EWT_adaxial | 6.764368 | 0.628404 | 0.1 | |
| CKWT_abaxial vs. EWT_abaxial | 10.14767 | 0.717268 | 0.1 | |
| EWT_adaxial vs. EWT_abaxial | 0.290889 | 0.067792 | 0.9 | |
| Network Indicators | CKWT-Adaxial | EWT-Adaxial | CKWT-Abaxial | EWT-Abaxial |
|---|---|---|---|---|
| Number of nodes | 100 | 100 | 99 | 99 |
| Ratio of fungal/bacterial nodes | 1 | 1 | 0.98 | 0.98 |
| Number of edges | 862 | 745 | 843 | 965 |
| Number of positive correlations | 412 | 371 | 432 | 494 |
| Number of negative correlations | 450 | 374 | 411 | 471 |
| Average length | 1.493537015 | 1.566103669 | 1.491862568 | 1.510400812 |
| Graph density | 0.174141414 | 0.150505051 | 0.173778602 | 0.198928056 |
| Network diameter | 2 | 2 | 2 | 2 |
| Clustering coefficient | 0 | 0 | 0 | 0 |
| Average degree | 17.8 | 20.44 | 17.48484848 | 21.32323232 |
| Modularity | 0.595563654 | 0.516646998 | 0.615949646 | 0.412025021 |
| Neg/pos | 1.09223301 | 1.008086253 | 0.951388889 | 0.953441296 |
Disclaimer/Publisher’s Note: The statements, opinions and data contained in all publications are solely those of the individual author(s) and contributor(s) and not of MDPI and/or the editor(s). MDPI and/or the editor(s) disclaim responsibility for any injury to people or property resulting from any ideas, methods, instructions or products referred to in the content. |
© 2025 by the authors. Licensee MDPI, Basel, Switzerland. This article is an open access article distributed under the terms and conditions of the Creative Commons Attribution (CC BY) license (https://creativecommons.org/licenses/by/4.0/).
Share and Cite
Chao, S.; Chen, Y.; Wu, J.; Zhang, Y.; Song, L.; Li, P.; Sun, Y.; Hu, Y.; Wang, H.; Jiang, Y.; et al. Exserohilum turcicum Alters Phyllosphere Microbiome Diversity and Functions—Implications for Plant Health Management. Microorganisms 2025, 13, 524. https://doi.org/10.3390/microorganisms13030524
Chao S, Chen Y, Wu J, Zhang Y, Song L, Li P, Sun Y, Hu Y, Wang H, Jiang Y, et al. Exserohilum turcicum Alters Phyllosphere Microbiome Diversity and Functions—Implications for Plant Health Management. Microorganisms. 2025; 13(3):524. https://doi.org/10.3390/microorganisms13030524
Chicago/Turabian StyleChao, Shengqian, Yifan Chen, Jiandong Wu, Yin Zhang, Lili Song, Peng Li, Yu Sun, Yingxiong Hu, Hui Wang, Yuping Jiang, and et al. 2025. "Exserohilum turcicum Alters Phyllosphere Microbiome Diversity and Functions—Implications for Plant Health Management" Microorganisms 13, no. 3: 524. https://doi.org/10.3390/microorganisms13030524
APA StyleChao, S., Chen, Y., Wu, J., Zhang, Y., Song, L., Li, P., Sun, Y., Hu, Y., Wang, H., Jiang, Y., & Lv, B. (2025). Exserohilum turcicum Alters Phyllosphere Microbiome Diversity and Functions—Implications for Plant Health Management. Microorganisms, 13(3), 524. https://doi.org/10.3390/microorganisms13030524
