Microbial Community Composition of Explosive-Contaminated Soils: A Metataxonomic Analysis
Abstract
1. Introduction
2. Materials and Methods
2.1. Soil and Root Sampling
2.2. Amplicon Sequencing
2.3. Data Analysis
3. Results
3.1. Read Processing
3.2. Microbial Communities
3.3. Microbial Diversity
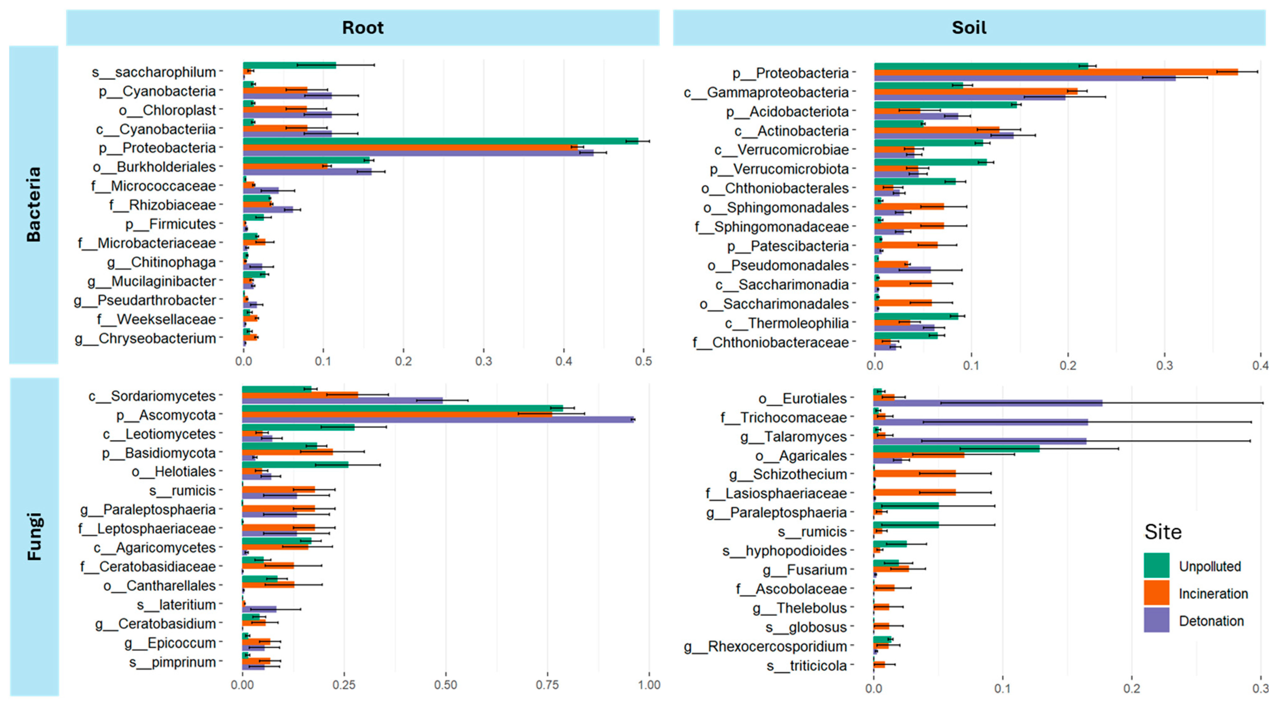
3.4. Differentially Abundant Taxa
4. Discussion
4.1. Microbial Diversity and Community Composition
4.2. Beta Diversity and Environmental Influence
4.3. Implications for Natural Attenuation
5. Conclusions
Supplementary Materials
Author Contributions
Funding
Institutional Review Board Statement
Informed Consent Statement
Data Availability Statement
Acknowledgments
Conflicts of Interest
References
- Tauqeer, H.M.; Karczewska, A.; Lewińska, L.K.; Fatima, M.; Khan, S.A.; Farhad, M.; Turan, V.; Ramzani, P.M.A.; Iqbal, M. Environmental concerns associated with explosives (HMX, TNT, and RDX), heavy metals and metalloids from shooting range soils: Prevailing issues, leading management practices, and future perspectives. In Handbook of Bioremediation: Physiological, Molecular and Biotechnological Interventions; Academic Press: Cambridge, MA, USA, 2021; pp. 569–590. [Google Scholar] [CrossRef]
- Rylott, E.L.; Bruce, N.C. Right on target: Using plants and microbes to remediate explosives. Int. J. Phytoremediat. 2019, 21, 1051–1064. [Google Scholar] [CrossRef] [PubMed]
- Bernstein, A.; Ronen, Z. Biodegradation of the Explosives TNT, RDX and HMX. In Microbial Degradation of Xenobiotics; Springer: Berlin/Heidelberg, Germany, 2012; pp. 135–176. [Google Scholar] [CrossRef]
- Cabrera, M.Á.; Márquez, S.L.; Quezada, C.P.; Osorio, M.I.; Castro-Nallar, E.; González-Nilo, F.D.; Pérez-Donoso, J.M. Biotransformation of 2,4,6-Trinitrotoluene by Pseudomonas sp. TNT3 isolated from Deception Island, Antarctica. Environ. Pollut. 2020, 262, 113922. [Google Scholar] [CrossRef]
- Finkel, O.M.; Castrillo, G.; Herrera Paredes, S.; Salas González, I.; Dangl, J.L. Understanding and exploiting plant beneficial microbes. Curr. Opin. Plant Biol. 2017, 38, 155–163. [Google Scholar] [CrossRef] [PubMed]
- Li, M.; Song, Z.; Li, Z.; Qiao, R.; Zhang, P.; Ding, C.; Xie, J.; Chen, Y.; Guo, H. Populus root exudates are associated with rhizosphere microbial communities and symbiotic patterns. Front. Microbiol. 2022, 13, 1042944. [Google Scholar] [CrossRef]
- Sheehan, P.L.; Sadovnik, R.; Kukor, J.J.; Bennett, J.W. Meta-analysis of RDX biotransformation rate by bacteria and fungi. Int. Biodeterior. Biodegrad. 2020, 146, 104814. [Google Scholar] [CrossRef]
- Gao, J.J.; Peng, R.H.; Zhu, B.; Tian, Y.S.; Xu, J.; Wang, B.; Fu, X.Y.; Han, H.J.; Wang, L.J.; Zhang, F.J.; et al. Enhanced phytoremediation of TNT and cobalt co-contaminated soil by AfSSB transformed plant. Ecotoxicol. Environ. Saf. 2021, 220, 112407. [Google Scholar] [CrossRef] [PubMed]
- Crocker, F.H.; Jung, C.M.; Indest, K.J.; Everman, S.J.; Carr, M.R. Effects of chitin and temperature on sub-Arctic soil microbial and fungal communities and biodegradation of hexahydro-1,3,5-trinitro-1,3,5-triazine (RDX) and 2,4-dinitrotoluene (DNT). Biodegradation 2019, 30, 415–431. [Google Scholar] [CrossRef]
- Ye, F.; Gong, D.; Pang, C.; Luo, J.; Zeng, X.; Shang, C. Analysis of Fungal Composition in Mine-Contaminated Soils in Hechi City. Curr. Microbiol. 2020, 77, 2685–2693. [Google Scholar] [CrossRef] [PubMed]
- Pal, Y.; Mayilraj, S.; Krishnamurthi, S. Exploring the Distinct Distribution of Archaeal Communities in Sites Contaminated with Explosives. Biomolecules 2022, 12, 489. [Google Scholar] [CrossRef] [PubMed]
- Yang, X.; Lai, J.L.; Zhang, Y.; Luo, X.G.; Han, M.W.; Zhao, S.P. Microbial community structure and metabolome profiling characteristics of soil contaminated by TNT, RDX, and HMX. Environ. Pollut. 2021, 285, 117478. [Google Scholar] [CrossRef] [PubMed]
- Ren, W.; Ren, G.; Teng, Y.; Li, Z.; Li, L. Time-dependent effect of graphene on the structure, abundance, and function of the soil bacterial community. J. Hazard. Mater. 2015, 297, 286–294. [Google Scholar] [CrossRef] [PubMed]
- Callahan, B.J.; McMurdie, P.J.; Rosen, M.J.; Han, A.W.; Johnson, A.J.A.; Holmes, S.P. DADA2: High-resolution sample inference from Illumina amplicon data. Nat. Methods 2016, 13, 581–583. [Google Scholar] [CrossRef]
- Abarenkov, K.; Zirk, A.; Piirmann, T.; Pöhönen, R.; Ivanov, F.; Nilsson, H.; Kõljalg, U. UNITE General FASTA Release for Eukaryotes; Version 16.10.2022; UNITE Community: Bradford, UK, 2022. [Google Scholar]
- McLaren, M.; & Callahan, B. Silva 138.1 Prokaryotic SSU Taxonomic Training Data Formatted for DADA2; Zenodo: Geneve, Switzerland, 2021. [Google Scholar] [CrossRef]
- Morien, E.; Parfrey, L. SILVA v128 and v132 dada2 Formatted 18s “Train Sets”; Zenodo: Geneve, Switzerland, 2018. [Google Scholar] [CrossRef]
- Quast, C.; Pruesse, E.; Yilmaz, P.; Gerken, J.; Schweer, T.; Yarza, P.; Peplies, J.; Glöckner, F.O. The SILVA ribosomal RNA gene database project: Improved data processing and web-based tools. Nucleic Acids Res. 2013, 41, D590. [Google Scholar] [CrossRef]
- Andersen, K.S.; Kirkegaard, R.H.; Karst, S.M.; Albertsen, M. ampvis2: An R package to analyse and visualise 16S rRNA amplicon data. BioRxiv 2018. [Google Scholar] [CrossRef]
- Liu, C.; Cui, Y.; Li, X.; Yao, M. microeco: An R package for data mining in microbial community ecology. FEMS Microbiol. Ecol. 2021, 97, fiaa255. [Google Scholar] [CrossRef] [PubMed]
- Ernst, F.; Borman, T.; Lahti, L. miaViz: Microbiome Analysis Plotting and Visualization. In R Package; Version 1.5.1; R Foundation for Statistical Computing: Vienna, Austria, 2022. [Google Scholar]
- Ferraro, A.; Siciliano, A.; Spampinato, M.; Morello, R.; Trancone, G.; Race, M.; Guida, M.; Fabbricino, M.; Spasiano, D.; Fratino, U. A multi-disciplinary approach based on chemical characterization of foreshore sediments, ecotoxicity assessment and statistical analyses for environmental monitoring of marine-coastal areas. Mar. Environ. Res. 2024, 202, 106780. [Google Scholar] [CrossRef]
- Corredor, D.; Duchicela, J.; Flores, F.J.; Maya, M.; Guerron, E. Review of Explosive Contamination and Bioremediation: Insights from Microbial and Bio-Omic Approaches. Toxics 2024, 12, 249. [Google Scholar] [CrossRef] [PubMed]
- Cupples, A.M. RDX degrading microbial communities and the prediction of microorganisms responsible for RDX bioremediation. Int. Biodeterior. Biodegrad. 2013, 85, 260–270. [Google Scholar] [CrossRef]
- O’Sullivan, L.A.; Mahenthiralingam, E. Biotechnological potential within the genus Burkholderia. Lett. Appl. Microbiol. 2005, 41, 8–11. [Google Scholar] [CrossRef]
- Chatterjee, S.; Deb, U.; Datta, S.; Walther, C.; Gupta, D.K. Common explosives (TNT, RDX, HMX) and their fate in the environment: Emphasizing bioremediation. Chemosphere 2017, 184, 438–451. [Google Scholar] [CrossRef]
- Wilhelm, R.C.; Amsili, J.P.; Kurtz, K.S.M.; van Es, H.M.; Buckley, D.H. Ecological insights into soil health according to the genomic traits and environment-wide associations of bacteria in agricultural soils. ISME Commun. 2023, 3, 1. [Google Scholar] [CrossRef] [PubMed]
- de Mesquita, C.P.B.; Vimercati, L.; Wu, D.; Childress, M.K.; Danz, A.; Grupe, A.C.; Haelewaters, D.; Hyde, N.M.; Kossmann, T.; Oliver, C.; et al. Fungal diversity and function in metagenomes sequenced from extreme environments. Fungal Ecol. 2024, 72, 101383. [Google Scholar] [CrossRef]
- Hibbett, D.S.; Donoghue, M.J. Analysis of character correlations among wood decay mechanisms, mating systems, and substrate ranges in homobasidiomycetes. Syst. Biol. 2001, 50, 215–242. [Google Scholar] [CrossRef] [PubMed]
- Baldrian, P. Enzymes of saprotrophic basidiomycetes. In British Mycological Society Symposia Series; Academic Press: Cambridge, MA, USA, 2008; Volume 28, pp. 19–41. [Google Scholar]
- Tedersoo, L.; Bahram, M.; Põlme, S.; Kõljalg, U.; Yorou, N.S.; Wijesundera, R.; Ruiz, L.V.; Vasco-Palacios, A.M.; Thu, P.Q.; Suija, A.; et al. Global diversity and geography of soil fungi. Science 2014, 346, 1256688. [Google Scholar] [CrossRef]
- Hyde, K.D.; Jones, E.G.; Liu, J.K.; Ariyawansa, H.; Boehm, E.; Boonmee, S.; Braun, U.; Chomnunti, P.; Crous, P.W.; Dai, D.Q.; et al. Families of Dothideomycetes: In loving memory of Majorie Phyllis Hyde (affectionately known as Mum or Marj), 29 August 1921–18 January 2013—Without mum’s determination, a character passed on to children, this treatise would never have been completed—KD Hyde. Fungal Divers. 2013, 63, 1–313. [Google Scholar]
- Zhang, N.; Castlebury, L.A.; Miller, A.N.; Huhndorf, S.M.; Schoch, C.L.; Seifert, K.A.; Rossman, A.Y.; Rogers, J.D.; Kohlmeyer, J.; Volkmann-Kohlmeyer, B.; et al. An overview of the systematics of the Sordariomycetes based on a four-gene phylogeny. Mycologia 2006, 98, 1076–1087. [Google Scholar] [CrossRef] [PubMed]
- Harms, H.; Schlosser, D.; Wick, L.Y. Untapped potential: Exploiting fungi in bioremediation of hazardous chemicals. Nat. Rev. Microbiol. 2011, 9, 177–192. [Google Scholar] [CrossRef]
- Via, S.M. Phytoremediation of Explosives. In Phytoremediation: In-Situ Applications; Springer: Cham, Switzerland, 2020; pp. 261–284. [Google Scholar] [CrossRef]
- Dasgupta, D.; Richardson, A.E.; Camuy-Vélez, L.A.; Kirkby, C.; Kirkegaard, J.A.; Banerjee, S. Microbial dynamics during in-situ organic matter decomposition reveals the importance of keystone taxa in the core microbiome. Appl. Soil Ecol. 2024, 199, 105396. [Google Scholar] [CrossRef]
- Alhaji, A.I.; Dantata, A.M.; Magaji, Y. Isolation and Identification of Bacteria from Military Firing Range for Microremediation of Soil Contaminated with Heavy Metals and Explosive Compounds. Niger. Def. Acad. J. Mil. Sci. Interdiscip. Stud. 2022, 1, 29–43. Available online: https://fmsisndajournal.org.ng/index.php/new-ndajmsis/article/view/7 (accessed on 7 September 2024).
- Ciccazzo, S.; Esposito, A.; Borruso, L.; Brusetti, L. Microbial communities and primary succession in high altitude mountain environments. Ann. Microbiol. 2016, 66, 43–60. [Google Scholar] [CrossRef]
- Ni, G.; Lappan, R.; Hernández, M.; Santini, T.; Tomkins, A.G.; Greening, C. Functional basis of primary succession: Traits of the pioneer microbes. Environ. Microbiol. 2023, 25, 171–176. [Google Scholar] [CrossRef]
- Schmidt, S.K.; Nemergut, D.R.; Darcy, J.L.; Lynch, R. Do bacterial and fungal communities assemble differently during primary succession? Mol. Ecol. 2014, 23, 254–258. [Google Scholar] [CrossRef] [PubMed]
- Kumar, M.; Singh, A.; Singh, I.K. Study on aerobic degradation of 2,4,6-trinitrotoluene (TNT) using Pseudarthrobacter chlorophenolicus collected from the contaminated site. Environ. Monit. Assess. 2021, 193, 88. [Google Scholar]
- Sessitsch, A.; Kuffner, M.; Kidd, P.; Vangronsveld, J.; Wenzel, W.W.; Fallmann, K.; Puschenreiter, M. The role of plant-associated bacteria in the mobilization and phytoextraction of trace elements in contaminated soils. Soil Biol. Biochem. 2013, 60, 182–194. [Google Scholar] [CrossRef] [PubMed]








Disclaimer/Publisher’s Note: The statements, opinions and data contained in all publications are solely those of the individual author(s) and contributor(s) and not of MDPI and/or the editor(s). MDPI and/or the editor(s) disclaim responsibility for any injury to people or property resulting from any ideas, methods, instructions or products referred to in the content. |
© 2025 by the authors. Licensee MDPI, Basel, Switzerland. This article is an open access article distributed under the terms and conditions of the Creative Commons Attribution (CC BY) license (https://creativecommons.org/licenses/by/4.0/).
Share and Cite
Flores, F.J.; Mena, E.; Granda, S.; Duchicela, J. Microbial Community Composition of Explosive-Contaminated Soils: A Metataxonomic Analysis. Microorganisms 2025, 13, 453. https://doi.org/10.3390/microorganisms13020453
Flores FJ, Mena E, Granda S, Duchicela J. Microbial Community Composition of Explosive-Contaminated Soils: A Metataxonomic Analysis. Microorganisms. 2025; 13(2):453. https://doi.org/10.3390/microorganisms13020453
Chicago/Turabian StyleFlores, Francisco J., Esteban Mena, Silvana Granda, and Jéssica Duchicela. 2025. "Microbial Community Composition of Explosive-Contaminated Soils: A Metataxonomic Analysis" Microorganisms 13, no. 2: 453. https://doi.org/10.3390/microorganisms13020453
APA StyleFlores, F. J., Mena, E., Granda, S., & Duchicela, J. (2025). Microbial Community Composition of Explosive-Contaminated Soils: A Metataxonomic Analysis. Microorganisms, 13(2), 453. https://doi.org/10.3390/microorganisms13020453

