Spatiotemporal Dynamics of Bacterial Community Assembly and Co-Occurrence Patterns in Biological Soil Crusts of Desert Ecosystems
Abstract
1. Introduction
2. Experimental Procedures
2.1. Sample Collection, Soil Physicochemical Analysis, DNA Extraction, and 16S rRNA Amplicon Sequencing
2.2. Bacterial Community Assembly Analysis
2.3. Co-Occurrence Network Analysis
2.4. Statistical Analysis
3. Results
3.1. Bacterial Diversity in BSCs Across Soil Layers and Desert Regions
3.2. Variations in the Composition of BSC Bacteria Among Different Soil Layers, Regions, and Seasons
3.3. Co-Occurrence Patterns of Bacterial Communities in BSCs
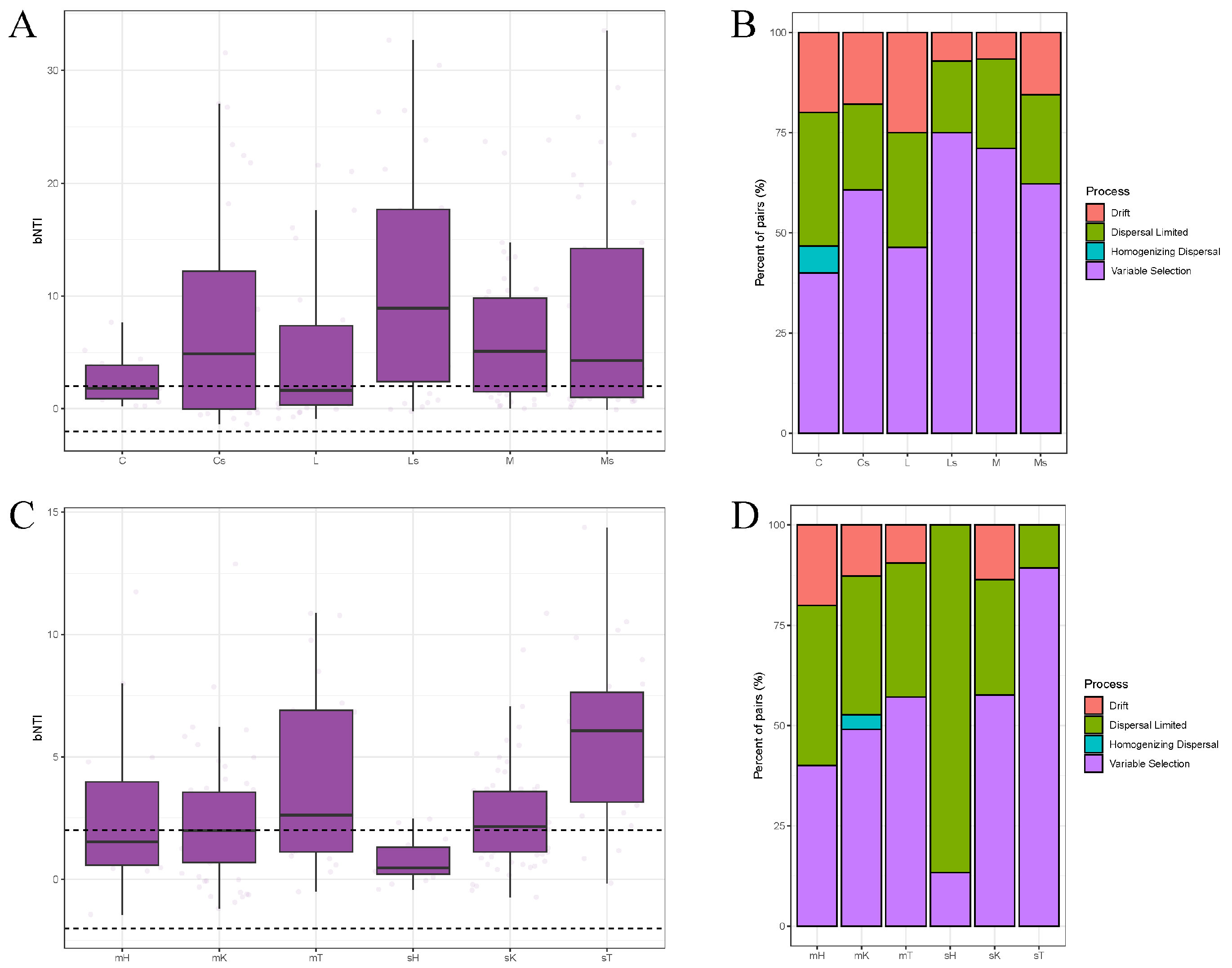
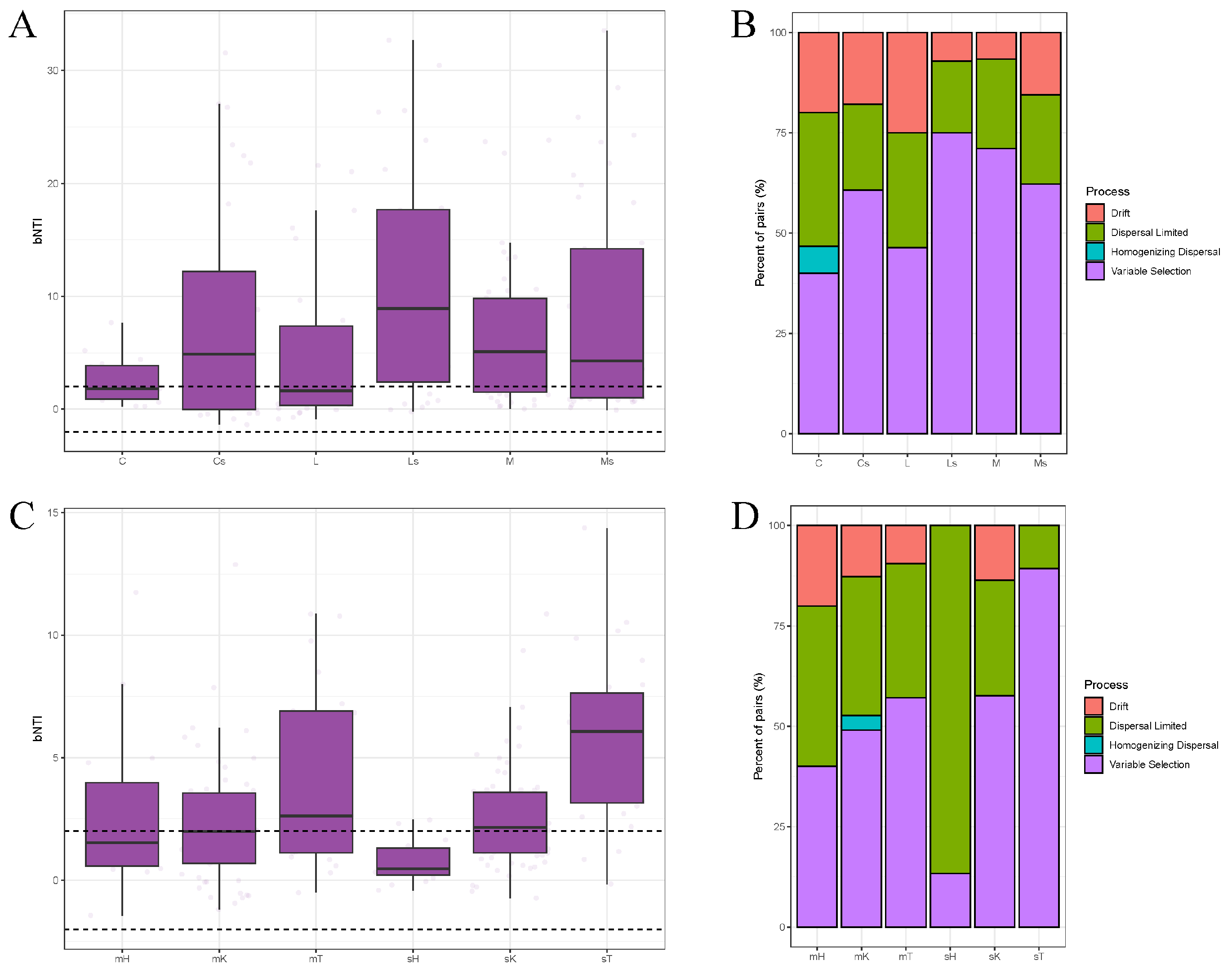
3.4. Ecological Assembly Processes of Bacterial Communities in BSCs
3.5. Factors Influencing the Assembly of Bacterial Communities in BSCs
4. Discussion
4.1. Bacterial Diversity and Composition of BSCs and Their Subsoils Across Different Sites
4.2. Co-Occurrence Pattern Analysis of the Bacterial Communities
4.3. Assembly Processes and Influencing Factors of Bacterial Communities in BSCs
5. Conclusions
Supplementary Materials
Author Contributions
Funding
Institutional Review Board Statement
Informed Consent Statement
Data Availability Statement
Conflicts of Interest
References
- Garcia-Pichel, F. The Microbiology of Biological Soil Crusts. Annu. Rev. Microbiol. 2023, 77, 149–171. [Google Scholar] [CrossRef] [PubMed]
- Yu, X.; Xiao, B.; Cao, Y.; Kidron, G.J. Sem-Derived Microstructure of Cyanobacterial and Moss Biocrusts and Their Connections to Mechanical Stability of Two Contrasting Dryland Soils. Catena 2024, 247, 108537. [Google Scholar] [CrossRef]
- Kimura, K.; Okuro, T. Cyanobacterial Biocrust on Biomineralized Soil Mitigates Freeze–Thaw Effects and Preserves Structure and Ecological Functions. Microb. Ecol. 2024, 87, 69. [Google Scholar] [CrossRef]
- Qiu, D.; Xiao, B.; Ghanbarian, B. Biocrusts Intensify Grassland Evapotranspiration through Increasing Evaporation and Reducing Transpiration in a Semi-Arid Ecosystem. J. Hydrol. 2024, 639, 131653. [Google Scholar] [CrossRef]
- Ding, Y.; Geng, Y.; Zhou, W.; Li, D. Habitat-Specific Environmental Factors Regulate the Spatial Variability of Biological Soil Crust Microbial Communities on the Qinghai-Tibet Plateau. Sci. Total Environ. 2023, 901, 165937. [Google Scholar] [CrossRef]
- Stegen, J.C.; Lin, X.; Konopka, A.E.; Fredrickson, J.K. Stochastic and Deterministic Assembly Processes in Subsurface Microbial Communities. ISME J. 2012, 6, 1653–1664. [Google Scholar] [CrossRef]
- Stomeo, F.; Valverde, A.; Pointing, S.B.; McKay, C.P.; Warren-Rhodes, K.A.; Tuffin, M.I.; Seely, M.; Cowan, D.A. Hypolithic and Soil Microbial Community Assembly along an Aridity Gradient in the Namib Desert. Extremophiles 2013, 17, 329–337. [Google Scholar] [CrossRef]
- Zhou, J.; Ning, D. Stochastic Community Assembly: Does It Matter in Microbial Ecology? Microbiol. Mol. Biol. Rev. 2017, 81, e00002-17. [Google Scholar] [CrossRef]
- Dini-Andreote, F.; Stegen, J.C.; van Elsas, J.D.; Salles, J.F. Disentangling Mechanisms That Mediate the Balance between Stochastic and Deterministic Processes in Microbial Succession. Proc. Natl. Acad. Sci. USA 2015, 112, E1326–E1332. [Google Scholar] [CrossRef] [PubMed]
- Li, J.; Okin, G.S.; Alvarez, L.; Epstein, H. Effects of Wind Erosion on the Spatial Heterogeneity of Soil Nutrients in Two Desert Grassland Communities. Biogeochemistry 2008, 88, 73–88. [Google Scholar] [CrossRef]
- Zhang, Z.; Yin, H.; Zhao, Y.; Wang, S.; Han, J.; Yu, B.; Xue, J. Spatial Heterogeneity and Driving Factors of Soil Moisture in Alpine Desert Using the Geographical Detector Method. Water 2021, 13, 2652. [Google Scholar] [CrossRef]
- Li, S.; Wang, C.; Yang, S.; Chen, W.; Li, G.; Luo, W.; Wei, G.; Chen, C. Determining the Contribution of Microbiome Complexity to the Soil Nutrient Heterogeneity of Fertile Islands in a Desert Ecosystem. Sci. Total Environ. 2023, 857, 159355. [Google Scholar] [CrossRef]
- Tariq, A.; Graciano, C.; Sardans, J.; Zeng, F.; Hughes, A.C.; Ahmed, Z.; Ullah, A.; Ali, S.; Gao, Y.; Peñuelas, J. Plant Root Mechanisms and Their Effects on Carbon and Nutrient Accumulation in Desert Ecosystems under Changes in Land Use and Climate. New Phytol. 2024, 242, 916–934. [Google Scholar] [CrossRef] [PubMed]
- Hirani, J.D.; Ali, M. Water Scarcity in Desert Belts in Pakistan: A Case of Thar Region. Ann. Hum. Soc. Sci. 2023, 4, 443–452. [Google Scholar]
- Shi, L.; Fan, H.; Yang, L.; Jiang, Y.; Sun, Z.; Zhang, Y. NDVI-Based Spatial and Temporal Vegetation Trends and Their Response to Precipitation and Temperature Changes in the Mu Us Desert from 2000 to 2019. Water Sci. Technol. 2023, 88, 430–442. [Google Scholar] [CrossRef] [PubMed]
- Jing, X.; Classen, A.T.; Li, D.; Lin, L.; Lu, M.; Sanders, N.J.; Wang, Y.; Feng, W. Unraveling Microbial Community Structure–Function Relationships in the Horizontal and Vertical Spatial Dimensions in Extreme Environments. Ecography 2024, 2024, e07118. [Google Scholar] [CrossRef]
- Coleine, C.; Delgado-Baquerizo, M.; DiRuggiero, J.; Guirado, E.; Harfouche, A.L.; Perez-Fernandez, C.; Singh, B.K.; Selbmann, L.; Egidi, E. Dryland Microbiomes Reveal Community Adaptations to Desertification and Climate Change. ISME J. 2024, 18, wrae056. [Google Scholar] [CrossRef] [PubMed]
- Li, S.; Lian, W.-H.; Han, J.-R.; Ali, M.; Lin, Z.-L.; Liu, Y.-H.; Li, L.; Zhang, D.-Y.; Jiang, X.-Z.; Li, W.-J.; et al. Capturing the Microbial Dark Matter in Desert Soils Using Culturomics-Based Metagenomics and High-Resolution Analysis. npj Biofilms Microbiomes 2023, 9, 67. [Google Scholar] [CrossRef]
- Liu, Z.; Ma, L.; Liu, T.; Qiao, Z.; Chen, Y. Influence of Key Climate Factors on Desertification in Inner Mongolia. Atmosphere 2023, 14, 1404. [Google Scholar] [CrossRef]
- Tang, K.; Yuan, B.; Jia, L.; Pan, X.; Feng, F.; Jin, K. Spatial and Temporal Distribution of Aerobic Anoxygenic Phototrophic Bacteria: Key Functional Groups in Biological Soil Crusts. Environ. Microbiol. 2021, 23, 3554–3567. [Google Scholar] [CrossRef] [PubMed]
- Chen, W.; Wang, J.; Chen, X.; Meng, Z.; Xu, R.; Duoji, D.; Zhang, J.; He, J.; Wang, Z.; Chen, J.; et al. Soil Microbial Network Complexity Predicts Ecosystem Function along Elevation Gradients on the Tibetan Plateau. Soil Biol. Biochem. 2022, 172, 108766. [Google Scholar] [CrossRef]
- Barberán, A.; Bates, S.T.; Casamayor, E.O.; Fierer, N. Using Network Analysis to Explore Co-Occurrence Patterns in Soil Microbial Communities. ISME J. 2012, 6, 343–351. [Google Scholar] [CrossRef]
- Yuan, M.M.; Guo, X.; Wu, L.; Zhang, Y.; Xiao, N.; Ning, D.; Shi, Z.; Zhou, X.; Wu, L.; Yang, Y.; et al. Climate Warming Enhances Microbial Network Complexity and Stability. Nat. Clim. Change 2021, 11, 343–348. [Google Scholar] [CrossRef]
- Miao, L.; Wang, P.; Hou, J.; Yao, Y.; Liu, Z.; Liu, S.; Li, T. Distinct Community Structure and Microbial Functions of Biofilms Colonizing Microplastics. Sci. Total Environ. 2019, 650, 2395–2402. [Google Scholar] [CrossRef] [PubMed]
- Hamady, M.; Lozupone, C.; Knight, R. Fast UniFrac: Facilitating High-Throughput Phylogenetic Analyses of Microbial Communities Including Analysis of Pyrosequencing and PhyloChip Data. ISME J. 2010, 4, 17–27. [Google Scholar] [CrossRef]
- Lefcheck, J.S. piecewiseSEM: Piecewise Structural Equation Modelling in r for Ecology, Evolution, and Systematics. Methods Ecol. Evol. 2016, 7, 573–579. [Google Scholar] [CrossRef]
- Arnold, T.W. Uninformative Parameters and Model Selection Using Akaike’s Information Criterion. J. Wildl. Manag. 2010, 74, 1175–1178. [Google Scholar] [CrossRef]
- Zhang, Y.; Gao, M.; Yu, C.; Zhang, H.; Yan, N.; Wu, Q.; Song, Y.; Li, X. Soil Nutrients, Enzyme Activities, and Microbial Communities Differ among Biocrust Types and Soil Layers in a Degraded Karst Ecosystem. Catena 2022, 212, 106057. [Google Scholar] [CrossRef]
- Portell, X.; Pot, V.; Garnier, P.; Otten, W.; Baveye, P.C. Microscale Heterogeneity of the Spatial Distribution of Organic Matter Can Promote Bacterial Biodiversity in Soils: Insights From Computer Simulations. Front. Microbiol. 2018, 9, 1583. [Google Scholar] [CrossRef] [PubMed]
- Borowik, A.; Wyszkowska, J. Soil Moisture as a Factor Affecting the Microbiological and Biochemical Activity of Soil. Plant Soil Environ. 2016, 62, 250–255. [Google Scholar] [CrossRef]
- Weber, B.; Belnap, J.; Büdel, B.; Antoninka, A.J.; Barger, N.N.; Chaudhary, V.B.; Darrouzet-Nardi, A.; Eldridge, D.J.; Faist, A.M.; Ferrenberg, S.; et al. What Is a Biocrust? A Refined, Contemporary Definition for a Broadening Research Community. Biol. Rev. 2022, 97, 1768–1785. [Google Scholar] [CrossRef]
- Chamizo, S.; Cantón, Y.; Miralles, I.; Domingo, F. Biological Soil Crust Development Affects Physicochemical Characteristics of Soil Surface in Semiarid Ecosystems. Soil Biol. Biochem. 2012, 49, 96–105. [Google Scholar] [CrossRef]
- Martirosyan, V.; Ehrlich, R.; Frend, Y.; Barness, G.; Steinberger, Y. Spatial Heterogeneity of a Microbial Community in a Sandy Soil Ecosystem. Pedobiologia 2013, 56, 195–203. [Google Scholar] [CrossRef]
- Moreno-Espíndola, I.P.; Ferrara-Guerrero, M.J.; Luna-Guido, M.L.; Ramírez-Villanueva, D.A.; De León-Lorenzana, A.S.; Gómez-Acata, S.; González-Terreros, E.; Ramírez-Barajas, B.; Navarro-Noya, Y.E.; Sánchez-Rodríguez, L.M.; et al. The Bacterial Community Structure and Microbial Activity in a Traditional Organic Milpa Farming System Under Different Soil Moisture Conditions. Front. Microbiol. 2018, 9, 2737. [Google Scholar] [CrossRef] [PubMed]
- Herre, M.; Heitkötter, J.; Heinze, S.; Rethemeyer, J.; Preusser, S.; Kandeler, E.; Marschner, B. Differences in Organic Matter Properties and Microbial Activity between Bulk and Rhizosphere Soil from the Top- and Subsoils of Three Forest Stands. Geoderma 2022, 409, 115589. [Google Scholar] [CrossRef]
- Neilson, J.W.; Califf, K.; Cardona, C.; Copeland, A.; van Treuren, W.; Josephson, K.L.; Knight, R.; Gilbert, J.A.; Quade, J.; Caporaso, J.G.; et al. Significant Impacts of Increasing Aridity on the Arid Soil Microbiome. mSystems 2017, 2, e00195-16. [Google Scholar] [CrossRef] [PubMed]
- Islam, W.; Noman, A.; Naveed, H.; Huang, Z.; Chen, H.Y.H. Role of Environmental Factors in Shaping the Soil Microbiome. Environ. Sci. Pollut. Res. 2020, 27, 41225–41247. [Google Scholar] [CrossRef] [PubMed]
- Wilpiszeski, R.L.; Aufrecht, J.A.; Retterer, S.T.; Sullivan, M.B.; Graham, D.E.; Pierce, E.M.; Zablocki, O.D.; Palumbo, A.V.; Elias, D.A. Soil Aggregate Microbial Communities: Towards Understanding Microbiome Interactions at Biologically Relevant Scales. Appl. Environ. Microbiol. 2019, 85, e00324-19. [Google Scholar] [CrossRef]
- Zhang, X.; Johnston, E.R.; Liu, W.; Li, L.; Han, X. Environmental Changes Affect the Assembly of Soil Bacterial Community Primarily by Mediating Stochastic Processes. Glob. Change Biol. 2016, 22, 198–207. [Google Scholar] [CrossRef]
- Gao, G.; Li, G.; Liu, M.; Li, P.; Liu, J.; Ma, S.; Li, D.; Petropoulos, E.; Wu, M.; Li, Z. Changes in Soil Stoichiometry, Soil Organic Carbon Mineralization and Bacterial Community Assembly Processes across Soil Profiles. Sci. Total Environ. 2023, 903, 166408. [Google Scholar] [CrossRef]
- Fernandez, L.; Mercader, J.M.; Planas-Fèlix, M.; Torrents, D. Adaptation to Environmental Factors Shapes the Organization of Regulatory Regions in Microbial Communities. BMC Genom. 2014, 15, 877. [Google Scholar] [CrossRef]





Disclaimer/Publisher’s Note: The statements, opinions and data contained in all publications are solely those of the individual author(s) and contributor(s) and not of MDPI and/or the editor(s). MDPI and/or the editor(s) disclaim responsibility for any injury to people or property resulting from any ideas, methods, instructions or products referred to in the content. |
© 2025 by the authors. Licensee MDPI, Basel, Switzerland. This article is an open access article distributed under the terms and conditions of the Creative Commons Attribution (CC BY) license (https://creativecommons.org/licenses/by/4.0/).
Share and Cite
Bao, R.; Tang, K.; Ji, Y.; Zhang, S.; Wang, C.; Liang, Y.; Zhao, X.; Meng, J. Spatiotemporal Dynamics of Bacterial Community Assembly and Co-Occurrence Patterns in Biological Soil Crusts of Desert Ecosystems. Microorganisms 2025, 13, 446. https://doi.org/10.3390/microorganisms13020446
Bao R, Tang K, Ji Y, Zhang S, Wang C, Liang Y, Zhao X, Meng J. Spatiotemporal Dynamics of Bacterial Community Assembly and Co-Occurrence Patterns in Biological Soil Crusts of Desert Ecosystems. Microorganisms. 2025; 13(2):446. https://doi.org/10.3390/microorganisms13020446
Chicago/Turabian StyleBao, Runze, Kai Tang, Yanfu Ji, Shengnan Zhang, Chunying Wang, Yungang Liang, Xiujuan Zhao, and Jianyu Meng. 2025. "Spatiotemporal Dynamics of Bacterial Community Assembly and Co-Occurrence Patterns in Biological Soil Crusts of Desert Ecosystems" Microorganisms 13, no. 2: 446. https://doi.org/10.3390/microorganisms13020446
APA StyleBao, R., Tang, K., Ji, Y., Zhang, S., Wang, C., Liang, Y., Zhao, X., & Meng, J. (2025). Spatiotemporal Dynamics of Bacterial Community Assembly and Co-Occurrence Patterns in Biological Soil Crusts of Desert Ecosystems. Microorganisms, 13(2), 446. https://doi.org/10.3390/microorganisms13020446

