Siderophore Production Capability of Nitrogen-Fixing Bacterium (NFB) GXGL-4A Regulates Cucumber Rhizosphere Soil Microecology
Abstract
1. Introduction
2. Materials and Methods
2.1. Bacterial Strains and Cucumber Variety
2.2. Detection of Siderophore Synthesis Capability of NFB Strains
2.3. Growth Curves of NFB Strains at Different Levels of Iron Supply
2.4. Germination and Sowing of Cucumber Seeds and Seedling Management
2.5. NFB Inoculation and Sampling of Cucumber Rhizosphere Soils
2.6. Biomass Determination of Cucumber Seedlings After NFB Inoculation
2.7. Evaluation of Soil Nitrogen Content in Cucumber Rhizosphere
2.8. Assessment of Soil Enzymatic Activity
2.9. Isolation of Cucumber Rhizosphere Soil DNA
2.10. Amplification of 16S rRNA Genes
2.11. Illumina MiSeq Sequencing of Soil Microbial 16S rRNA Genes
2.12. Processing of 16S rRNA Sequencing Data
3. Results
3.1. Detection of the Siderophile Synthesis Ability of GXGL-4A
3.2. Relative Siderophore-Producing Activities of GXGL-4A and Mutant M107 Under Different Fe Supply Levels
3.3. Biomass Evaluation of Cucumber Seedlings Treated with Different NFB Cells
3.4. Nitrogen Contents of Cucumber Rhizosphere Soil
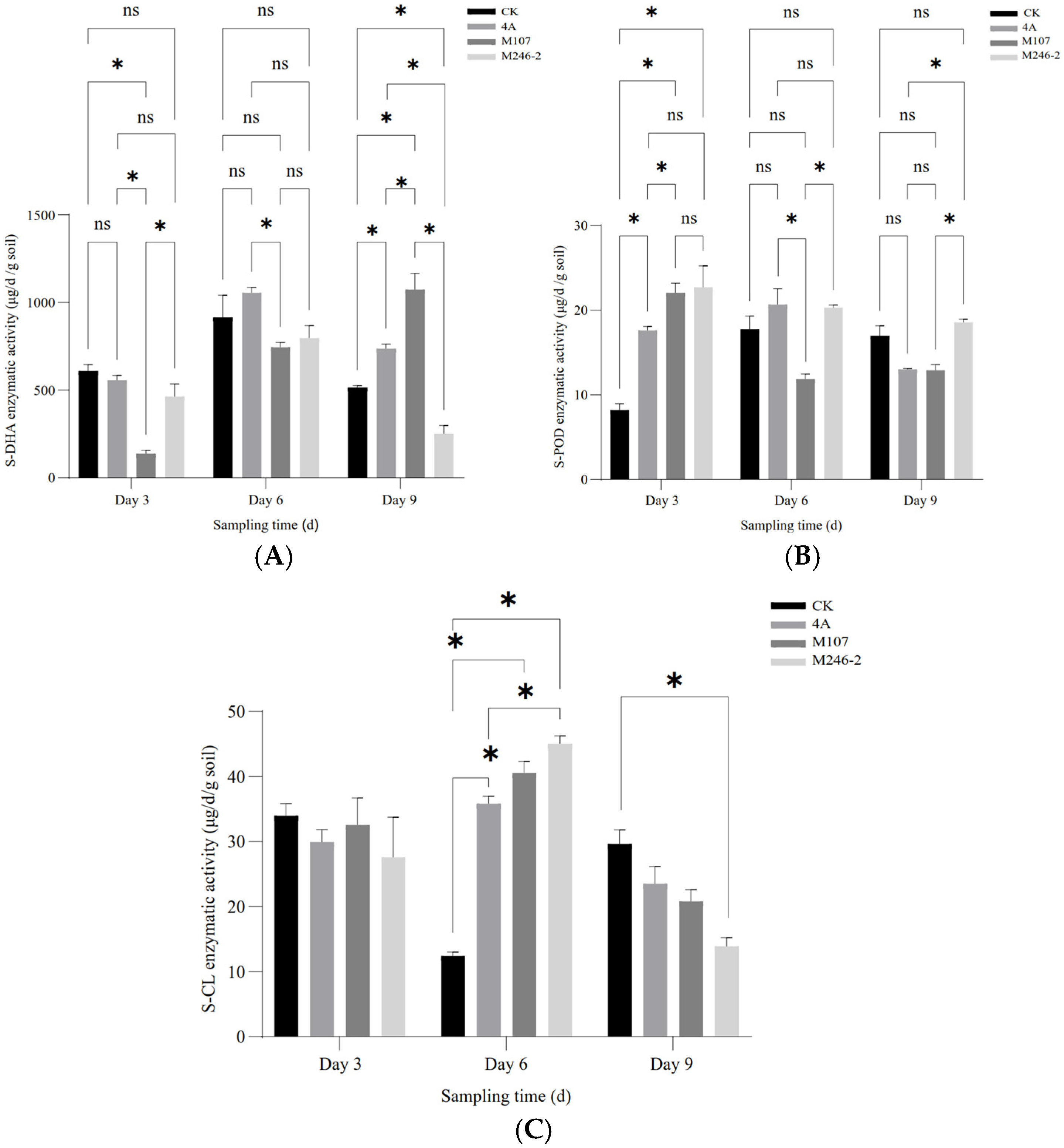
3.5. Enzymatic Activity in Cucumber Rhizosphere Soil After NFB Fertilization
3.6. Sequencing Data Summary and α-Diversity Analysis
3.7. α-Diversity Analysis
3.8. Analyses of Dominant Species Composition at Phylum and Genus Levels
3.9. Difference Analysis of Bacterial Community Structure in Cucumber Rhizosphere Soil
4. Discussion
4.1. Contrast to Prior Research
4.2. Implications of Research Results
5. Conclusions
Supplementary Materials
Author Contributions
Funding
Institutional Review Board Statement
Informed Consent Statement
Data Availability Statement
Acknowledgments
Conflicts of Interest
References
- Mushtaq, Z.; Al-Ashkar, I.; Habib-ur-Rahman, M.; Sabagh, A.E.; Ilić, P. Biofortification of iron in potato through rhizobacteria and plant growth regulator. Potato Res. 2024, 67, 785–793. [Google Scholar] [CrossRef]
- Shahnaz, S.; Saiful, A.; Muhammad, M.K. Screening of siderophore-producing salt-tolerant rhizobacteria suitable for supporting plant growth in saline soils with iron limitation. J. Agric. Food Res. 2021, 4, 100150. [Google Scholar] [CrossRef]
- Ghehestani, M.M.H.; Azari, A.; Rahimi, A.; Maddah-Hosseini, S.; Ahmadi-Lahijani, M.J. Bacterial siderophore improves nutrient uptake, leaf physiochemical characteristics, and grain yield of cumin (Cuminum cyminum L.) ecotypes. J. Plant Nutr. 2021, 44, 1794–1806. [Google Scholar] [CrossRef]
- Mushtaq, Z.; Nazir, A.; Asghar, H.N.; Zahir, Z.A. Interactive Effect of Siderophore-Producing Bacteria and l-Tryptophan on Physiology, Tuber Characteristics, Yield, and Iron Concentration of Potato. Potato Res. 2022, 65, 1015–1027. [Google Scholar] [CrossRef]
- Liu, J.; Tang, L.; Gao, H.; Zhang, M.; Guo, C. Enhancement of alfalfa yield and quality by plant growth-promoting rhizobacteria under saline-alkali conditions. J. Sci. Food Agric. 2019, 99, 281–289. [Google Scholar] [CrossRef] [PubMed]
- Rajkumar, M.; Narayanasamy, S.; Uthandi, S. A root-associated Bacillus albus LRS2 and its metabolites for plant growth promotion and drought stress tolerance in little millet (Panicum sumatrense L.). Plant Stress 2024, 12, 100446. [Google Scholar] [CrossRef]
- Sarwar, S.; Khaliq, A.; Yousra, M.; Sultan, T. Iron biofortification potential of siderophore producing rhizobacterial strains for improving growth, yield and iron contents of groundnut. J. Plant Nutr. 2022, 45, 2332–2347. [Google Scholar] [CrossRef]
- Liu, D.; Yang, Q.; Ge, K.; Hu, X.; Qi, G.; Du, B.; Liu, K. Promotion of iron nutrition and growth on peanut by Paenibacillus illinoisensis and Bacillus sp. strains in calcareous soil. Braz. J. Microbiol. 2017, 48, 656–670. [Google Scholar] [CrossRef]
- Chandwani, S.; Amaresan, N. Siderophore and ACC deaminase producing bacteria enhance the growth of Vigna spp under iron limited saline soils. J. Soil Sci. Plant Nutr. 2024, 24, 3734–3748. [Google Scholar] [CrossRef]
- Nithyapriya, S.; Sundaram, L.; Eswaran, S.U.D.; Perveen, K.; Alshaikh, N.A.; Sayyed, R.Z.; Mastinu, A. Purification and characterization of desferrioxamine B of Pseudomonas fluorescens and its application to improve oil content, nutrient uptake, and plant growth in peanuts. Microb. Ecol. 2024, 87, 60. [Google Scholar] [CrossRef]
- Lozano-González, J.M.; Valverde, S.; Montoya, M.; Martín, M.; Rivilla, R.; Lucena, J.J.; López-Rayo, S. Evaluation of Siderophores Generated by Pseudomonas Bacteria and Their Possible Application as Fe Biofertilizers. Plants 2023, 12, 4054. [Google Scholar] [CrossRef] [PubMed]
- Gao, B.; Chai, X.; Huang, Y.; Wang, X.; Han, Z.; Xu, X.; Wu, T.; Zhang, X.; Wang, Y. Siderophore production in Pseudomonas SP. strain SP3 enhances iron acquisition in apple rootstock. J. Appl. Microbiol. 2022, 133, 720–732. [Google Scholar] [CrossRef]
- Timofeeva, A.M.; Galyamova, M.R.; Sedykh, S.E. Bacterial siderophores: Classification, biosynthesis, perspectives of use in agriculture. Plants 2022, 11, 3065. [Google Scholar] [CrossRef] [PubMed]
- Wu, Q.; Yang, L.; Liang, H.; Liu, M.; Chen, Y.; Chen, D.; Shen, P. Impacts of soil compaction and phosphorus levels on the dynamics of phosphate-solubilizing and nitrogen-fixing bacteria in the peanut rhizosphere. Agronomy 2024, 14, 1971. [Google Scholar] [CrossRef]
- Adediji, A.O.; Ojo, J.A.; Olowoake, A.A.; Alabi, K.O.; Atiri, G.I. Complete genome of Achromobacter xylosoxidans, a nitrogen-fixing bacterium from the rhizosphere of cowpea (Vigna unguiculata [L.] Walp) tolerant to cucumber mosaic virus infection. Curr. Microbiol. 2024, 81, 356. [Google Scholar] [CrossRef] [PubMed]
- Widawati, S.; Suliasih; Susilowati, D.N.; Sumardi. The population and potential of nitrogen-fixing bacteria from sandalwood (Santalum album L.) rhizosphere as a producer of phytohormones and stress resistance indicators. AIP Conf. Proc. 2024, 2970, 050006. [Google Scholar] [CrossRef]
- Luo, D.; Shi, J.; Li, M.; Chen, J.; Wang, T.; Zhang, Q.; Yang, L.; Zhu, N.; Wang, Y. Consortium of phosphorus-solubilizing bacteria promotes maize growth and changes the microbial community composition of rhizosphere soil. Agronomy 2024, 14, 1535. [Google Scholar] [CrossRef]
- Peng, T.; Meng, L.; Wang, Y.; Jin, L.; Jin, H.; Yang, T.; Yao, Y. Alterations of the rhizosphere soil microbial community composition and metabolite profiles of Angelica sinensis seedlings by co-application of nitrogen fixing bacteria and amino acids. Plant Soil 2023, 493, 535–554. [Google Scholar] [CrossRef]
- Sun, S.; Chen, Y.; Cheng, J.; Li, Q.; Zhang, Z.; Lan, Z. Isolation, characterization, genomic sequencing, and GFP-marked insertional mutagenesis of a high-performance nitrogen-fixing bacterium, Kosakonia radicincitans GXGL-4A and visualization of bacterial colonization on cucumber roots. Folia Microbiol. 2018, 63, 789–802. [Google Scholar] [CrossRef]
- Feng, B.Y.; Zhang, M.T.; Su, G.X.; Bao, Y.Q.; Xu, Y.; Chen, Y.P. Siderophore Synthesis Ability of the Nitrogen-Fixing Bacterium (NFB) GXGL-4A is Regulated at the Transcriptional Level by a Transcriptional Factor (trX) and an Aminomethyltransferase-Encoding Gene (amt). Curr. Microbiol. 2022, 79, 369. [Google Scholar] [CrossRef]
- Schwyn, B.; Neilands, J.B. Universal chemical assay for the detection and determination of siderophores. Anal. Biochem. 1987, 160, 47–56. [Google Scholar] [CrossRef] [PubMed]
- Louden, B.C.; Haarmann, D.; Lynne, A.M. Use of Blue Agar CAS Assay for Siderophore Detection. JMBE 2011, 12, 51–53. [Google Scholar] [CrossRef] [PubMed]
- Michałowski, T.; Asuero, A.G.; Wybraniec, S. The Titration in the Kjeldahl Method of Nitrogen Determination: Base or Acid as Titrant? J. Chem. Educ. 2013, 90, 191–197. [Google Scholar] [CrossRef]
- Chen, Y.P.; Li, J.Y.; Huang, Z.B.; Su, G.X.; Li, X.Y.; Sun, Z.Y.; Qin, Y.M. Impact of short-term application of seaweed fertilizer on bacterial diversity and community structure, soil nitrogen contents, and plant growth in maize rhizosphere soil. Folia Microbiol. 2020, 65, 591–603. [Google Scholar] [CrossRef] [PubMed]
- Zhang, M.; Li, R.; Cao, L.; Shi, J.; Liu, H.; Huang, Y.; Shen, Q. Algal sludge from Taihu Lake can be utilized to create novel PGPR-containing bio-organic fertilizers. J. Environ. Manag. 2014, 132, 230–236. [Google Scholar] [CrossRef]
- Alam, M.S.; Cui, Z.J.; Yamagishi, T.; Ishii, R. Grain Yield and Related Physiological Characteristics of Rice Plants (Oryza sativa L.) Inoculated with Free-Living Rhizobacteria. Plant Prod. Sci. 2015, 4, 126–130. [Google Scholar] [CrossRef]
- Song, L.; Xie, K. Engineering CRISPR/Cas9 to mitigate abundant host contamination for 16S rRNA gene-based amplicon sequencing. Microbiome 2020, 8, 80. [Google Scholar] [CrossRef] [PubMed]
- Wang, J.; Liu, L.; Gao, X.; Hao, J.; Wang, M. Elucidating the effect of biofertilizers on bacterial diversity in maize rhizosphere soil. PLoS ONE 2021, 16, e0249834. [Google Scholar] [CrossRef] [PubMed]
- Yao, Y.X.; Tang, H.Z.; Su, F.; Xu, P. Comparative genome analysis reveals the molecular basis of nicotine degradation and sur- vival capacities of Arthrobacter. Sci. Rep. 2015, 5, 8642. [Google Scholar] [CrossRef]
- Guo, X.; Xie, C.; Wang, L.; Li, Q.; Wang, Y. Biodegradation of persistent environmental pollutants by Arthrobacter sp. Environ. Sci. Pollut. Res. 2019, 26, 8429–8443. [Google Scholar] [CrossRef]
- Li, X.M.; Zhang, M.J.; Jin, J.H.; Liu, S.J.; Jiang, C.Y. Population shift and degrading characteristics of a pyrenedegrading bacterial consortium during incubation process. Acta Microbiol. Sin. 2012, 52, 1260–1267. [Google Scholar] [CrossRef]
- Tang, L.M.; Xu, Y.H.; Xue, J.P. Cloning and expression of nitrilase from Arthrobacter nitroguajacolicus. Ind. Microbiol. 2014, 44, 13–20. [Google Scholar] [CrossRef]
- Zhang, S.; Huang, G.L.; Xu, J.L.; Li, B.; Li, H.G.; Chen, D.X. Screening, identification and characterization of a quinclorac-de grading Arthrobacter sp. MC-10. Acta Microbiol. Sin. 2015, 55, 80–88. [Google Scholar] [CrossRef]
- Wang, P.; Cui, T.; Li, J.; Liu, N.; Hong, M. 1,4-Dioxane Degradation Performance of Tetrahydrofuran-Grown Arthrobacter sp. WN18. Water Air Soil Pollut. 2021, 232, 473. [Google Scholar] [CrossRef]
- Lin, L.; Li, Z.; Hu, C.; Zhang, X.; Chang, S.; Yang, L.; Li, Y.; An, Q. Plant growth-promoting nitrogen-fixing Enterobacteria are in association with sugarcane plants growing in Guangxi, China. Microbes Environ. 2012, 27, 391–398. [Google Scholar] [CrossRef]
- Ge, G.F.; Li, Z.J.; Zhang, J.; Wang, L.G.; Xu, M.G.; Zhang, J.B.; Wang, J.K.; Xie, X.L.; Liang, Y.C. Geographical and climatic differences in long-term effect of organic and inorganic amendments on soil enzymatic activities and respiration in field experimental stations of China. Ecol. Complex 2009, 6, 421–431. [Google Scholar] [CrossRef]
- Schinner, F.; Mersi, W.V. Xylanase-, CM-cellulase- and invertase activity in soil: An improved method. Soil Biol. Biochem. 1990, 22, 511–515. [Google Scholar] [CrossRef]
- Deng, S. Cellulase Activity of Soils and the Effect of Tillage Management on Enzyme Activities in Soils. Ph.D. Thesis, Iowa State University, Ames, IA, USA, 1994. [Google Scholar]
- Campos, J.A.; Peco, J.D.; Garcia-Noguero, E. Antigerminative comparison between naturally occurring naphthoquinones and commercial pesticides. Soil dehydrogenase activity used as bioindicator to test soil toxicity. Sci. Total Environ. 2019, 694, 133672. [Google Scholar] [CrossRef] [PubMed]
- Hu, Q.; Kang, P.; Lu, Y.; Lei, B. Effect of N Application Rate on Yield, Nutrient Uptake of Maize and Inorganic Nitrogen of Soil. SW. CN. J. Agr. Sci. 2012, 25, 1730–1735. (In Chinese) [Google Scholar] [CrossRef]
- Stegen, J.C.; Lin, X.; Konopka, A.E.; Fredrickson, J.K. Stochastic and deterministic assembly processes in subsurface microbial communities. ISME J. 2012, 6, 1653–1664. [Google Scholar] [CrossRef]
- Valentin-Vargas, A.; Toro-Labrador, G.; Massol-Deyá, A. Bacterial community dynamics in full scale activated sludge bioreactors: Operational and ecological factors driving community assembly and performance. PLoS ONE 2012, 7, e42524. [Google Scholar] [CrossRef]









| Treatments | Ace Index | Chao 1 Index | Shannon Index | Sobs | |
|---|---|---|---|---|---|
| Day 3 | |||||
| CK-T1 | 3607.64 ± 524.56 b | 3492.49 ± 439.99 b | 6.07 ± 0.32 b | 2680.67 ± 366.85 b | |
| 4A-T1 | 4844.78 ± 307.74 a | 4616.06 ± 227.80 a | 6.56 ± 0.08 a | 3522.67 ± 169.09 a | |
| M107-T1 | 5204.10 ± 199.79 a | 4967.41 ± 178.73 a | 6.50 ± 0.20 a | 3710.67 ± 164.81 a | |
| M246-2-T1 | 4824.56 ± 144.89 a | 4524.58 ± 158.61 a | 6.56 ± 0.16 a | 3507.33 ± 131.96 a | |
| Day 6 | |||||
| CK-T2 | 4167.03 ± 345.49 ab | 3976.52 ± 310.54 ab | 6.03 ± 0.31 a | 2913.67 ± 277.03 ab | |
| 4A-T2 | 4007.96 ± 338.46 b | 3862.98 ± 305.97 b | 6.05 ± 0.09 a | 2807.00 ± 189.61 b | |
| M107-T2 | 4760.31 ± 6.17 a | 4514.90 ± 53.70 a | 6.35 ± 0.03 a | 3337.33 ± 55.79 a | |
| M246-2-T2 | 4340.41 ± 450.89 ab | 4067.11 ± 357.73 ab | 6.24 ± 0.11 a | 3081.33 ± 276.96 ab | |
| Day 9 | |||||
| CK-T3 | 5197.03 ± 181.39 a | 4910.15 ± 194.28 a | 6.63 ± 0.03 a | 3703.67 ± 80.75 a | |
| 4A-T3 | 4887.19 ± 249.69 ab | 4595.86 ± 210.80 ab | 6.45 ± 0.23 ab | 3444.00 ± 203.74 ab | |
| M107-T3 | 4531.32 ± 292.67 b | 4302.62 ± 257.56 b | 6.28 ± 0.19 b | 3193.00 ± 229.69 b | |
| M246-2-T3 | 5179.48 ± 125.12 a | 4884.79 ± 45.97 a | 6.74 ± 0.05 a | 3751.67 ± 67.72 a | 
| Disclaimer/Publisher’s Note: The statements, opinions and data contained in all publications are solely those of the individual author(s) and contributor(s) and not of MDPI and/or the editor(s). MDPI and/or the editor(s) disclaim responsibility for any injury to people or property resulting from any ideas, methods, instructions or products referred to in the content. | 
© 2025 by the authors. Licensee MDPI, Basel, Switzerland. This article is an open access article distributed under the terms and conditions of the Creative Commons Attribution (CC BY) license (https://creativecommons.org/licenses/by/4.0/).
Share and Cite
Zhang, Y.; Wang, E.; Feng, B.; Xu, L.; Xue, Y.; Chen, Y. Siderophore Production Capability of Nitrogen-Fixing Bacterium (NFB) GXGL-4A Regulates Cucumber Rhizosphere Soil Microecology. Microorganisms 2025, 13, 346. https://doi.org/10.3390/microorganisms13020346
Zhang Y, Wang E, Feng B, Xu L, Xue Y, Chen Y. Siderophore Production Capability of Nitrogen-Fixing Bacterium (NFB) GXGL-4A Regulates Cucumber Rhizosphere Soil Microecology. Microorganisms. 2025; 13(2):346. https://doi.org/10.3390/microorganisms13020346
Chicago/Turabian StyleZhang, Yating, Erxing Wang, Baoyun Feng, Lurong Xu, Yanwen Xue, and Yunpeng Chen. 2025. "Siderophore Production Capability of Nitrogen-Fixing Bacterium (NFB) GXGL-4A Regulates Cucumber Rhizosphere Soil Microecology" Microorganisms 13, no. 2: 346. https://doi.org/10.3390/microorganisms13020346
APA StyleZhang, Y., Wang, E., Feng, B., Xu, L., Xue, Y., & Chen, Y. (2025). Siderophore Production Capability of Nitrogen-Fixing Bacterium (NFB) GXGL-4A Regulates Cucumber Rhizosphere Soil Microecology. Microorganisms, 13(2), 346. https://doi.org/10.3390/microorganisms13020346
 
         
                                                

 
       