Association of Longitudinal Oral Microbiome Activity and Pediatric Concussion Recovery
Abstract
1. Introduction
2. Materials and Methods
3. Results
3.1. Participants
3.2. Concussion Symptoms
3.3. PPCS Versus Non-PPCS Participants
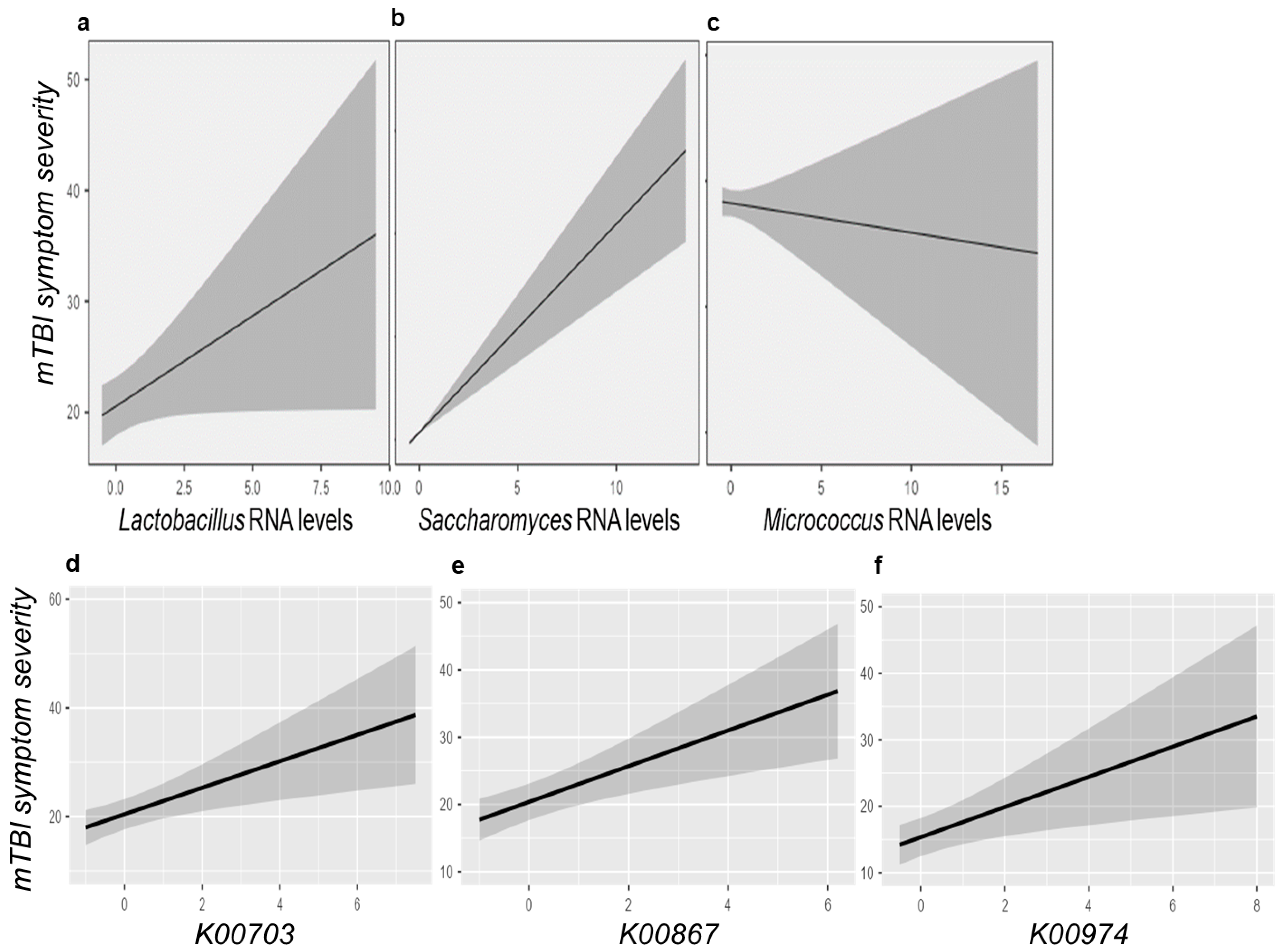
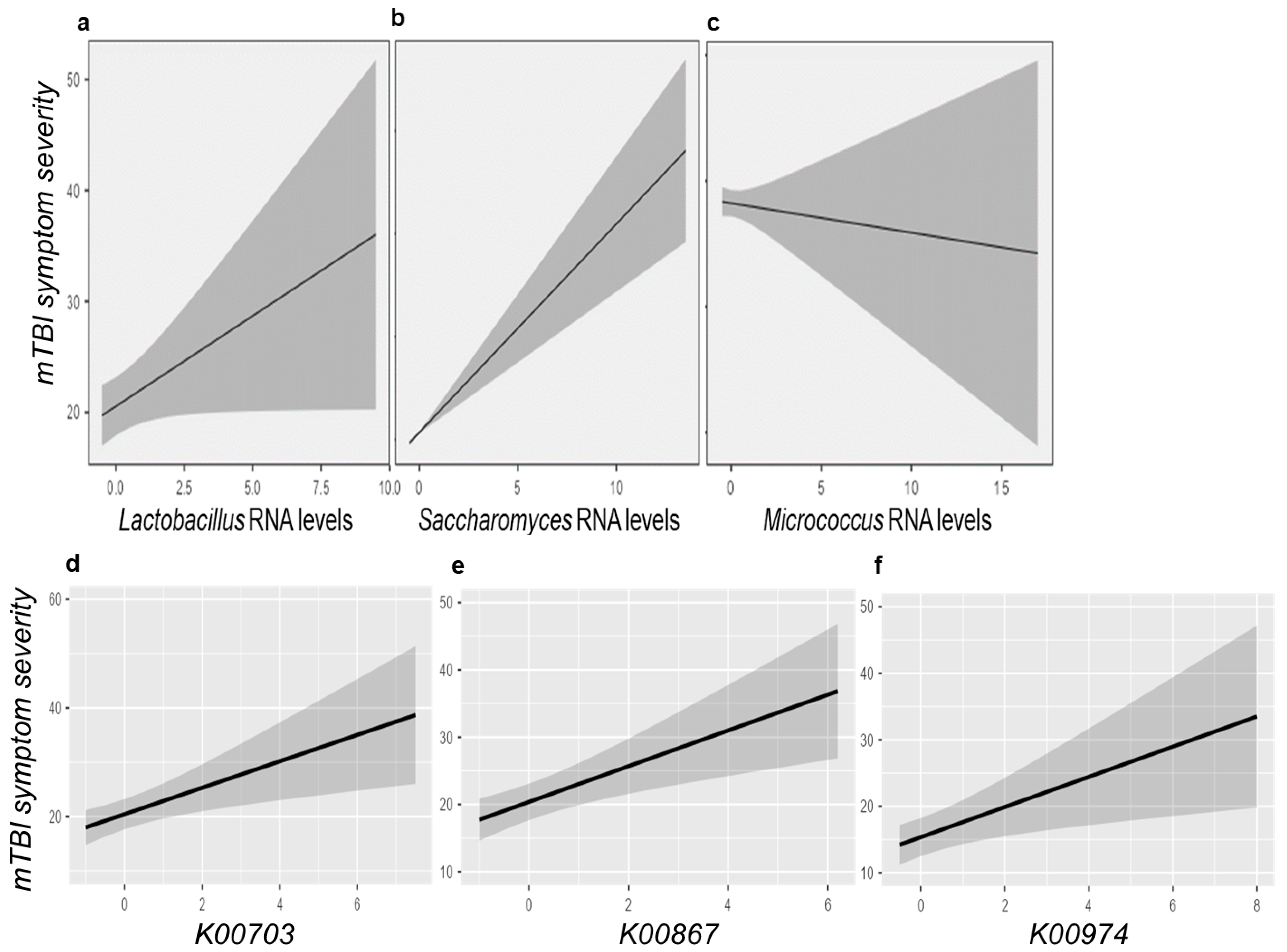
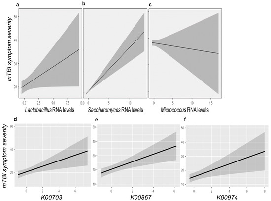
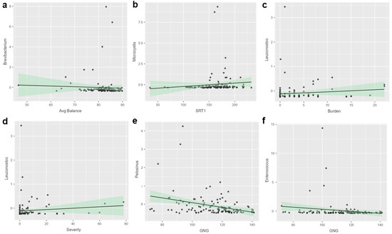
3.4. Microbial Activity—Associations with PPCSs, Balance, and Neurocognition
3.5. Microbial Activity and Longitudinal Symptom Trajectories
4. Discussion
5. Conclusions
Supplementary Materials
Author Contributions
Funding
Data Availability Statement
Acknowledgments
Conflicts of Interest
References
- Traumatic Brain Injury (TBI)|National Institute of Neurological Disorders and Stroke. Available online: https://www.ninds.nih.gov/health-information/disorders/traumatic-brain-injury-tbi (accessed on 19 December 2024).
- CDC. About Mild TBI and Concussion. Traumatic Brain Injury & Concussion. Available online: https://www.cdc.gov/traumatic-brain-injury/about/index.html (accessed on 19 December 2024).
- Patel, H.; Polam, S.; Joseph, R. Concussions: A Review of Physiological Changes and Long-Term Sequelae. Cureus 2024, 16, e54375. [Google Scholar] [CrossRef] [PubMed]
- Giza, C.; Greco, T.; Prins, M.L. Concussion: Pathophysiology and Clinical Translation. Handb. Clin. Neurol. 2018, 158, 51–61. [Google Scholar] [CrossRef] [PubMed]
- Shreiner, A.B.; Kao, J.Y.; Young, V.B. The Gut Microbiome in Health and in Disease. Curr. Opin. Gastroenterol. 2015, 31, 69–75. [Google Scholar] [CrossRef] [PubMed]
- Roy Sarkar, S.; Banerjee, S. Gut Microbiota in Neurodegenerative Disorders. J. Neuroimmunol. 2019, 328, 98–104. [Google Scholar] [CrossRef] [PubMed]
- Bowland, G.B.; Weyrich, L.S. The oral-microbiome-brain axis and neuropsychiatric disorders: An anthropological perspective. Front. Psychiatry 2022, 30, 810008. [Google Scholar] [CrossRef] [PubMed]
- Sansores-España, L.D.; Melgar-Rodríguez, S.; Olivares-Sagredo, K.; Cafferata, E.A.; Martínez-Aguilar, V.M.; Vernal, R.; Paula-Lima, A.C.; Díaz-Zúñiga, J. Oral-gut-brain axis in experimental models of periodontitis: Associating gut dysbiosis with neurodegenerative diseases. Front. Aging 2021, 10, 781582. [Google Scholar] [CrossRef] [PubMed]
- Narengaowa Kong, W.; Lan, F.; Awan, U.F.; Qing, H.; Ni, J. The oral-gut-brain AXIS: The influence of microbes in Alzheimer’s disease. Front. Cell. Neurosci. 2021, 14, 633735. [Google Scholar] [CrossRef] [PubMed]
- Malan-Müller, S.; Vidal, R.; O’Shea, E.; Montero, E.; Figuero, E.; Zorrilla, I.; de Diego-Adeliño, J.; Cano, M.; García-Portilla, M.P.; González-Pinto, A.; et al. Probing the oral-brain connection: Oral microbiome patterns in a large community cohort with anxiety, depression, and trauma symptoms, and periodontal outcomes. Transl. Psychiatry 2024, 14, 419. [Google Scholar] [CrossRef]
- Paudel, D.; Uehara, O.; Giri, S.; Yoshida, K.; Morikawa, T.; Kitagawa, T.; Matsuoka, H.; Miura, H.; Toyofuku, A.; Kuramitsu, Y.; et al. Effect of psychological stress on the oral-gut microbiota and the potential oral-gut-brain axis. Jpn. Dent. Sci. Rev. 2022, 1, 365–375. [Google Scholar] [CrossRef] [PubMed]
- Park, J.C.; Im, S.-H. The Gut-Immune-Brain Axis in Neurodevelopment and Neurological Disorders. Microbiome Res. Rep. 2022, 1, 23. [Google Scholar] [CrossRef]
- Pathare, N.; Sushilkumar, S.; Haley, L.; Jain, S.; Osier, N.N. The Impact of Traumatic Brain Injury on Microbiome Composition: A Systematic Review. Biol. Res. Nurs. 2020, 22, 495–505. [Google Scholar] [CrossRef]
- Soriano, S.; Curry, K.; Sadrameli, S.S.; Wang, Q.; Nute, M.; Reeves, E.; Kabir, R.; Wiese, J.; Criswell, A.; Schodrof, S.; et al. Alterations to the Gut Microbiome after Sport-Related Concussion in a Collegiate Football Players Cohort: A Pilot Study. Brain Behav. Immun. Health 2022, 21, 100438. [Google Scholar] [CrossRef] [PubMed]
- Urban, R.J.; Pyles, R.B.; Stewart, C.J.; Ajami, N.; Randolph, K.M.; Durham, W.J.; Danesi, C.P.; Dillon, E.L.; Summons, J.R.; Singh, C.K.; et al. Altered Fecal Microbiome Years after Traumatic Brain Injury. J. Neurotrauma 2020, 37, 1037–1051. [Google Scholar] [CrossRef] [PubMed]
- Aghakhani, N. Relationship between Mild Traumatic Brain Injury and the Gut Microbiome: A Scoping Review. J. Neurosci. Res. 2022, 100, 827–834. [Google Scholar] [CrossRef]
- Yuen, K.C.J.; Masel, B.E.; Reifschneider, K.L.; Sheffield-Moore, M.; Urban, R.J.; Pyles, R.B. Alterations of the GH/IGF-I Axis and Gut Microbiome after Traumatic Brain Injury: A New Clinical Syndrome? J. Clin. Endocrinol. Metab. 2020, 105, E3054–E3064. [Google Scholar] [CrossRef] [PubMed]
- IRB#1271583; Molecular and Functional Biomarkers in mild traumatic brain injury. Western IRB: Princeton, NJ, USA, 2019.
- NCT02901821; Predicting Concussion Outcomes with Salivary MiRNA. ClinicalTrials.gov: Hershey, PA, USA, 2016.
- McCrory, P.; Meeuwisse, W.; Dvořák, J.; Aubry, M.; Bailes, J.; Broglio, S.; Cantu, R.C.; Cassidy, D.; Echemendia, R.J.; Castellani, R.J.; et al. Consensus Statement on Concussion in Sport-the 5th International Conference on Concussion in Sport Held in Berlin, October 2016. Br. J. Sports Med. 2017, 51, 838–847. [Google Scholar] [CrossRef] [PubMed]
- Hicks, S.D.; Onks, C.; Kim, R.Y.; Zhen, K.J.; Loeffert, J.; Loeffert, A.C.; Olympia, R.P.; Fedorchak, G.; DeVita, S.; Rangnekar, A.; et al. Diagnosing Mild Traumatic Brain Injury Using Saliva RNA Compared to Cognitive and Balance Testing. Clin. Transl. Med. 2020, 10, e197. [Google Scholar] [CrossRef] [PubMed]
- Garden, N.; Sullivan, K.A. An Examination of the Base Rates of Post-Concussion Symptoms: The Influence of Demographics and Depression. Appl. Neuropsychol. 2010, 17, 1–7. [Google Scholar] [CrossRef]
- Barlow, K.M.; Crawford, S.; Stevenson, A.; Sandhu, S.S.; Belanger, F.; Dewey, D. Epidemiology of Postconcussion Syndrome in Pediatric Mild Traumatic Brain Injury. Pediatrics 2010, 126, e374–e381. [Google Scholar] [CrossRef] [PubMed]
- Lovell, M.R.; Iverson, G.L.; Collins, M.W.; Podell, K.; Johnston, K.M.; Pardini, D.; Pardini, J.; Norwig, J.; Maroon, J.C. Measurement of Symptoms Following Sports-Related Concussion: Reliability and Normative Data for the Post-Concussion Scale. Appl. Neuropsychol. 2006, 13, 166–174. [Google Scholar] [CrossRef]
- LaRocca, D.; Barns, S.; Hicks, S.D.; Brindle, A.; Williams, J.; Uhlig, R.; Johnson, P.; Neville, C.; Middleton, F.A. Comparison of Serum and Saliva miRNAs for Identification and Characterization of mTBI in Adult Mixed Martial Arts Fighters. PLoS ONE 2019, 14, e0207785. [Google Scholar] [CrossRef] [PubMed]
- Lu, Y.; Zhou, G.; Ewald, J.; Pang, Z.; Shiri, T.; Xia, J. MicrobiomeAnalyst 2.0: Comprehensive statistical, functional and integrative analysis of microbiome data. Nucleic Acids Res. 2023, 51, W310–W318. [Google Scholar] [CrossRef]
- Pang, Z.; Lu, Y.; Zhou, G.; Hui, F.; Xu, L.; Viau, C.; Spigelman, A.F.; MacDonald, P.E.; Wishart, D.S.; Li, S.; et al. MetaboAnalyst 6.0: Towards a Unified Platform for Metabolomics Data Processing, Analysis and Interpretation. Nucleic Acids Res. 2024, 52, W398–W406. [Google Scholar] [CrossRef]
- Yatsunenko, T.; Rey, F.E.; Manary, M.J.; Trehan, I.; Dominguez-Bello, M.G.; Contreras, M.; Magris, M.; Hidalgo, G.; Baldassano, R.N.; Anokhin, A.P.; et al. Human gut microbiome viewed across age and geography. Nature 2012, 14, 222–227. [Google Scholar] [CrossRef]
- Choi, Y.H.; Kim, S.H.; Yu, Y.; Lee, S.Y.; Jung, Y.J.; Kim, M.S.; Na, H.S. Oral Microbiota Change in Intubated Patients under Mechanical Ventilation. J. Bacteriol. Virol. 2021, 51, 163–171. [Google Scholar] [CrossRef]
- Maki, K.A.; Kazmi, N.; Barb, J.J.; Ames, N. The oral and gut bacterial microbiomes: Similarities, differences, and connections. Bio Res. Nurs. 2021, 23, 7–20. [Google Scholar] [CrossRef] [PubMed]
- Rocha-Ramírez, L.M.; Pérez-Solano, R.A.; Castañón-Alonso, S.L.; Moreno Guerrero, S.S.; Ramírez Pacheco, A.; García Garibay, M.; Eslava, C. Probiotic Lactobacillus Strains Stimulate the Inflammatory Response and Activate Human Macrophages. J. Immunol. Res. 2017, 2017, 4607491. [Google Scholar] [CrossRef]
- Rostami, H.; Hamedi, H.; Yolmeh, M. Some Biological Activities of Pigments Extracted from Micrococcus Roseus (PTCC 1411) and Rhodotorula Glutinis (PTCC 5257). Int. J. Immunopathol. Pharmacol. 2016, 29, 684–695. [Google Scholar] [CrossRef]
- Bharti, R.; Grimm, D.G. Current challenges and best-practice protocols for microbiome analysis. Brief. Bioinform. 2021, 22, 178–193. [Google Scholar] [CrossRef]




| Characteristic | All (N = 118) | PPCS (n = 30) | Non-PPCS (n = 88) |
|---|---|---|---|
| Age, yrs mean (SD) | 16.4 (3.4) | 14.8 (3.5) | 16.9 (3.2) |
| Sex, male, n (%) | 69 (58.5) | 14 (46.7) | 55 (62.5) |
| Ethnicity, non-Hispanic, n (%) | 35 (92.1) 1 | 5 (83.3) | 30 (93.7) |
| Race, White, n (%) | 55 (57.6) | 13 (43.3) | 42 (47.7) |
| Dietary restriction, n (%) | 17 (14.4) | 5 (16.6) | 12 (13.6) |
| BMI, kg/m2 mean (SD) | 24.2 (5.8) | 22.4 (5.9) | 24.8 (5.7) |
| Prior concussion, n (%) | 42 (35.5) | 12 (40.0) | 30 (34.1) |
| Sport-related concussion, n (%) | 90 (76.2) | 13 (43.3) | 77 (87.5) |
| LOC, n (%) | 20 (16.9) | 8 (26.7) | 12 (13.6) |
| Amnesia, n (%) | 35 (29.7) | 15 (50.0) | 20 (22.7) |
Disclaimer/Publisher’s Note: The statements, opinions and data contained in all publications are solely those of the individual author(s) and contributor(s) and not of MDPI and/or the editor(s). MDPI and/or the editor(s) disclaim responsibility for any injury to people or property resulting from any ideas, methods, instructions or products referred to in the content. |
© 2025 by the authors. Licensee MDPI, Basel, Switzerland. This article is an open access article distributed under the terms and conditions of the Creative Commons Attribution (CC BY) license (https://creativecommons.org/licenses/by/4.0/).
Share and Cite
Ceasar, J.; Pugalenthi Saravanan, D.; Harding, B.A.; Hicks, S.D. Association of Longitudinal Oral Microbiome Activity and Pediatric Concussion Recovery. Microorganisms 2025, 13, 320. https://doi.org/10.3390/microorganisms13020320
Ceasar J, Pugalenthi Saravanan D, Harding BA, Hicks SD. Association of Longitudinal Oral Microbiome Activity and Pediatric Concussion Recovery. Microorganisms. 2025; 13(2):320. https://doi.org/10.3390/microorganisms13020320
Chicago/Turabian StyleCeasar, Justin, Deepika Pugalenthi Saravanan, Brennen A. Harding, and Steven D. Hicks. 2025. "Association of Longitudinal Oral Microbiome Activity and Pediatric Concussion Recovery" Microorganisms 13, no. 2: 320. https://doi.org/10.3390/microorganisms13020320
APA StyleCeasar, J., Pugalenthi Saravanan, D., Harding, B. A., & Hicks, S. D. (2025). Association of Longitudinal Oral Microbiome Activity and Pediatric Concussion Recovery. Microorganisms, 13(2), 320. https://doi.org/10.3390/microorganisms13020320

