QuantiFERON® Monitor Test as a Potential Tool for Stratifying Patients by Infection Risk and Tailoring Follow-Up Care in Lung Transplant Recipients: A Single-Center Retrospective Experience
Abstract
1. Introduction
2. Materials and Methods
2.1. Population and Characteristics
- -
- Inclusion criteria: patients undergoing single or bilateral lung transplantation with a follow-up of at least 18 months at enrollment;
- -
- Exclusion criteria: deceased patient, lung re-transplantation, functional or geographical limitation that hinders reaching the transplant center for carrying out the test and patients treated with a single immunosuppressant.
- (1)
- Group 1 (High Infection, HI) patients with a high number of infections (greater than 3);
- (2)
- Group 2 (Low Infection, LI) patients with a low number of infections (less than or equal to 3).
2.2. QuantiFERON Monitor® ELISA
2.3. Statistical Analysis
3. Results
3.1. Population
- -
- HI: patients with more than three infections (six patients);
- -
- LI: patients with three or fewer infections (nine patients).
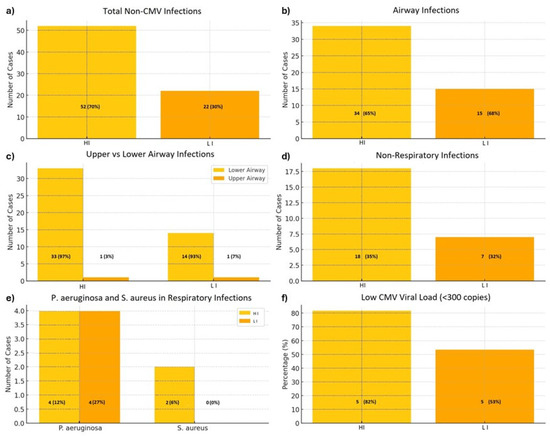
3.2. Comparison Between Groups Excluding CMV Infection
3.3. Comparison Between Groups at the Follow-Up
3.4. Correlation Analysis of QuantiFERON Monitor Value
4. Discussion
5. Conclusions
Author Contributions
Funding
Institutional Review Board Statement
Informed Consent Statement
Data Availability Statement
Conflicts of Interest
References
- Meyer, K.C. Recent advances in lung transplantation. F1000Research 2018, 7, 1684. [Google Scholar] [CrossRef]
- Solidoro, P.; Patrucco, F.; Bonato, R.; Boffini, M.; Libertucci, D.; Ricci, D.; Allara, E.; Rinaldi, M.; Bucca, C. Pulmonary Hypertension in Chronic Obstructive Pulmonary Disease and Pulmonary Fibrosis: Prevalence and Hemodynamic Differences in Lung Transplant Recipients at Transplant Center’s Referral Time. Transplant. Proc. 2015, 47, 2161–2165. [Google Scholar] [CrossRef] [PubMed]
- Cochrane, A.B.; Lyster, H.; Lindenfeld, J.; Doligalski, C.; Baran, D.; Yost, C.; Shullo, M.; Schweiger, M.; Weill, D.; Stuckey, L. Report from the 2018 consensus conference on immunomodulating agents in thoracic transplantation: Access, formulations, generics, therapeutic drug monitoring, and special populations. J. Heart Lung Transplant. 2020, 39, 1050–1069. [Google Scholar] [CrossRef]
- Hachem, R.R.; Edwards, L.B.; Yusen, R.D.; Chakinala, M.M.; Alexander Patterson, G.; Trulock, E.P. The impact of induction on survival after lung transplantation: An analysis of the International Society for Heart and Lung Transplantation Registry. Clin. Transplant. 2008, 22, 603–608. [Google Scholar] [CrossRef] [PubMed]
- Small, B.; Au, J.; Brink, H.; Shah, I.; Strah, H. Induction and maintenance immunosuppression in lung transplantation. Indian J. Thorac. Cardiovasc. Surg. 2022, 38, 300–317. [Google Scholar] [CrossRef] [PubMed]
- Turkkan, S.; Basaran, F.C.; Sahin, M.F.; Beyoglu, M.A.; Yilmaz, E.; Ozay, H.Y.; Bindal, M.; Yazicioglu, A.; Yekeler, E. Everolimus Use in Lung Transplant Recipients. Transplant. Proc. 2022, 54, 2317–2324. [Google Scholar] [CrossRef] [PubMed]
- Patrucco, F.; Allara, E.; Boffini, M.; Rinaldi, M.; Costa, C.; Albera, C.; Solidoro, P. Twelve-month effects of everolimus on renal and lung function in lung transplantation: Differences in chronic lung allograft dysfunction phenotypes. Ther. Adv. Chronic Dis. 2021, 12, 2040622321993441. [Google Scholar] [CrossRef] [PubMed]
- Costa, C.; Astegiano, S.; Terlizzi, M.E.; Sidoti, F.; Curtoni, A.; Solidoro, P.; Baldi, S.; Bergallo, M.; Cavallo, R. Evaluation and significance of cytomegalovirus-specific cellular immune response in lung transplant recipients. Transplant. Proc. 2011, 43, 1159–1161. [Google Scholar] [CrossRef]
- Solidoro, P.; Patrucco, F.; Libertucci, D.; Verri, G.; Sidoti, F.; Curtoni, A.; Boffini, M.; Simonato, E.; Rinaldi, M.; Cavallo, R.; et al. Tailored combined cytomegalovirus management in lung transplantation: A retrospective analysis. Ther. Adv. Respir. Dis. 2019, 13, 1753466619878555. [Google Scholar] [CrossRef] [PubMed]
- Solidoro, P.; Patrucco, F.; Boffini, M.; Rinaldi, M.; Airoldi, C.; Costa, C.; Cavallo, R.; Albera, C. Cellular and humoral cytomegalovirus immunity changes in one-year combined prophylaxis after lung transplantation: Suggestions from and for clinical practice. Ther. Adv. Respir. Dis. 2020, 14, 1753466620981851. [Google Scholar] [CrossRef]
- Greveson, K. Can ELISpot replace the tuberculin skin test for latent tuberculosis? Br. J. Nurs. 2009, 18, 1248–1254. [Google Scholar] [CrossRef] [PubMed]
- Hill, P.C.; Brookes, R.H.; Fox, A.; Jackson-Sillah, D.; Jeffries, D.J.; Lugos, M.D.; Donkor, S.A.; Adetifa, I.M.; de Jong, B.C.; Aiken, A.M.; et al. Longitudinal assessment of an ELISPOT test for Mycobacterium tuberculosis infection. PLoS Med. 2007, 4, e192. [Google Scholar] [CrossRef] [PubMed]
- Gutierrez, J.; Kroon, E.E.; Möller, M.; Stein, C.M. Phenotype Definition for “Resisters” to Mycobacterium tuberculosis Infection in the Literature-A Review and Recommendations. Front. Immunol. 2021, 12, 619988. [Google Scholar] [CrossRef] [PubMed]
- Rittà, M.; Costa, C.; Sinesi, F.; Sidoti, F.; Di Nauta, A.; Mantovani, S.; Piceghello, A.; Simeone, S.; Ricci, D.; Boffini, M.; et al. Evaluation of Epstein-Barr virus-specific immunologic response in solid organ transplant recipients with an enzyme-linked ImmunoSpot assay. Transplant. Proc. 2013, 45, 2754–2757. [Google Scholar] [CrossRef] [PubMed]
- Costa, C.; Di Nauta, A.; Rittà, M.; Sinesi, F.; Bianco, G.; Sidoti, F.; Solidoro., P.; Cavallo, R. Development of an EliSPOT assay for HSV-1 and clinical validation in lung transplant patients. New Microbiol. 2017, 40, 251–257. [Google Scholar] [PubMed]
- Fallahzadeh, M.; Pourhoseingholi, M.A.; Boroujeni, M.G.; Besharati, S.; Mardani, M.; Shabani, M.; Shokouhi, S.; Amirdosara, M.; Hajiesmaeili, M.; Gachkar, L.; et al. Study of the effects of interferon β-1a on hospitalized patients with COVID-19: SBMU Taskforce on the COVIFERON study. J. Med. Virol. 2022, 94, 1488–1493. [Google Scholar] [CrossRef] [PubMed]
- Alavi Darazam, I.; Shokouhi, S.; Pourhoseingholi, M.A.; Naghibi Irvani, S.S.; Mokhtari, M.; Shabani, M.; Amirdosara, M.; Torabinavid, P.; Golmohammadi, M.; Hashemi, S.; et al. Role of interferon therapy in severe COVID-19: The COVIFERON randomized controlled trial. Sci. Rep. 2021, 11, 8059. [Google Scholar] [CrossRef] [PubMed]
- Florescu, D.F.; Kalil, A.C.; Qiu, F.; Schmidt, C.M.; Sandkovsky, U. What is the impact of hypogammaglobulinemia on the rate of infections and survival in solid organ transplantation? A meta-analysis. Am. J. Transplant. 2013, 13, 2601–2610. [Google Scholar] [CrossRef] [PubMed]
- Ballow, M. Primary immunodeficiency disorders: Antibody deficiency. J. Allergy Clin. Immunol. 2002, 109, 581–591. [Google Scholar] [CrossRef]
- Fernández-Ruiz, M.; López-Medrano, F.; Varela-Peña, P.; Morales, J.M.; García-Reyne, A.; San Juan, R.; Lumbreras, C.; Lora-Pablos, D.; Polanco, N.; Paz-Artal, E.; et al. Hypocomplementemia in kidney transplant recipients: Impact on the risk of infectious complications. Am. J. Transplant. 2013, 13, 685–694. [Google Scholar] [CrossRef]
- Calarota, S.A.; Zelini, P.; De Silvestri, A.; Chiesa, A.; Comolli, G.; Sarchi, E.; Migotto, C.; Esposito, P.; Minoli, L.; Tinelli, C.; et al. Kinetics of T-lymphocyte subsets and posttransplant opportunistic infections in heart and kidney transplant recipients. Transplantation 2012, 93, 112–119. [Google Scholar] [CrossRef]
- Brunot, V.; Pernin, V.; Chartier, C.; Garrigue, V.; Vetromile, F.; Szwarc, I.; Delmas, S.; Portalès, P.; Basset, D.; Mourad, G. An epidemic of Pneumocystis jiroveci pneumonia in a renal transplantation center: Role of T-cell lymphopenia. Transplant. Proc. 2012, 44, 2818–2820. [Google Scholar] [CrossRef]
- Sottong, P.R.; Rosebrock, J.A.; Britz, J.A.; Kramer, T.R. Measurement of T-lymphocyte responses in whole-blood cultures using newly synthesized DNA and ATP. Clin. Diagn. Lab. Immunol. 2000, 7, 307–311. [Google Scholar] [CrossRef] [PubMed][Green Version]
- Ling, X.; Xiong, J.; Liang, W.; Schroder, P.M.; Wu, L.; Ju, W.; Kong, Y.; Shang, Y.; Guo, Z.; He, X. Can immune cell function assay identify patients at risk of infection or rejection? A meta-analysis. Transplantation 2012, 93, 737–743. [Google Scholar] [CrossRef]
- QuantiFERON Monitor Package Insert. Rev.01. November 2014. Available online: https://www.qiagen.com/gb/products/diagnostics-and-clinical-research/transplant/quantiferon-transplant/quantiferon-monitor-assay-ce (accessed on 13 January 2025).
- Mian, M.; Natori, Y.; Ferreira, V.; Selzner, N.; Husain, S.; Singer, L.; Kim, S.J.; Humar, A.; Kumar, D. Evaluation of a Novel Global Immunity Assay to Predict Infection in Organ Transplant Recipients. Clin. Infect. Dis. 2018, 66, 1392–1397. [Google Scholar] [CrossRef] [PubMed]
- Sood, S.; Cundall, D.; Yu, L.; Miyamasu, M.; Boyle, J.S.; Ong, S.Y.; Gow, P.J.; Jones, R.M.; Angus, P.W.; Visvanathan, K.; et al. A novel biomarker of immune function and initial experience in a transplant population. Transplantation 2014, 97, e50–e51. [Google Scholar] [CrossRef]
- Douglas, A.P.; Yu, L.; Sundararajan, V.; Szer, J.; Ritchie, D.; Slavin, M.A.; Sasadeusz, J.; Visvanathan, K. The QuantiFERON Monitor® assay is predictive of infection post allogeneic hematopoietic cell transplantation. Transpl. Infect. Dis. 2020, 22, e13260. [Google Scholar] [CrossRef] [PubMed]
- Gardiner, B.J.; Lee, S.J.; Cristiano, Y.; Levvey, B.J.; Sullivan, L.C.; Snell, G.I.; Peleg, A.Y.; Westall, G.P. Evaluation of Quantiferon®-Monitor as a biomarker of immunosuppression and predictor of infection in lung transplant recipients. Transpl. Infect. Dis. 2021, 23, e13550. [Google Scholar] [CrossRef]
- Potena, L.; Righini, L.; Manfredini, V.; Borgese, L.; Sgreccia, D.; Chiereghin, A.; Piccirilli, G.; Masetti, M.; Lazzarotto, T.; Grigioni, F. Quantiferon Monitor: A Novel Assay for Prediction of Infectious Risk in Heart Transplant Recipients. J. Heart Lung Transplant. 2016, 35, S106. [Google Scholar] [CrossRef][Green Version]
- Sood, S.; Yu, L.; Visvanathan, K.; Angus, P.W.; Gow, P.J.; Testro, A.G. Immune function biomarker QuantiFERON-monitor is associated with infection risk in cirrhotic patients. World J. Hepatol. 2016, 8, 1569–1575. [Google Scholar] [CrossRef] [PubMed]
- Solidoro, P.; Sciarrone, F.; Sidoti, F.; Patrucco, F.; Zanotto, E.; Boffini, M.; Rinaldo, R.F.; Bondi, A.; Albera, C.; Curtoni, A.; et al. QuantiFERON CMV Test and CMV Serostatus in Lung Transplant: Stratification Risk for Infection, Chronic and Acute Allograft Rejection. Viruses 2024, 16, 1251. [Google Scholar] [CrossRef]
- Yoon, E.; Shin, S.; Choi, S.; Jang, J.H.; Kim, K.; Kim, S.J.; Kim, W.S.; Jung, C.W.; Kang, E.S. QuantiFERON monitor predicts early cytomegalovirus infection and viral burden in allogeneic hematopoietic stem cell transplantation. Transpl. Infect. Dis. 2024, 26, e14328. [Google Scholar] [CrossRef] [PubMed]
- Luo, Y.; Xue, Y.; Liu, W.; Song, H.; Huang, Y.; Tang, G.; Wang, X.; Cai, Y.; Wang, F.; Guo, X.; et al. Convolutional neural network based on T-SPOT.TB assay promoting the discrimination between active tuberculosis and latent tuberculosis infection. Diagn. Microbiol. Infect. Dis. 2023, 105, 115892. [Google Scholar] [CrossRef] [PubMed]
- Abidin, Z.U.; Naqvi, R.A.; Haider, A.; Kim, H.S.; Jeong, D.; Lee, S.W. Recent deep learning-based brain tumor segmentation models using multi-modality magnetic resonance imaging: A prospective survey. Front. Bioeng. Biotechnol. 2024, 12, 1392807. [Google Scholar] [CrossRef] [PubMed] [PubMed Central]




| Population | HI | LI | p < 0.05 |
|---|---|---|---|
| Number of patients | 6 | 9 | / |
| Age (years, ± SD) | 48.67 ± 3.00 | 51.44 ± 4.48 | 0.654 |
| Sex (Females: n, %) | 5 (83.3%) | 2 (22.2%) | 0.04 |
| Kind of transplant: Single Bilateral | 0 (0%)6 (100%) | 1 (11.1%)8 (88.9%) | 0.435 |
| Transplant for IPF | 1 (16.7%) | 2 (22.2%) | 1.00 |
| Transplant for NSIP | 1 (16.7%) | 1 (11.1%) | 1.00 |
| Transplant for CF | 0 (0%) | 2 (22.2%) | 0.485 |
| Transplant for COPD | 0 (0%) | 3 (33.3%) | 0.228 |
| Transplant for AAT deficiency | 0 (0%) | 0 (0%) | 1.00 |
| Transplant for PH | 1 (16.7%) | 0 (0%) | 0.400 |
| Transplantation for other causes | 3 (50%) | 1 (11.1%) | 0.235 |
| Average total number of infections | 8.66 ± 0.88 | 2.44 ± 0.72 | p < 0.001 |
| Immunosuppressor 1 | |||
| Cyclosporin | 4 (66.7%) | 4 (44.4%) | 0.608 |
| Tacrolimus | 2 (33.3%) | 5 (55.6%) | 0.608 |
| Immunosuppressor 2 | |||
| Mycophenolate Mofetil | 3 (50%) | 7 (77.8%) | 0.328 |
| Mycophenolate Sodium | 3 (50%) | 2 (22.2%) | 0.328 |
Disclaimer/Publisher’s Note: The statements, opinions and data contained in all publications are solely those of the individual author(s) and contributor(s) and not of MDPI and/or the editor(s). MDPI and/or the editor(s) disclaim responsibility for any injury to people or property resulting from any ideas, methods, instructions or products referred to in the content. |
© 2025 by the authors. Licensee MDPI, Basel, Switzerland. This article is an open access article distributed under the terms and conditions of the Creative Commons Attribution (CC BY) license (https://creativecommons.org/licenses/by/4.0/).
Share and Cite
Solidoro, P.; Curtoni, A.; Patrucco, F.; Russo, E.; Sidoti, F.; Piccinini, G.; Bondi, A.; Valesella, P.; Genco, M.; Boffini, M.; et al. QuantiFERON® Monitor Test as a Potential Tool for Stratifying Patients by Infection Risk and Tailoring Follow-Up Care in Lung Transplant Recipients: A Single-Center Retrospective Experience. Microorganisms 2025, 13, 316. https://doi.org/10.3390/microorganisms13020316
Solidoro P, Curtoni A, Patrucco F, Russo E, Sidoti F, Piccinini G, Bondi A, Valesella P, Genco M, Boffini M, et al. QuantiFERON® Monitor Test as a Potential Tool for Stratifying Patients by Infection Risk and Tailoring Follow-Up Care in Lung Transplant Recipients: A Single-Center Retrospective Experience. Microorganisms. 2025; 13(2):316. https://doi.org/10.3390/microorganisms13020316
Chicago/Turabian StyleSolidoro, Paolo, Antonio Curtoni, Filippo Patrucco, Eleonora Russo, Francesca Sidoti, Giorgia Piccinini, Alessandro Bondi, Paolo Valesella, Mattia Genco, Massimo Boffini, and et al. 2025. "QuantiFERON® Monitor Test as a Potential Tool for Stratifying Patients by Infection Risk and Tailoring Follow-Up Care in Lung Transplant Recipients: A Single-Center Retrospective Experience" Microorganisms 13, no. 2: 316. https://doi.org/10.3390/microorganisms13020316
APA StyleSolidoro, P., Curtoni, A., Patrucco, F., Russo, E., Sidoti, F., Piccinini, G., Bondi, A., Valesella, P., Genco, M., Boffini, M., Rinaldo, R. F., & Costa, C. (2025). QuantiFERON® Monitor Test as a Potential Tool for Stratifying Patients by Infection Risk and Tailoring Follow-Up Care in Lung Transplant Recipients: A Single-Center Retrospective Experience. Microorganisms, 13(2), 316. https://doi.org/10.3390/microorganisms13020316

