Identification and Functional Analysis of Novel Long Intergenic RNA in Chicken Macrophages Infected with Avian Pathogenic Escherichia coli
Abstract
1. Introduction
2. Materials and Methods
2.1. Ethical Statement
2.2. Cell Culture and APEC Infection
2.3. RT-qPCR Experiment
2.4. Bioinformatics Analysis of lincRNA-73240
2.5. Collection of Different Tissues from Chickens
2.6. Subcellular Localization of lincRNA-73240
2.7. Construction of the lincRNA-73240 Overexpression Vector and Cell Transfection
2.8. Reactive Oxygen Species (ROS), Malondialdehyde (MDA), Cell Viability, and Nitric Oxide (NO) Production Assay
2.9. Statistical Analysis
3. Results
3.1. lincRNA-73240 Expression Levels during APEC Infection
3.2. Molecular Characterization of lincRNA-73240 and lincRNA-73240–miRNA–mRNA Networks
3.3. Expression Characteristics and Subcellular Localization of Chicken lincRNA-73240
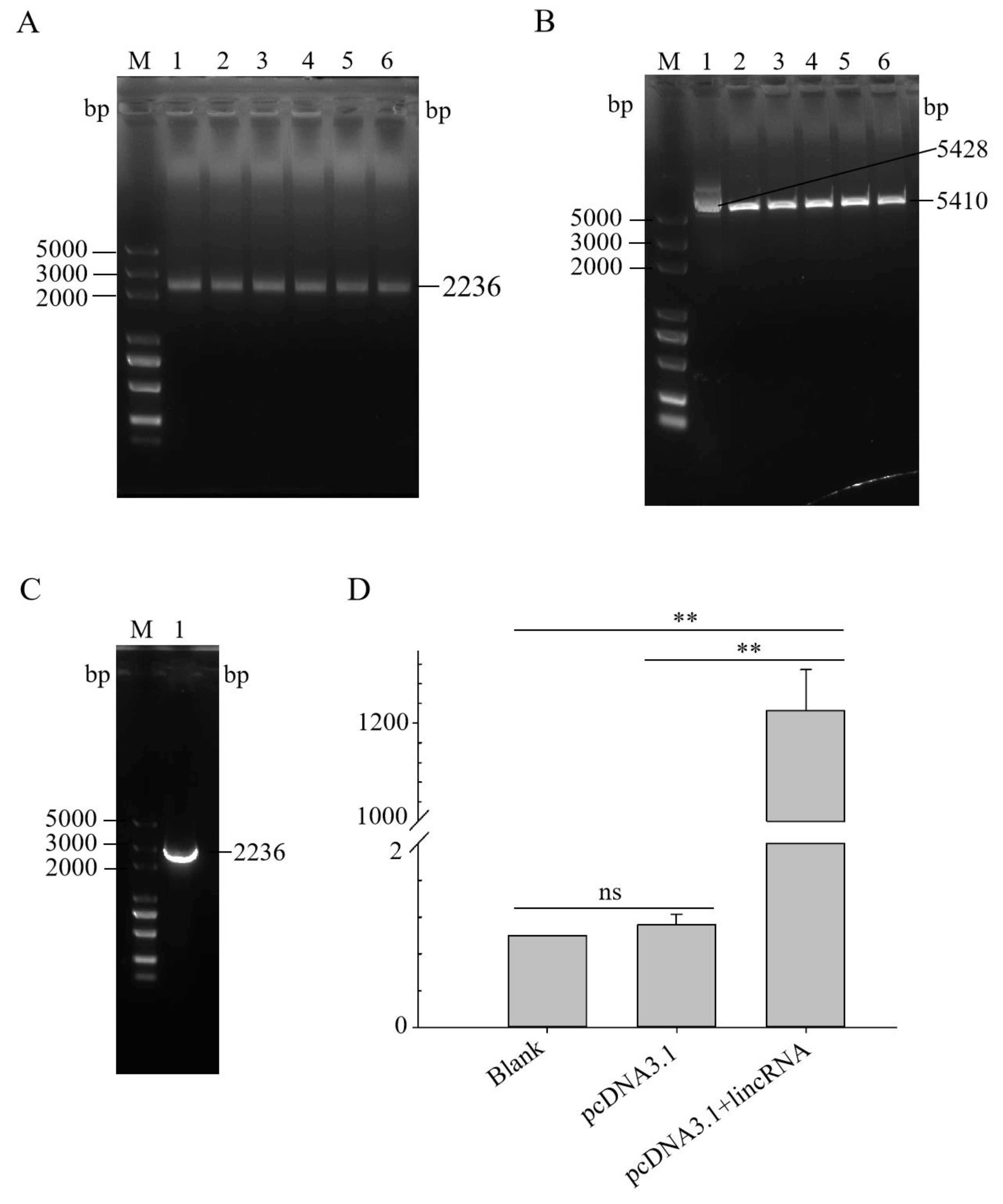
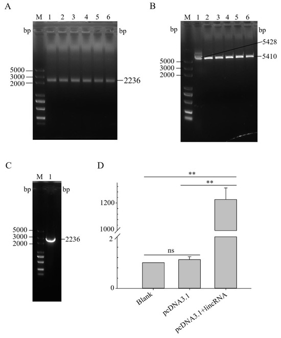
3.4. Construction of lincRNA-73240 Overexpression Vector
3.5. Overexpression of lincRNA-73240 Increased the Expression of Inflammatory Cytokines, NFκB, NLRP3, IFNα, and IFNβ with or without APEC Infection
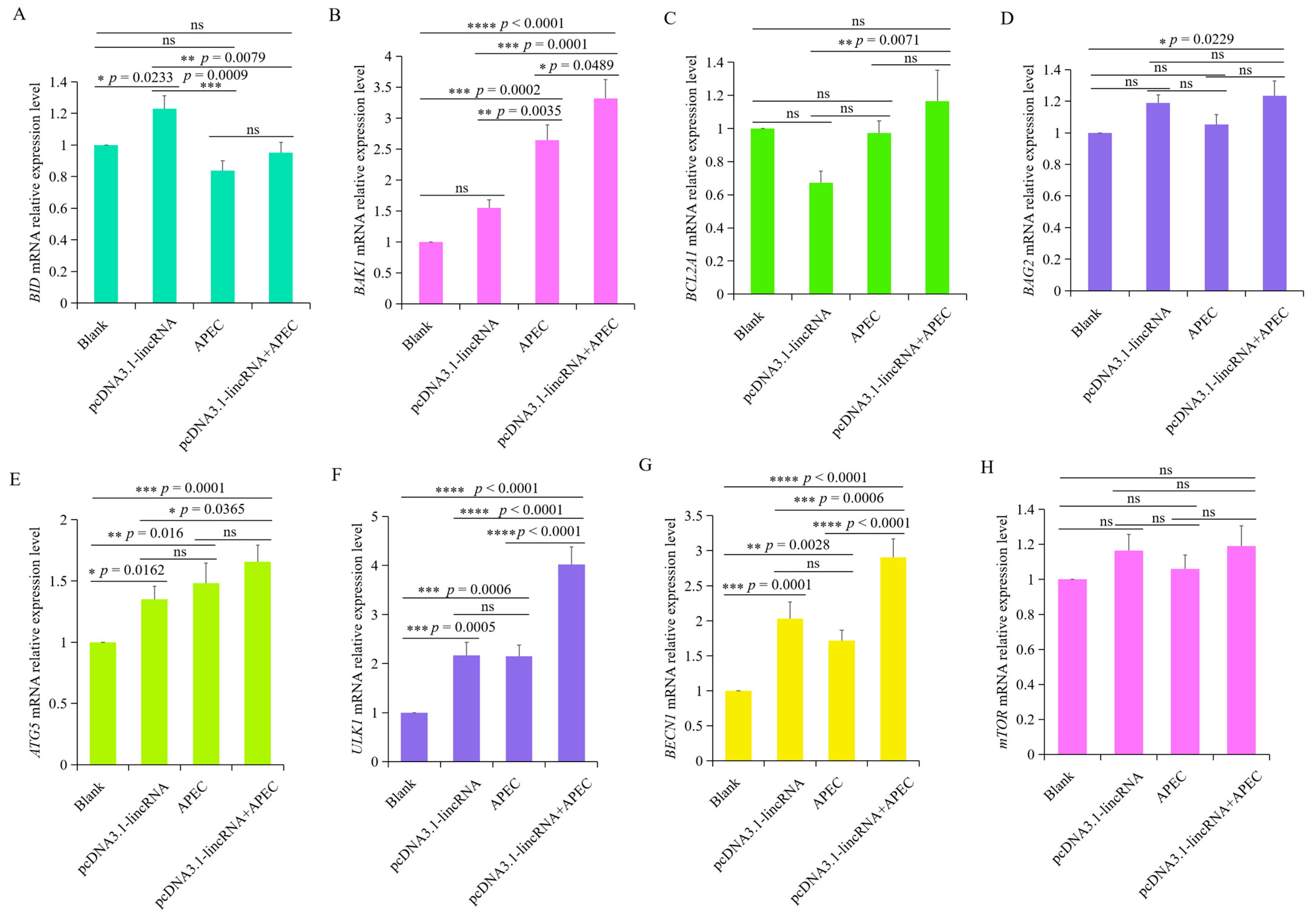
3.6. Overexpression of lincRNA-73240 Affected the Expression of Apoptosis and Autophagy-Related Genes with or without APEC Infection
3.7. Effects of lincRNA-73240 on Oxidation Stress Indicators in Chicken HD11 Macrophages upon APEC Infection
3.8. Overexpression of lincRNA-73240 Decreased Cell Viability and Increased NO Production during APEC Infection
4. Discussion
5. Conclusions
Supplementary Materials
Author Contributions
Funding
Data Availability Statement
Conflicts of Interest
References
- Nolan, L.K.; Barnes, H.J.; Vaillancourt, J.-P.; Abdul-Aziz, T.; Logue, C.M. Colibacillosis. In Diseases of Poultry; John Wiley & Sons, Inc.: Hoboken, NJ, USA, 2013; pp. 751–805. [Google Scholar]
- Guabiraba, R.; Schouler, C. Avian Colibacillosis: Still Many Black Holes. FEMS Microbiol. Lett. 2015, 362, fnv118. [Google Scholar] [CrossRef] [PubMed]
- Johnson, T.J.; Logue, C.M.; Wannemuehler, Y.; Kariyawasam, S.; Doetkott, C.; DebRoy, C.; White, D.G.; Nolan, L.K. Examination of the Source and Extended Virulence Genotypes of Escherichia coli Contaminating Retail Poultry Meat. Foodborne Pathog. Dis. 2009, 6, 657–667. [Google Scholar] [CrossRef] [PubMed]
- Johnson, T.J.; Kariyawasam, S.; Wannemuehler, Y.; Mangiamele, P.; Johnson, S.J.; Doetkott, C.; Skyberg, J.A.; Lynne, A.M.; Johnson, J.R.; Nolan, L.K. The Genome Sequence of Avian Pathogenic Escherichia coli Strain O1: K1: H7 Shares Strong Similarities with Human Extraintestinal Pathogenic E. coli Genomes. J. Bacteriol. 2007, 189, 3228–3236. [Google Scholar] [CrossRef] [PubMed]
- Johnson, T.J.; Wannemuehler, Y.; Doetkott, C.; Johnson, S.J.; Rosenberger, S.C.; Nolan, L.K. Identification of Minimal Predictors of Avian Pathogenic Escherichia coli Virulence for Use as a Rapid Diagnostic Tool. J. Clin. Microbiol. 2008, 46, 3987–3996. [Google Scholar] [CrossRef]
- Lutful Kabir, S.M. Avian Colibacillosis and Salmonellosis: A Closer Look at Epidemiology, Pathogenesis, Diagnosis, Control and Public Health Concerns. Int. J. Environ. Res. Public Health 2010, 7, 89–114. [Google Scholar] [CrossRef] [PubMed]
- Mellata, M. Human and Avian Extraintestinal Pathogenic Escherichia coli: Infections, Zoonotic Risks, and Antibiotic Resistance Trends. Foodborne Pathog. Dis. 2013, 10, 916–932. [Google Scholar] [CrossRef] [PubMed]
- Dho-Moulin, M.; Fairbrother, J.M. Avian pathogenic Escherichia coli (APEC). Vet. Res. 1999, 30, 299–316. [Google Scholar]
- Ghunaim, H.; Abu-Madi, M.A.; Kariyawasam, S. Advances in Vaccination against Avian Pathogenic Escherichia coli Respiratory Disease: Potentials and Limitations. Vet. Microbiol. 2014, 172, 13–22. [Google Scholar] [CrossRef]
- Dou, X.; Gong, J.; Han, X.; Xu, M.; Shen, H.; Zhang, D.; Zhuang, L.; Liu, J.; Zou, J. Characterization of Avian Pathogenic Escherichia coli Isolated in Eastern China. Gene 2016, 576, 244–248. [Google Scholar] [CrossRef]
- Calenge, F.; Mignon-Grasteau, S.; Chanteloup, N.K.; Brée, A.; Lalmanach, A.C.; Schouler, C. Broiler Lines Divergently Selected for Digestive Efficiency Also Differ in Their Susceptibility to Colibacillosis. Avian Pathol. 2014, 43, 78–81. [Google Scholar] [CrossRef]
- Asselstine, V.; Medrano, J.F.; Muniz, M.M.M.; Mallard, B.A.; Karrow, N.A.; Cánovas, A. Novel LncRNA Regulatory Elements in Milk Somatic Cells of Holstein Dairy Cows Associated with Mastitis. Commun. Biol. 2024, 7, 98. [Google Scholar] [CrossRef] [PubMed]
- Peng, O.; Xia, Y.; Wei, Y.; Zeng, S.; Zou, C.; Hu, F.; Xu, Q.; Huang, Y.; Geng, R.; Hu, G.; et al. Integrative Transcriptomic Profiling of MRNA, MiRNA, CircRNA, and LncRNA in Alveolar Macrophages Isolated from PRRSV-Infected Porcine. Front. Immunol. 2023, 14, 1258778. [Google Scholar] [CrossRef] [PubMed]
- Vanamamalai, V.K.; Priyanka, E.; Kannaki, T.R.; Sharma, S. Integrated Analysis of Genes and Long Non-Coding RNAs in Trachea Transcriptome to Decipher the Host Response during Newcastle Disease Challenge in Different Breeds of Chicken. Int. J. Biol. Macromol. 2023, 253, 127183. [Google Scholar] [CrossRef] [PubMed]
- Khalil, A.M.; Guttman, M.; Huarte, M.; Garber, M.; Raj, A.; Rivea Morales, D.; Thomas, K.; Presser, A.; Bernstein, B.E.; van Oudenaarden, A.; et al. Many Human Large Intergenic Noncoding RNAs Associate with Chromatin-Modifying Complexes and Affect Gene Expression. Proc. Natl. Acad. Sci. USA 2009, 106, 11667–11672. [Google Scholar] [CrossRef] [PubMed]
- Sigova, A.A.; Mullen, A.C.; Molinie, B.; Gupta, S.; Orlando, D.A.; Guenther, M.G.; Almada, A.E.; Lin, C.; Sharp, P.A.; Giallourakis, C.C.; et al. Divergent Transcription of Long Noncoding RNA/MRNA Gene Pairs in Embryonic Stem Cells. Proc. Natl. Acad. Sci. USA 2013, 110, 2876–2881. [Google Scholar] [CrossRef] [PubMed]
- Ulitsky, I.; Shkumatava, A.; Jan, C.H.; Sive, H.; Bartel, D.P. Conserved Function of LincRNAs in Vertebrate Embryonic Development despite Rapid Sequence Evolution. Cell 2011, 147, 1537–1550. [Google Scholar] [CrossRef]
- Ren, J.; Li, Q.; Zhang, Q.; Clinton, M.; Sun, C.; Yang, N. Systematic Screening of Long Intergenic Noncoding RNAs Expressed during Chicken Embryogenesis. Poult. Sci. 2021, 100, 101160. [Google Scholar] [CrossRef] [PubMed]
- Mercer, T.R.; Mattick, J.S. Structure and Function of Long Noncoding RNAs in Epigenetic Regulation. Nat. Struct. Mol. Biol. 2013, 20, 300–307. [Google Scholar] [CrossRef] [PubMed]
- Young, R.S.; Marques, A.C.; Tibbit, C.; Haerty, W.; Bassett, A.R.; Liu, J.-L.; Ponting, C.P. Identification and Properties of 1,119 Candidate LincRNA Loci in the Drosophila Melanogaster Genome. Genome Biol. Evol. 2012, 4, 427–442. [Google Scholar] [CrossRef]
- Prensner, J.R.; Iyer, M.K.; Balbin, O.A.; Dhanasekaran, S.M.; Cao, Q.; Brenner, J.C.; Laxman, B.; Asangani, I.A.; Grasso, C.S.; Kominsky, H.D.; et al. Transcriptome Sequencing across a Prostate Cancer Cohort Identifies PCAT-1, an Unannotated LincRNA Implicated in Disease Progression. Nat. Biotechnol. 2011, 29, 742–749. [Google Scholar] [CrossRef]
- Mathy, N.W.; Burleigh, O.; Kochvar, A.; Whiteford, E.R.; Behrens, M.; Marta, P.; Tian, C.; Gong, A.-Y.; Drescher, K.M.; Steyger, P.S.; et al. A Novel Long Intergenic Non-Coding RNA, Nostrill, Regulates INOS Gene Transcription and Neurotoxicity in Microglia. J. Neuroinflamm. 2021, 18, 16. [Google Scholar] [CrossRef] [PubMed]
- Sun, H.; Cao, X.; Sumayya; Ma, Y.; Li, H.; Han, W.; Qu, L. Genome-Wide Transcriptional Profiling and Functional Analysis of Long Noncoding RNAs and MRNAs in Chicken Macrophages Associated with the Infection of Avian Pathogenic E. coli. BMC Vet. Res. 2024, 20, 49. [Google Scholar] [CrossRef] [PubMed]
- Sun, H.; Li, N.; Tan, J.; Li, H.; Zhang, J.; Qu, L.; Lamont, S.J. Transcriptional Regulation of RIP2 Gene by NFIB Is Associated with Cellular Immune and Inflammatory Response to APEC Infection. Int. J. Mol. Sci. 2022, 23, 3814. [Google Scholar] [CrossRef] [PubMed]
- Antao, E.-M.; Glodde, S.; Li, G.; Sharifi, R.; Homeier, T.; Laturnus, C.; Diehl, I.; Bethe, A.; Philipp, H.C.; Preisinger, R.; et al. The Chicken as a Natural Model for Extraintestinal Infections Caused by Avian Pathogenic Escherichia coli (APEC). Microb. Pathog. 2008, 45, 361–369. [Google Scholar] [CrossRef] [PubMed]
- Matthijs, M.G.R.; Ariaans, M.P.; Dwars, R.M.; van Eck, J.H.H.; Bouma, A.; Stegeman, A.; Vervelde, L. Course of Infection and Immune Responses in the Respiratory Tract of IBV Infected Broilers after Superinfection with E. coli. Vet. Immunol. Immunopathol. 2009, 127, 77–84. [Google Scholar] [CrossRef] [PubMed]
- Matthijs, M.G.R.; Nieuwenhuis, J.F.; Dwars, R.M. Signs Indicating Imminent Death in Escherichia coli-Infected Broilers. Avian Dis. 2017, 61, 316–324. [Google Scholar] [CrossRef] [PubMed]
- Mellata, M.; Dho-Moulin, M.; Dozois, C.M.; Curtiss, R., III; Lehoux, B.; Fairbrother, J.M. Role of Avian Pathogenic Escherichia coli Virulence Factors in Bacterial Interaction with Chicken Heterophils and Macrophages. Infect. Immun. 2003, 71, 494–503. [Google Scholar] [CrossRef] [PubMed]
- Pourbakhsh, S.A.; Boulianne, M.; Martineau-Doizé, B.; Fairbrother, J.M. Virulence Mechanisms of Avian Fimbriated Escherichia coli in Experimentally Inoculated Chickens. Vet. Microbiol. 1997, 58, 195–213. [Google Scholar] [CrossRef] [PubMed]
- Peng, L.; Matthijs, M.G.R.; Haagsman, H.P.; Veldhuizen, E.J.A. Avian Pathogenic Escherichia coli-Induced Activation of Chicken Macrophage HD11 cells. Dev. Comp. Immunol. 2018, 87, 75–83. [Google Scholar] [CrossRef]
- Zhang, J.; Wang, Q.; Li, Q.; Wang, Z.; Zheng, M.; Wen, J.; Zhao, G. Comparative Functional Analysis of Macrophage Phagocytosis in Dagu Chickens and Wenchang Chickens. Front. Immunol. 2023, 14, 1064461. [Google Scholar] [CrossRef]
- Alber, A.; Morris, K.M.; Bryson, K.; Sutton, K.M.; Monson, M.; Chintoan-Uta, C.; Borowska, D.; Lamont, S.J.; Schouler, C.; Kaiser, P.; et al. Avian Pathogenic Escherichia coli (APEC) Strain-Dependent Immunomodulation of Respiratory Granulocytes and Mononuclear Phagocytes in CSF1R-Reporter Transgenic Chickens. Front. Immunol. 2020, 10, 3055. [Google Scholar] [CrossRef]
- Faherty, C.S.; Maurelli, A.T. Staying Alive: Bacterial Inhibition of Apoptosis during Infection. Trends Microbiol. 2008, 16, 173–180. [Google Scholar] [CrossRef] [PubMed]
- He, C.-L.; Fu, B.-D.; Shen, H.-Q.; Jiang, X.-L.; Zhang, C.-S.; Wu, S.-C.; Zhu, W.; Wei, X.-B. Xiang-Qi-Tang Increases Avian Pathogenic Escherichia coli-Induced Survival Rate and Regulates Serum Levels of Tumor Necrosis Factor Alpha, Interleukin-1 and Soluble Endothelial Protein C Receptor in Chicken. Biol. Pharm. Bull. 2011, 34, 379–382. [Google Scholar] [CrossRef] [PubMed]
- Jayaraman, P.; Sada-Ovalle, I.; Nishimura, T.; Anderson, A.C.; Kuchroo, V.K.; Remold, H.G.; Behar, S.M. IL-1β Promotes Antimicrobial Immunity in Macrophages by Regulating TNFR Signaling and Caspase-3 Activation. J. Immunol. 2013, 190, 4196–4204. [Google Scholar] [CrossRef] [PubMed]
- Chomarat, P.; Banchereau, J.; Davoust, J.; Karolina Palucka, A. IL-6 Switches the Differentiation of Monocytes from Dendritic Cells to Macrophages. Nat. Immunol. 2000, 1, 510–514. [Google Scholar] [CrossRef]
- Poh, T.Y.; Pease, J.; Young, J.R.; Bumstead, N.; Kaiser, P. Re-Evaluation of Chicken CXCR1 Determines the True Gene Structure: CXCLi1 (K60) and CXCLi2 (CAF/Interleukin-8) Are Ligands for This Receptor. J. Biol. Chem. 2008, 283, 16408–16415. [Google Scholar] [CrossRef]
- Garrido, D.; Alber, A.; Kut, E.; Chanteloup, N.K.; Lion, A.; Trotereau, A.; Dupont, J.; Tedin, K.; Kaspers, B.; Vervelde, L.; et al. The Role of Type I Interferons (IFNs) in the Regulation of Chicken Macrophage Inflammatory Response to Bacterial Challenge. Dev. Comp. Immunol. 2018, 86, 156–170. [Google Scholar] [CrossRef]
- Swanson, K.V.; Deng, M.; Ting, J.P.-Y. The NLRP3 Inflammasome: Molecular Activation and Regulation to Therapeutics. Nat. Rev. Immunol. 2019, 19, 477–489. [Google Scholar] [CrossRef]
- Song, B.; Wang, Z.; Liu, Y.; Xu, S.; Huang, G.; Xiong, Y.; Zhang, S.; Xu, L.; Deng, X.; Guan, S. Immunosuppressive Activity of Daphnetin, One of Coumarin Derivatives, Is Mediated through Suppression of NF-ΚB and NFAT Signaling Pathways in Mouse T Cells. PLoS ONE 2014, 9, e96502. [Google Scholar] [CrossRef]
- Ribas, V.T.; Schnepf, B.; Challagundla, M.; Koch, J.C.; Bähr, M.; Lingor, P. Early and Sustained Activation of Autophagy in Degenerating Axons after Spinal Cord Injury. Brain Pathol. 2015, 25, 157–170. [Google Scholar] [CrossRef]
- Vucicevic, L.; Misirkic-Marjanovic, M.; Paunovic, V.; Kravic-Stevovic, T.; Martinovic, T.; Ciric, D.; Maric, N.; Petricevic, S.; Harhaji-Trajkovic, L.; Bumbasirevic, V.; et al. Autophagy Inhibition Uncovers the Neurotoxic Action of the Antipsychotic Drug Olanzapine. Autophagy 2014, 10, 2362–2378. [Google Scholar] [CrossRef] [PubMed]
- Kruse, R.; Vind, B.F.; Petersson, S.J.; Kristensen, J.M.; Højlund, K. Markers of Autophagy Are Adapted to Hyperglycaemia in Skeletal Muscle in Type 2 Diabetes. Diabetologia 2015, 58, 2087–2095. [Google Scholar] [CrossRef] [PubMed]
- Cao, Z.; Xing, C.; Cheng, X.; Luo, J.; Hu, R.; Cao, H.; Guo, X.; Yang, F.; Zhuang, Y.; Hu, G. Luteolin Attenuates APEC-Induced Oxidative Stress and Inflammation via Inhibiting the HMGB1/TLR4/NF-ΚB Signal Axis in the Ileum of Chicks. Animals 2022, 13, 83. [Google Scholar] [CrossRef] [PubMed]
- Wei, W.; Lan, X.; Liu, N.; Yang, J.; Du, J.; Ma, L.; Zhang, W.; Niu, J.; Sun, T.; Yu, J. Echinacoside Alleviates Hypoxic-Ischemic Brain Injury in Neonatal Rat by Enhancing Antioxidant Capacity and Inhibiting Apoptosis. Neurochem. Res. 2019, 44, 1582–1592. [Google Scholar] [CrossRef] [PubMed]
- Tang, X.; Fan, X.; Xu, T.; He, Y.; Chi, Q.; Li, Z.; Li, S. Polystyrene Nanoplastics Exacerbated Lipopolysaccharide-induced Necroptosis and Inflammation via the ROS/MAPK Pathway in Mice Spleen. Environ. Toxicol. 2022, 37, 2552–2565. [Google Scholar] [CrossRef] [PubMed]
- Tonelli, C.; Chio, I.I.C.; Tuveson, D.A. Transcriptional Regulation by Nrf2. Antioxid. Redox Signal. 2018, 29, 1727–1745. [Google Scholar] [CrossRef]
- Campbell, N.K.; Fitzgerald, H.K.; Dunne, A. Regulation of Inflammation by the Antioxidant Haem Oxygenase 1. Nat. Rev. Immunol. 2021, 21, 411–425. [Google Scholar] [CrossRef]








Disclaimer/Publisher’s Note: The statements, opinions and data contained in all publications are solely those of the individual author(s) and contributor(s) and not of MDPI and/or the editor(s). MDPI and/or the editor(s) disclaim responsibility for any injury to people or property resulting from any ideas, methods, instructions or products referred to in the content. |
© 2024 by the authors. Licensee MDPI, Basel, Switzerland. This article is an open access article distributed under the terms and conditions of the Creative Commons Attribution (CC BY) license (https://creativecommons.org/licenses/by/4.0/).
Share and Cite
Ma, Y.; Cao, X.; Sumayya; Lu, Y.; Han, W.; Lamont, S.J.; Sun, H. Identification and Functional Analysis of Novel Long Intergenic RNA in Chicken Macrophages Infected with Avian Pathogenic Escherichia coli. Microorganisms 2024, 12, 1594. https://doi.org/10.3390/microorganisms12081594
Ma Y, Cao X, Sumayya, Lu Y, Han W, Lamont SJ, Sun H. Identification and Functional Analysis of Novel Long Intergenic RNA in Chicken Macrophages Infected with Avian Pathogenic Escherichia coli. Microorganisms. 2024; 12(8):1594. https://doi.org/10.3390/microorganisms12081594
Chicago/Turabian StyleMa, Yuyi, Xinqi Cao, Sumayya, Yue Lu, Wei Han, Susan J. Lamont, and Hongyan Sun. 2024. "Identification and Functional Analysis of Novel Long Intergenic RNA in Chicken Macrophages Infected with Avian Pathogenic Escherichia coli" Microorganisms 12, no. 8: 1594. https://doi.org/10.3390/microorganisms12081594
APA StyleMa, Y., Cao, X., Sumayya, Lu, Y., Han, W., Lamont, S. J., & Sun, H. (2024). Identification and Functional Analysis of Novel Long Intergenic RNA in Chicken Macrophages Infected with Avian Pathogenic Escherichia coli. Microorganisms, 12(8), 1594. https://doi.org/10.3390/microorganisms12081594
