Do Weather Conditions Still Have an Impact on the COVID-19 Pandemic? An Observation of the Mid-2022 COVID-19 Peak in Taiwan
Abstract
1. Introduction
Literature Review
2. Materials and Methods
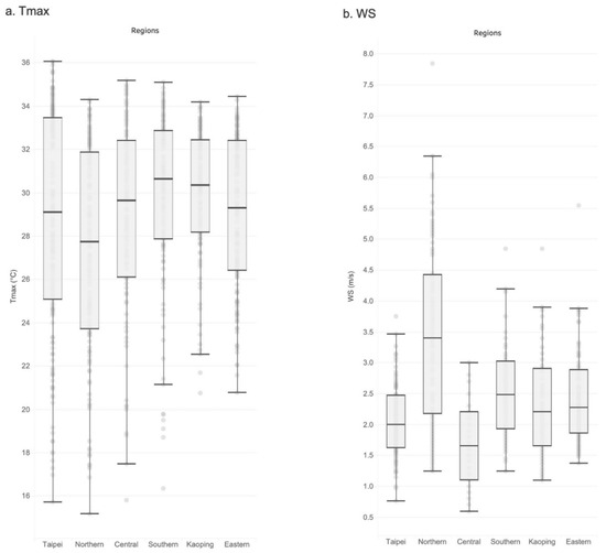
2.1. Study Area
2.2. Data Collection
2.2.1. Collection of COVID-19 Case Data
2.2.2. Collection of Weather Data
- Diurnal temperature range (DTR): Calculated as the difference between the maximum and minimum daily temperatures, providing insight into daily temperature fluctuations.
- Maximum daily temperature (Tmax): Recorded in degrees Celsius (°C), representing the highest temperature reached each day. Tmax was found to have a positive correlation with the number of confirmed COVID-19 cases in prior studies.
- Relative humidity (RH): Expressed as a percentage, indicating the amount of moisture in the air. A prior study found no association between humidity and COVID-19 cases.
- Unease environmental condition factor (UECF): The unease environmental condition factor (UECF) was calculated for each region using the formula UECF = RH*Tmax/WS. This factor was included to assess the combined effect of temperature, humidity, and wind speed on environmental comfort and potential virus transmission [5].
2.3. Data Analysis
Spearman’s Correlation Coefficients
3. Results
3.1. Daily Newly Confirmed Cases in Taiwan
3.2. Spearman’s Correlation Analysis
4. Discussion
4.1. Meteorological Factors and COVID-19 Incidence
4.2. Unease Environmental Condition Factor (UECF)
4.3. Local Climate Effect and Cyclic Climatic Variation
5. Conclusions
Author Contributions
Funding
Data Availability Statement
Acknowledgments
Conflicts of Interest
References
- Huang, C.; Wang, Y.; Li, X.; Ren, L.; Zhao, J.; Hu, Y.; Zhang, L.; Fan, G.; Xu, J.; Gu, X.; et al. Clinical features of patients infected with 2019 novel coronavirus in Wuhan, China. Lancet 2020, 395, 497–506. [Google Scholar] [CrossRef] [PubMed]
- Valjarević, A.; Milić, M.; Valjarević, D.; Stanojević-Ristić, Z.; Petrović, L.; Milanović, M.; Filipović, D.; Ristanović, B.; Basarin, B.; Lukić, T. Modelling and mapping of the COVID-19 trajectory and pandemic paths at global scale: A geographer’s perspective. Open Geosci. 2020, 12, 1603–1616. [Google Scholar] [CrossRef]
- Gardner, L. Update January 31: Modeling the Spreading Risk of 2019-nCoV. Available online: https://systems.jhu.edu/research/public-health/ncov-model-2/ (accessed on 13 December 2022).
- Severe Pneumonia with Novel Pathogens (COVID-19). Available online: https://nidss.cdc.gov.tw/en/nndss/disease?id=19CoV (accessed on 1 December 2022).
- World Health Organization. WHO Coronavirus (COVID-19) Dashboard. Available online: https://covid19.who.int/ (accessed on 25 December 2022).
- Pan, J.; Yao, Y.; Liu, Z.; Meng, X.; Ji, J.S.; Qiu, Y.; Wang, W.; Zhang, L.; Wang, W.; Kan, H. Warmer weather unlikely to reduce the COVID-19 transmission: An ecological study in 202 locations in 8 countries. Sci. Total Environ. 2021, 753, 142272. [Google Scholar] [CrossRef] [PubMed]
- Xie, J.; Zhu, Y. Association between ambient temperature and COVID-19 infection in 122 cities from China. Sci. Total Environ. 2020, 724, 138201. [Google Scholar] [CrossRef] [PubMed]
- Pani, S.K.; Lin, N.H.; RavindraBabu, S. Association of COVID-19 pandemic with meteorological parameters over Singapore. Sci. Total Environ. 2020, 740, 140112. [Google Scholar] [CrossRef] [PubMed]
- Chien, L.C.; Chen, L.W. Meteorological impacts on the incidence of COVID-19 in the U.S. Stoch. Environ. Res. Risk Assess. 2020, 34, 1675–1680. [Google Scholar] [CrossRef]
- Qi, H.; Xiao, S.; Shi, R.; Ward, M.P.; Chen, Y.; Tu, W.; Su, Q.; Wang, W.; Wang, X.; Zhang, Z. COVID-19 transmission in Mainland China is associated with temperature and humidity: A time-series analysis. Sci. Total Environ. 2020, 728, 138778. [Google Scholar] [CrossRef]
- Lin, R.; Wang, X.; Huang, J. The influence of weather conditions on the COVID-19 epidemic: Evidence from 279 prefecture-level panel data in China. Environ. Res. 2022, 206, 112272. [Google Scholar] [CrossRef]
- Fan, J.-L.; Da, Y.; Zeng, B.; Zhang, H.; Liu, Z.; Jia, N.; Liu, J.; Wang, B.; Li, L.; Guan, D.; et al. How do weather and climate change impact the COVID-19 pandemic? Evidence from the Chinese mainland. Environ. Res. Lett. 2021, 16, 014026. [Google Scholar] [CrossRef]
- Guo, X.J.; Zhang, H.; Zeng, Y.P. Transmissibility of COVID-19 in 11 major cities in China and its association with temperature and humidity in Beijing, Shanghai, Guangzhou, and Chengdu. Infect. Dis. Poverty 2020, 9, 87. [Google Scholar] [CrossRef]
- Ng, K.Y.; Hasan, M.Z.; Rahman, A. Examining the roles of meteorological variables in COVID-19 spread in Malaysia. Aerobiologia 2024, 1–16. [Google Scholar] [CrossRef]
- Saputra, Y.; Susanna, D.; Saki, Y. Impact of Climate Variables on COVID-19 Pandemic in Asia: A Systematic Review. Kesmas Natl. Public Health J. 2021. [Google Scholar] [CrossRef]
- Ford, J.D.; Zavaleta-Cortijo, C.; Ainembabazi, T.; Anza-Ramirez, C.; Arotoma-Rojas, I.; Bezerra, J.; Chicmana-Zapata, V.; Galappaththi, E.K.; Hangula, M.; Kazaana, C.; et al. Interactions between climate and COVID-19. Lancet Planet Health 2022, 6, e825–e833. [Google Scholar] [CrossRef]
- Ganslmeier, M.; Furceri, D.; Ostry, J.D. The impact of weather on COVID-19 pandemic. Sci. Rep. 2021, 11, 22027. [Google Scholar] [CrossRef]
- Bukhari, Q.; Massaro, J.M.; D’Agostino, R.B., Sr.; Khan, S. Effects of Weather on Coronavirus Pandemic. Int. J. Environ. Res. Public Health 2020, 17, 5399. [Google Scholar] [CrossRef] [PubMed]
- Tan, L.; Schultz, D.M. How Is COVID-19 Affected by Weather? Metaregression of 158 Studies and Recommendations for Best Practices in Future Research. Weather. Clim. Soc. 2022, 14, 237–255. [Google Scholar] [CrossRef]
- Xu, R.; Rahmandad, H.; Gupta, M.; DiGennaro, C.; Ghaffarzadegan, N.; Amini, H.; Jalali, M.S. Weather, air pollution, and SARS-CoV-2 transmission: A global analysis. Lancet Planet. Health 2021, 5, e671–e680. [Google Scholar] [CrossRef]
- Yu, H.-W.; Kuan, C.-H.; Tseng, L.-W.; Chen, H.-Y.; Tsai, M.-Y.; Chen, Y.-S. Investigation of the Correlation between Enterovirus Infection and the Climate Factor Complex Including the Ping-Year Factor and El Niño-Southern Oscillation in Taiwan. Viruses 2024, 16, 471. [Google Scholar] [CrossRef]
- Chang, S.A.; Kuan, C.H.; Hung, C.Y.; Wang, T.C.; Chen, Y.S. The outbreak of COVID-19 in Taiwan in late spring 2021: Combinations of specific weather conditions and related factors. Environ. Sci. Pollut. Res. Int. 2022, 29, 85669–85675. [Google Scholar] [CrossRef]
- The Climate of Taiwan. Available online: http://twgeog.ntnugeog.org/en/climatology/ (accessed on 29 April 2024).
- Central Weather Administration. Available online: https://www.cwa.gov.tw/V8/C/ (accessed on 3 May 2024).
- Şahin, M. Impact of weather on COVID-19 pandemic in Turkey. Sci. Total Environ. 2020, 728, 138810. [Google Scholar] [CrossRef]
- Srivastava, A. COVID-19 and air pollution and meteorology-an intricate relationship: A review. Chemosphere 2021, 263, 128297. [Google Scholar] [CrossRef] [PubMed]
- Nakada, L.Y.K.; Urban, R.C. COVID-19 pandemic: Environmental and social factors influencing the spread of SARS-CoV-2 in Sao Paulo, Brazil. Environ. Sci. Pollut. Res. Int. 2021, 28, 40322–40328. [Google Scholar] [CrossRef] [PubMed]
- Bashir, M.F.; Ma, B.; Bilal; Komal, B.; Bashir, M.A.; Tan, D.; Bashir, M. Correlation between climate indicators and COVID-19 pandemic in New York, USA. Sci. Total Environ. 2020, 728, 138835. [Google Scholar] [CrossRef] [PubMed]
- Tosepu, R.; Gunawan, J.; Effendy, D.S.; Ahmad, O.A.I.; Lestari, H.; Bahar, H.; Asfian, P. Correlation between weather and COVID-19 pandemic in Jakarta, Indonesia. Sci. Total Environ. 2020, 725, 138436. [Google Scholar] [CrossRef] [PubMed]
- Reimann, C.; Garrett, R.G.; Dutter, R. Correlation. In Statistical Data Analysis Explained; John Wiley & Sons, Ltd.: Hoboken, NJ, USA, 2008; pp. 181–191. [Google Scholar]
- Wu, Y.; Kang, L.; Guo, Z.; Liu, J.; Liu, M.; Liang, W. Incubation Period of COVID-19 Caused by Unique SARS-CoV-2 Strains: A Systematic Review and Meta-analysis. JAMA Netw. Open 2022, 5, e2228008. [Google Scholar] [CrossRef] [PubMed]
- Chin, A.W.H.; Chu, J.T.S.; Perera, M.R.A.; Hui, K.P.Y.; Yen, H.L.; Chan, M.C.W.; Peiris, M.; Poon, L.L.M. Stability of SARS-CoV-2 in different environmental conditions. Lancet Microbe 2020, 1, e10. [Google Scholar] [CrossRef] [PubMed]
- Nevels, M.; Si, X.; Bambrick, H.; Zhang, Y.; Cheng, J.; McClymont, H.; Bonsall, M.B.; Hu, W. Weather variability and transmissibility of COVID-19: A time series analysis based on effective reproductive number. Exp. Results 2021, 2, e15. [Google Scholar] [CrossRef] [PubMed]
- Hossain, M.S.; Ahmed, S.; Uddin, M.J. Impact of weather on COVID-19 transmission in south Asian countries: An application of the ARIMAX model. Sci. Total Environ. 2021, 761, 143315. [Google Scholar] [CrossRef] [PubMed]
- Meyer, A.; Sadler, R.; Faverjon, C.; Cameron, A.R.; Bannister-Tyrrell, M. Evidence That Higher Temperatures Are Associated With a Marginally Lower Incidence of COVID-19 Cases. Front. Public Health 2020, 8, 367. [Google Scholar] [CrossRef]
- Menebo, M.M. Temperature and precipitation associate with COVID-19 new daily cases: A correlation study between weather and COVID-19 pandemic in Oslo, Norway. Sci. Total Environ. 2020, 737, 139659. [Google Scholar] [CrossRef]
- van Doremalen, N.; Bushmaker, T.; Morris, D.H.; Holbrook, M.G.; Gamble, A.; Williamson, B.N.; Tamin, A.; Harcourt, J.L.; Thornburg, N.J.; Gerber, S.I.; et al. Aerosol and Surface Stability of SARS-CoV-2 as Compared with SARS-CoV-1. N. Engl. J. Med. 2020, 382, 1564–1567. [Google Scholar] [CrossRef] [PubMed]
- Rendana, M. Impact of the wind conditions on COVID-19 pandemic: A new insight for direction of the spread of the virus. Urban Clim. 2020, 34, 100680. [Google Scholar] [CrossRef] [PubMed]
- Alkhowailed, M.; Shariq, A.; Alqossayir, F.; Alzahrani, O.A.; Rasheed, Z.; Al Abdulmonem, W. Impact of meteorological parameters on COVID-19 pandemic: A comprehensive study from Saudi Arabia. Inform. Med. Unlocked 2020, 20, 100418. [Google Scholar] [CrossRef] [PubMed]
- Adhikari, A.; Yin, J. Short-Term Effects of Ambient Ozone, PM2.5, and Meteorological Factors on COVID-19 Confirmed Cases and Deaths in Queens, New York. Int. J. Environ. Res. Public Health 2020, 17, 4047. [Google Scholar] [CrossRef]
- Liu, J.; Zhou, J.; Yao, J.; Zhang, X.; Li, L.; Xu, X.; He, X.; Wang, B.; Fu, S.; Niu, T.; et al. Impact of meteorological factors on the COVID-19 transmission: A multi-city study in China. Sci. Total Environ. 2020, 726, 138513. [Google Scholar] [CrossRef] [PubMed]
- Clouston, S.A.P.; Morozova, O.; Meliker, J.R. A wind speed threshold for increased outdoor transmission of coronavirus: An ecological study. BMC Infect. Dis. 2021, 21, 1194. [Google Scholar] [CrossRef]
- Ahmadi, M.; Sharifi, A.; Dorosti, S.; Jafarzadeh Ghoushchi, S.; Ghanbari, N. Investigation of effective climatology parameters on COVID-19 outbreak in Iran. Sci. Total Environ. 2020, 729, 138705. [Google Scholar] [CrossRef] [PubMed]
- Sun, C.; Chao, L.; Li, H.; Hu, Z.; Zheng, H.; Li, Q. Modeling and Preliminary Analysis of the Impact of Meteorological Conditions on the COVID-19 Epidemic. Int. J. Environ. Res. Public Health 2022, 19, 6125. [Google Scholar] [CrossRef]
- Islam, A.; Hasanuzzaman, M.; Azad, M.A.K.; Salam, R.; Toshi, F.Z.; Khan, M.S.I.; Alam, G.M.M.; Ibrahim, S.M. Effect of meteorological factors on COVID-19 cases in Bangladesh. Environ. Dev. Sustain. 2021, 23, 9139–9162. [Google Scholar] [CrossRef]
- Du, Z.; Hopke, P.; Marks, T.; Lin, S.; Zhang, W.; Hao, Y. Complex interaction between meteorological factors on the risk of hand, foot, and mouth disease. Environ. Res. Lett. 2022, 17, 094013. [Google Scholar] [CrossRef]
- Du, Z.; Lin, S.; Marks, T.; Zhang, W.; Deng, T.; Yu, S.; Hao, Y. Weather effects on hand, foot, and mouth disease at individual level: A case-crossover study. BMC Infect. Dis. 2019, 19, 1029. [Google Scholar] [CrossRef] [PubMed]
- Wang, P.; Goggins, W.B.; Chan, E.Y. Hand, Foot and Mouth Disease in Hong Kong: A Time-Series Analysis on Its Relationship with Weather. PLoS ONE 2016, 11, e0161006. [Google Scholar] [CrossRef] [PubMed]
- Gardner, E.G.; Kelton, D.; Poljak, Z.; Van Kerkhove, M.; von Dobschuetz, S.; Greer, A.L. A case-crossover analysis of the impact of weather on primary cases of Middle East respiratory syndrome. BMC Infect. Dis. 2019, 19, 113. [Google Scholar] [CrossRef] [PubMed]
- Altamimi, A.; Ahmed, A.E. Climate factors and incidence of Middle East respiratory syndrome coronavirus. J. Infect. Public Health 2020, 13, 704–708. [Google Scholar] [CrossRef]
- Cheng, J.; Bambrick, H.; Yakob, L.; Devine, G.; Frentiu, F.D.; Williams, G.; Li, Z.; Yang, W.; Hu, W. Extreme weather conditions and dengue outbreak in Guangdong, China: Spatial heterogeneity based on climate variability. Environ. Res. 2021, 196, 110900. [Google Scholar] [CrossRef] [PubMed]
- Gui, H.; Gwee, S.; Koh, J.; Pang, J. Weather Factors Associated with Reduced Risk of Dengue Transmission in an Urbanized Tropical City. Int. J. Environ. Res. Public Health 2021, 19, 339. [Google Scholar] [CrossRef] [PubMed]
- Polwiang, S. The time series seasonal patterns of dengue fever and associated weather variables in Bangkok (2003–2017). BMC Infect. Dis. 2020, 20, 208. [Google Scholar] [CrossRef] [PubMed]
- Carter-Templeton, H.; Templeton, G.F.; Nicoll, L.H.; Maxie, L.; Kittle, T.S.; Jasko, S.A.; Carpenter, E.E.; Monsen, K.A. Associations between weather-related data and influenza reports: A pilot study and related policy implications. Appl. Nurs. Res. 2022, 67, 151413. [Google Scholar] [CrossRef] [PubMed]
- Singh, D.E.; Marinescu, M.C.; Carretero, J.; Delgado-Sanz, C.; Gomez-Barroso, D.; Larrauri, A. Evaluating the impact of the weather conditions on the influenza propagation. BMC Infect. Dis. 2020, 20, 265. [Google Scholar] [CrossRef]
- Oke, T.R.; Stewart, I.D. Local Climate Zones for Urban Temperature Studies. Bull. Am. Meteorol. Soc. 2012, 93, 1879–1900. [Google Scholar] [CrossRef]
- McClymont, H.; Hu, W. Weather Variability and COVID-19 Transmission: A Review of Recent Research. Int. J. Environ. Res. Public Health 2021, 18, 396. [Google Scholar] [CrossRef] [PubMed]
- Kissler, S.M.; Tedijanto, C.; Goldstein, E.; Grad, Y.H.; Lipsitch, M. Projecting the transmission dynamics of SARS-CoV-2 through the postpandemic period. Science 2020, 368, 860–868. [Google Scholar] [CrossRef] [PubMed]
- Shigeru Omi, M. WHO International Standard Terminologies on Traditional Medicine in the Western Pacific Region; WHO Regional Office for the Western Pacific: Manila, Philippines, 2007. [Google Scholar]











| Region | Standard Observation Stations | Location | ![]() | |
| north latitude | east longitude | |||
| Taipei (Region a) | 1. Keelung | 25°1333′ | 121°7404′ | |
| 2. Banqiao | 24°9976′ | 121°4489′ | ||
| 3. Taipei | 25°0376′ | 121°5148′ | ||
| 4. Tamsui | 25°1648′ | 121°489′ | ||
| 5. Yilan | 24°7639′ | 121°7565′ | ||
| 6. Su-ao | 24°5967′ | 121°8573′ | ||
| Northern (Region b) | 7. Xinwu | 25°0067′ | 121°0474′ | |
| 8. Hsinchu | 24°8278′ | 121°0142′ | ||
| Central (Region c) | 9. Taichung | 24°1457′ | 120°6840′ | |
| Southern (Region d) | 10. Chiayi | 23°4959′ | 120°4329′ | |
| 11. Tainan | 22°9932′ | 120°2047′ | ||
| Kaoping (Region e) | 12. Kaohsiung | 22°7304′ | 120°3125′ | |
| 13. Hengchun | 22°0038′ | 120°7463′ | ||
| Eastern (Region f) | 14. Hualien | 23°9751′ | 121°6132′ | |
| 15. Chenggong | 23°0974′ | 121°3734′ | ||
| 16. Taitung | 22°7522′ | 121°1545′ | ||
| 17. Dawu | 22°3556′ | 120°9037′ | ||
| Time Distribution of the Fire-Qi Period | ||||||
|---|---|---|---|---|---|---|
| Years/Qi | 1st Qi 1/19–21~3/20–22 | 2nd Qi 3/20–22~5/20–22 | 3rd Qi 5/20–22~7/22–24 | 4th Qi 7/22–24~9/22–24 | 5th Qi 9/22–24~11/21–23 | 6th Qi 11/21–23~1/19–21 |
| 2002, 2008, 2014, 2020, 2026, 2032, 2038, 2044, 2050 | major yang | reverting ying | minor ying | major ying | minor yang | yang brightness |
| 2003, 2009, 2015, 2021, 2027, 2033, 2039, 2045, 2051 | reverting ying | minor ying | major yang | minor yang | yang brightness | major yang |
| 2004, 2010, 2016, 2022, 2028, 2034, 2040, 2046, 2052 | minor ying | major ying | minor yang | yang brightness | major yang | reverting ying |
| 2005, 2011, 2017, 2023, 2029, 2035, 2041, 2047, 2053 | major ying | minor yang | yang brightness | major yang | reverting ying | minor ying |
| 2006, 2012, 2018, 2024, 2030, 2036, 2042, 2048, 2054 | minor yang | yang brightness | major yang | reverting ying | minor ying | major yang |
| 2007, 2013, 2019, 2025, 2031, 2037, 2043, 2049, 2055 | yang brightness | greater yang | reverting ying | minor ying | greater ying | minor yang |
| Region | D0 | D-1 | D-2 | D-3 | D-4 | D-5 | D-6 | D-7 | D-8 | D-9 | D-10 | D-11 | D-12 | D-13 | D-14 | |
|---|---|---|---|---|---|---|---|---|---|---|---|---|---|---|---|---|
| Tmax | a | 0.196 * | 0.205 ** | 0.218 ** | 0.229 ** | 0.242 ** | 0.255 ** | 0.267 ** | 0.279 ** | 0.291 ** | 0.304 ** | 0.316 ** | 0.326 ** | 0.336 ** | 0.344 ** | 0.352 ** |
| b | 0.328 ** | 0.325 ** | 0.314 ** | 0.306 ** | 0.302 ** | 0.304 ** | 0.309 ** | 0.314 ** | 0.321 ** | 0.321 ** | 0.336 ** | 0.347 ** | 0.357 ** | 0.355 ** | 0.356 ** | |
| c | 0.478 ** | 0.476 ** | 0.471 ** | 0.457 ** | 0.452 ** | 0.446 ** | 0.438 ** | 0.433 ** | 0.435 ** | 0.424 ** | 0.422 ** | 0.431 ** | 0.430 ** | 0.430 ** | 0.431 ** | |
| d | 0.542 ** | 0.550 ** | 0.559 ** | 0.568 ** | 0.576 ** | 0.584 ** | 0.595 ** | 0.604 ** | 0.611 ** | 0.619 ** | 0.626 ** | 0.635 ** | 0.641 ** | 0.644 ** | 0.649 ** | |
| e | 0.501 ** | 0.509 ** | 0.523 ** | 0.533 ** | 0.544 ** | 0.554 ** | 0.563 ** | 0.571 ** | 0.578 ** | 0.588 ** | 0.595 ** | 0.601 ** | 0.606 ** | 0.611 ** | 0.614 ** | |
| f | 0.462 ** | 0.469 ** | 0.480 ** | 0.491 ** | 0.501 ** | 0.511 ** | 0.522 ** | 0.532 ** | 0.543 ** | 0.553 ** | 0.562 ** | 0.571 ** | 0.579 ** | 0.581 ** | 0.584 ** | |
| DTR | a | −0.251 ** | −0.260 ** | −0.253 ** | −0.262 ** | −0.262 ** | −0.246 ** | −0.232 ** | −0.219 ** | −0.210 ** | −0.196 * | −0.190 * | −0.180 * | −0.170 * | −0.159 * | −0.153 * |
| b | −0.241 ** | −0.256 ** | −0.280 ** | −0.281 ** | −0.280 ** | −0.271 ** | −0.259 ** | −0.242 ** | −0.250 ** | −0.250 ** | −0.241 ** | −0.211 ** | −0.174 * | −0.166 * | −0.157 * | |
| c | −0.301 ** | −0.312 ** | −0.323 ** | −0.348 ** | −0.357 ** | −0.348 ** | −0.340 ** | −0.328 ** | −0.315 ** | −0.303 ** | −0.311 ** | −0.296 ** | −0.284 ** | −0.294 ** | −0.308 ** | |
| d | −0.421 ** | −0.429 ** | −0.434 ** | −0.439 ** | −0.447 ** | −0.430 ** | −0.409 ** | −0.387 ** | −0.373 ** | −0.355 ** | −0.357 ** | −0.357 ** | −0.348 ** | −0.354 ** | −0.360 ** | |
| e | 0.023 | 0.008 | 0.016 | 0.004 | −0.008 | 0.002 | 0.015 | 0.025 | 0.036 | 0.048 | 0.052 | 0.054 | 0.048 | 0.037 | 0.039 | |
| f | −0.448 ** | −0.458 ** | −0.465 ** | −0.472 ** | −0.478 ** | −0.465 ** | −0.447 ** | −0.426 ** | −0.407 ** | −0.389 ** | −0.397 ** | −0.401 ** | −0.398 ** | −0.406 ** | −0.399 ** | |
| RH | a | 0.383 ** | 0.388 ** | 0.391 ** | 0.384 ** | 0.378 ** | 0.370 ** | 0.359 ** | 0.347 ** | 0.334 ** | 0.320 ** | 0.309 ** | 0.298 ** | 0.288 ** | 0.282 ** | 0.283 ** |
| b | 0.191* | 0.188* | 0.213 ** | 0.212 ** | 0.229 ** | 0.246 ** | 0.251 ** | 0.238 ** | 0.229 ** | 0.235 ** | 0.216 ** | 0.203 ** | 0.208 ** | 0.206 ** | 0.209 ** | |
| c | 0.224 ** | 0.238 ** | 0.266 ** | 0.262 ** | 0.280 ** | 0.301 ** | 0.308 ** | 0.302 ** | 0.277 ** | 0.272 ** | 0.263 ** | 0.256 ** | 0.256 ** | 0.261 ** | 0.252 ** | |
| d | −0.023 | −0.010 | −0.009 | −0.019 | −0.028 | −0.033 | −0.046 | −0.060 | −0.070 | −0.080 | −0.090 | −0.101 | −0.108 | −0.111 | −0.116 | |
| e | 0.181* | 0.192* | 0.198* | 0.195* | 0.206 ** | 0.217 ** | 0.207 ** | 0.204 ** | 0.214 ** | 0.221 ** | 0.215 ** | 0.218 ** | 0.223 ** | 0.234 ** | 0.246 ** | |
| f | 0.522 ** | 0.534 ** | 0.537 ** | 0.526 ** | 0.534 ** | 0.542 ** | 0.528 ** | 0.521 ** | 0.515 ** | 0.504 ** | 0.489 ** | 0.481 ** | 0.481 ** | 0.484 ** | 0.486 ** | |
| WS | a | −0.309 ** | −0.307 ** | −0.309 ** | −0.297 ** | −0.297 ** | −0.305 ** | −0.313 ** | −0.323 ** | −0.330 ** | −0.338 ** | −0.345 ** | −0.346 ** | −0.352 ** | −0.358 ** | −0.363 ** |
| b | 0.014 | 0.056 | 0.068 | 0.100 | 0.091 | 0.078 | 0.043 | 0.036 | 0.032 | 0.025 | 0.024 | −0.010 | −0.050 | −0.093 | −0.111 | |
| c | 0.038 | 0.061 | 0.058 | 0.086 | 0.075 | 0.048 | 0.008 | 0.013 | 0.054 | 0.035 | 0.042 | 0.016 | −0.016 | −0.036 | −0.019 | |
| d | 0.063 | 0.076 | 0.083 | 0.071 | 0.062 | 0.046 | 0.030 | 0.025 | 0.019 | 0.005 | −0.008 | −0.023 | −0.032 | −0.042 | −0.049 | |
| e | −0.292 ** | −0.282 ** | −0.290 ** | −0.288 ** | −0.296 ** | −0.308 ** | −0.319 ** | −0.325 ** | −0.332 ** | −0.342 ** | −0.351 ** | −0.348 ** | −0.356 ** | −0.366 ** | −0.374 ** | |
| f | −0.385 ** | −0.382 ** | −0.393 ** | −0.378 ** | −0.389 ** | −0.402 ** | −0.409 ** | −0.415 ** | −0.424 ** | −0.428 ** | −0.433 ** | −0.414 ** | −0.416 ** | −0.413 ** | −0.418 ** | |
| UECF | a | 0.454 ** | 0.457 ** | 0.462 ** | 0.458 ** | 0.463 ** | 0.470 ** | 0.477 ** | 0.486 ** | 0.492 ** | 0.498 ** | 0.503 ** | 0.507 ** | 0.511 ** | 0.516 ** | 0.522 ** |
| b | 0.143 | 0.103 | 0.095 | 0.062 | 0.070 | 0.082 | 0.114 | 0.120 | 0.120 | 0.122 | 0.122 | 0.155* | 0.192* | 0.227 ** | 0.236 ** | |
| c | 0.239 ** | 0.216 ** | 0.225 ** | 0.197 * | 0.217 ** | 0.238 ** | 0.277 ** | 0.275 ** | 0.241 ** | 0.251 ** | 0.243 ** | 0.270 ** | 0.301 ** | 0.317 ** | 0.303 ** | |
| d | 0.162 * | 0.155 * | 0.155 * | 0.168 * | 0.181 * | 0.195 * | 0.209 ** | 0.221 ** | 0.231 ** | 0.243 ** | 0.253 ** | 0.266 ** | 0.274 ** | 0.283 ** | 0.293 ** | |
| e | 0.442 ** | 0.446 ** | 0.452 ** | 0.459 ** | 0.468 ** | 0.478 ** | 0.488 ** | 0.493 ** | 0.499 ** | 0.507 ** | 0.514 ** | 0.520 ** | 0.527 ** | 0.536 ** | 0.545 ** | |
| f | 0.510 ** | 0.517 ** | 0.528 ** | 0.523 ** | 0.533 ** | 0.545 ** | 0.552 ** | 0.558 ** | 0.564 ** | 0.568 ** | 0.570 ** | 0.560 ** | 0.561 ** | 0.562 ** | 0.567 ** | |
Disclaimer/Publisher’s Note: The statements, opinions and data contained in all publications are solely those of the individual author(s) and contributor(s) and not of MDPI and/or the editor(s). MDPI and/or the editor(s) disclaim responsibility for any injury to people or property resulting from any ideas, methods, instructions or products referred to in the content. |
© 2024 by the authors. Licensee MDPI, Basel, Switzerland. This article is an open access article distributed under the terms and conditions of the Creative Commons Attribution (CC BY) license (https://creativecommons.org/licenses/by/4.0/).
Share and Cite
Lin, W.-Y.; Lin, H.-H.; Chang, S.-A.; Chen Wang, T.-C.; Chen, J.-C.; Chen, Y.-S. Do Weather Conditions Still Have an Impact on the COVID-19 Pandemic? An Observation of the Mid-2022 COVID-19 Peak in Taiwan. Microorganisms 2024, 12, 947. https://doi.org/10.3390/microorganisms12050947
Lin W-Y, Lin H-H, Chang S-A, Chen Wang T-C, Chen J-C, Chen Y-S. Do Weather Conditions Still Have an Impact on the COVID-19 Pandemic? An Observation of the Mid-2022 COVID-19 Peak in Taiwan. Microorganisms. 2024; 12(5):947. https://doi.org/10.3390/microorganisms12050947
Chicago/Turabian StyleLin, Wan-Yi, Hao-Hsuan Lin, Shih-An Chang, Tai-Chi Chen Wang, Juei-Chao Chen, and Yu-Sheng Chen. 2024. "Do Weather Conditions Still Have an Impact on the COVID-19 Pandemic? An Observation of the Mid-2022 COVID-19 Peak in Taiwan" Microorganisms 12, no. 5: 947. https://doi.org/10.3390/microorganisms12050947
APA StyleLin, W.-Y., Lin, H.-H., Chang, S.-A., Chen Wang, T.-C., Chen, J.-C., & Chen, Y.-S. (2024). Do Weather Conditions Still Have an Impact on the COVID-19 Pandemic? An Observation of the Mid-2022 COVID-19 Peak in Taiwan. Microorganisms, 12(5), 947. https://doi.org/10.3390/microorganisms12050947


