Validation of a Human Challenge Model Using an LT-Expressing Enterotoxigenic E. coli Strain (LSN03-016011) and Characterization of Potential Amelioration of Disease by an Investigational Oral Vaccine Candidate (VLA1701)
Abstract
1. Introduction
2. Materials and Methods
2.1. Clinical Trial Design
2.2. Study Oversight
2.3. Investigational Vaccine
- Vibrio cholerae O1 Inaba, El Tor biotype (formalin-inactivated), 6.25 × 1010 vibrios;
- Vibrio cholerae O1 Ogawa, classical biotype (heat-inactivated), 6.25 × 1010 vibrios;
- Recombinant cholera toxin B subunit (CTB), 1 mg.
2.4. ETEC Challenge Strain Characteristics and Preparation of Challenge Dose for Administration to Participants in the Trial
2.5. Study Population and Enrollment Criteria
2.6. Study Procedures
2.7. Study Diarrhea Definitions and Criteria for Antibiotic Treatment
- Severe diarrhea (six loose stools or >800 g in 24 h;
- Moderate diarrhea: four to five loose stools or 401 to 800 g in 24 h;
- Mild diarrhea: one to three loose stools or ≤400 g in any 24 h period.
- Severe diarrhea (6 or more loose stools or >800 g in 24 h);
- Stool output consistent with moderate diarrhea for 48 h;
- Mild or moderate diarrhea and two or more of the following symptoms: severe abdominal pain, severe abdominal cramps, severe nausea, severe headache, severe myalgia, any fever (≥38.0 °C), or any vomiting.
2.8. Safety
2.9. Immunogenicity Assessment
2.10. Microbiological Assessment
2.11. Statistical Analysis
2.12. Role of Funding Source
3. Results
3.1. Study Population
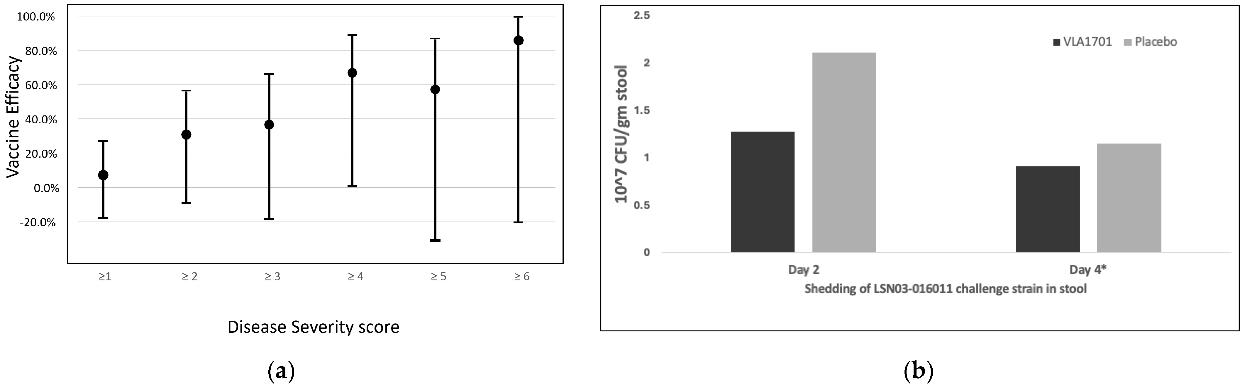
3.2. Challenge with LSN03-016011: Attack Rate and Symptoms, and Impact of VLA1701 on the Challenge
3.3. Safety Assessment of Oral Immunization with the VLA1701 Vaccine
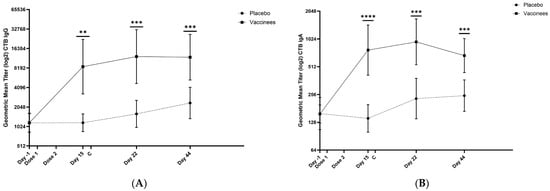
3.4. Immunogenicity of the VLA1701
4. Discussion
5. Overall Conclusions
Supplementary Materials
Author Contributions
Funding
Institutional Review Board Statement
Informed Consent Statement
Data Availability Statement
Acknowledgments
Conflicts of Interest
References
- GBD 2016 Causes of Death Collaborators. Global, regional, and national age-sex specific mortality for 264 causes of death, 1980–2016: A systematic analysis for the Global Burden of Disease Study 2016. Lancet 2017, 390, 1151–1210. [Google Scholar] [CrossRef]
- GBD 2016 Diarrhoeal Disease Collaborators. Estimates of the global, regional, and national morbidity, mortality, and aetiologies of diarrhoea in 195 countries: A systematic analysis for the Global Burden of Disease Study 2016. Lancet Infect. Dis. 2018, 18, 1211–1228. [Google Scholar] [CrossRef]
- Jelinek, T.; Kollaritsch, H. Vaccination with Dukoral against travelers’ diarrhea (ETEC) and cholera. Expert Rev. Vaccines 2008, 7, 561–567. [Google Scholar] [CrossRef]
- Nair, P.; Okhuysen, P.C.; Jiang, Z.; Carlin, L.G.; Belkind-Gerson, J.; Flores, J.; Paredes, M.; DuPont, H.L. Persistent Abdominal Symptoms in US Adults after Short-Term Stay in Mexico. J. Travel Med. 2014, 21, 153–158. [Google Scholar] [CrossRef]
- Fleckenstein, J.M.; Kuhlmann, F.M. Enterotoxigenic Escherichia coli Infections. Curr. Infect. Dis. Rep. 2019, 21, 9. [Google Scholar] [CrossRef]
- Kotloff, K.L. The Burden and Etiology of Diarrheal Illness in Developing Countries. Pediatr. Clin. N. Am. 2017, 64, 799–814. [Google Scholar] [CrossRef]
- Ashbaugh, H.R.; Early, J.M.; Johnson, M.E.; Simons, M.P.; Graf, P.C.F.; Riddle, M.S.; Swierczewski, B.E. A prospective observational study describing severity of acquired diarrhea among U.S. military and Western travelers participating in the Global Travelers’ Diarrhea Study. Travel Med. Infect. Dis. 2021, 43, 102139. [Google Scholar] [CrossRef]
- Walters, W.A.; Reyes, F.; Soto, G.M.; Reynolds, N.D.; Fraser, J.A.; Aviles, R.; Tribble, D.R.; Irvin, A.P.; Kelley-Loughnane, N.; Gutierrez, R.L.; et al. Epidemiology and associated microbiota changes in deployed military personnel at high risk of traveler’s diarrhea. PLoS ONE 2020, 15, e0236703. [Google Scholar] [CrossRef]
- Khalil, I.A.; Troeger, C.; Blacker, B.F.; Rao, P.C.; Brown, A.; Atherly, D.E.; Brewer, T.G.; Engmann, C.M.; Houpt, E.R.; Kang, G.; et al. Morbidity and mortality due to shigella and enterotoxigenic Escherichia coli diarrhoea: The Global Burden of Disease Study 1990–2016. Lancet Infect. Dis. 2018, 18, 1229–1240. [Google Scholar] [CrossRef]
- Prudden, H.J.; Hasso-Agopsowicz, M.; Black, R.E.; Troeger, C.; Reiner, R.C.; Breiman, R.F.; Jit, M.; Kang, G.; Lamberti, L.; Lanata, C.F.; et al. Meeting Report: WHO Workshop on modelling global mortality and aetiology estimates of enteric pathogens in children under five. Cape Town, 28–29th November 2018. Vaccine 2020, 38, 4792–4800. [Google Scholar] [CrossRef]
- Hasso-Agopsowicz, M.; Lopman, B.A.; Lanata, C.F.; Rogawski McQuade, E.T.; Kang, G.; Prudden, H.J.; Khalil, I.; Platts-Mills, J.A.; Kotloff, K.; Jit, M.; et al. World Health Organization Expert Working Group: Recommendations for assessing morbidity associated with enteric pathogens. Vaccine 2021, 39, 7521–7525. [Google Scholar] [CrossRef] [PubMed]
- Kotloff, K.L.; Nataro, J.P.; Blackwelder, W.C.; Nasrin, D.; Farag, T.H.; Panchalingam, S.; Wu, Y.; Sow, S.O.; Sur, D.; Breiman, R.F.; et al. Burden and aetiology of diarrhoeal disease in infants and young children in developing countries (the Global Enteric Multicenter Study, GEMS): A prospective, case-control study. Lancet 2013, 382, 209–222. [Google Scholar] [CrossRef] [PubMed]
- Sack, R.B. The discovery of cholera–like enterotoxins produced by Escherichia coli causing secretory diarrhoea in humans. Indian J. Med. Res. 2011, 133, 171–180. [Google Scholar] [PubMed]
- Qadri, F.; Svennerholm, A.; Faruque AS, G.; Sack, R.B. Enterotoxigenic Escherichia coli in developing countries: Epidemiology, microbiology, clinical features, treatment, and prevention. Clin. Microbiol. Rev. 2005, 18, 465–483. [Google Scholar] [CrossRef] [PubMed]
- Anderson, J.D., 4th; Bagamian, K.H.; Muhib, F.; Amaya, M.P.; Laytner, L.A.; Wierzba, T.; Rheingans, R. Burden of enterotoxigenic Escherichia coli and shigella non-fatal diarrhoeal infections in 79 low-income and lower middle-income countries: A modelling analysis. Lancet Glob. Health 2019, 7, e321–e330. [Google Scholar] [CrossRef] [PubMed]
- Anderson, J.D., 4th; Bagamian, K.H.; Muhib, F.; Baral, R.; Laytner, L.A.; Amaya, M.; Wierzba, T.; Rheingans, R. Potential impact and cost-effectiveness of future ETEC and Shigella vaccines in 79 low- and lower middle-income countries. Vaccine X 2019, 2, 100024. [Google Scholar] [CrossRef] [PubMed]
- Fleckenstein, J.M. Confronting challenges to enterotoxigenic Escherichia coli vaccine development. Front. Trop. Dis. 2021, 2, 709907. [Google Scholar] [CrossRef] [PubMed]
- Laxminarayan, R. The overlooked pandemic of antimicrobial resistance. Lancet 2022, 399, 606–607. [Google Scholar] [CrossRef] [PubMed]
- Guerrant, R.L.; Bolick, D.T.; Swann, J.R. Modeling Enteropathy or Diarrhea with the Top Bacterial and Protozoal Pathogens: Differential Determinants of Outcomes. ACS Infect. Dis. 2021, 7, 1020–1031. [Google Scholar] [CrossRef]
- Guerrant, R.L.; DeBoer, M.D.; Moore, S.R.; Scharf, R.J.; Lima, A.A.M. The impoverished gut—A triple burden of diarrhoea, stunting and chronic disease. Nat. Rev. Gastroenterol. Hepatol. 2013, 10, 220–229. [Google Scholar] [CrossRef]
- Black, R.E.; Brown, K.H.; Becker, S. Effects of diarrhea associated with specific enteropathogens on the growth of children in rural Bangladesh. Pediatrics 1984, 73, 799–805. [Google Scholar] [CrossRef] [PubMed]
- Lee, G.; Paredes Olortegui, M.; Peñataro Yori, P.; Black, R.E.; Caulfield, L.; Banda Chavez, C.; Hall, E.; Pan, W.K.; Meza, R.; Kosek, M. Effects of Shigella-, Campylobacter- and ETEC-associated diarrhea on childhood growth. Pediatr. Infect. Dis. J. 2014, 33, 1004–1009. [Google Scholar] [CrossRef] [PubMed]
- Sheikh, A.; Rashu, R.; Begum, Y.A.; Kuhlman, F.M.; Ciorba, M.A.; Hultgren, S.J.; Qadri, F.; Fleckenstein, J.M. Highly conserved type 1 pili promote enterotoxigenic E. coli pathogen-host interactions. PLoS Negl Trop. Dis. 2017, 11, e0005586. [Google Scholar] [CrossRef] [PubMed]
- Flores, J.; DuPont, H.L.; Lee, S.A.; Belkind-Gerson, J.; Paredes, M.; Mohamed, J.A.; Armitige, L.Y.; Guo, D.; Okhuysen, P.C. Influence of host interleukin-10 polymorphisms on development of traveler’s diarrhea due to heat-labile enterotoxin-producing Escherichia coli in travelers from the United States who are visiting Mexico. Clin. Vaccine Immunol. 2008, 15, 1194–1198. [Google Scholar] [CrossRef] [PubMed]
- Long, K.Z.; Rosado, J.L.; Santos, J.I.; Haas, M.; Al Mamun, A.; DuPont, H.L.; Nanthakumar, N.N.; Estrada-Garcia, T. Associations between mucosal innate and adaptive immune responses and resolution of diarrheal pathogen infections. Infect. Immun. 2010, 78, 1221–1228. [Google Scholar] [CrossRef] [PubMed]
- O’Ryan, M.; Vidal, R.; del Canto, F.; Carlos Salazar, J.; Montero, D. Vaccines for viral and bacterial pathogens causing acute gastroenteritis: Part II: Vaccines for Shigella, Salmonella, enterotoxigenic E. coli (ETEC) enterohemorragic E. coli (EHEC) and Campylobacter jejuni. Hum. Vaccines Immunother. 2015, 11, 601–619. [Google Scholar] [CrossRef] [PubMed]
- Clemens, J.D.; Sack, D.A.; Harris, J.R.; Chakraborty, J.; Neogy, P.K.; Stanton, B.; Huda, N.; Khan, M.U.; Kay, B.A.; Khan, M.R. Cross-protection by B subunit-whole cell cholera vaccine against diarrhea associated with heat-labile toxin-producing enterotoxigenic Escherichia coli: Results of a large-scale field trial. J. Infect. Dis. 1988, 158, 372–377. [Google Scholar] [CrossRef] [PubMed]
- Scerpella, E.G.; Sanchez, J.L.; Mathewson, I.J.; Torres-Cordero, J.V.; Sadoff, J.C.; Svennerholm, A.M.; DuPont, H.L.; Taylor, D.N.; Ericsson, C.D. Safety, Immunogenicity, and Protective Efficacy of the Whole-Cell/Recombinant B Subunit (WC/rBS) Oral Cholera Vaccine against Travelers’ Diarrhea. J. Travel Med. 1995, 2, 22–27. [Google Scholar] [CrossRef]
- Peltola, H.; Siitonen, A.; Kyrönseppä, H.; Simula, I.; Mattila, L.; Oksanen, P.; Kataja, M.J.; Cadoz, M. Prevention of travellers’ diarrhoea by oral B-subunit/whole-cell cholera vaccine. Lancet 1991, 338, 1285–1289. [Google Scholar] [CrossRef]
- Sheikh, A.; Tumala, B.; Vickers, T.J.; Martin, J.C.; Rosa, B.A.; Sabui, S.; Basu, S.; Simoes, R.D.; Mitreva, M.; Storer, C.; et al. Enterotoxigenic Escherichia coli heat-labile toxin drives enteropathic changes in small intestinal epithelia. Nat. Commun. 2022, 13, 6886–6887. [Google Scholar] [CrossRef]
- Glenn, G.M.; Francis, D.H.; Danielsen, E.M. Toxin-mediated effects on the innate mucosal defenses: Implications for enteric vaccines. Infect. Immun. 2009, 77, 5206–5215. [Google Scholar] [CrossRef]
- Behrens, R.H.; Cramer, J.P.; Jelinek, T.; Shaw, H.; von Sonnenburg, F.; Wilbraham, D.; Weinke, T.; Bell, D.J.; Asturias, E.; Pauwells, H.L.E.; et al. Efficacy and safety of a patch vaccine containing heat-labile toxin from Escherichia coli against travellers’ diarrhoea: A phase 3, randomised, double-blind, placebo-controlled field trial in travellers from Europe to Mexico and Guatemala. Lancet Infect. Dis. 2014, 14, 197–204. [Google Scholar] [CrossRef] [PubMed]
- Girard, M.P.; Steele, D.; Chaignat, C.; Kieny, M.P. A review of vaccine research and development: Human enteric infections. Vaccine 2006, 24, 2732–2750. [Google Scholar] [CrossRef]
- McKenzie, R.; Porter, C.K.; Cantrell, J.A.; Denearing, B.; O’Dowd, A.; Grahek, S.L.; Sincock, S.A.; Woods, C.; Sebeny, P.; Sack, D.A.; et al. Volunteer challenge with enterotoxigenic Escherichia coli that express intestinal colonization factor fimbriae CS17 and CS19. J. Infect. Dis. 2011, 204, 60–64. [Google Scholar] [CrossRef] [PubMed]
- Bi, Q.; Ferreras, E.; Pezzoli, L.; Legros, D.; Ivers, L.C.; Date, K.; Qadri, F.; Digilio, L.; Sack, D.A.; Ali, M.; et al. Protection against cholera from killed whole-cell oral cholera vaccines: A systematic review and meta-analysis. Lancet Infect. Dis. 2017, 17, 1080–1088. [Google Scholar] [CrossRef]
- Savarino, S.J.; McKenzie, R.; Tribble, D.R.; Porter, C.K.; O’Dowd, A.; Sincock, S.A.; Poole, S.T.; DeNearing, B.; Woods, C.M.; Kim, H.; et al. Hyperimmune Bovine Colostral Anti-CS17 Antibodies Protect against Enterotoxigenic Escherichia coli Diarrhea in a Randomized, Doubled-Blind, Placebo-Controlled Human Infection Model. J. Infect. Dis. 2019, 220, 505–513. [Google Scholar] [CrossRef] [PubMed]
- Porter, C.K.; Riddle, M.S.; Tribble, D.R.; Louis Bougeois, A.; McKenzie, R.; Isidean, S.D.; Sebeny, P.; Savarino, S.J. A systematic review of experimental infections with enterotoxigenic Escherichia coli (ETEC). Vaccine 2011, 29, 5869–5885. [Google Scholar] [CrossRef]
- Levine, M.M.; Bergquist, E.J.; Nalin, D.R.; Waterman, D.H.; Hornick, R.B.; Young, C.R.; Sotman, S. Escherichia coli strains that cause diarrhoea but do not produce heat-labile or heat-stable enterotoxins and are non-invasive. Lancet 1978, 1, 1119–1122. [Google Scholar] [CrossRef]
- Porter, C.K.; Riddle, M.S.; Alcala, A.N.; Sack, D.A.; Harro, C.; Chakraborty, S.; Gutierrez, R.L.; Savarino, S.J.; Darsley, M.; McKenzie, R.; et al. An Evidenced-Based Scale of Disease Severity following Human Challenge with Enteroxigenic Escherichia coli. PLoS ONE 2016, 11, e0149358. [Google Scholar] [CrossRef]
- Son, M.S.; Taylor, R.K. Vibriocidal assays to determine the antibody titer of patient sera samples. Curr. Protoc. Microbiol. 2011, 23, 6A.3.1–6A.3.9. [Google Scholar] [CrossRef]
- Holmgren, J.; Parashar, U.D.; Plotkin, S.; Louis, J.; Ng, S.; Desauziers, E.; Picot, V.; Saadatian-Elahi, M. Correlates of protection for enteric vaccines. Vaccine 2017, 35, 3355–3363. [Google Scholar] [CrossRef] [PubMed]
- Iyer, A.S.; Harris, J.B. Correlates of Protection for Cholera. J. Infect. Dis. 2021, 224, S732–S737. [Google Scholar] [CrossRef] [PubMed]
- Altman, D.G.; Bland, J.M. How to obtain the confidence interval from a p value. BMJ 2011, 343, d2090. [Google Scholar] [CrossRef] [PubMed]
- Kreisberg, R.B.; Harper, J.; Strauman, M.C.; Marohn, M.; Clements, J.D.; Nataro, J.P. Induction of increased permeability of polarized enterocyte monolayers by enterotoxigenic Escherichia coli heat-labile enterotoxin. Am. J. Trop. Med. Hyg. 2011, 84, 451–455. [Google Scholar] [CrossRef][Green Version]
- Walker, R.I.; Clifford, A. Recommendations regarding the development of combined enterotoxigenic Eschericha coli and Shigella vaccines for infants. Vaccine 2015, 33, 946–953. [Google Scholar] [CrossRef]




| Participants Experiencing Diarrhea n (%) [95% CI] | VLA1701 (n = 15) | Placebo (n = 15) | p-Value |
|---|---|---|---|
| Moderate-to-severe diarrhea | 7 (46.7) [24.8, 69.9] | 11 (73.3) [48.0, 89.1] | 0.264 |
| Any diarrhea | 8 (53.3) [30.1, 75.2] | 14 (93.3) [70.2, 98.8] | 0.035 |
| Mild diarrhea | 1 (6.7) [1.2, 29.8] | 3 (20.0) [7.0, 45.2] | 0.598 |
| Moderate diarrhea | 5 (33.3) [15.2, 58.3] | 4 (26.7) [10.9, 52.0] | 1.000 |
| Severe diarrhea | 2 (13.3) [3.7. 37.9] | 7 (46.7) [24.8, 69.9] | 0.109 |
| Received intravenous fluids | 0 (0.0) [0.0, 20.4] | 5 (33.3) [15.2, 58.3] | 0.042 |
| Early antibiotic treatment | 4 (26.7) | 8 (53.3) | 0.264 |
| Median Diarrheal Stool Output (Interquartile Range) | VLA1701 (n = 8) | Placebo (n = 14) | p-Value |
|---|---|---|---|
| Total weight (g) | 746 (579.0–1011) | 953.5 (643–1349) | 0.609 |
| Total number | 6.5 (6.0–8.5) | 9 (7.0–11) | 0.149 |
| Maximum 24-h volume (g) | 499.0 (323.0–794.0) | 553.5 (358.0–907.0) | 0.919 |
| Maximum 24-h number | 4.0 (3.5–7.0) | 5.0 (4.0–7.0) | 0.512 |
Disclaimer/Publisher’s Note: The statements, opinions and data contained in all publications are solely those of the individual author(s) and contributor(s) and not of MDPI and/or the editor(s). MDPI and/or the editor(s) disclaim responsibility for any injury to people or property resulting from any ideas, methods, instructions or products referred to in the content. |
© 2024 by the authors. Licensee MDPI, Basel, Switzerland. This article is an open access article distributed under the terms and conditions of the Creative Commons Attribution (CC BY) license (https://creativecommons.org/licenses/by/4.0/).
Share and Cite
Talaat, K.R.; Porter, C.K.; Chakraborty, S.; Feijoo, B.L.; Brubaker, J.; Adjoodani, B.M.; DeNearing, B.; Prouty, M.G.; Poole, S.T.; Bourgeois, A.L.; et al. Validation of a Human Challenge Model Using an LT-Expressing Enterotoxigenic E. coli Strain (LSN03-016011) and Characterization of Potential Amelioration of Disease by an Investigational Oral Vaccine Candidate (VLA1701). Microorganisms 2024, 12, 727. https://doi.org/10.3390/microorganisms12040727
Talaat KR, Porter CK, Chakraborty S, Feijoo BL, Brubaker J, Adjoodani BM, DeNearing B, Prouty MG, Poole ST, Bourgeois AL, et al. Validation of a Human Challenge Model Using an LT-Expressing Enterotoxigenic E. coli Strain (LSN03-016011) and Characterization of Potential Amelioration of Disease by an Investigational Oral Vaccine Candidate (VLA1701). Microorganisms. 2024; 12(4):727. https://doi.org/10.3390/microorganisms12040727
Chicago/Turabian StyleTalaat, Kawsar R., Chad K. Porter, Subhra Chakraborty, Brittany L. Feijoo, Jessica Brubaker, Brittany M. Adjoodani, Barbara DeNearing, Michael G. Prouty, Steven T. Poole, A. Louis Bourgeois, and et al. 2024. "Validation of a Human Challenge Model Using an LT-Expressing Enterotoxigenic E. coli Strain (LSN03-016011) and Characterization of Potential Amelioration of Disease by an Investigational Oral Vaccine Candidate (VLA1701)" Microorganisms 12, no. 4: 727. https://doi.org/10.3390/microorganisms12040727
APA StyleTalaat, K. R., Porter, C. K., Chakraborty, S., Feijoo, B. L., Brubaker, J., Adjoodani, B. M., DeNearing, B., Prouty, M. G., Poole, S. T., Bourgeois, A. L., Billingsley, M., Sack, D. A., Eder-Lingelbach, S., & Taucher, C. (2024). Validation of a Human Challenge Model Using an LT-Expressing Enterotoxigenic E. coli Strain (LSN03-016011) and Characterization of Potential Amelioration of Disease by an Investigational Oral Vaccine Candidate (VLA1701). Microorganisms, 12(4), 727. https://doi.org/10.3390/microorganisms12040727

