Cenchrus spinifex Invasion Alters Soil Nitrogen Dynamics and Competition
Abstract
1. Introduction
2. Methods and Materials
2.1. Description of the Study Area
2.2. Field Sampling
2.3. Potting Experiment Design
2.4. Experimental Sampling
2.5. Soil Physicochemical Analysis
2.6. Plant Processing
2.7. Microbial Analysis
2.8. Soil N-Cycling Rates
2.9. Statistical Analysis of the Data
3. Results
3.1. The Impact of Invasion of Cenchrus spinifex on the Abundance of Key Microbial Communities in Soil Nitrogen Cycling
3.1.1. The Impact of Invasion on Soil Physicochemical Properties and Nitrogen Conversion Rate
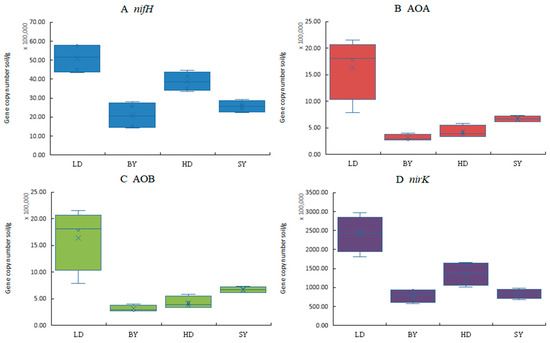
3.1.2. The Impact of Invasion on the Abundance of Key Microorganisms Involved in Soil Nitrogen Transformation
3.1.3. Heat Map Analysis of the Correlation Between Soil Environmental Factors and the Abundance of Nitrogen-Transformation Functional Genes
3.2. The Effects of Different Forms of Nitrogen Addition on the Abundance of Rhizosphere Soil Microbial Communities of the Invasive Plant C. spinifex and Native Symbiotic Plants
3.2.1. Plant Height
3.2.2. Plant Biomass
3.2.3. Interaction Index
3.2.4. Response of the Rhizosphere Soil Environment to the Addition of Nitrogen and Interspecific Competition
3.2.5. Response of the Nitrogen Conversion Rate in Rhizosphere Soil to the Addition of Nitrogen and Interspecific Competition
3.2.6. Abundance of Key Microbial Communities in the Soil Nitrogen Cycle in Response to the Addition of Nitrogen and Interspecies Competition
3.2.7. Network Heat Map Analysis of Key Microbial Community Abundance and Soil Environmental Factors in the Soil Nitrogen Cycle
3.2.8. Structural Equation Model (SEM)
4. Discussion
4.1. Cenchrus Spinifex Exhibits a Competitive Growth Strategy Compared to Native Plants
4.2. C. spinifex Prefers Nitrogen Absorption for Successful Invasion
4.3. Cenchrus spinifex Changes the Soil Environment and Affects the Key Microorganisms of Nitrogen Transformation, Thus Impacting the Nitrogen Cycle
5. Conclusions
Supplementary Materials
Author Contributions
Funding
Data Availability Statement
Conflicts of Interest
References
- Sardans, J.; Bartrons, M.; Margalef, O.; Gargallo-Garriga, A.; Janssens, I.A.; Ciais, P.; Obersteiner, M.; Sigurdsson, B.D.; Chen, H.Y.H.; Peñuelas, J. Plant invasion is associated with higher plant–soil nutrient concentrations in nutrient-poor environments. Glob. Chang. Biol. 2017, 23, 1282–1291. [Google Scholar] [CrossRef] [PubMed]
- Bradley, B.A.; Blumenthal, D.M.; Wilcove, D.S.; Ziska, L.H. Predicting plant invasions in an era of global change. Trends Ecol. Evol. 2010, 25, 310–318. [Google Scholar] [CrossRef] [PubMed]
- Wang, J.J.; He, L.L. Geographical distribution and main environmental impact factors of Cenchrus spinifex in Liaoning Province. Mod. Agric. 2022, 24, 10–12. Available online: https://d.wanfangdata.com.cn/periodical/xinny202224008 (accessed on 1 January 2022).
- Sun, Z.L.; Shu, Q.; Gao, K.; Zhou, L.Y.; Tian, X.; Guo, F.C. Invasion Status, Adaptive Mechanism and Control Strategy of Field Sandbur: A Review. Acta Agrestia Sin. 2020, 5, 1196–1202. [Google Scholar] [CrossRef]
- Ma, J.B.; Zhang, Y.L.; Tian, X.; Zhou, L.Y. Studies on physiological adaptability of Cenchrus pauciflorus in different growth periods of Horqin sandy land. Grassl. Turf. 2020, 40, 52–64. [Google Scholar] [CrossRef]
- Mark, M.C.; D’Antonio, C.M. Exotic grasses alter controls over soil nitrogen dynamics in a Hawaiian woodland. Ecol. Appl. 2003, 13, 154–166. [Google Scholar] [CrossRef]
- Fei, S.; Phillips, J.; Shouse, M. Biogeomorphic impacts of invasive species. Annu. Rev. Ecol. Evol. Syst. 2014, 45, 69–87. [Google Scholar] [CrossRef]
- Hulme, P.E.; Pysek, P.; Jarosík, V.; Pergl, J.; Schaffner, U.; Vilà, M. Bias and error in understanding plant invasion impacts. Trends Ecol. Evol. 2013, 28, 212–218. [Google Scholar] [CrossRef]
- Liao, M.; Xie, X.M.; Peng, Y.; Chai, J.J.; Chen, N. Characteristics of soil microbial community functional and structure diversity with coverage of Solidago Canadensis L. J. Cent. South Univ. 2013, 20, 749–756. [Google Scholar] [CrossRef]
- Kaur, R.; Malhotra, S.; Inderjit. Effects of invasion of mikania micrantha on germination of rice seedlings, plant richness, chemical properties and respiration of soil. Biol. Fertil. Soils 2012, 48, 481–488. [Google Scholar] [CrossRef]
- Sharma, G.P.; Raghubanshi, A.S. Lantana invasion alters soil nitrogen pools and processes in the tropical dry deciduous forest of India. Appl. Soil Ecol. 2009, 42, 134–140. [Google Scholar] [CrossRef]
- Huang, J.; Xu, X.; Wang, M.; Nie, M.; Qiu, S.; Wang, Q.; Quan, Z.; Xiao, M.; Li, B. Responses of soil nitrogen fixation to Spartina alterniflora invasion and nitrogen addition in a Chinese salt marsh. Sci. Rep. 2016, 6, 20384. [Google Scholar] [CrossRef] [PubMed]
- Lu, J.Z.; Qiu, W.; Chen, J.K.; Li, B. Impact of invasive species on soil properties: Canadian goldenrod (Solidago canadensis) as a case study. Chin. Biodivers. 2005, 13, 347–356. [Google Scholar] [CrossRef]
- Yang, G.; Liu, N.; Lu, W.; Wang, S.; Kan, H.M.; Zhang, Y.J.; Xu, L.; Chen, Y.L. The interaction between arbuscular mycorrhizal fungi and soil phosphorus availability influences plant community productivity and ecosystem stability. J. Ecol. 2014, 102, 1072–1082. [Google Scholar] [CrossRef]
- Geldner, N.; Salt, D.E. Focus on roots. Plant Physiol. 2014, 166, 453–454. [Google Scholar] [CrossRef][Green Version]
- Hou, Q.C.; Fen, Y.L.; Zhou, Y.J.; Ao, Y.M.; Chen, C.X.; Xin, Y.J.; Wang, Q.G.; Yan, G.Y. Major hypotheses on plant invasion mechanisms. Chin. J. Appl. Ecol. 2022, 33, 3105–3115. [Google Scholar] [CrossRef]
- Chang, E.H.; Chiu, C.Y. Changes in soil microbial community structure and activity in a cedar plantation invaded by moso bamboo. Appl. Soil Ecol. 2015, 91, 1–7. [Google Scholar] [CrossRef]
- Yan, J.F.; Wang, L.; Tsang, Y.F.; Qian, L.W.; Fu, X.H.; Sun, Y.; Wu, P.F. Conversion of organic carbon from decayed native and invasive plant litter in jiuduansha wetland and its implications for soc formation and sequestration. J. Soil Sediments 2020, 20, 675–689. [Google Scholar] [CrossRef]
- Klironomos, J.N. Feedback with soil biota contributes to plant rarity and invasiveness in communities. Nature 2002, 417, 67–70. [Google Scholar] [CrossRef]
- Lin, G.; He, Y.; Lu, J.; Chen, H.; Feng, J. Seasonal variations in soil physicochemical properties and microbial community structure influenced by spartina alterniflora invasion and kandelia obovata restoration. Sci. Total Environ. 2021, 797, 149213. [Google Scholar] [CrossRef]
- Li, Q.; Wan, F.; Zhao, M. Distinct soil microbial communities under Ageratina adenophora invasions. Plant Biol. 2022, 24, 430–439. [Google Scholar] [CrossRef] [PubMed]
- Kuypers, M.M.M.; Marchant, H.K.; Kartal, B. The microbial nitrogen-cycling network. Nat. Rev. Microbiol. 2018, 16, 263–276. [Google Scholar] [CrossRef] [PubMed]
- Rodrigues, R.R.; Pineda, R.P.; Barney, J.N.; Nilsen, E.T.; Barrett, J.E.; Williams, M.A. Plant invasions associated with change in root-zone microbial community structure and diversity. PLoS ONE 2015, 10, e0141424. [Google Scholar] [CrossRef] [PubMed]
- Kazakou, E.; Dimitrakopoulos, P.G.; Baker, A.J.; Reeves, R.D.; Troumbis, A.Y. Hypotheses, mechanisms and trade-offs of tolerance and adaptation to serpentine soils: From species to ecosystem level. Biol. Rev. 2008, 83, 495–508. [Google Scholar] [CrossRef]
- Piper, C.L.; Lamb, E.G.; Siciliano, S.D. Smooth brome changes gross soil nitrogen cycling processes during invasion of a rough fescue grassland. Plant Ecol. 2015, 216, 235–246. [Google Scholar] [CrossRef]
- Dassonville, N.; Guillaumaud, N.; Piola, F.; Meerts, P.; Poly, F. Niche construction by the invasive asian knotweeds (species complex Fallopia): Impact on activity abundance and community structure of denitrifiers and nitrifiers. Biol. Invasions 2011, 13, 1115–1133. [Google Scholar] [CrossRef]
- Chen, B.M.; Wei, H.J.; Chen, W.B.; Zhu, Z.C.; Yuan, Y.; Zhang, Y.L.; Lang, Z.G. Effects of plant invasion on soil nitrogen transformation processes and its associated microbes. Chin. J. Plant Ecol. 2018, 42, 1071–1081. [Google Scholar] [CrossRef]
- Bao, S.D. Soil agronomy analysis. In Soil Chemical Analysis for Agriculture, 3rd ed.; China Agriculture Press: Beijing, China, 2000. [Google Scholar]
- Armas, C.; Pugnaire, F.I. Ontogenetic shifts in interactions of two dominant shrub species in a semi-arid coastal sand dune system. J. Veg. Sci. 2009, 20, 535–546. [Google Scholar] [CrossRef]
- Chiuffo, M.C.; MacDougall, A.S.; Hierro, J.L. Native and non-native ruderals experience similar plant-soil feedbacks and neighbor effects in a system where they coexist. Oecologia 2015, 179, 843–852. [Google Scholar] [CrossRef]
- Schöb, C.; Armas, C.; Pugnaire, F.I. Direct and indirect interactions co-determine species composition in nurse plant systems. Oikos 2013, 122, 1371–1379. [Google Scholar] [CrossRef]
- Ke, X.B.; Angel, R.; Lu, Y.H.; Conrad, R. Niche Differentiation of ammonia oxidizers and nitrite oxidizers in rice paddy soil. Environ. Microbiol. 2013, 15, 2275–2292. [Google Scholar] [CrossRef] [PubMed]
- Bremer, E.; Kuikman, P. Influence of competition for nitrogen in soil on net mineralization of nitrogen. Plant Soil 1997, 190, 119–126. [Google Scholar] [CrossRef]
- Bentler, P.M.; Bonett, D.G. Significance tests and goodness of fit in the analysis of covariance structures. Psychol. Bull. 1980, 88, 588–606. [Google Scholar] [CrossRef]
- Yan, B.J.; Ji, Z.H.; Fan, B.; Wang, X.M.; He, G.X.; Shi, L.T.; Liu, G.C. Plants adapted to nutrient limitation allocate less biomass into stems in an arid-hot grassland. New Phytol. 2016, 211, 1232–1240. [Google Scholar] [CrossRef]
- Florianová, A.; Münzbergová, Z. Invasive impatiens parviflora has negative impact on native vegetation in oak-hornbeam forests. Flora 2017, 226, 10–16. [Google Scholar] [CrossRef]
- Qi, X.X.; Zhang, S.Y.; Lin, F.; Zhang, L.L.; Yang, D.L.; Wang, H. Effects of Flaveria bidentis on plant communities and soil microbial communities in different invasions. Acta Ecol. Sin. 2019, 39, 8472–8482. [Google Scholar] [CrossRef]
- Ren, G.Q.; Yang, H.Y.; Li, J.; Prabakaran, K.; Dai, Z.C.; Wang, X.P.; Jiang, K.; Zou, C.B.; Du, D.L. Additive effects of warming and nitrogen addition on the performance and competitiveness of invasive Solidago canadensis L. Plant Species Biol. 2022, 35, 283–299. [Google Scholar] [CrossRef]
- Jin, B.; Yan, H.; Zhang, W.; Zeng, C. Contents and Storages of Various Forms of Nitrogen in Soils of Wetlands in the Min River Estuary under Spartina alterniflora Invasion. Wetl. Sci. 2017, 15, 375–384. [Google Scholar] [CrossRef]
- Stefanowicz, A.M.; Stanek, M.; Nobis, M.; Zubek, S. Few effects of invasive plants Reynoutria japonica, Rudbeckia laciniata and Solidago gigantea on soil physical and chemical properties. Sci. Total Environ. 2017, 574, 938–946. [Google Scholar] [CrossRef]
- Qing, H.; Cai, Y.; Xiao, Y.; Yao, Y.H.; An, S. Nitrogen Uptake and Use Efficiency of Invasive Spartina alterniflora and Native Phragmites australis: Effect of Nitrogen Supply. Clean Soil Air Water J. Sustain. Environ. Saf. 2015, 43, 305–311. [Google Scholar] [CrossRef]
- Salpagarova, F.S.; Van, L.S.P.; Onipchenko, V.G. Nitrogen content in fine roots and the structural and functional adaptations of alpine plants. Biol. Bull. Rev. 2014, 4, 243–251. [Google Scholar] [CrossRef]
- Unkovich, M.; Pate, J.S. Assessing N2 fixation in annual legumes using 15N natural abundance. In Stable Isotope Techniques in the Study of Biological Processes and Functioning of Ecosystems; Unkovich, M., Pate, J., Mcneill, A., Eds.; Springer: Berlin/Heidelberg, Germany; Dordrecht, The Netherlands, 2001; Volume 40, pp. 103–118. [Google Scholar] [CrossRef]
- Hewins, D.B.; Hyatt, L.A. Flexible N uptake and assimilation mechanisms may assist biological invasion by Alliaria petiolata. Biol. Invasions 2010, 12, 2639–2647. [Google Scholar] [CrossRef]
- Luckhart, S.; Riehle, M.A. Introduction to marine biogeochemistry. Dev. Comp. Immunol. 2009, 31, 647–656. [Google Scholar] [CrossRef] [PubMed]
- Sun, Y.; Roderick, G.K. Rapid evolution of invasive traits facilitates the invasion of common ragweed, ambrosia artemisiifolia. J. Ecol. 2019, 107, 2673–2687. [Google Scholar] [CrossRef]
- Liao, M.; Xie, X.M.; Peng, Y.; Ma, A.L. Changes of Soil Microbiological Characteristics After Solidago canadensis L. Invasion. Agric. Sci. China 2011, 10, 1064–1071. [Google Scholar] [CrossRef]
- Wang, J.W.; Wang, J.L.; Wang, J.; Li, W.H.; Zhang, C.B. Effects of Solidago canadensis invasion on soil enzyme activities. Plant Nutr. Fertil. Sci. 2011, 17, 117–123. [Google Scholar] [CrossRef]
- Teng, Q.M.; Lu, X.N.; Zhang, Q.Q.; Cai, L.L.; Sardar, M.F.; Li, Y.F.; Abbas, T.; Li, Y.; Chang, S.X.; Li, Y.C. Litterfall quality modulates soil ammonium and nitrate supply through altering microbial function in bamboo encroachment of broadleaf forests. Geoderma 2023, 437, 116592. [Google Scholar] [CrossRef]
- Shen, J.P.; Zhang, L.M.; Zhu, Y.G.; Zhang, J.B.; He, J.Z. Abundance and composition of ammonia, xidizing bacteria and ammonia, xidizing archaea communities of an alkaline sandy loam. Environ. Microbiol. 2008, 10, 1601–1611. [Google Scholar] [CrossRef]
- Chen, W.B.; Chen, B.M. Considering the preferences for nitrogen forms by invasive plants: A case study from a hydroponic culture experiment. Weed Res. 2019, 59, 49–57. [Google Scholar] [CrossRef]
- Morais, M.C.; Oliveira, P.; Marchante, H.; Freitas, H.; Marchante, E. Is richer always better? Consequences of invaded N-rich soils for the early growth of a native and an invasive species. Flora 2019, 260, 151469. [Google Scholar] [CrossRef]
- Yang, K.; Luo, S.; Hu, L.; Chen, B.; Xie, Z.; Ma, B.; Ma, W.; Du, G.; Ma, X.; Le Roux, X. Responses of soil ammonia-oxidizing bacteria and archaea diversity to n, p and np fertilization: Relationships with soil environmental variables and plant community diversity. Soil Biol. Biochem. 2020, 145, 107795. [Google Scholar] [CrossRef]
- Kowalchuk, G.A.; Stephen, J.R. Ammonia-Oxidizing Bacteria: A Model for Molecular Microbial Ecology. Annu. Rev. Microbiol. 2001, 55, 485–529. [Google Scholar] [CrossRef] [PubMed]
- Shannon-Firestone, S.; Reynolds, H.L.; Phillips, R.P. The role of ammonium oxidizing communities in mediating effects of an invasive plant on soil nitrification. Soil Biol. Biochem. 2015, 90, 266–274. [Google Scholar] [CrossRef]
- Bei, S.; Zhang, Y.L.; Li, T.T.; Christie, P.; Li, X.L.; Zhang, J.L. Response of the soil microbial community to different fertilizer inputs in a wheat-maize rotation on a calcareous soil. Agric. Ecosyst. Environ. 2018, 260, 58–59. [Google Scholar] [CrossRef]
- Di, H.J.; Cameron, K.C. Nitrate leaching in temperate agroecosystems: Sources factors and mitigating strategies. Nutr. Cycl. Agroecosyst. 2002, 64, 237–256. [Google Scholar] [CrossRef]
- Bru, D.; Sarr, A.; Philippot, L. Relative abundances of proteobacterial membrane-bound and periplasmic nitrate reductases in selected environments. Appl. Environ. Microbiol. 2007, 73, 5971–5974. [Google Scholar] [CrossRef]
- Carey, C.J.; Dove, N.C.; Beman, J.M.; Hart, S.C.; Aronson, E.L. Meta-analysis reveals ammonia-oxidizing bacteria respond more strongly to nitrogen addition than ammonia-oxidizing archaea. Soil Biol. Biochem. 2016, 99, 158–166. [Google Scholar] [CrossRef]
- Li, W.; Li, Y.; Lv, J.; He, X.; Wang, J.; Teng, D.; Jiang, L.; Wang, H.; Lv, G. Rhizosphere effect alters the soil microbiome composition and C, N transformation in an arid ecosystem. Appl. Soil Ecol. 2021, 170, 104296. [Google Scholar] [CrossRef]
- Wang, J.; Shi, X.; Zheng, C.; Suter, H.; Huang, Z. Different responses of soil bacterial and fungal communities to nitrogen deposition in a subtropical forest. Sci. Total Environ. 2020, 755, 142449. [Google Scholar] [CrossRef]







| LD | BY | HD | SY | |
|---|---|---|---|---|
| TN (g∙kg−1) | 0.20 ± 0.01 ab | 0.18 ± 0.01 b | 0.21 ± 0.01 a | 0.20 ± 0.01 ab |
| NH4+-N (mg∙kg−1) | 1.80 ± 1.05 | 0.69 ± 0.04 | 2.17 ± 0.39 | 1.11 ± 0.30 |
| AN (mg∙kg−1) | 20.67 ± 2.05 ab | 21.33 ± 0.33 a | 16.92 ± 0.65 b | 23.92 ± 1.17 a |
| NO3+-N (mg∙kg−1) | 1.75 ± 0.74 | 1.51 ± 0.16 | 3.06 ± 0.53 | 3.02 ± 0.30 |
| TP (g∙kg−1) | 0.42 ± 0.01 a | 0.32 ± 0.05 ab | 0.32 ± 0.04 ab | 0.27 ± 0.02 b |
| AP (mg·kg−1) | 0.39 ± 0.02 ab | 0.47 ± 0.03 a | 0.43 ± 0.04 ab | 0.32 ± 0.05 b |
| SOC (g∙kg−1) | 1.50 ± 0.06 a | 1.03 ± 0.06 bc | 0.99 ± 0.11 c | 1.36 ± 0.15 ab |
| EC (S∙m−1) | 13.34 ± 1.63 ab | 15.21 ± 1.11 a | 10.73 ± 0.95 b | 10.36 ± 0.42 b |
| pH | 5.76 ± 0.18 | 5.65 ± 0.11 | 5.56 ± 0.04 | 5.59 ± 0.15 |
| NNR (mg·g−1·d−1) | 0.40 ± 0.12 b | 0.96 ± 0.16 a | 0.92 ± 0.12 a | 0.79 ± 0.14 ab |
| NMR (mg·g−1·d−1) | 1.22 ± 0.06 | 1.04 ± 0.14 | 1.23 ± 0.06 | 1.58 ± 0.35 |
| NAR (mg·g−1·d−1) | 0.83 ± 0.06 a | 0.08 ± 0.24 b | 0.31 ± 0.18 ab | 0.79 ± 0.29 ab |
Disclaimer/Publisher’s Note: The statements, opinions and data contained in all publications are solely those of the individual author(s) and contributor(s) and not of MDPI and/or the editor(s). MDPI and/or the editor(s) disclaim responsibility for any injury to people or property resulting from any ideas, methods, instructions or products referred to in the content. |
© 2024 by the authors. Licensee MDPI, Basel, Switzerland. This article is an open access article distributed under the terms and conditions of the Creative Commons Attribution (CC BY) license (https://creativecommons.org/licenses/by/4.0/).
Share and Cite
Meng, M.; Ren, B.; Yu, J.; Li, D.; Li, H.; Li, J.; Yang, J.; Bai, L.; Feng, Y. Cenchrus spinifex Invasion Alters Soil Nitrogen Dynamics and Competition. Microorganisms 2024, 12, 2120. https://doi.org/10.3390/microorganisms12112120
Meng M, Ren B, Yu J, Li D, Li H, Li J, Yang J, Bai L, Feng Y. Cenchrus spinifex Invasion Alters Soil Nitrogen Dynamics and Competition. Microorganisms. 2024; 12(11):2120. https://doi.org/10.3390/microorganisms12112120
Chicago/Turabian StyleMeng, Meng, Baihui Ren, Jianxin Yu, Daiyan Li, Haoyan Li, Jiahuan Li, Jiyun Yang, Long Bai, and Yulong Feng. 2024. "Cenchrus spinifex Invasion Alters Soil Nitrogen Dynamics and Competition" Microorganisms 12, no. 11: 2120. https://doi.org/10.3390/microorganisms12112120
APA StyleMeng, M., Ren, B., Yu, J., Li, D., Li, H., Li, J., Yang, J., Bai, L., & Feng, Y. (2024). Cenchrus spinifex Invasion Alters Soil Nitrogen Dynamics and Competition. Microorganisms, 12(11), 2120. https://doi.org/10.3390/microorganisms12112120
