Green Synthesized Silver Nanoparticles: A Novel Approach for the Enhanced Growth and Yield of Tomato against Early Blight Disease
Abstract
1. Introduction
2. Materials and Methods
2.1. Materials
2.2. Synthesis of Silver Nanoparticles
2.3. Source of Alternaria solani
2.4. In Vitro Antifungal Studies of Silver Nanoparticles
2.5. In Vivo Antifungal Studies of Silver Nanoparticles
2.5.1. Experimental Design
2.5.2. Inoculation Preparation and Application of A. solani
2.5.3. Application of Silver Nanoparticles
2.5.4. Measurement of Disease Parameters of Tomato Plant
2.5.5. Growth and Yield Analysis of Tomato Plant
2.5.6. Determination of Photosynthetic Pigments of Tomato Plant
2.5.7. Quantification of Alkaloids, Flavonoids, Total Soluble Sugar, and Total Soluble Protein of Tomato Plant
2.5.8. Assessment of Proline and Phenolics Activity of Tomato Plant
2.5.9. Estimation of Antioxidative Activities of Tomato Plant
2.6. Data Analysis
3. Results
3.1. In Vitro Antifungal Studies of Silver Nanoparticles
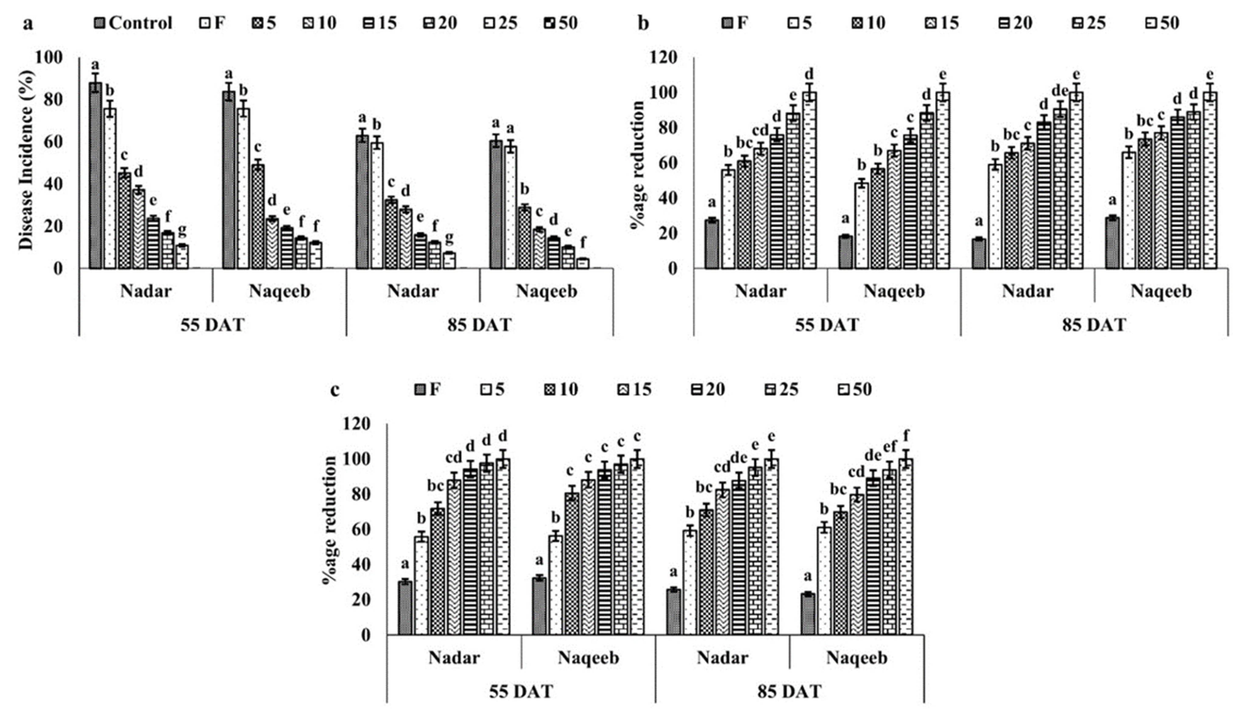
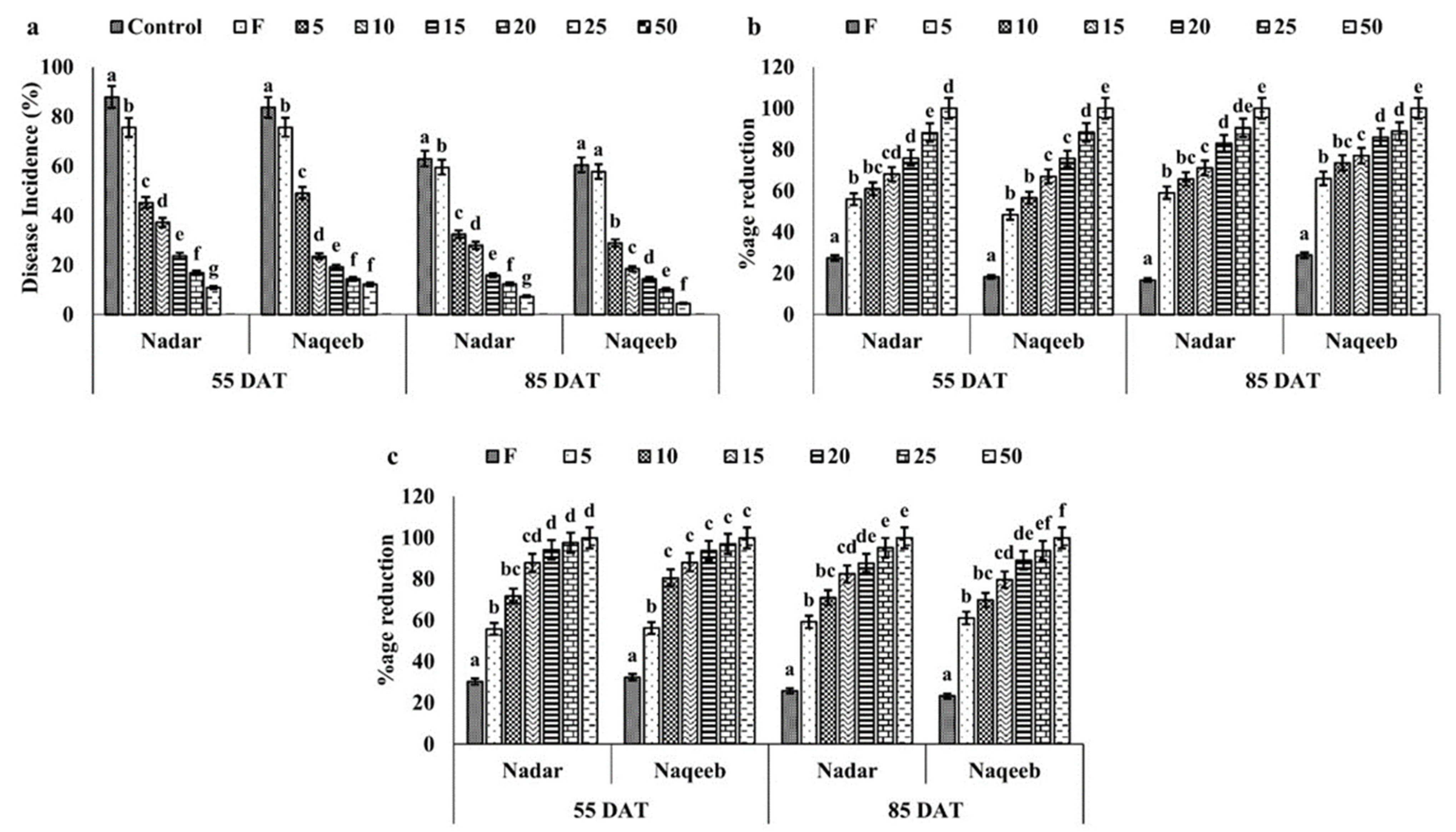
3.2. In Vivo Antifungal Studies of Silver Nanoparticles
3.3. Effect of Silver Nanoparticles on Growth Traits of Tomato Plant
3.4. Effect of Silver Nanoparticles on Biomass Production of Tomato Plant
3.5. Effect of Silver Nanoparticles on Photosynthetic Pigments of Tomato Plant
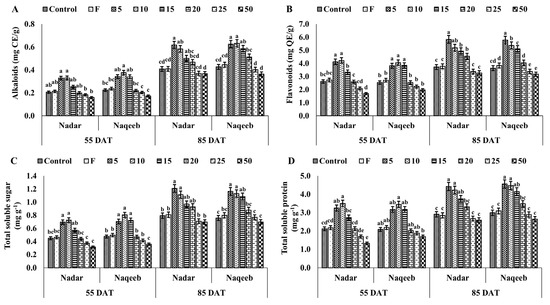
3.6. Effect of Silver Nanoparticles on Alkaloids, Flavonoids, Total Soluble Sugar, and Total Soluble Protein of Tomato Plant
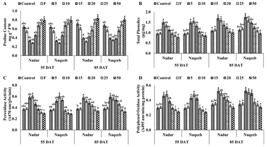
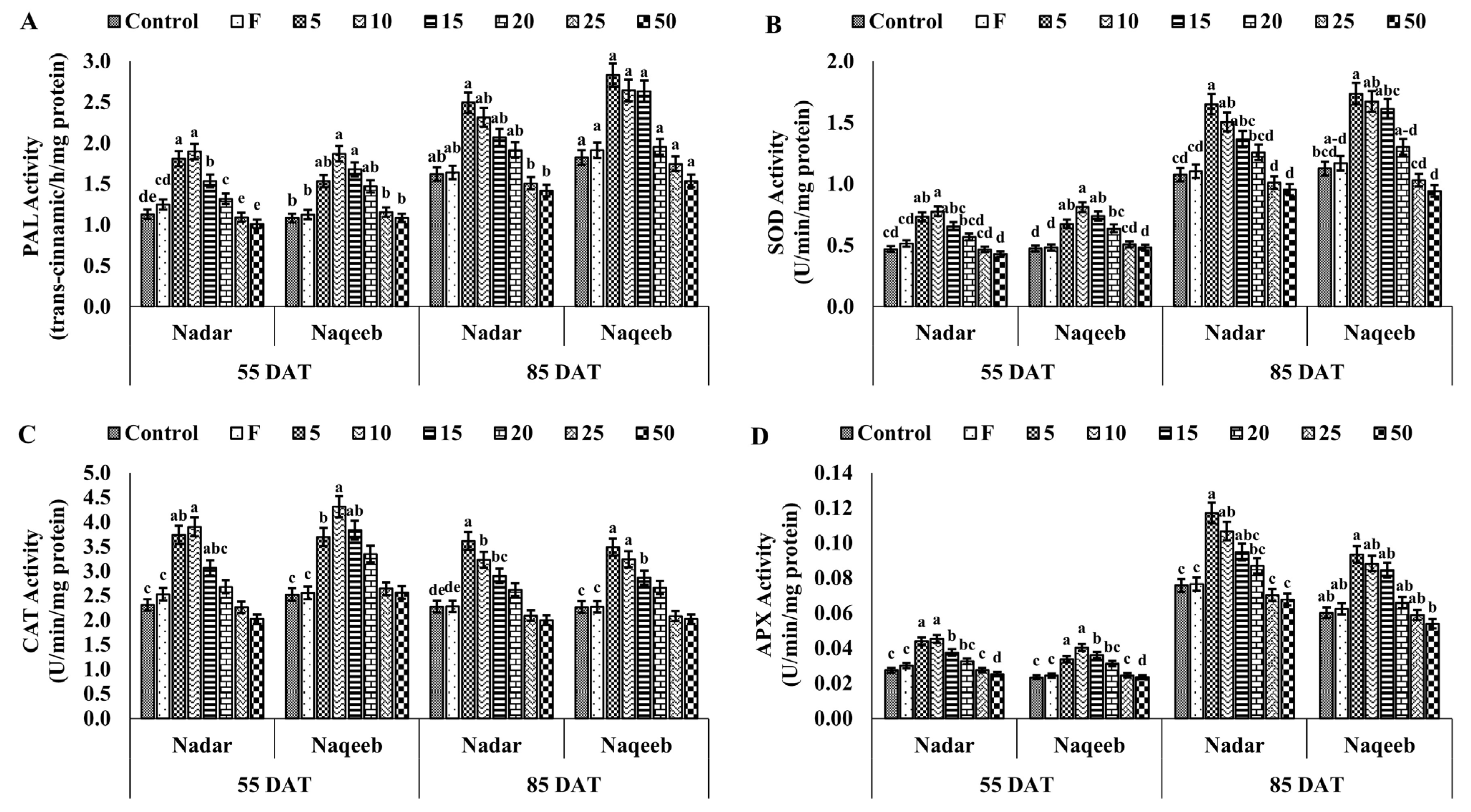
3.7. Effect of Silver Nanoparticles on Total Phenolic Content and Stress Enzymes of Tomato Plant
3.8. Effect of Silver Nanoparticles on Yield Attributes of Tomato Plant
4. Discussion
5. Conclusions
Author Contributions
Funding
Data Availability Statement
Acknowledgments
Conflicts of Interest
References
- Karthika, S.; Varghese, S.; Jisha, M. Exploring the efficacy of antagonistic rhizobacteria as native biocontrol agents against tomato plant diseases. 3 Biotech 2020, 10, 320. [Google Scholar] [CrossRef] [PubMed]
- Khan, Z.; Upadhyaya, H. Bioactive Compounds and Therapeutic Potential of Tomato (Lycopersicon esculentum Mill.): A Review. In Bioactives and Pharmacology of Medicinal Plants; Apple Academic Press: Palm Bay, FL, USA, 2023; pp. 225–243. [Google Scholar]
- Lengai, G.M.; Mbega, E.R.; Muthomi, J.W. Activity of ethanolic extracts of spices grown in Tanzania against important fungal pathogens and early blight of tomato. Bulg. J. Agric. Sci. 2021, 27, 1108–1117. [Google Scholar]
- Parthiban, S.; Moorthy, S.; Sabanayagam, S.; Shanmugasundaram, S.; Naganathan, A.; Annamalai, M.; Balasubramanian, S. Deep Learning Based Recognition of Plant Diseases. In Computer Vision and Machine Intelligence Paradigms for SDGs; Springer: Singapore, 2023; pp. 83–93. [Google Scholar]
- Bergstrand, K.-J.; Löfkvist, K.; Asp, H. Dynamics of nutrient availability in tomato production with organic fertilisers. Biol. Agric. Hortic. 2020, 36, 200–212. [Google Scholar] [CrossRef]
- Kumar, A.; Kumar, V.; Gull, A.; Nayik, G.A. Tomato (Solanum lycopersicon). In Antioxidants in Vegetables and Nuts—Properties and health Benefits; Spinger Nature: Singapore, 2020; pp. 191–207. [Google Scholar]
- Malik, P.A.; Kishor, S.; Yadav, K.S. Response of various plant growth regulators on growth, yield and yield attributing traits of tomato (Solanum lycopersicum L.) cv. Heemsohna under protected structure. Res. Crops 2022, 23, 393–398. [Google Scholar]
- Mallick, P.K. Medicinal values of tomato (Lycopersicon esculentum Mill.—Solanaceae). Int. J. Appl. Sci. Biotechnol. 2021, 9, 166–168. [Google Scholar] [CrossRef]
- Rezk, A.; Abhary, M.; Akhkha, A. Tomato (Solanum lycopersicum L.) Breeding Strategies for Biotic and Abiotic Stresses. In Advances in Plant Breeding Strategies: Vegetable Crops: Volume 9: Fruits and Young Shoots; Springer: Cham, Switzerland, 2021; pp. 363–405. [Google Scholar]
- Shinde, B.A.; Dholakia, B.B.; Hussain, K.; Aharoni, A.; Giri, A.P.; Kamble, A.C. WRKY1 acts as a key component improving resistance against Alternaria solani in wild tomato, Solanum arcanum Peralta. Plant Biotechnol. J. 2018, 16, 1502–1513. [Google Scholar] [CrossRef]
- El-Nagar, A.; Elzaawely, A.A.; Taha, N.A.; Nehela, Y. The antifungal activity of gallic acid and its derivatives against Alternaria solani, the causal agent of tomato early blight. Agronomy 2020, 10, 1402. [Google Scholar] [CrossRef]
- Panno, S.; Davino, S.; Caruso, A.G.; Bertacca, S.; Crnogorac, A.; Mandić, A.; Noris, E.; Matić, S. A review of the most common and economically important diseases that undermine the cultivation of tomato crop in the mediterranean basin. Agronomy 2021, 11, 2188. [Google Scholar] [CrossRef]
- El-Ganainy, S.M.; El-Abeid, S.E.; Ahmed, Y.; Iqbal, Z. Morphological and molecular characterization of large-spored Alternaria species associated with potato and tomato early blight in Egypt. Int. J. Agric. Biol. 2021, 25, 1101–1110. [Google Scholar] [CrossRef]
- Sule, R.O.; Condon, L.; Gomes, A.V. A common feature of pesticides: Oxidative stress—The role of oxidative stress in pesticide-induced toxicity. Oxid. Med. Cell. Longev. 2022, 2022, 5563759. [Google Scholar] [CrossRef] [PubMed]
- Sharma, A.; Kumar, V.; Shahzad, B.; Tanveer, M.; Sidhu, G.P.S.; Handa, N.; Kohli, S.K.; Yadav, P.; Bali, A.S.; Parihar, R.D.; et al. Worldwide pesticide usage and its impacts on ecosystem. SN Appl. Sci. 2019, 1, 1446. [Google Scholar] [CrossRef]
- Adhikari, P.; Oh, Y.; Panthee, D.R. Current status of early blight resistance in tomato: An update. Int. J. Mol. Sci. 2017, 18, 2019. [Google Scholar] [CrossRef] [PubMed]
- Shang, Y.; Hasan, M.K.; Ahammed, G.J.; Li, M.; Yin, H.; Zhou, J. Applications of nanotechnology in plant growth and crop protection: A review. Molecules 2019, 24, 2558. [Google Scholar] [CrossRef] [PubMed]
- Ansari, A.; Pervez, S.; Javed, U.; Abro, M.I.; Nawaz, M.A.; Qader, S.A.U.; Aman, A. Characterization and interplay of bacteriocin and exopolysaccharide-mediated silver nanoparticles as an antibacterial agent. Int. J. Biol. Macromol. 2018, 115, 643–650. [Google Scholar] [CrossRef]
- Ghareeb, R.Y.; Shams El-Din, N.G.E.-D.; Maghraby, D.M.E.; Ibrahim, D.S.; Abdel-Megeed, A.; Abdelsalam, N.R. Nematicidal activity of seaweed-synthesized silver nanoparticles and extracts against Meloidogyne incognita on tomato plants. Sci. Rep. 2022, 12, 3841. [Google Scholar] [CrossRef]
- Huy, T.Q.; Thanh, N.T.H.; Thuy, N.T.; Van Chung, P.; Hung, P.N.; Le, A.-T.; Hanh, N.T.H. Cytotoxicity and antiviral activity of electrochemical–synthesized silver nanoparticles against poliovirus. J. Virol. Methods 2017, 241, 52–57. [Google Scholar] [CrossRef] [PubMed]
- Yutong, X.; Mishra, P.; Eivazi, F.; Afrasiabi, Z. Effects of silver nanoparticle size, concentration and coating on soil quality as indicated by arylsulfatase and sulfite oxidase activities. Pedosphere 2022, 32, 733–743. [Google Scholar]
- White, J.C.; Gardea-Torresdey, J. Achieving food security through the very small. Nat. Nanotechnol. 2018, 13, 627–629. [Google Scholar] [CrossRef]
- Holden, P.A.; Gardea-Torresdey, J.L.; Klaessig, F.; Turco, R.F.; Mortimer, M.; Hund-Rinke, K.; Cohen Hubal, E.A.; Avery, D.; Barceló, D.; Behra, R.; et al. Considerations of environmentally relevant test conditions for improved evaluation of ecological hazards of engineered nanomaterials. Environ. Sci. Technol. 2016, 50, 6124–6145. [Google Scholar] [CrossRef]
- Huang, D.; Dang, F.; Huang, Y.; Chen, N.; Zhou, D. Uptake, translocation, and transformation of silver nanoparticles in plants. Environ. Sci. Nano 2022, 9, 12–39. [Google Scholar] [CrossRef]
- Singh, A.; Gautam, P.K.; Verma, A.; Singh, V.; Shivapriya, P.M.; Shivalkar, S.; Sahoo, A.K.; Samanta, S.K. Green synthesis of metallic nanoparticles as effective alternatives to treat antibiotics resistant bacterial infections: A review. Biotechnol. Rep. 2020, 25, e00427. [Google Scholar] [CrossRef] [PubMed]
- Egorov, I.N.; Santra, S.; Kopchuk, D.S.; Kovalev, I.S.; Zyryanov, G.V.; Majee, A.; Ranu, B.C.; Rusinov, V.L.; Chupakhin, O.N. Ball milling: An efficient and green approach for asymmetric organic syntheses. Green Chem. 2020, 22, 302–315. [Google Scholar]
- Bokov, D.; Turki Jalil, A.; Chupradit, S.; Suksatan, W.; Javed Ansari, M.; Shewael, I.H.; Valiev, G.H.; Kianfar, E. Nanomaterial by sol-gel method: Synthesis and application. Adv. Mater. Sci. Eng. 2021, 2021, 5102014. [Google Scholar]
- Min, J.; Wan, H.; Carlson, B.E.; Lin, J.; Sun, C. Application of laser ablation in adhesive bonding of metallic materials: A review. Opt. Laser Technol. 2020, 128, 106188. [Google Scholar] [CrossRef]
- Evecan, D.; Zayim, E. Highly uniform electrochromic tungsten oxide thin films deposited by e-beam evaporation for energy saving systems. Curr. Appl. Phys. 2019, 19, 198–203. [Google Scholar] [CrossRef]
- Fiedler, D.; Alva, C.; Pinto, J.T.; Spoerk, M.; Jeitler, R.; Roblegg, E. In-vial printing and drying of biologics as a personalizable approach. Int. J. Pharm. 2022, 623, 121909. [Google Scholar] [CrossRef]
- Basnet, P.; Chatterjee, S. Structure-directing property and growth mechanism induced by capping agents in nanostructured ZnO during hydrothermal synthesis—A systematic review. Nano-Struct. Nano-Obj. 2020, 22, 100426. [Google Scholar] [CrossRef]
- Nkurikiyimfura, I.; Wang, Y.; Safari, B.; Nshingabigwi, E. Temperature-dependent magnetic properties of magnetite nanoparticles synthesized via coprecipitation method. J. Alloys Compd. 2020, 846, 156344. [Google Scholar] [CrossRef]
- De Souza, C.D.; Nogueira, B.R.; Rostelato, M.E.C. Review of the methodologies used in the synthesis gold nanoparticles by chemical reduction. J. Alloys Compd. 2019, 798, 714–740. [Google Scholar] [CrossRef]
- Barad, J.M.; Kohli, H.P.; Chakraborty, M. Adsorption of hexavalent chromium from aqueous stream by maghemite nanoparticles synthesized by the microemulsion method. Energy Nexus 2022, 5, 100035. [Google Scholar] [CrossRef]
- Morales, E.M.C.; Méndez-Rojas, M.A.; Torres-Martínez, L.M.; Garay-Rodríguez, L.F.; López, I.; Uflyand, I.E.; Kharisov, B.I. Ultrafast synthesis of HKUST-1 nanoparticles by solvothermal method: Properties and possible applications. Polyhedron 2021, 210, 115517. [Google Scholar] [CrossRef]
- Pollok, D.; Waldvogel, S.R. Electro-organic synthesis—A 21st century technique. Chem. Sci. 2020, 11, 12386–12400. [Google Scholar] [CrossRef]
- Lobregas, M.O.S.; Camacho, D.H. Green synthesis of copper-based nanoparticles using microbes. In Copper Nanostructures: Next-Generation of Agrochemicals for Sustainable Agroecosystems; Elsevier: Amsterdam, The Netherlands, 2022; pp. 17–44. [Google Scholar]
- Chattha, M.U.; Amjad, T.; Khan, I.; Nawaz, M.; Ali, M.; Chattha, M.B.; Ali, H.M.; Ghareeb, R.Y.; Abdelsalam, N.R.; Azmat, S.; et al. Mulberry based zinc nano-particles mitigate salinity induced toxic effects and improve the grain yield and zinc bio-fortification of wheat by improving antioxidant activities, photosynthetic performance, and accumulation of osmolytes and hormones. Front. Plant Sci. 2022, 13, 920570. [Google Scholar] [CrossRef] [PubMed]
- Khan, S.; Almarhoon, Z.M.; Bakht, J.; Mabkhot, Y.N.; Rauf, A.; Shad, A.A. Single-Step Acer pentapomicum-Mediated Green Synthesis of Silver Nanoparticles and Their Potential Antimicrobial and Antioxidant Activities. J. Nanomater. 2022, 2022, 3783420. [Google Scholar] [CrossRef]
- Sumathi, S.; Thomas, A. Eco-friendly and antibacterial finishes of organic fabrics using herbal composite microencapsules. Int. J. Pharma Bio Sci. 2017, 8, 310–321. [Google Scholar]
- Paul, A.; Roychoudhury, A. Go green to protect plants: Repurposing the antimicrobial activity of biosynthesized silver nanoparticles to combat phytopathogens. Nanotechnol. Environ. Eng. 2021, 6, 10. [Google Scholar] [CrossRef]
- Radoor, S.; Jayakumar, A.; Karayil, J.; Shivanna, J.M.; Parameswaranpillai, J.; Siengchin, S. Recent Advances in Materials Science and Engineering Contributing to the Infection Diseases. In Antimicrobial and Antiviral Materials; CRC Press: Boca Raton, FL, USA, 2022; pp. 5–22. [Google Scholar]
- Garg, R.; Rani, P.; Garg, R.; Khan, M.A.; Khan, N.A.; Khan, A.H.; Américo-Pinheiro, J.H.P. Biomedical and catalytic applications of agri-based biosynthesized silver nanoparticles. Environ. Pollut. 2022, 310, 119830. [Google Scholar] [CrossRef] [PubMed]
- Jayachandran, A.; Aswathy, T.; Nair, A.S. Green synthesis and characterization of zinc oxide nanoparticles using Cayratia pedata leaf extract. Biochem. Biophys. Rep. 2021, 26, 100995. [Google Scholar] [CrossRef]
- Manik, U.; Nande, A.; Raut, S.; Dhoble, S. Green synthesis of silver nanoparticles using plant leaf extraction of Artocarpus heterophylus and Azadirachta indica. Results Mater. 2020, 6, 100086. [Google Scholar] [CrossRef]
- Tailor, G.; Yadav, B.; Chaudhary, J.; Joshi, M.; Suvalka, C. Green synthesis of silver nanoparticles using Ocimum canum and their anti-bacterial activity. Biochem. Biophys. Rep. 2020, 24, 100848. [Google Scholar] [CrossRef]
- Neupane, N.P.; Kushwaha, A.K.; Karn, A.K.; Khalilullah, H.; Khan, M.M.U.; Kaushik, A.; Verma, A. Anti-bacterial efficacy of bio-fabricated silver nanoparticles of aerial part of Moringa oleifera lam: Rapid green synthesis, In-Vitro and In-Silico screening. Biocatal. Agric. Biotechnol. 2022, 39, 102229. [Google Scholar] [CrossRef]
- Alkhulaifi, M.M.; Alshehri, J.H.; Alwehaibi, M.A.; Awad, M.A.; Al-Enazi, N.M.; Aldosari, N.S.; Hatamleh, A.A.; Abdel-Raouf, N. Green synthesis of silver nanoparticles using Citrus limon peels and evaluation of their antibacterial and cytotoxic properties. Saudi J. Biol. Sci. 2020, 27, 3434–3441. [Google Scholar] [CrossRef]
- Ahmed, S.; Ahmad, M.; Swami, B.L.; Ikram, S. A review on plants extract mediated synthesis of silver nanoparticles for antimicrobial applications: A green expertise. J. Adv. Res. 2016, 7, 17–28. [Google Scholar] [CrossRef] [PubMed]
- Manivasagan, P.; Venkatesan, J.; Senthilkumar, K.; Sivakumar, K.; Kim, S.-K. Biosynthesis, antimicrobial and cytotoxic effect of silver nanoparticles using a novel Nocardiopsis sp. MBRC-1. BioMed Res. Int. 2013, 2013, 287638. [Google Scholar] [CrossRef] [PubMed]
- Chaerani, C.; Besar, B.; Prabowo, H.; Indrayani, I.G. Isolation and molecular identification of entomopathogenic nematodes (Steinernema and Heterorhabditis) from East Java and Bali. J. AgroBiogen 2018, 14, 85–96. [Google Scholar] [CrossRef]
- Davies, J.; Ellyett, C. LVII. The diffraction of radio waves from meteor trails and the measurement of meteor velocities. Lond. Edinb. Dublin Philos. Mag. J. Sci. 1949, 40, 614–626. [Google Scholar] [CrossRef]
- Arnon, D.I. Copper enzymes in isolated chloroplasts. Polyphenoloxidase in Beta vulgaris. Plant Physiol. 1949, 24, 1. [Google Scholar] [CrossRef]
- Kirk, J.; Allen, R. Dependence of chloroplast pigment synthesis on protein synthesis: Effect of actidione. Biochem. Biophys. Res. Commun. 1965, 21, 523–530. [Google Scholar] [CrossRef] [PubMed]
- Ulubelen, A.; Öksüz, S.; Kolak, U.; Bozok-Johansson, C.; Çelik, C.; Voelter, W. Antibacterial diterpenes from the roots of Salvia viridis. Planta Med. 2000, 66, 458–462. [Google Scholar] [CrossRef] [PubMed]
- Krizek, D.T.; Kramer, G.F.; Upadhyaya, A.; Mirecki, R.M. UV-B response of cucumber seedlings grown under metal halide and high pressure sodium/deluxe lamps. Physiol. Plant. 1993, 88, 350–358. [Google Scholar] [CrossRef]
- Nelson, F. Factors which influence the growth of heat-treated bacteria: II. Further studies on media. J. Bacteriol. 1944, 48, 473–477. [Google Scholar] [CrossRef] [PubMed]
- Lowry, O.; Rosebrough, N.; Farr, A.; Randall, R. Protein estimation by Lowry’s method. J. Biol. Chem. 1951, 193, 52451–52456. [Google Scholar]
- Bates, L.; Waldren, R.A.; Teare, I. Rapid determination of free proline for water-stress studies. Plant Soil 1973, 39, 205–207. [Google Scholar] [CrossRef]
- Lim, Y.Y.; Quah, E.P. Antioxidant properties of different cultivars of Portulaca oleracea. Food Chem. 2007, 103, 734–740. [Google Scholar] [CrossRef]
- Sairam, R.K.; Rao, K.V.; Srivastava, G. Differential response of wheat genotypes to long term salinity stress in relation to oxidative stress, antioxidant activity and osmolyte concentration. Plant Sci. 2002, 163, 1037–1046. [Google Scholar] [CrossRef]
- Fu, J.; Huang, B. Involvement of antioxidants and lipid peroxidation in the adaptation of two cool-season grasses to localized drought stress. Environ. Exp. Bot. 2001, 45, 105–114. [Google Scholar] [CrossRef]
- Mayer, A.; Harel, E.; Ben-Shaul, R. Assay of catechol oxidase—A critical comparison of methods. Phytochemistry 1966, 5, 783–789. [Google Scholar] [CrossRef]
- Burrell, M.; Ap Rees, T. Metabolism of phenylalanine and tyrosine by rice leaves infected by Piricularia oryzae. Physiol. Plant Pathol. 1974, 4, 497–508. [Google Scholar] [CrossRef]
- Nakano, Y.; Asada, K. Purification of ascorbate peroxidase in spinach chloroplasts; its inactivation in ascorbate-depleted medium and reactivation by monodehydroascorbate radical. Plant Cell Physiol. 1987, 28, 131–140. [Google Scholar]
- Naganthran, A.; Verasoundarapandian, G.; Khalid, F.E.; Masarudin, M.J.; Zulkharnain, A.; Nawawi, N.M.; Karim, M.; Che Abdullah, C.A.; Ahmad, S.A. Synthesis, characterization and biomedical application of silver nanoparticles. Materials 2022, 15, 427. [Google Scholar] [CrossRef]
- Su, H.; Price, C.-A.H.; Jing, L.; Tian, Q.; Liu, J.; Qian, K. Janus particles: Design, preparation, and biomedical applications. Mater. Today Biol. 2019, 4, 100033. [Google Scholar] [CrossRef] [PubMed]
- Ashraf, H.; Batool, T.; Anjum, T.; Illyas, A.; Li, G.; Naseem, S.; Riaz, S. Antifungal Potential of Green Synthesized Magnetite Nanoparticles Black Coffee–Magnetite Nanoparticles Against Wilt Infection by Ameliorating Enzymatic Activity and Gene Expression in Solanum lycopersicum L. Front. Microbiol. 2022, 13, 31. [Google Scholar]
- Gautam, N.; Salaria, N.; Thakur, K.; Kukreja, S.; Yadav, N.; Yadav, R.; Goutam, U. Green silver nanoparticles for phytopathogen control. Proc. Nat. Acad. Sci. India Sect. B Biol. Sci. 2020, 90, 439–446. [Google Scholar] [CrossRef]
- Bruna, T.; Maldonado-Bravo, F.; Jara, P.; Caro, N. Silver nanoparticles and their antibacterial applications. Int. J. Mol. Sci. 2021, 22, 7202. [Google Scholar] [CrossRef]
- Hernández-Díaz, J.A.; Garza-García, J.J.; Zamudio-Ojeda, A.; León-Morales, J.M.; López-Velázquez, J.C.; García-Morales, S. Plant-mediated synthesis of nanoparticles and their antimicrobial activity against phytopathogens. J. Sci. Food Agric. 2021, 101, 1270–1287. [Google Scholar] [CrossRef]
- Mansoor, S.; Zahoor, I.; Baba, T.R.; Padder, S.A.; Bhat, Z.; Koul, A.M.; Jiang, L. Fabrication of silver nanoparticles against fungal pathogens. Front. Nanotechnol. 2021, 3, 679358. [Google Scholar] [CrossRef]
- Mahawar, H.; Prasanna, R.; Gogoi, R.; Singh, S.B.; Chawla, G.; Kumar, A. Synergistic effects of silver nanoparticles augmented Calothrix elenkinii for enhanced biocontrol efficacy against Alternaria blight challenged tomato plants. 3 Biotech 2020, 10, 102. [Google Scholar] [CrossRef]
- Melkamu, W.W.; Bitew, L.T. Green synthesis of silver nanoparticles using Hagenia abyssinica (Bruce) J.F. Gmel plant leaf extract and their antibacterial and anti-oxidant activities. Heliyon 2021, 7, e08459. [Google Scholar] [CrossRef]
- Zhao, L.; Bai, T.; Wei, H.; Gardea-Torresdey, J.L.; Keller, A.; White, J.C. Nanobiotechnology-based strategies for enhanced crop stress resilience. Nat. Food 2022, 3, 829–836. [Google Scholar] [CrossRef]
- Mo, F.; Li, H.; Li, Y.; Chen, X.; Wang, M.; Li, Z.; Deng, N.; Yang, Y.; Huang, X.; Zhang, R.; et al. Physiological, biochemical, and transcriptional regulation in a leguminous forage Trifolium pratense L. responding to silver ions. Plant Physiol. Biochem. 2021, 162, 531–546. [Google Scholar] [CrossRef]
- Flores-López, L.Z.; Espinoza-Gómez, H.; Somanathan, R. Silver nanoparticles: Electron transfer, reactive oxygen species, oxidative stress, beneficial and toxicological effects. Mini review. J. Appl. Toxicol. 2019, 39, 16–26. [Google Scholar] [CrossRef] [PubMed]
- Hirpara, D.G.; Gajera, H. Green synthesis and antifungal mechanism of silver nanoparticles derived from chitin-induced exometabolites of Trichoderma interfusant. Appl. Organomet. Chem. 2020, 34, e5407. [Google Scholar] [CrossRef]
- Iswarya, A.; Anjugam, M.; Gopi, N.; Shanthi, S.; Govindarajan, M.; Alharbi, N.S.; Kadaikunnan, S.; Alharbi, M.S.; Sivakamavalli, J.; Vaseeharan, B. β-1,3-Glucan binding protein-based silver nanoparticles enhance the wound healing potential and disease resistance in Oreochromis mossambicus against Aeromonas hydrophilla. Microb. Pathog. 2022, 162, 105360. [Google Scholar] [CrossRef] [PubMed]
- Moazzami Farida, S.H.; Karamian, R.; Albrectsen, B.R. Silver nanoparticle pollutants activate oxidative stress responses and rosmarinic acid accumulation in sage. Physiol. Plant. 2020, 170, 415–432. [Google Scholar] [CrossRef] [PubMed]
- Maddela, N.R.; Abiodun, A.S. Microbial Biofilms: Applications and Control; CRC Press: Boca Raton, FL, USA, 2022. [Google Scholar]
- Dawood, M.F.; Azooz, M.M. Concentration-dependent effects of tungstate on germination, growth, lignification-related enzymes, antioxidants, and reactive oxygen species in broccoli (Brassica oleracea var. italica L.). Environ. Sci. Pollut. Res. 2019, 26, 36441–36457. [Google Scholar] [CrossRef]
- Feduraev, P.; Skrypnik, L.; Riabova, A.; Pungin, A.; Tokupova, E.; Maslennikov, P.; Chupakhina, G. Phenylalanine and tyrosine as exogenous precursors of wheat (Triticum aestivum L.) secondary metabolism through PAL-associated pathways. Plants 2020, 9, 476. [Google Scholar] [CrossRef]
- Ali, A.; Mohammad, S.; Khan, M.A.; Raja, N.I.; Arif, M.; Kamil, A.; Mashwani, Z.-u.-R. Silver nanoparticles elicited in vitro callus cultures for accumulation of biomass and secondary metabolites in Caralluma tuberculata. Artif. Cells Nanomed. Biotechnol. 2019, 47, 715–724. [Google Scholar] [CrossRef]
- Azeez, L.; Adebisi, S.A.; Adetoro, R.O.; Oyedeji, A.O.; Agbaje, W.B.; Olabode, O.A. Foliar application of silver nanoparticles differentially intervenes remediation statuses and oxidative stress indicators in Abelmoschus esculentus planted on gold-mined soil. Int. J. Phytoremediat. 2022, 24, 384–393. [Google Scholar] [CrossRef]
- Mishra, P.; Sharma, P. Superoxide Dismutases (SODs) and their role in regulating abiotic stress induced oxidative stress in plants. In Reactive Oxygen, Nitrogen and Sulfur Species in Plants: Production, Metabolism, Signaling and Defense Mechanisms; Wiley: Hoboken, NJ, USA, 2019; pp. 53–88. [Google Scholar]
- Smirnoff, N.; Arnaud, D. Hydrogen peroxide metabolism and functions in plants. New Phytol. 2019, 221, 1197–1214. [Google Scholar] [CrossRef]
- Dumanović, J.; Nepovimova, E.; Natić, M.; Kuča, K.; Jaćević, V. The significance of reactive oxygen species and antioxidant defense system in plants: A concise overview. Front. Plant Sci. 2021, 11, 552969. [Google Scholar] [CrossRef]
- Tymoszuk, A. Silver nanoparticles effects on in vitro germination, growth, and biochemical activity of tomato, radish, and kale seedlings. Materials 2021, 14, 5340. [Google Scholar] [CrossRef]
- Ahmed, T.; Shahid, M.; Noman, M.; Niazi, M.B.K.; Mahmood, F.; Manzoor, I.; Zhang, Y.; Li, B.; Yang, Y.; Yan, C.; et al. Silver nanoparticles synthesized by using Bacillus cereus SZT1 ameliorated the damage of bacterial leaf blight pathogen in rice. Pathogens 2020, 9, 160. [Google Scholar] [CrossRef] [PubMed]
- Guzman-Baez, G.A.; Trejo-Tellez, L.I.; Ramirez-Olvera, S.M.; Salinas-Ruiz, J.; Bello-Bello, J.J.; Alcantar-Gonzalez, G.; Hidalgo-Contreras, J.V.; Gomez-Merino, F.C. Silver nanoparticles increase nitrogen, phosphorus, and potassium concentrations in leaves and stimulate root length and number of roots in tomato seedlings in a hormetic manner. Dose-Response 2021, 19, 15593258211044576. [Google Scholar] [CrossRef]
- Wang, L.; Sun, J.; Lin, L.; Fu, Y.; Alenius, H.; Lindsey, K.; Chen, C. Silver nanoparticles regulate Arabidopsis root growth by concentration-dependent modification of reactive oxygen species accumulation and cell division. Ecotoxicol. Environ. Saf. 2020, 190, 110072. [Google Scholar] [CrossRef] [PubMed]
- Khan, I.; Awan, S.A.; Raza, M.A.; Rizwan, M.; Tariq, R.; Ali, S.; Huang, L. Silver nanoparticles improved the plant growth and reduced the sodium and chlorine accumulation in pearl millet: A life cycle study. Environ. Sci. Pollut. Res. 2021, 28, 13712–13724. [Google Scholar] [CrossRef] [PubMed]
- Omara, A.E.-D.; Hafez, E.M.; Osman, H.S.; Rashwan, E.; El-Said, M.A.; Alharbi, K.; Abd El-Moneim, D.; Gowayed, S.M. Collaborative impact of compost and beneficial rhizobacteria on soil properties, physiological attributes, and productivity of wheat subjected to deficit irrigation in salt affected soil. Plants 2022, 11, 877. [Google Scholar] [CrossRef]
- Gao, D.; Li, M.; Zhang, J.; Song, D.; Sun, H.; Qiao, L.; Zhao, R. Improvement of chlorophyll content estimation on maize leaf by vein removal in hyperspectral image. Comput. Electron. Agric. 2021, 184, 106077. [Google Scholar] [CrossRef]
- Zhang, Y.; Hui, J.; Qin, Q.; Sun, Y.; Zhang, T.; Sun, H.; Li, M. Transfer-learning-based approach for leaf chlorophyll content estimation of winter wheat from hyperspectral data. Remote Sens. Environ. 2021, 267, 112724. [Google Scholar] [CrossRef]
- Rastogi, A.; Zivcak, M.; Tripathi, D.; Yadav, S.; Kalaji, H.; Brestic, M. Phytotoxic effect of silver nanoparticles in Triticum aestivum: Improper regulation of photosystem I activity as the reason for oxidative damage in the chloroplast. Photosynthetica 2019, 57, 209–216. [Google Scholar] [CrossRef]
- Lalau, C.M.; Simioni, C.; Vicentini, D.S.; Ouriques, L.C.; Mohedano, R.A.; Puerari, R.C.; Matias, W.G. Toxicological effects of AgNPs on duckweed (Landoltia punctata). Sci. Total Environ. 2020, 710, 136318. [Google Scholar] [CrossRef]
- Abbas, Q.; Liu, G.; Yousaf, B.; Ali, M.U.; Ullah, H.; Ahmed, R. Effects of biochar on uptake, acquisition and translocation of silver nanoparticles in rice (Oryza sativa L.) in relation to growth, photosynthetic traits and nutrients displacement. Environ. Pollut. 2019, 250, 728–736. [Google Scholar] [CrossRef] [PubMed]
- Bouyahya, A.; El Omari, N.; Hakkour, M.; El Menyiy, N.; Benali, T.; Kulikov, D.; Karpukhin, M.; Shariati, M.A.; Venkidasamy, B.; Thiruvengadam, M.; et al. A review on transcriptomic and metabolomic responses of plants to nanopollution. Environ. Sci. Pollut. Res. 2022, 29, 22913–22929. [Google Scholar] [CrossRef] [PubMed]
- Ghramh, H.A.; Ibrahim, E.H.; Kilnay, M.; Ahmad, Z.; Alhag, S.K.; Khan, K.A.; Taha, R.; Asiri, F.M. Silver nanoparticle production by Ruta graveolens and testing its safety, bioactivity, immune modulation, anticancer, and insecticidal potentials. Bioinorg. Chem. Appl. 2020, 2020, 5626382. [Google Scholar] [CrossRef]
- Habeeb Rahuman, H.B.; Dhandapani, R.; Narayanan, S.; Palanivel, V.; Paramasivam, R.; Subbarayalu, R.; Thangavelu, S.; Muthupandian, S. Medicinal plants mediated the green synthesis of silver nanoparticles and their biomedical applications. IET Nanobiotechnol. 2022, 16, 115–144. [Google Scholar] [CrossRef] [PubMed]
- Carbone, K.; De Angelis, A.; Mazzuca, C.; Santangelo, E.; Macchioni, V.; Cacciotti, I.; Petrella, G.; Cicero, D.O.; Micheli, L. Microwave-assisted synthesis of catalytic silver nanoparticles by hyperpigmented tomato skins: A green approach. LWT 2020, 133, 110088. [Google Scholar] [CrossRef]
- Sallam, N.M.; AbdElfatah, H.-A.S.; Dawood, M.F.; Hassan, E.A.; Mohamed, M.S.; Khalil Bagy, H.M. Physiological and histopathological assessments of the susceptibility of different tomato (Solanum lycopersicum) cultivars to early blight disease. Eur. J. Plant Pathol. 2021, 160, 541–556. [Google Scholar] [CrossRef]
- Akpinar, I.; Unal, M.; Sar, T. Potential antifungal effects of silver nanoparticles (AgNPs) of different sizes against phytopathogenic Fusarium oxysporum f. sp. radicis-lycopersici (FORL) strains. SN Appl. Sci. 2021, 3, 506. [Google Scholar] [CrossRef]
- Zulfiqar, F.; Navarro, M.; Ashraf, M.; Akram, N.A.; Munné-Bosch, S. Nanofertilizer use for sustainable agriculture: Advantages and limitations. Plant Sci. 2019, 289, 110270. [Google Scholar] [CrossRef]







| Days after Transplantation (DAT) | Treatments | Shoot Length (cm) | Root Length (cm) | No. of Leaves | Leaf Area (cm2) | ||||
|---|---|---|---|---|---|---|---|---|---|
| Nadar | Naqeeb | Nadar | Naqeeb | Nadar | Naqeeb | Nadar | Naqeeb | ||
| 55 DAT | Control | 31.58 d ± 1.816 | 30.96 c ± 1.996 | 18.67 b ± 0.749 | 16.83 d ± 1.072 | 46.67 d, ± 0.863 | 46.67 d ± 1.176 | 12.92 c ± 1.934 | 14.82 b, c ± 1.008 |
| F | 34.37 c,d ± 1.050 | 31.25 c ± 0.517 | 23.38 b ± 1.888 | 17.60 c, d ± 0.734 | 51.67 c ± 1.176 | 47.67 d ± 1.481 | 13.37 c ± 1.655 | 15.63 b ± 1.872 | |
| 5 | 51.50 a,b ± 2.178 | 44.94 b ± 1.137 | 29.03 a ± 1.604 | 26.17 a, b ± 1.187 | 75.33 a ± 1.726 | 65.33 c ± 1.439 | 20.55 a ± 0.848 | 22.30 a ± 1.078 | |
| 10 | 52.81 a ± 1.899 | 53.85 a ± 0.831 | 29.30 a ± 2.063 | 27.52 a ± 2.402 | 78.00 a ± 1.565 | 80.67 a ± 1.422 | 20.97 a ± 0.969 | 25.02 a ± 2.073 | |
| 15 | 45.95 b ± 0.523 | 49.67 a,b ± 1.360 | 22.67 b ± 1.732 | 25.28 a, b ± 2.199 | 63.33 b ± 0.863 | 73.00 b ± 2.463 | 16.43 b ± 2.198 | 22.60 a ± 1.452 | |
| 20 | 38.20 c ± 0.877 | 45.50 b ± 1.398 | 21.66 b ± 0.801 | 22.25 b, c ± 2.048 | 53.67 c ± 2.670 | 62.67 c ± 1.422 | 12.50 c ± 1.545 | 14.39 b,c ± 0.772 | |
| 25 | 30.51 d, e ± 2.857 | 33.49 c ± 3.001 | 19.66 b ± 1.157 | 19.00 c, d ± 1.090 | 45.67 d ± 1.305 | 49.33 d ± 1.176 | 10.45 cd ± 2.292 | 13.29 b,c ± 1.789 | |
| 50 | 25.74 e ± 2.107 | 28.54 c ± 3.160 | 19.03 b ± 0.927 | 17.03 c, d ± 0.995 | 40.67 e ± 1.422 | 47.33 d ± 1.768 | 8.30 d ± 1.539 | 10.97 c ± 0.662 | |
| 85 DAT | Control | 38.37 e ± 2.794 | 44.80 d ± 2.268 | 26.57 d ± 1.583 | 27.77 d ± 1.669 | 65.33 d ± 2.336 | 64.67 d ± 2.336 | 27.87 d, e ± 1.293 | 29.67 d ± 0.915 |
| F | 38.17 e ± 0.919 | 47.37 d ± 2.489 | 27.20 d ± 1.740 | 28.77 d ± 1.090 | 65.67 d ± 1.766 | 67.67 d ± 2.732 | 28.13 d, e ± 2.605 | 30.87 c,d ± 1.685 | |
| 5 | 68.43 a ± 0.998 | 76.87 a ± 2.805 | 44.17 a ± 1.848 | 49.10 a ± 2.282 | 105.00 a ± 2.084 | 111.00 a ± 2.046 | 42.87 a ± 1.358 | 46.10 a ± 0.851 | |
| 10 | 63.80 b ± 1.695 | 72.00 a, b ± 0.980 | 45.27 a ± 2.285 | 43.57 b ± 2.045 | 103.67 a ± 2.188 | 103.00 b ± 1.529 | 39.57 a, b ± 1.435 | 44.00 a, b ± 0.834 | |
| 15 | 56.47 c ± 1.726 | 66.90 b, c ± 1.336 | 40.57 a,b ± 2.285 | 36.77 c ± 0.865 | 94.33 b ± 1.766 | 97.33 b ± 2.966 | 35.33 b, c ± 1.076 | 42.83 b ± 2.732 | |
| 20 | 48.13 d ± 0.932 | 63.23 c ± 1.783 | 36.20 c ± 0.746 | 35.17 c ± 1.899 | 72.67 c ± 1.203 | 88.67 c ± 1.766 | 32.47 c, d ± 3.386 | 32.67 c ± 1.074 | |
| 25 | 40.97 e ± 1.005 | 50.97 d ± 0.711 | 33.33 d ± 0.261 | 29.00 c, d ± 1.395 | 68.33 c, d ± 1.766 | 67.33 d ± 0.883 | 25.77 e ± 2.555 | 28.43 d ± 1.665 | |
| 50 | 33.33 f ± 1.220 | 45.33 d ± 2.514 | 27.47 d ± 2.123 | 28.13 d ± 1.339 | 57.67 e ± 1.455 | 65.67 d ± 1.455 | 24.60 e ± 1.644 | 25.77 e ± 2.167 | |
| Days after Transplantation (DAT) | Treatments | Shoot Fresh Weight (g) | Root Fresh Weight (g) | Shoot Dry Weight (g) | Root Dry Weight (g) | ||||
|---|---|---|---|---|---|---|---|---|---|
| Nadar | Naqeeb | Nadar | Naqeeb | Nadar | Naqeeb | Nadar | Naqeeb | ||
| 55 DAT | Control | 28.71 c,d ± 1.680 | 28.75 c ± 1.626 | 9.09 d ± 0.393 | 8.56 c ± 0.598 | 8.36 c,d ± 1.217 | 6.79 b ± 0.582 | 3.33 c ± 0.172 | 3.36 d ± 0.412 |
| F | 29.88 c,d ± 1.733 | 29.51 c ± 0.808 | 11.23 b,c ± 0.338 | 8.89 c ± 0.524 | 8.91 c,d ± 0.362 | 7.01 b ± 0.525 | 4.04 a,b,c ± 0.260 | 3.43 d ± 0.137 | |
| 5 | 48.17 a ± 1.605 | 42.30 b ± 1.581 | 14.06 a ± 1.369 | 13.34 a,b ± 0.550 | 13.43 a,b ± 1.605 | 10.22 a ± 0.695 | 5.00 a,b ± 0.169 | 4.79 a,b ± 0.474 | |
| 10 | 49.89 a ± 1.775 | 51.11 a ± 0.526 | 14.26 a ± 0.901 | 13.85 a ± 1.345 | 15.00 a ± 1.775 | 11.90 a ± 0.897 | 5.25 a ± 0.066 | 5.42 a ± 0.422 | |
| 15 | 41.47 b ± 0.492 | 48.08 a ± 2.679 | 11.35 b ± 0.831 | 12.82 a,b ± 0.976 | 11.25 b,c ± 0.395 | 10.70 a ± 1.228 | 4.29 a,b,c ± 0.639 | 4.86 b,c ± 0.356 | |
| 20 | 33.38 c ± 0.817 | 41.92 b ± 1.348 | 10.80 b,c,d ± 0.288 | 10.90 b,c ± 1.388 | 9.29 c,d ± 0.817 | 10.19 a ± 0.348 | 3.81 a,b,c ± 0.192 | 4.22 c ± 0.145 | |
| 25 | 28.98 c,d ± 2.313 | 29.74 c ± 1.416 | 9.95 b,c,d ± 0.252 | 9.73 c ± 0.609 | 8.76 c,d ± 0.407 | 7.41 b ± 0.366 | 3.48 b,c ± 0.128 | 3.75 c,d ± 0.601 | |
| 50 | 24.62 d ± 2.039 | 27.32 c ± 2.146 | 9.35 c,d ± 0.374 | 8.89 c ± 0.348 | 7.18 d ± 1.251 | 6.36 b ± 0.148 | 3.50 b,c ± 0.450 | 3.47 d ± 0.253 | |
| 85 DAT | Control | 39.63 e ± 0.613 | 45.04 d ± 2.117 | 13.20 d ± 0.853 | 12.69 e ± 0.635 | 8.24 d ± 0.183 | 7.90 b ± 0.432 | 3.33 c ± 0.234 | 3.09 c ± 0.168 |
| F | 40.30 e ± 0.966 | 47.70 d ± 2.624 | 13.57 c,d ± 1.217 | 13.46 d,e ± 0.422 | 8.62 d ± 0.461 | 8.67 b ± 0.291 | 3.36 c ± 0.277 | 3.23 c ± 0.198 | |
| 5 | 70.07 a ± 0.866 | 79.14 a ± 5.411 | 23.59 a ± 0.693 | 21.81 a ± 1.095 | 13.93 a ± 0.433 | 13.58 a ± 0.575 | 5.47 a ± 0.167 | 5.34 a ± 0.344 | |
| 10 | 65.07 b ± 1.998 | 74.44 a,b ± 1.190 | 21.77 a ± 1.204 | 19.73 b ± 1.066 | 13.50 a,b ± 0.495 | 13.25 a ± 0.575 | 5.59 a ± 0.404 | 4.67 b ± 0.332 | |
| 15 | 57.97 c ± 2.245 | 69.73 b,c ± 1.940 | 17.08 b ± 0.798 | 15.69 c ± 0.197 | 12.60 b ± 0.477 | 13.64 a ± 1.084 | 4.20 b ± 0.261 | 3.77 c ± 0.085 | |
| 20 | 49.10 d ± 1.125 | 63.82 c ± 2.324 | 16.18 b,c ± 0.758 | 15.03 c,d ± 0.568 | 10.81 c ± 0.395 | 11.81 a ± 0.474 | 3.97 b,c ± 0.114 | 3.60 c ± 0.239 | |
| 25 | 41.87 e ± 1.505 | 51.14 d ± 1.154 | 14.69 b,c,d ± 0.474 | 13.25 d,e ± 0.508 | 8.86 d ± 0.404 | 9.38 b ± 0.962 | 3.77 b,c ± 0.113 | 3.19 c ± 0.118 | |
| 50 | 34.77 f ± 2.294 | 45.27 d ± 2.358 | 13.71 c,d ± 0.860 | 13.03 d,e ± 0.373 | 7.82 d ± 0.163 | 8.03 b ± 0.253 | 3.36 c ± 0.151 | 3.10 c ± 0.128 | |
| Days after Transplantation (DAT) | Treatments | Chl a (mg/g FW) | Chl b (mg/g FW) | Carotenoid (mg/g FW) | |||
|---|---|---|---|---|---|---|---|
| Nadar | Naqeeb | Nadar | Naqeeb | Nadar | Naqeeb | ||
| 55 DAT | Control | 1.415 c ± 0.063 | 1.958 b ± 0.076 | 0.322 c ± 0.019 | 0.419 b ± 0.017 | 0.424 c ± 0.038 | 0.837 b ± 0.018 |
| F1 | 1.465 c ± 0.099 | 2.098 b ± 0.058 | 0.337 c ± 0.015 | 0.448 b ± 0.028 | 0.435 c ± 0.036 | 0.890 b ± 0.041 | |
| 5 | 2.263 a ± 0.040 | 3.005 a ± 0.058 | 0.510 a ± 0.035 | 0.625 a ± 0.051 | 0.660 a ± 0.039 | 1.247 a ± 0.062 | |
| 10 | 2.285 a ± 0.098 | 3.250 a ± 0.065 | 0.520 a ± 0.028 | 0.707 a ± 0.018 | 0.680 a ± 0.028 | 1.377 a ± 0.047 | |
| 15 | 1.881 b ± 0.077 | 2.962 a ± 0.050 | 0.420 b ± 0.013 | 0.635 a ± 0.017 | 0.563 b ± 0.039 | 1.276 a ± 0.064 | |
| 20 | 1.365 c ± 0.059 | 1.994 b ± 0.064 | 0.320 c ± 0.018 | 0.426 b ± 0.025 | 0.423 c ± 0.049 | 0.864 b ± 0.027 | |
| 25 | 1.112 d ± 0.038 | 1.746 b,c ± 0.063 | 0.260 d ± 0.017 | 0.373 b,c ± 0.014 | 0.335 d ± 0.038 | 0.795 b ± 0.037 | |
| 50 | 1.038 d ± 0.033 | 1.556 c ± 0.089 | 0.227 d ± 0.016 | 0.324 c ± 0.015 | 0.311 d ± 0.066 | 0.702 c ± 0.032 | |
| 85 DAT | Control | 2.034 b,c ± 0.048 | 2.119 c,d ± 0.045 | 0.774 d,e,f ± 0.027 | 0.762 b,c ± 0.027 | 0.699 e ± 0.042 | 0.953 b ± 0.023 |
| F1 | 2.086 b,c ± 0.062 | 2.212 c ± 0.067 | 0.787 d,e ± 0.026 | 0.799 b,c ± 0.028 | 0.707 e ± 0.039 | 1.008 b ± 0.051 | |
| 5 | 3.135 a ± 0.076 | 3.351 a ± 0.056 | 1.193 a ± 0.061 | 1.198 a ± 0.044 | 1.069 a ± 0.063 | 1.485 a ± 0.045 | |
| 10 | 2.927 a ± 0.083 | 3.099 a,b ± 0.081 | 1.091 a,b ± 0.037 | 1.134 a ± 0.045 | 0.977 b ± 0.019 | 1.420 a ± 0.049 | |
| 15 | 2.336 b ± 0.034 | 3.006 b ± 0.028 | 0.984 b,c ± 0.009 | 1.113 a ± 0.061 | 0.892 c ± 0.033 | 1.359 a ± 0.089 | |
| 20 | 2.114 b,c ± 0.079 | 2.301 c ± 0.096 | 0.890 c,d ± 0.018 | 0.868 b ± 0.037 | 0.808 d ± 0.030 | 1.070 b ± 0.032 | |
| 25 | 1.800 c ± 0.043 | 2.053 c,d ± 0.054 | 0.731 e,f ± 0.095 | 0.714 c ± 0.019 | 0.646 e,f ± 0.012 | 0.916 b ± 0.032 | |
| 50 | 1.769 c ± 0.086 | 1.870 d ± 0.038 | 0.663 f ± 0.018 | 0.665 c ± 0.013 | 0.615 f ± 0.022 | 0.829 c ± 0.022 | |
Disclaimer/Publisher’s Note: The statements, opinions and data contained in all publications are solely those of the individual author(s) and contributor(s) and not of MDPI and/or the editor(s). MDPI and/or the editor(s) disclaim responsibility for any injury to people or property resulting from any ideas, methods, instructions or products referred to in the content. |
© 2023 by the authors. Licensee MDPI, Basel, Switzerland. This article is an open access article distributed under the terms and conditions of the Creative Commons Attribution (CC BY) license (https://creativecommons.org/licenses/by/4.0/).
Share and Cite
Ansari, M.; Ahmed, S.; Abbasi, A.; Hamad, N.A.; Ali, H.M.; Khan, M.T.; Haq, I.U.; Zaman, Q.u. Green Synthesized Silver Nanoparticles: A Novel Approach for the Enhanced Growth and Yield of Tomato against Early Blight Disease. Microorganisms 2023, 11, 886. https://doi.org/10.3390/microorganisms11040886
Ansari M, Ahmed S, Abbasi A, Hamad NA, Ali HM, Khan MT, Haq IU, Zaman Qu. Green Synthesized Silver Nanoparticles: A Novel Approach for the Enhanced Growth and Yield of Tomato against Early Blight Disease. Microorganisms. 2023; 11(4):886. https://doi.org/10.3390/microorganisms11040886
Chicago/Turabian StyleAnsari, Madeeha, Shakil Ahmed, Asim Abbasi, Najwa A. Hamad, Hayssam M. Ali, Muhammad Tajammal Khan, Inzamam Ul Haq, and Qamar uz Zaman. 2023. "Green Synthesized Silver Nanoparticles: A Novel Approach for the Enhanced Growth and Yield of Tomato against Early Blight Disease" Microorganisms 11, no. 4: 886. https://doi.org/10.3390/microorganisms11040886
APA StyleAnsari, M., Ahmed, S., Abbasi, A., Hamad, N. A., Ali, H. M., Khan, M. T., Haq, I. U., & Zaman, Q. u. (2023). Green Synthesized Silver Nanoparticles: A Novel Approach for the Enhanced Growth and Yield of Tomato against Early Blight Disease. Microorganisms, 11(4), 886. https://doi.org/10.3390/microorganisms11040886

