Full-Length Transcriptome Analysis of the Ichthyotoxic Harmful Alga Heterosigma akashiwo (Raphidophyceae) Using Single-Molecule Real-Time Sequencing
Abstract
1. Introduction
2. Materials and Methods
2.1. Heterosigma Akashiwo Culture and Sampling
2.2. RNA Isolation and Single-Molecule Real-Time Sequencing
2.3. Unigene Functional Annotation and Structure Prediction
3. Results
3.1. Single-Molecule Real-Time Sequencing Profiling
3.2. Unigene Function Annotation
3.3. Genes Related to Phosphorus and Nitrogen Metabolism
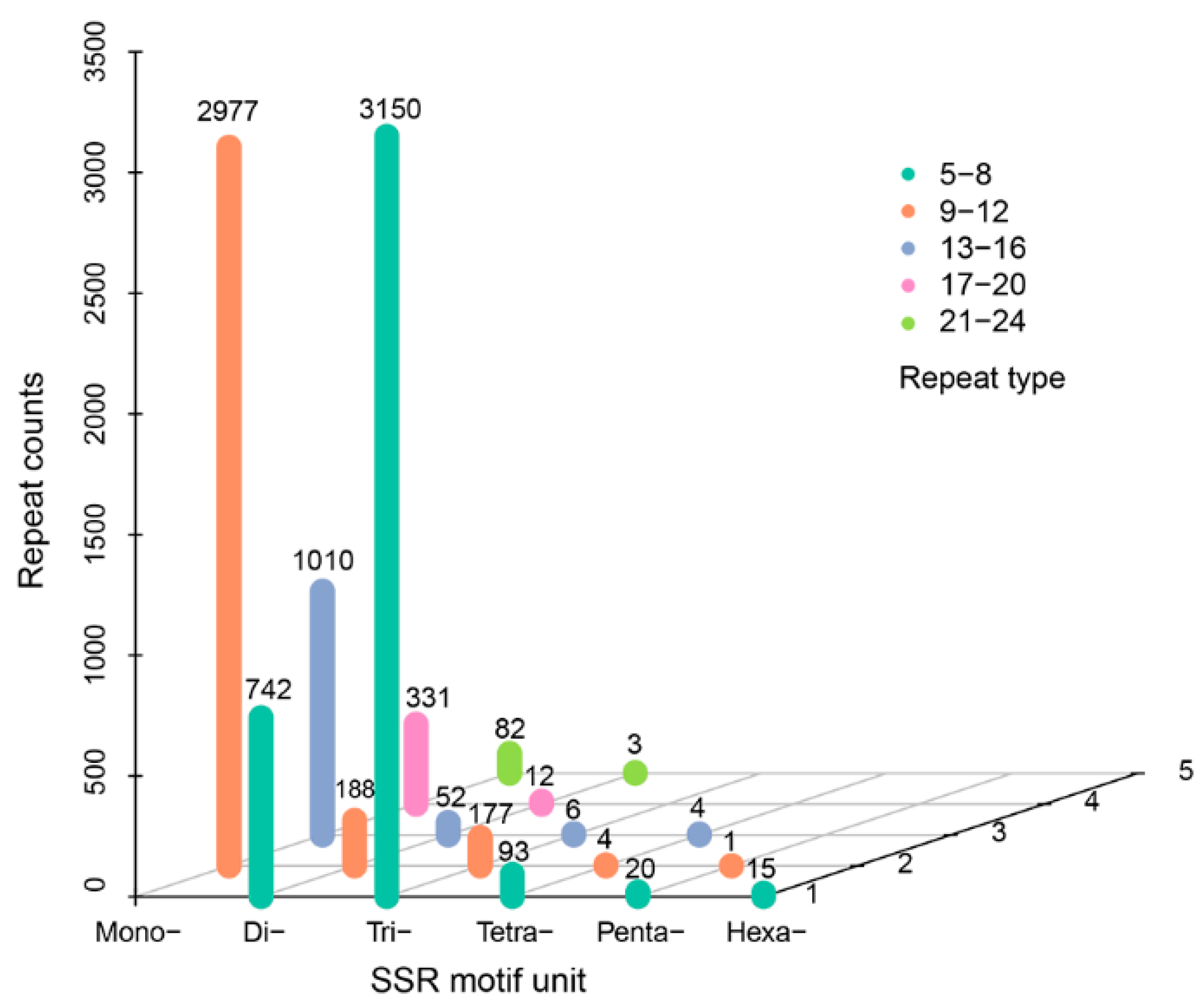
3.4. Analyses of Coding Sequences, Transcription Factors, Long Non-Coding RNAs, and Simple Sequence Repeats
4. Discussion
5. Conclusions
Supplementary Materials
Author Contributions
Funding
Institutional Review Board Statement
Informed Consent Statement
Data Availability Statement
Acknowledgments
Conflicts of Interest
References
- Glibert, P.M.; Anderson, D.M.; Gentien, P.; Granéli, E.; Sellner, K.G. The global, complex phenomena of harmful algal blooms. Oceanography 2005, 18, 136–147. [Google Scholar] [CrossRef]
- Anderson, D.M.; Glibert, P.M.; Burkholder, J.M. Harmful algal blooms and eutrophication: Nutrient sources, composition, and consequences. Estuaries 2002, 25, 704–726. [Google Scholar] [CrossRef]
- Wells, M.L.; Trainer, V.L.; Smayda, T.J.; Karlson, B.S.O.; Trick, C.G.; Kudela, R.M.; Ishikawa, A.; Bernard, S.; Wulff, A.; Anderson, D.M. Harmful algal blooms and climate change: Learning from the past and present to forecast the future. Harmful Algae 2015, 49, 68–93. [Google Scholar] [CrossRef] [PubMed]
- Twiner, M.J.; Dixon, S.J.; Trick, C.G. Toxic effects of Heterosigma akashiwo do not appear to be mediated by hydrogen peroxide. Limnol. Oceanogr. 2001, 46, 1400–1405. [Google Scholar] [CrossRef]
- Twiner, M.J.; Trick, C.G. Possible physiological mechanisms for production of hydrogen peroxide by the ichthyotoxic flagellate Heterosigma akashiwo. J. Plankton. Res. 2000, 22, 1961–1975. [Google Scholar] [CrossRef]
- Mardones, J.I.; Paredes-Mella, J.; Flores-Leñero, A.; Yarimizu, K.; Godoy, M.; Artal, O.; Corredor-Acosta, A.; Marcus, L.; Cascales, E.; Espinoza, J.P. Extreme harmful algal blooms, climate change, and potential risk of eutrophication in Patagonian fjords: Insights from an exceptional Heterosigma akashiwo fish-killing event. Prog. Oceanogr. 2023, 210, 102921. [Google Scholar] [CrossRef]
- Fu, F.-X.; Zhang, Y.; Warner, M.E.; Feng, Y.; Sun, J.; Hutchins, D.A. A comparison of future increased CO2 and temperature effects on sympatric Heterosigma akashiwo and Prorocentrum minimum. Harmful Algae 2008, 7, 76–90. [Google Scholar] [CrossRef]
- Xu, D.; Zhou, B.; Wang, Y.; Ju, Q.; Yu, Q.; Tang, X. Effect of CO2 enrichment on competition between Skeletonema costatum and Heterosigma akashiwo. Chin. J. Oceanol. Limn. 2010, 28, 933–939. [Google Scholar] [CrossRef]
- Hennon, G.M.M.; Williamson, O.M.; Hernandez Limon, M.D.; Haley, S.T.; Dyhrman, S.T. Non-linear physiology and gene expression responses of harmful alga Heterosigma akashiwo to rising CO2. Protist 2018, 170, 38–51. [Google Scholar] [CrossRef]
- Harvey, E.L.; Menden-Deuer, S. Predator-induced fleeing behaviors in phytoplankton: A new mechanism for harmful algal bloom formation? PLoS ONE 2012, 7, e46438. [Google Scholar] [CrossRef]
- Herndon, J.; Cochlan, W.P. Nitrogen utilization by the raphidophyte Heterosigma akashiwo: Growth and uptake kinetics in laboratory cultures. Harmful Algae 2007, 6, 260–270. [Google Scholar] [CrossRef]
- Shikata, T.; Nagasoe, S.; Matsubara, T.; Yoshikawa, S.; Yamasaki, Y.; Shimasaki, Y.; Oshima, Y.; Jenkinson, I.R.; Honjo, T. Factors influencing the initiation of blooms of the raphidophyte Heterosigma akashiwo and the diatom Skeletonema costatum in a port in Japan. Limnol. Oceanogr. 2008, 53, 2503–2518. [Google Scholar] [CrossRef]
- Ji, N.; Wang, J.; Zhang, Z.; Chen, L.; Xu, M.; Yin, X.; Shen, X. Transcriptomic response of the harmful algae Heterosigma akashiwo to polyphosphate utilization and phosphate stress. Harmful Algae 2022, 117, 102267. [Google Scholar] [CrossRef] [PubMed]
- Ji, N.; Zhang, Z.; Huang, J.; Zhou, L.; Deng, S.; Shen, X.; Lin, S. Utilization of various forms of nitrogen and expression regulation of transporters in the harmful alga Heterosigma akashiwo (Raphidophyceae). Harmful Algae 2020, 92, 101770. [Google Scholar] [CrossRef] [PubMed]
- Wang, Z.-H.; Liang, Y.; Kang, W. Utilization of dissolved organic phosphorus by different groups of phytoplankton taxa. Harmful Algae 2011, 12, 113–118. [Google Scholar] [CrossRef]
- Healey, E.M.; Flood, S.; Bock, P.K.; Fulweiler, R.W.; York, J.K.; Coyne, K.J. Effects of nitrate and ammonium on assimilation of nitric oxide by Heterosigma akashiwo. Sci. Rep. 2023, 13, 621. [Google Scholar] [CrossRef] [PubMed]
- Jeong, H.J.; Lim, A.S.; Franks, P.J.S.; Lee, K.H.; Kim, J.H.; Kang, N.S.; Lee, M.J.; Jang, S.H.; Lee, S.Y.; Yoon, E.Y. A hierarchy of conceptual models of red-tide generation: Nutrition, behavior, and biological interactions. Harmful Algae 2015, 47, 97–115. [Google Scholar] [CrossRef]
- Shikata, T.; Matsunaga, S.; Nishide, H.; Sakamoto, S.; Onistuka, G.; Yamaguchi, M. Diurnal vertical migration rhythms and their photoresponse in four phytoflagellates causing harmful algal blooms. Limnol. Oceanogr. 2015, 60, 1251–1264. [Google Scholar] [CrossRef]
- Watanabe, M.; Kohata, K.; Kunugi, M. Phosphate accumulation and metabolism by Heterosigma akashiwo (Raphidophyceae) during diel vertical migration in a stratified microcosm. J. Phycol. 1988, 24, 22–28. [Google Scholar] [CrossRef]
- Jeong, H.J. Mixotrophy in red tide algae raphidophytes. J. Eukaryot. Microbiol. 2011, 58, 215–222. [Google Scholar] [CrossRef]
- Anderson, D.M.; Cembella, A.D.; Hallegraeff, G.M. Progress in understanding harmful algal blooms: Paradigm shifts and new technologies for research, monitoring, and management. Ann. Rev. Mar. Sci. 2012, 4, 143–176. [Google Scholar] [CrossRef] [PubMed]
- Hennon, G.M.M.; Dyhrman, S.T. Progress and promise of omics for predicting the impacts of climate change on harmful algal blooms. Harmful Algae 2019, 91, 101587. [Google Scholar] [CrossRef] [PubMed]
- Keeling, P.J.; Burki, F.; Wilcox, H.M.; Allam, B.; Allen, E.E.; Amaral-Zettler, L.A.; Armbrust, E.V.; Archibald, J.M.; Bharti, A.K.; Bell, C.J. The Marine Microbial Eukaryote Transcriptome Sequencing Project (MMETSP): Illuminating the functional diversity of eukaryotic life in the oceans through transcriptome sequencing. PLoS Biol. 2014, 12, e1001889. [Google Scholar] [CrossRef]
- Haley, S.T.; Alexander, H.; Juhl, A.R.; Dyhrman, S.T. Transcriptional response of the harmful raphidophyte Heterosigma akashiwo to nitrate and phosphate stress. Harmful Algae 2017, 68, 258–270. [Google Scholar] [CrossRef] [PubMed]
- Chen, T.; Liu, Y.; Song, S.; Bai, J.; Li, C. Full-length transcriptome analysis of the bloom-forming dinoflagellate Akashiwo sanguinea by single-molecule real-time sequencing. Front. Microbiol. 2022, 13, 993914. [Google Scholar] [CrossRef] [PubMed]
- Cheng, H.; Bowler, C.; Xing, X.; Bulone, V.; Shao, Z.; Duan, D. Full-length transcriptome of Thalassiosira weissflogii as a reference resource and mining of chitin-related genes. Mar. Drugs 2021, 19, 392. [Google Scholar] [CrossRef]
- Deng, A.; Li, J.; Yao, Z.; Afriyie, G.; Chen, Z.; Guo, Y.; Luo, J.; Wang, Z. SMRT sequencing of the full-length transcriptome of the Coelomactra antiquata. Front. Genet. 2021, 12, 741243. [Google Scholar] [CrossRef]
- Wang, L.; Zhu, P.; Mo, Q.; Luo, W.; Du, Z.; Jiang, J.; Yang, S.; Zhao, L.; Gong, Q.; Wang, Y. Comprehensive analysis of full-length transcriptomes of Schizothorax prenanti by single-molecule long-read sequencing. Genomics 2022, 114, 456–464. [Google Scholar] [CrossRef]
- Ji, N.; Lin, L.; Li, L.; Yu, L.; Zhang, Y.; Luo, H.; Li, M.; Shi, X.; Wang, D.Z.; Lin, S. Metatranscriptome analysis reveals environmental and diel regulation of a Heterosigma akashiwo (Raphidophyceae) bloom. Environ. Microbiol. 2018, 20, 1078–1094. [Google Scholar] [CrossRef]
- Eid, J.; Fehr, A.; Gray, J.; Luong, K.; Lyle, J.; Otto, G.; Peluso, P.; Rank, D.; Baybayan, P.; Bettman, B. Real-time DNA sequencing from single polymerase molecules. Science 2009, 323, 133–138. [Google Scholar] [CrossRef]
- Salmela, L.; Rivals, E. LoRDEC: Accurate and efficient long read error correction. Bioinformatics 2014, 30, 3506–3514. [Google Scholar] [CrossRef] [PubMed]
- Li, W.; Godzik, A. Cd-hit: A fast program for clustering and comparing large sets of protein or nucleotide sequences. Bioinformatics 2006, 22, 1658–1659. [Google Scholar] [CrossRef] [PubMed]
- Qiu, D.; Huang, L.; Lin, S. Cryptophyte farming by symbiotic ciliate host detected in situ. Proc. Natl. Acad. Sci. USA 2016, 113, 12208–12213. [Google Scholar] [CrossRef] [PubMed]
- Alexander, H.; Jenkins, B.D.; Rynearson, T.A.; Dyhrman, S.T. Metatranscriptome analyses indicate resource partitioning between diatoms in the field. Proc. Natl. Acad. Sci. USA 2015, 112, E2182–E2190. [Google Scholar] [CrossRef] [PubMed]
- Dyhrman, S.T. Nutrients and their acquisition: Phosphorus physiology in microalgae. In The Physiology of Microalgae; Borowitzka, M.A., Beardall, J., Eds.; Springer: Berlin/Heidelberg, Germany, 2016; pp. 155–183. [Google Scholar]
- Shikata, T.; Takahashi, F.; Nishide, H.; Shigenobu, S.; Kamei, Y.; Sakamoto, S.; Yuasa, K.; Nishiyama, Y.; Yamasaki, Y.; Uchiyama, I. RNA-Seq analysis reveals genes related to photoreception, nutrient uptake, and toxicity in a noxious red-tide Raphidophyte Chattonella antiqua. Front. Microbiol. 2019, 10, 1764. [Google Scholar] [CrossRef] [PubMed]
- Ji, N.; Li, L.; Lin, L.; Lin, S. Identification and expression analysis of blue light receptor aureochrome in the harmful alga Heterosigma akashiwo (raphidophyceae). Harmful Algae 2017, 61, 71–79. [Google Scholar] [CrossRef]
- Nagai, S.; Yamaguchi, S.; Lian, C.L.; Matsuyama, Y.; Itakura, S. Development of microsatellite markers in the noxious red tide-causing algae Heterosigma akashiwo (Raphidophyceae). Mol. Ecol. Resour. 2006, 6, 477–479. [Google Scholar] [CrossRef]
- Coyne, K.J. Nitrate Reductase (NR1) sequence and expression in the harmful alga Heterosigma akashiwo (Raphidophyceae). J. Phycol. 2010, 46, 135–142. [Google Scholar] [CrossRef]
- Caron, D.A.; Alexander, H.; Allen, A.E.; Archibald, J.M.; Armbrust, E.V.; Bachy, C.; Bell, C.J.; Bharti, A.; Dyhrman, S.T.; Guida, S.M.; et al. Probing the evolution, ecology and physiology of marine protists using transcriptomics. Nat. Rev. Microbiol. 2016, 15, 6–20. [Google Scholar] [CrossRef]
- Lin, S. Genomic understanding of dinoflagellates. Res. Microbiol. 2011, 162, 551–569. [Google Scholar] [CrossRef]
- Cattolico, R.A.; Boothroyd, J.C.; Gibbs, S.P. Synchronous growth and plastid replication in the naturally wall-less alga Olisthodiscus luteus. Plant Physiol. 1976, 57, 497–503. [Google Scholar] [CrossRef] [PubMed]
- Harke, M.J.; Juhl, A.R.; Haley, S.T.; Alexander, H.; Dyhrman, S.T. Conserved transcriptional responses to nutrient stress in bloom-forming algae. Front. Microbiol. 2017, 8, 1279. [Google Scholar] [CrossRef] [PubMed]
- Shi, X.; Xiao, Y.; Liu, L.; Xie, Y.; Ma, R.; Chen, J. Transcriptome responses of the dinoflagellate Karenia mikimotoi driven by nitrogen deficiency. Harmful Algae 2021, 103, 101977. [Google Scholar] [CrossRef] [PubMed]
- Okazaki, Y.; Furuno, M.; Kasukawa, T.; Adachi, J.; Bono, H.; Kondo, S.; Nikaido, I.; Osato, N.; Saito, R.; Suzuki, H.; et al. Analysis of the mouse transcriptome based on functional annotation of 60,770 full-length cDNAs. Nature 2002, 420, 563–573. [Google Scholar]
- Mercer, T.R.; Dinger, M.E.; Mattick, J.S. Long non-coding RNAs: Insights into functions. Nat. Rev. Genet. 2009, 10, 155–159. [Google Scholar] [CrossRef]
- Rayko, E.; Maumus, F.; Maheswari, U.; Jabbari, K.; Bowler, C. Transcription factor families inferred from genome sequences of photosynthetic stramenopiles. New Phytol. 2010, 188, 52–66. [Google Scholar] [CrossRef]







| Polymerase Read Bases (G) | Subread Bases (G) | FLNC a Number | Polished Consensus Sequences | Unigenes/N50 (bp) |
|---|---|---|---|---|
| 48.66 | 45.44 | 493,483 | 46,954 | 16,668/2007 |
| Strain | SP a | Unigenes/CDS b | AM c | N50 (bp) | References |
|---|---|---|---|---|---|
| CCMA369 | PacBio Sequel | 16,668 | - | 2007 | This study |
| CCMA369 | Illumina | 108,924 | Trinity | 1015 | [13] |
| CCMP2393 | Illumina | 40,801 | BPA and ABySS | 1402 | [24] |
| CCMP3107 | Illumina | 18,721 | BPA and ABySS | - | [23] |
| CCMP452 | Illumina | 17,723 | BPA and ABySS | - | [23] |
| NB | Illumina | 32,905 | BPA and ABySS | - | [23] |
Disclaimer/Publisher’s Note: The statements, opinions and data contained in all publications are solely those of the individual author(s) and contributor(s) and not of MDPI and/or the editor(s). MDPI and/or the editor(s) disclaim responsibility for any injury to people or property resulting from any ideas, methods, instructions or products referred to in the content. |
© 2023 by the authors. Licensee MDPI, Basel, Switzerland. This article is an open access article distributed under the terms and conditions of the Creative Commons Attribution (CC BY) license (https://creativecommons.org/licenses/by/4.0/).
Share and Cite
Ji, N.; Yin, X.; Chen, Y.; Chen, Y.; Xu, M.; Huang, J.; Cai, Y.; Shen, X. Full-Length Transcriptome Analysis of the Ichthyotoxic Harmful Alga Heterosigma akashiwo (Raphidophyceae) Using Single-Molecule Real-Time Sequencing. Microorganisms 2023, 11, 389. https://doi.org/10.3390/microorganisms11020389
Ji N, Yin X, Chen Y, Chen Y, Xu M, Huang J, Cai Y, Shen X. Full-Length Transcriptome Analysis of the Ichthyotoxic Harmful Alga Heterosigma akashiwo (Raphidophyceae) Using Single-Molecule Real-Time Sequencing. Microorganisms. 2023; 11(2):389. https://doi.org/10.3390/microorganisms11020389
Chicago/Turabian StyleJi, Nanjing, Xueyao Yin, Yujiao Chen, Yifan Chen, Mingyang Xu, Jinwang Huang, Yuefeng Cai, and Xin Shen. 2023. "Full-Length Transcriptome Analysis of the Ichthyotoxic Harmful Alga Heterosigma akashiwo (Raphidophyceae) Using Single-Molecule Real-Time Sequencing" Microorganisms 11, no. 2: 389. https://doi.org/10.3390/microorganisms11020389
APA StyleJi, N., Yin, X., Chen, Y., Chen, Y., Xu, M., Huang, J., Cai, Y., & Shen, X. (2023). Full-Length Transcriptome Analysis of the Ichthyotoxic Harmful Alga Heterosigma akashiwo (Raphidophyceae) Using Single-Molecule Real-Time Sequencing. Microorganisms, 11(2), 389. https://doi.org/10.3390/microorganisms11020389
