Plant-Growth-Promoting Potential of PGPE Isolated from Dactylis glomerata L.
Abstract
1. Introduction
2. Materials and Methods
2.1. Plant Sampling
2.2. Isolation and Purification of Endophytes
2.3. Pot Re-Inoculation Experiment
2.4. Morphological, Physiological Characterization of Endophytes
2.5. Molecular Identification of Entophytes
2.6. Qualitative Detection of Nitrogen Fixation Capacity
2.7. Qualitative Test of Potassium Solubility
2.8. Quantitative Estimation of Phosphorus Solubilization
2.9. Quantitative Determination of Secretory Auxin
2.10. Antimicrobial Activities of Endophytes
2.11. Effect of the Endophytic Inoculation on Rust Resistance of D. glomerata
2.12. Statistical Analysis
3. Results
3.1. Pot Re-Inoculation Strains Experiment
3.2. Morphological Identification of Endophytic Fungi and Bacteria
3.3. Molecular Identification of Endophytes
3.4. Qualitative and Quantitative Determination of Nitrogen, Phosphorus, and Potassium in Endophytic Fungi and Bacteria
3.5. Determination of Auxin Production
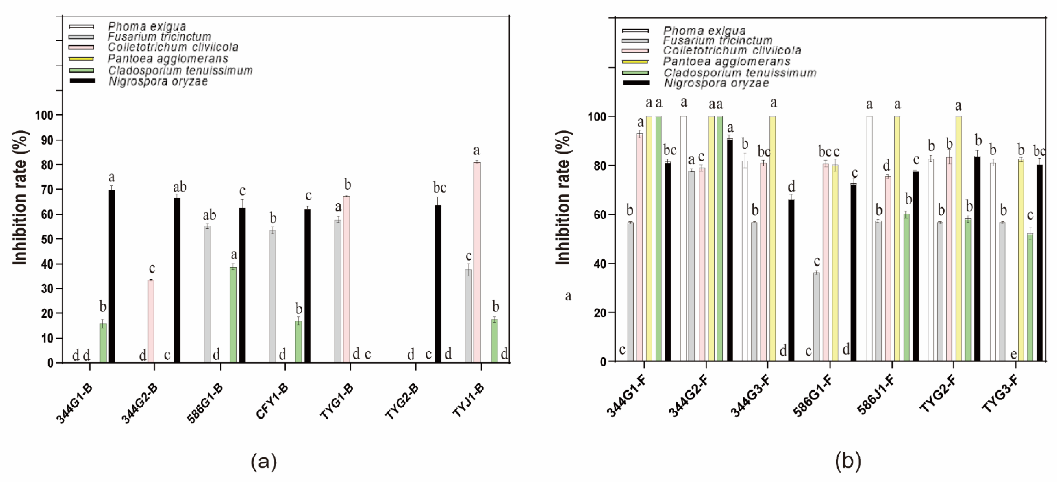
3.6. Antimicrobial Activity of Endophytic Bacteria and Fungi in D. glomerata
3.7. Field Rust Test
4. Discussion
5. Conclusions
Supplementary Materials
Author Contributions
Funding
Institutional Review Board Statement
Informed Consent Statement
Data Availability Statement
Acknowledgments
Conflicts of Interest
References
- Wang, J.; Zhang, Y.; Li, Y.; Wang, X.; Nan, W.; Hu, Y.; Zhang, H.; Zhao, C.; Wang, F.; Li, P.; et al. Endophytic microbes Bacillus sp. LZR216-regulated root development is dependent on polar auxin transport in Arabidopsis seedlings. Plant Cell Rep. 2015, 34, 1075–1087. [Google Scholar] [CrossRef]
- Chen, L.; Li, D.; Shao, Y.; Adni, J.; Wang, H.; Liu, Y.; Zhang, Y. Comparative Analysis of Soil Microbiome Profiles in the Companion Planting of White Clover and Orchard Grass Using 16S rRNA Gene Sequencing Data. Front. Plant Sci. 2020, 11, 1431. [Google Scholar] [CrossRef]
- Karthik, C.; Oves, M.; Thangabalu, R.; Sharma, R.; Santhosh, S.; Arulselvi, P.I. Cellulosimicrobium funkei-like enhances the growth of Phaseolus vulgaris by modulating oxidative damage under Chromium(VI) toxicity. J. Adv. Res. 2016, 7, 839–850. [Google Scholar] [CrossRef] [PubMed]
- Khan, A.L.; Waqas, M.; Khan, A.R.; Hussain, J.; Kang, S.-M.; Gilani, S.A.; Hamayun, M.; Shin, J.-H.; Kamran, M.; Al-Harrasi, A.; et al. Fungal endophyte Penicillium janthinellum LK5 improves growth of ABA-deficient tomato under salinity. World J. Microbiol. Biotechnol. 2013, 29, 2133–2144. [Google Scholar] [CrossRef] [PubMed]
- Arnold, A.E.; Mejía, L.C.; Kyllo, D.; Rojas, E.I.; Maynard, Z.; Robbins, N.; Herre, E.A. Fungal endophytes limit pathogen damage in a tropical tree. Proc. Natl. Acad. Sci. USA 2003, 100, 15649–15654. [Google Scholar] [CrossRef] [PubMed]
- Smith, E.F. Further Evidence That Crown Gall of Plants Is Cancer. Science 1916, 43, 871–889. [Google Scholar] [CrossRef] [PubMed][Green Version]
- Smith, V.A.; Hindley, J.; Smith, J.H.V.A. Effect of agrocin 84 on attachment of Agrobacterium tumefaciens to cultured tobacco cells. Nature 1978, 276, 498–500. [Google Scholar] [CrossRef]
- Vettraino, A.M.; Paolacci, A.; Vannini, A. Endophytism of Sclerotinia pseudotuberosa: PCR assay for specific detection in chestnut tissues. Mycol. Res. 2005, 109, 96–102. [Google Scholar] [CrossRef] [PubMed]
- Schulz, B.J.E.; Boyle, C.J.C.; Sieber, T.N. (Eds.) Microbial Root Endophytes. In Soil Biology; Springer: Berlin, Germany, 2006; ISBN 978-3-540-33525-2. [Google Scholar]
- Eotieno, N.; Lally, R.D.; Ekiwanuka, S.; Elloyd, A.; Eryan, D.; Germaine, K.J.; Dowling, D.N. Plant growth promotion induced by phosphate solubilizing endophytic Pseudomonas isolates. Front. Microbiol. 2015, 6, 745. [Google Scholar] [CrossRef]
- Spaepen, S.; Versées, W.; Gocke, D.; Pohl, M.; Steyaert, J.; Vanderleyden, J. Characterization of Phenylpyruvate Decarboxylase, Involved in Auxin Production of Azospirillum brasilense. J. Bacteriol. 2007, 189, 7626–7633. [Google Scholar] [CrossRef]
- Bagg, A.; Neilands, J.B. Ferric uptake regulation protein acts as a repressor, employing iron(II) as a cofactor to bind the operator of an iron transport operon in Escherichia coli. Biochemistry 1987, 26, 5471–5477. [Google Scholar] [CrossRef]
- Lòpez-Fernàndez, S.; Compant, S.; Vrhovsek, U.; Bianchedi, P.L.; Sessitsch, A.; Pertot, I.; Campisano, A. Grapevine colonization by endophytic bacteria shifts secondary metabolism and suggests activation of defense pathways. Plant Soil 2015, 405, 155–175. [Google Scholar] [CrossRef]
- Carrión, V.J.; Perez-Jaramillo, J.; Cordovez, V.; Tracanna, V.; de Hollander, M.; Ruiz-Buck, D.; Mendes, L.W.; van Ijcken, W.F.J.; Gomez-Exposito, R.; Elsayed, S.S.; et al. Pathogen-induced activation of disease-suppressive functions in the endophytic root microbiome. Science 2019, 366, 606–612. [Google Scholar] [CrossRef]
- Woltman, A.M.; Van Der Kooij, S.W.; Coffer, P.J.; Offringa, R.; Daha, M.R.; van Kooten, C. Rapamycin specifically interferes with GM-CSF signaling in human dendritic cells, leading to apoptosis via increased p27KIP1 expression. Blood 2003, 101, 1439–1445. [Google Scholar] [CrossRef] [PubMed]
- Wilkins, P.W.; Humphreys, M.O. Progress in breeding perennial forage grasses for temperate agriculture. J. Agric. Sci. 2003, 140, 129–150. [Google Scholar] [CrossRef]
- Farshadfar, M. Evaluation of the Forage Yield and Quality in Some Accessions of Dactylis Glomerata under Irrigated Conditions. Sch. Res. Libr. 2012, 3, 6. Available online: https://www.scholarsresearchlibrary.com/articles/evaluation-of-the-forage-yield-and-quality-in-some-accessions-of-dactylis-glomerata-under-irrigated-conditions.pdf (accessed on 20 March 2022).
- Borowik, A.; Wyszkowska, J.; Kucharski, M.; Kucharski, J. The Role of Dactylis Glomerata and Diesel Oil in the Formation of Microbiome and Soil Enzyme Activity. Sensors 2020, 20, 3362. [Google Scholar] [CrossRef]
- Ortiz, O.; Alcañiz, J. Bioaccumulation of heavy metals in Dactylis glomerata L. growing in a calcareous soil amended with sewage sludge. Bioresour. Technol. 2006, 97, 545–552. [Google Scholar] [CrossRef]
- Mei, C.; Chretien, R.L.; Amaradasa, B.S.; He, Y.; Turner, A.; Lowman, S. Characterization of Phosphate Solubilizing Bacterial Endophytes and Plant Growth Promotion In Vitro and in Greenhouse. Microorganisms 2021, 9, 1935. [Google Scholar] [CrossRef]
- Cueva-Yesquén, L.G.; Goulart, M.C.; de Angelis, D.A.; Alves, M.N.; Fantinatti-Garboggini, F. Multiple Plant Growth-Promotion Traits in Endophytic Bacteria Retrieved in the Vegetative Stage From Passionflower. Front. Plant Sci. 2021, 11, 2282. [Google Scholar] [CrossRef]
- Jamali, H.; Sharma, A.; Roohi; Srivastava, A.K. Biocontrol potential of Bacillus subtilis RH5 against sheath blight of rice caused by Rhizoctonia solani. J. Basic Microbiol. 2019, 60, 268–280. [Google Scholar] [CrossRef]
- Khalifa, A.Y.Z.; Alsyeeh, A.-M.; Almalki, M.A.; Saleh, F.A. Characterization of the plant growth promoting bacterium, Enterobacter cloacae MSR1, isolated from roots of non-nodulating Medicago sativa. Saudi J. Biol. Sci. 2016, 23, 79–86. [Google Scholar] [CrossRef]
- Bashir, S.; Iqbal, A.; Hasnain, S. Comparative analysis of endophytic bacterial diversity between two varieties of sunflower Helianthus annuus with their PGP evaluation. Saudi J. Biol. Sci. 2019, 27, 720–726. [Google Scholar] [CrossRef] [PubMed]
- White, T.J.; Bruns, T.; Lee, S.; Taylor, J. Amplification and direct sequencing of fungal ribosomal RNA genes for phylogenetics. In PCR Protocols: A Guide to Methods and Applications; Innis, M.A., Gelfand, D.H., Sninsky, J.J., White, T.J., Eds.; Academic Press: San Diego, CA, USA, 1990; pp. 315–322. [Google Scholar]
- Ranganayaki, S.; Bahadur, K.; Mohan, C. Microbial fixation of nitrogen in the presence of lanthanum sulphate. J. Basic Microbiol. 1981, 21, 329–332. [Google Scholar] [CrossRef]
- Khan, M.S.; Zaidi, A.; Musarrat, J. Response of PSM Inoculation to Certain Legumes and Cereal Crops; Springer International Publishing: Cham, Switzerland, 2014. [Google Scholar]
- Tiggemann, M. Considerations of positive body image across various social identities and special populations. Body Image 2015, 14, 168–176. [Google Scholar] [CrossRef] [PubMed]
- Liu, Y.-Q.; Wang, Y.-H.; Kong, W.-L.; Liu, W.-H.; Xie, X.-L.; Wu, X.-Q. Identification, cloning and expression patterns of the genes related to phosphate solubilization in Burkholderia multivorans WS-FJ9 under different soluble phosphate levels. AMB Express 2020, 10, 1–11. [Google Scholar] [CrossRef] [PubMed]
- Mishra, S.K.; Singh, J.; Pandey, A.R.; Dwivedi, N. Indole-3-Acetic Acid Production by the Cyanobacterium Fisherella muscicola NDUPC001. Curr. Sci. 2019, 116, 1233–1237. [Google Scholar] [CrossRef]
- Chrastil, J. Colorimetric estimation of indole-3-acetic acid. Anal. Biochem. 1976, 72, 134–138. [Google Scholar] [CrossRef]
- Hassan, S.E.-D. Plant growth-promoting activities for bacterial and fungal endophytes isolated from medicinal plant of Teucrium polium L. J. Adv. Res. 2017, 8, 687–695. [Google Scholar] [CrossRef] [PubMed]
- Lii, Q.; SHIMA, Z. Wheat Rust in China; China Agriculture Press: Beijing, China, 2002; ISBN 7-109-07347-5. [Google Scholar]
- Vendan, R.T.; Yu, Y.J.; Lee, S.H.; Rhee, Y.H. Diversity of endophytic bacteria in ginseng and their potential for plant growth promotion. J. Microbiol. 2010, 48, 559–565. [Google Scholar] [CrossRef]
- Dai-Jing, L.I.; Yin, Y.; Liu, M.J.; Wei, T.; Guo, J.; Xin, Z.H. Screening and Identification of Endophytic Bacteria from Salicornia Bigelovii. Torr Based on a NRPS Functional Gene Assay. Food Ferment. Ind. 2017, 43, 58. (In China) [Google Scholar] [CrossRef]
- Hasan, H.A.H. Gibberellin and auxin-indole production by plant root-fungi and their biosynthesis under salinity-calcium interaction. Acta Microbiol. Immunol. Hung. 2002, 49, 105–118. [Google Scholar] [CrossRef] [PubMed]
- Bilal, L.; Asaf, S.; Hamayun, M.; Gul, H.; Iqbal, A.; Ullah, I.; Lee, I.-J.; Hussain, A. Plant growth promoting endophytic fungi Asprgillus fumigatus TS1 and Fusarium proliferatum BRL1 produce gibberellins and regulates plant endogenous hormones. Symbiosis 2018, 76, 117–127. [Google Scholar] [CrossRef]
- Rozpądek, P.; Wężowicz, K.; Nosek, M.; Ważny, R.; Tokarz, K.; Lembicz, M.; Miszalski, Z.; Turnau, K. The fungal endophyte Epichloë typhina improves photosynthesis efficiency of its host orchard grass (Dactylis glomerata). Planta 2015, 242, 1025–1035. [Google Scholar] [CrossRef] [PubMed]
- Jimtha, C.J.; Radhakrishnan, E.K. Multipotent Plant Probiotic Rhizobacteria from Western Ghats and Its Effect on Quantitative Enhancement of Medicinal Natural Product Biosynthesis. Proc. Natl. Acad. Sci. India Sect. B Boil. Sci. 2016, 88, 755–768. [Google Scholar] [CrossRef]
- Kaur, R.; Kaur, S. Plant growth-promoting potential of ‘Myroides gitamensis’ isolated from virgin soils of Punjab. Arch. Microbiol. 2021, 203, 2551–2561. [Google Scholar] [CrossRef]
- Mwakinyali, S.E.; Ming, Z.; Xie, H.; Zhang, Q.; Li, P. Investigation and Characterization of Myroides odoratimimus Strain 3J2MO Aflatoxin B1Degradation. J. Agric. Food Chem. 2019, 67, 4595–4602. [Google Scholar] [CrossRef] [PubMed]
- Wang, Y.; Gao, M.; Li, Q.; Wang, L.; Wang, J.; Jeon, J.-S.; Qu, N.; Zhang, Y.; He, Z. OsRAR1 and OsSGT1 Physically Interact and Function in Rice Basal Disease Resistance. Mol. Plant-Microbe Interact. 2008, 21, 294–303. [Google Scholar] [CrossRef] [PubMed]
- Yallappa, M.; Savalagi, V.P.; Shruthi, P. Effect of Dual Inoculation of Potassium Solubilizing Bacteria and Phosphorus Solubilizing Bacteria on Nutrient Content in Maize Crop. Trends Biosci. 2015, 8, 4402–4405. [Google Scholar]
- Stajković-Srbinović, O.; DELIĆ, D.; Kuzmanović, D.; Sikirić, B.; RASULIĆ, N.; Nikolić, B.; Knežević-Vukčević, J. Growth and Nutrient Uptake of Orchardgrass (Dactylis glomerata L.) and Meadow Fescue (Festuca pratensis Huds.) as Affected by Rhizobacteria. Not. Bot. Horti Agrobot. Cluj-Napoca 2016, 44, 296–301. [Google Scholar] [CrossRef][Green Version]
- Zhang, L. Identification of A Bacillus cereus and Isolation and Study on Its Antimicrobial Substance. Master’s Thesis, South China University of Technology, Guangzhou, China, 2012. [Google Scholar]
- Martanto, E.A.; Tanati, A.E.; Baan, S.; Tata, H.R.; Murdjoko, A. Effectiveness of biological control of Trichoderma harzianum on soybean leaf rust disease and the production in West Papua Lowland, Indonesia. Biodiversitas J. Biol. Divers. 2020, 21, 1935–1939. [Google Scholar] [CrossRef]
- Parizi, T.E.; Ansari, M.; Elaminejad, T. Evaluation of the potential of Trichoderma viride in the control of fungal pathogens of Roselle (Hibiscus sabdariffa L.) in vitro. Microb. Pathog. 2012, 52, 201–205. [Google Scholar] [CrossRef] [PubMed]
- Thangavelu, R.; Palaniswami, A.; Velazhahan, R. Mass production of Trichoderma harzianum for managing fusarium wilt of banana. Agric. Ecosyst. Environ. 2004, 103, 259–263. [Google Scholar] [CrossRef]
- Manzar, N.; Singh, Y.; Kashyap, A.S.; Sahu, P.K.; Rajawat, M.V.S.; Bhowmik, A.; Sharma, P.K.; Saxena, A.K. Biocontrol potential of native Trichoderma spp. against anthracnose of great millet (Sorghum bicolour L.) from Tarai and hill regions of India. Biol. Control 2020, 152, 104474. [Google Scholar] [CrossRef]
- Alvindia, D.G.; Alvindia, D.G. The antagonistic action of Trichoderma harzianum strain DGA01 against anthracnose-causing pathogen in mango cv. ‘Carabao’. Biocontrol Sci. Technol. 2018, 28, 591–602. [Google Scholar] [CrossRef]
- Sharkawy, H.E.; Tohamey, S.; Khalil, A.A. Combined Effects of Streptomyces viridosporus and Trichoderma harzianum on Controlling Wheat Leaf Rust Caused by Puccinia triticina. Plant Pathol. J. 2015, 14, 182–188. [Google Scholar] [CrossRef]



| Dactylis glomerata Sample Name | Isolated Strains (Strain Isolation Site) | |
|---|---|---|
| Bacteria | Fungi | |
| PI170344 | 344J1-B(stem) | 344G1-F(root) |
| 344G1-B(root) | 344G2-F(root) | |
| 344G3-F(root) | ||
| 344G4-F(root) | ||
| 344Y1-F(leaf) | ||
| 344Y2-F(leaf) | ||
| 344Y3-F(leaf) | ||
| PI292586 | 586Y1-B(leaf) | 586G1-F(root) |
| 586G1-B(root) | 586J1-F(stem) | |
| 586J2-F(stem) | ||
| CF016352 | CFY1-B(leaves) | |
| Teyou | TG1-B(root) | TG1-F(root) |
| TG2-B(root) | TG2-F(root) | |
| TJ1-B(stem) | TG3-F(root) | |
| Total | 8 | 13 |
| Microbial Isolates | Nearest Homolog Sequences (Accession Number) | Sequences Identity (%) | Accession Number | |
|---|---|---|---|---|
| Bacterial endophytes | 344G1-B | Bacillus mycoides strain SeITE01 (KF280239) | 99 | OK493783 |
| 344J1-B | Bacillus pumilus strain HTI3(MK521055) | 99 | OK493788 | |
| 586G1-B | Bacillus cereus strain GE16(KY312802) | 98 | OK493785 | |
| CFY1-B | Bacillus cereus strain IIF4SW (KY218870) | 99 | OK493786 | |
| TG1-B | Bacillus pseudomycoides strain BS20 (KR063200) | 99 | OK493784 | |
| TG2-B | Myroides odoratimimus strain T45 (KF758445) | 99 | OK493789 | |
| TJ1-B | Bacillus cereus strain ATCC 14579 (AE016877) | 99 | OK493787 | |
| Fungal endophytes | 344G1-F | Trichoderma harzianum isolate CTCCSJ-G-HB40547 (KY750324) | 93 | OK445674 |
| 344G2-F | Trichoderma harzianum isolate CTCCSJ-G-HB40547 (KY750324) | 93 | OK445675 | |
| 344G3-F | Trichoderma harzianum isolate CTCCSJ-G-HB40547 (KY750324) | 93 | OK445676 | |
| 586G1-F | Aspergillus fumigatus isolate HT OC176(MN634562) | 100 | OK448258 | |
| 586J1-F | Aspergillus fumigatus isolate HT OC176(MN634562) | 100 | OK448259 | |
| TG2-F | Fusarium proliferatum isolate A2S1-D96 (KJ767073) | 98 | OK448256 | |
| TG3-F | Fusarium proliferatum isolate A2S1-D96 (KJ767073) | 98 | OK448257 |
| Microbial Isolates | Phosphorus Quantitative Test (mg/L) | Nitrogen Fixation Capacity | Potassium Dissolving Capacity | IAA (μg/m) |
|---|---|---|---|---|
| 344G1-B | 60.52 ± 0.50 g | + | + | 10.21 ± 0.98 b |
| 344J1-B | 20.54 ± 0.21 k | + | + | 6.11 ± 0.53 c |
| 586G1-B | 70.97 ± 0.44 f | + | + | 5.38 ± 0.35 c |
| CFY1-B | 129.53 ± 0.35 a | + | + | 5.73 ± 0.44 c |
| TG1-B | 121.55 ± 2.6 c | - | + | 4.55 ± 0.65 cd |
| TG2-B | 90.15 ± 0.02 e | - | + | 52.57 ± 3.73 a |
| TJ1-B | 126.36 ± 0.35 b | + | + | 2.43 ± 0.58 d |
| 344G1-F | 23.83 ± 0.15 j | - | - | 5.44 ± 1.20 b |
| 344G2-F | 32.82 ± 0.60 h | + | + | 10.46 ± 2.40 a |
| 344G3-F | 29.70 ± 0.22 i | + | + | 4.87 ± 0.67 c |
| 586G1-F | 11.09 ± 1.06 m | + | - | 0 e |
| 586J1-F | 13.44 ± 1.97 l | - | + | 0 e |
| TYG2-F | 29.65 ± 0.10 i | - | - | 0 e |
| TYG3-F | 21.61 ± 0.07 k | + | + | 0 e |
| Microbial Isolates | Incidence % | Disease Index % | Relative Protection Effects % |
|---|---|---|---|
| 344J1-B | 25.47 ± 0.57 c | 13.60 ± 0.04 b | 38.74 ± 0.03 d |
| CFY1-B | 28.43 ± 0.58 b | 13.22 ± 0.25 c | 41.44 ± 0.03 c |
| TG2-B | 19.12 ± 0.57 d | 8.79 ± 0.09 d | 60.56 ± 0.38 b |
| 344G2-F | 18.60 ± 0.65 d | 8.43 ± 0.05 e | 62.29 ± 0.12 a |
| CK | 38.69 ± 0.21 a | 22.21 ± 0.08 a | 0.00 e |
Publisher’s Note: MDPI stays neutral with regard to jurisdictional claims in published maps and institutional affiliations. |
© 2022 by the authors. Licensee MDPI, Basel, Switzerland. This article is an open access article distributed under the terms and conditions of the Creative Commons Attribution (CC BY) license (https://creativecommons.org/licenses/by/4.0/).
Share and Cite
Zhang, C.; Cai, K.; Li, M.; Zheng, J.; Han, Y. Plant-Growth-Promoting Potential of PGPE Isolated from Dactylis glomerata L. Microorganisms 2022, 10, 731. https://doi.org/10.3390/microorganisms10040731
Zhang C, Cai K, Li M, Zheng J, Han Y. Plant-Growth-Promoting Potential of PGPE Isolated from Dactylis glomerata L. Microorganisms. 2022; 10(4):731. https://doi.org/10.3390/microorganisms10040731
Chicago/Turabian StyleZhang, Chaowen, Kai Cai, Mengyuan Li, Jiaqi Zheng, and Yuzhu Han. 2022. "Plant-Growth-Promoting Potential of PGPE Isolated from Dactylis glomerata L." Microorganisms 10, no. 4: 731. https://doi.org/10.3390/microorganisms10040731
APA StyleZhang, C., Cai, K., Li, M., Zheng, J., & Han, Y. (2022). Plant-Growth-Promoting Potential of PGPE Isolated from Dactylis glomerata L. Microorganisms, 10(4), 731. https://doi.org/10.3390/microorganisms10040731

