Control Strategy of Dual-Disc Electromagnetic–EMB Composite Braking System Based on Hybrid Systems
Abstract
1. Introduction
2. Research Objects and Control Structure
2.1. Dual-Disc Electromagnetic and EMB Composite Brake Structure
- ➀
 - The two systems share a brake bracket (22). Parts, such as the EMB transmission mechanism (5, 6, 11, and 17) and friction plate (23), are fixed through this shared bracket. The wheel is connected to the composite brake disc (21).
 - ➁
 - The composite brake disc is mechanically locked to maintain a constant disc distance, thereby maintaining the electromagnetic braking gap and enhancing the reliability of the brake system.
 - ➂
 - During braking, the EMB clamps the outer side of the composite brake disc, whereas the inner side is subjected to an electromagnetic braking force. In the same service cycle, the friction braking time is reduced, the service life of the outer friction brake disc is prolonged, and metal dust pollution is also reduced.
 - ➃
 - The heat diversion port of the composite brake disc was designed in the middle. This design can dissipate heat from the center of the disc, significantly improving the heat dissipation effect.
 
2.2. Control Structure of the Electromagnetic–EMB–Regenerative Composite Braking System
3. System Modeling
3.1. Longitudinal Vehicle Dynamic Model
3.2. EMB Braking Model
3.3. Electromagnetic Braking Model
3.4. Regenerative Braking Model
3.5. Tire Model
4. Hybrid System Theory and Coordinated Control Strategy Design
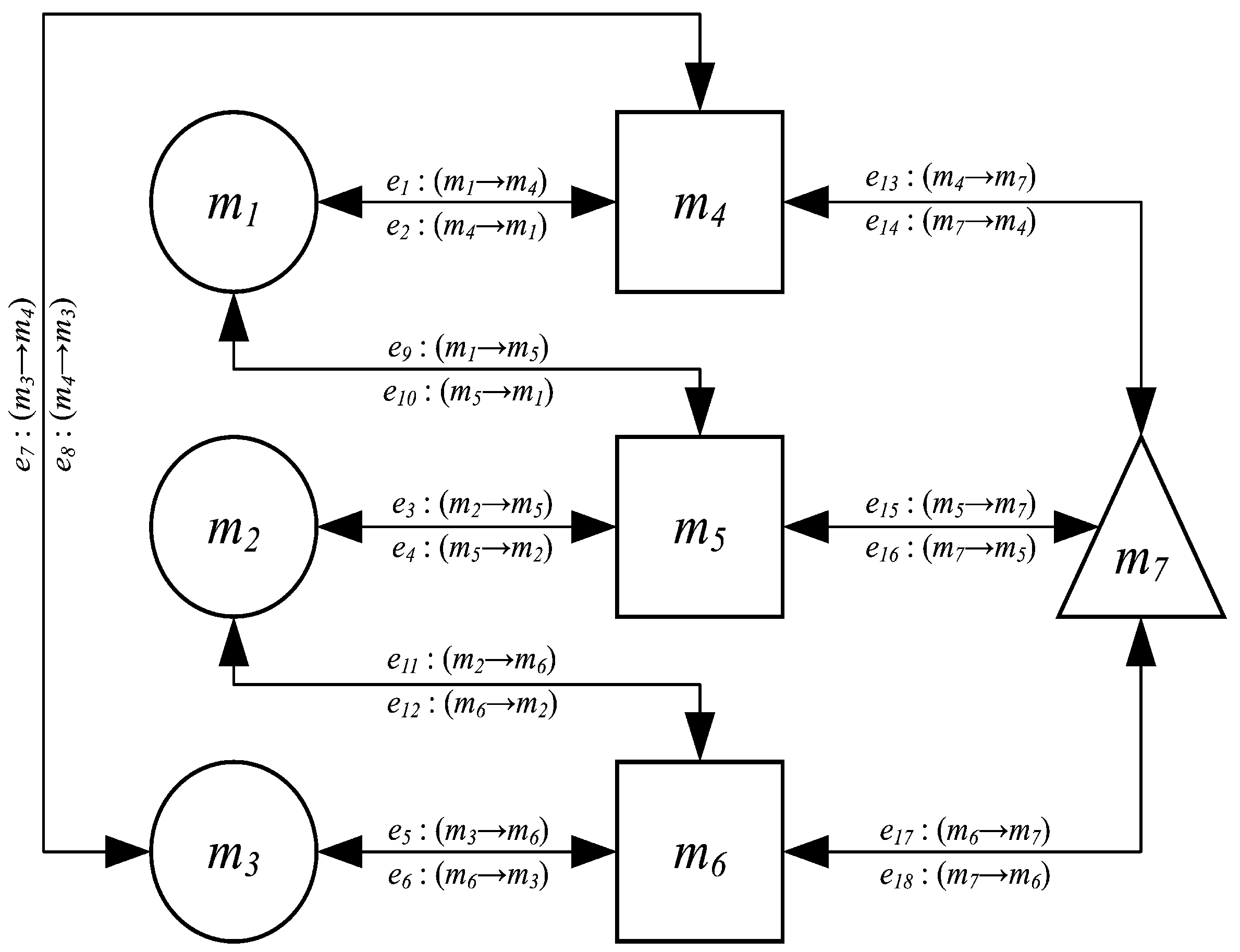
4.1. Hybrid System Modeling of the Electromagnetic–EMB–Regenerative Composite Braking System
4.2. Mode Switching Control Strategy of the Composite Braking System
5. Simulation Studies and Results Analysis
5.1. Simulation Setup
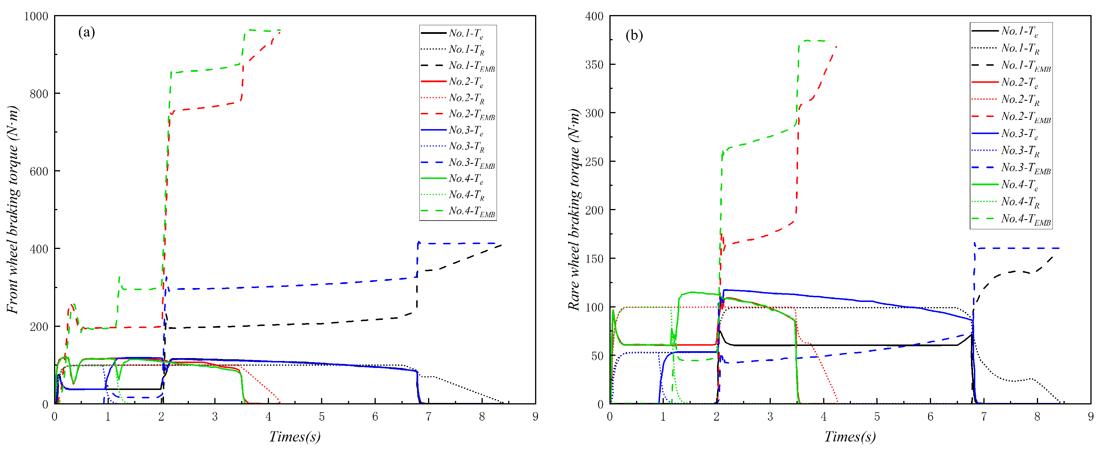
5.2. Results and Discussion
6. Conclusions
- (1)
 - An innovative dual-disc electromagnetic–EMB composite brake structure was designed. The axial space of the EMB friction brake disc was skillfully utilized, and the structural integration of the composite braking system was improved to realize the structural redundancy design of the EMB brake system.
 - (2)
 - A hybrid automaton mathematical model of each component of the composite braking system was established, and a control strategy was designed. The strategy comprehensively considers the working conditions of different SOCs, braking strengths, and adhesion coefficients, thereby verifying the feasibility of the composite braking scheme. The scheme can call the corresponding controller according to different trigger conditions, and, to effectively realize vehicle braking, the feasibility of the redundancy design was verified.
 - (3)
 - The composite braking system improves the upper limit of the braking strength and accelerates the overall braking response rate owing to the introduction of an electromagnetic braking control structure. In addition to the redundant function, the composite braking system compensates for the shortcomings of the slow response of the EMB friction brake and improves its ability to resist heat fading.
 
- (1)
 - We did not perform a real vehicle test and failed to fully verify the unknown complex situation of real vehicle braking. In terms of the control strategy, the switching logic of composite braking systems under emergency braking and with abnormal battery systems were not considered. This part of the study can be debugged and calibrated in combination with a real vehicle test.
 - (2)
 - The modeling and simulation involved idealized assumptions, such as the friction model of the electromagnetic brake model and the EMB model. In the simulation analysis, SOC was only observed for high-voltage batteries in the battery system. Owing to the short simulation time, the redundant low-voltage battery for the EMB and electromagnetic braking remained unchanged. Therefore, in a follow-up study, the SOC change in the entire battery system should be fully considered for the working–condition cycle.
 
Author Contributions
Funding
Data Availability Statement
Conflicts of Interest
References
- Waknin, D.; Surcel, M. Electromechanical Braking Systems Review; PIT Group: Wollongong, Australia, 2020. [Google Scholar]
 - Xiong, L.; Li, C.; Zhuo, G. Review on Electro-Mechanical Brake Structure and Control Technology. Automot. Eng. 2023, 45, 2187–2199. [Google Scholar]
 - Li, C.; Zhuo, G.; Tang, C.; Xiong, L. A review of electro-mechanical brake (EMB) system: Structure, control and application. Sustainability 2023, 15, 4514. [Google Scholar] [CrossRef]
 - Liu, H.; Deng, W.; He, R.; Wu, J.; Zhu, B. Fault-Tolerant Control of Brake-by-Wire Systems Based on Control Allocation; Technical Report, SAE Technical Paper; SAE: Warrendale, PA, USA, 2016. [Google Scholar]
 - Schrade, S.; Nowak, X.; Verhagen, A.; Schramm, D. Short review of EMB systems related to safety concepts. Actuators 2022, 11, 214. [Google Scholar] [CrossRef]
 - Jing, H.; Lin, Q.; Liu, M.; Liu, H. Electromechanical braking systems and control technology: A survey and practice. Proc. Inst. Mech. Eng. Part D. Automob. Eng. 2024. [Google Scholar] [CrossRef]
 - Zhao, L.; Yang, S.; Qu, J. Research progress of EMB systems key technology. J. Beijing Univ. Aeronaut. Astronaut. 2025, 51, 1037–1047. [Google Scholar]
 - Koehler, A.; Bertsche, B. An approach of fail operational power supply for next generation vehicle powernet architectures. In Proceedings of the 30th European Safety and Reliability Conference, the 15th Probabilistic Safety Assessment and Management Conference (ESREL-PSAM), Venice, Italy, 1–5 November 2020; pp. 60–67. [Google Scholar]
 - Weiberle, R.; Mueller, B.; Gmehlich, R. Method and Device for Controlling a Computer System Having at Least Two Execution Units and One Comparator Unit. U.S. Patent Application 11/990,251, 27 August 2009. [Google Scholar]
 - Liu, Q.; Qin, C.; Fu, Y. Vehicle Electronic and Mechanical Braking Systems and Vehicles with Them. CN Patent 112550189, 25 September 2019. [Google Scholar]
 - Liang, C. Research on Redundant Controlof Electro-Mechanical Brakingsystem of Commercial Vehicle. Master’s Thesis, Yanshan University, Qinhuangdao, China, 2023. [Google Scholar]
 - Zheng, Z.; Liu, L.; Zou, J. A Belt-Driven Brake Caliper, Brake System, Automobile and Design Method. CN Patent 11550714, 12 October 2022. [Google Scholar]
 - Yang, I.J. Electric Brake System for Vehicles. U.S. Patent 8,974,010, 10 March 2015. [Google Scholar]
 - Zhang, X.; Yu, F. A Electronic Mechanical Brake and Vehicle. CN Patent 117948361, 27 October 2022. [Google Scholar]
 - Shim, K.-h.; Jang, J.-h. Electric Brake System and Its Operation Method. CN Patent 115087814, 4 February 2021. [Google Scholar]
 - Sun, F.; Liu, W.; He, H.; Guo, H. An integrated control strategy for the composite braking system of an electric vehicle with independently driven axles. Veh. Syst. Dyn. 2016, 54, 1031–1052. [Google Scholar] [CrossRef]
 - Wang, H.; Wang, J.; Pi, D.; Wang, Q.; Sun, X.; Liu, Y.; Xue, P. Optimization of Commercial Vehicle Mechatronics Composite ABS Braking Control Considering Braking Efficiency and Energy Regeneration. IEEE Trans. Transp. Electrif. 2025, 11, 2332–2343. [Google Scholar] [CrossRef]
 - Liu, X.; He, R. Sliding mode control in electromagnetic-hydraulic hybrid anti-lock braking system. Trans. Chin. Soc. Agric. Mach. 2014, 45, 1–7. [Google Scholar]
 - Huang, D.; He, R. Study on Responsiveness Performance Control Strategy of Mode Switching for Electromagnetic and Friction Integrated Braking System. Mach. Des. Res. 2020, 36, 188–194. [Google Scholar]
 - Gay, S.E. Contactless Magnetic Brake for Automotive Applications. Ph.D. Thesis, Texas A&M University, College Station, TX, USA, 2005. [Google Scholar]
 - Song, J. Performance evaluation of a hybrid electric brake system with a sliding mode controller. Mechatronics 2005, 15, 339–358. [Google Scholar] [CrossRef]
 - Hu, C. Coordinated Control of Automotive Electromagnetic Friction Integrated Brakes. Master’s Thesis, Chongqing Jiaotong University, Chongqing, China, 2018. [Google Scholar]
 - He, R.; Hu, D.; Zhang, D. Research and development of automobile electromagnetic brake technology for commercial vehicles. J. Automot. Saf. Energy 2013, 4, 202–214. [Google Scholar]
 - He, R.; Liu, C.; Li, N. Fuzzy Control of the Integrated System of Electromagnetic Brake and Friction Brake of Car. Chin. J. Mech. Eng. 2010, 46, 83–87. [Google Scholar] [CrossRef]
 - Wouterse, J.H. Critical torque and speed of eddy current brake with widely separated soft iron poles. IEE Proc. Part B Electr. Power Appl. 1991, 138, 153–158. [Google Scholar] [CrossRef]
 - Liu, X. Research on Anti-lock Brake Controlling Technology of Electromagnetic-Hydraulic hybrid Braking System. Ph.D. Thesis, Jiangsu University, Zhenjiang, China, 2014. [Google Scholar]
 - He, R. Coordinated Control Strategy of Electromagnetic and Regenerative-Friction Combined Braking for In-Wheel Motor Electric Vehicles; SAE Technical Paper; SAE: Warrendale, PA, USA, 2021; 13p. [Google Scholar]
 - Allen, R.W.; Rosenthal, T.J. Requirements for Vehicle Dynamics Simulation Models; Technical Report, SAE Technical Paper; SAE: Warrendale, PA, USA, 1994. [Google Scholar]
 - Meng, Y.; Wu, T.; Rong, J.; Yang, X.; Peng, J.; Chu, L. Clamping Force Control of Electromechanical Brake Actuator Considering Contact Point between Friction Lining and Brake Disc. Actuators 2024, 13, 345. [Google Scholar] [CrossRef]
 - Zhang, L.; Yu, L.; Wei, W. Coordinated anti-lock braking control of regenerative and hydraulic braking systems in electric vehicles. J. Tsinghua Univ. Sci. Technol. 2016, 56, 152–159. [Google Scholar]
 - Pan, G.; Duan, Y. Research on control of electromechanical composite anti-lock braking system of four-wheel hub electric vehicle based on improved integral sliding mode. J. Mech. Sci. Technol. 2025, 39, 1035–1046. [Google Scholar] [CrossRef]
 - Meng, Y. Electro-Mechanical Brake System Architectural Design and Analysis Based on Functional Safety of Vehicles. Actuators 2024, 13, 346. [Google Scholar] [CrossRef]
 - Zhao, J. Research on Automotive EPS Hybrid Control System and Its Theory, Design and Realization. Ph.D. Thesis, Jiangsu University, Zhenjiang, China, 2009. [Google Scholar]
 - Liu, Z.; Mao, J.; Chen, L. Electromagnetic and Friction Integrated Braking Method Based on Hybrid Theory. China J. Highw. Transp. 2019, 32, 183–190. [Google Scholar]
 - Zhu, S. Design and Analysis of Electromagnetic, Regenerative and Friction Composite Brake for In-Wheel Motor. Master’s Thesis, Jiangsu University, Zhenjiang, China, 2021. [Google Scholar]
 










| Control Mode | Controlled Objects | Brake Controllers | Control Algorithms | Main Parameters | Parameter Value/Range | 
|---|---|---|---|---|---|
| Regenerative | Controller 1 | Fuzzy PID | ; ; ;  27  | ||
| EMB friction | Controller 2 | Triple closed-loop PID | ; ; | ||
| Electromagnetic | Controller 3 | PID | ; ; | ||
| Regenerative and Electromagnetic | Controller 4 | Fuzzy PID, PID | and | and | |
| Regenerative and EMB friction | Controller 5 | Fuzzy PID, Triple closed-loop PID | and | and | |
| Electromagnetic and EMB friction | Controller 6 | PID, Triple closed-loop PID | and | and | |
| Electromagnetic, Regenerative, and EMB friction | Controller 7 | Fuzzy PID, PID, Triple closed-loop PID | and | , and | 
| No. | SOC (%) | z(g) | |
|---|---|---|---|
| 1 | 60 | 0.8 | 0.1→0.3@2 s | 
| 2 | 60 | 0.8 | 0.3→0.7@2 s | 
| 3 | 89.9 | 0.8 | 0.1→0.3@2 s | 
| 4 | 89.9 | 0.8 | 0.3→0.7@2 s | 
| 5 | 60 | 0.65 | 0.3→0.7@2 s | 
Disclaimer/Publisher’s Note: The statements, opinions and data contained in all publications are solely those of the individual author(s) and contributor(s) and not of MDPI and/or the editor(s). MDPI and/or the editor(s) disclaim responsibility for any injury to people or property resulting from any ideas, methods, instructions or products referred to in the content.  | 
© 2025 by the authors. Licensee MDPI, Basel, Switzerland. This article is an open access article distributed under the terms and conditions of the Creative Commons Attribution (CC BY) license (https://creativecommons.org/licenses/by/4.0/).
Share and Cite
Shi, Z.; Yan, Y.; Zhang, S. Control Strategy of Dual-Disc Electromagnetic–EMB Composite Braking System Based on Hybrid Systems. Actuators 2025, 14, 297. https://doi.org/10.3390/act14060297
Shi Z, Yan Y, Zhang S. Control Strategy of Dual-Disc Electromagnetic–EMB Composite Braking System Based on Hybrid Systems. Actuators. 2025; 14(6):297. https://doi.org/10.3390/act14060297
Chicago/Turabian StyleShi, Zhen, Yunbing Yan, and Sen Zhang. 2025. "Control Strategy of Dual-Disc Electromagnetic–EMB Composite Braking System Based on Hybrid Systems" Actuators 14, no. 6: 297. https://doi.org/10.3390/act14060297
APA StyleShi, Z., Yan, Y., & Zhang, S. (2025). Control Strategy of Dual-Disc Electromagnetic–EMB Composite Braking System Based on Hybrid Systems. Actuators, 14(6), 297. https://doi.org/10.3390/act14060297
        
                                                
