Theoretical Analysis and Experimental Verification of 2-DOF Linkage Piezoelectric Energy Harvesting
Abstract
1. Introduction
2. Design and Working Principle of Piezoelectric Energy Harvesters
2.1. Structural Design of Piezoelectric Energy Harvesters
2.2. The Working Principle of Piezoelectric Energy Harvesters
2.3. The Advantages of Piezoelectric Energy Harvesters
3. Dynamic Modeling of 2-DOF Piezoelectric Energy Harvesters
4. Simulation Analysis of 2-DOF Piezoelectric Energy Harvester Under Sweep Frequency
4.1. Dynamic Performance of a 2-DOF Piezoelectric Energy Harvester
4.2. Energy-Harvesting Characteristics of a 2-DOF Piezoelectric Energy Harvester
5. Experimental Verification of a 2-DOF Piezoelectric Energy Harvester
5.1. Experimental Setup
5.2. Experimental Results and Analysis
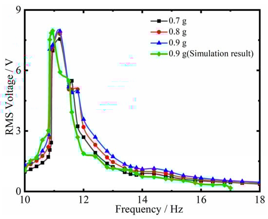
5.3. Experimental Results and Analysis of Different Levels of Motivation
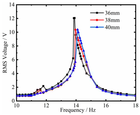
5.4. Experimental Results and Analysis of Different Longitudinal Distances
6. Conclusions
- (1)
- The introduction of nonlinear magnetic force reduces the threshold excitation required for resonance and broadens the frequency bandwidth of the energy harvester.
- (2)
- Considering the resonance of three cantilever beams, the optimal initial distances are d = 36 mm, h = 25 mm, and g = 0.9 g. The magnet mass of piezoelectric cantilever beam A is m1 = 3.4 g, the magnet mass of piezoelectric cantilever beam B is m2 = 3.4 g, and the magnet mass of piezoelectric cantilever beam C is m3 = 11.9 g. At this point, the three piezoelectric cantilever beams have a large output voltage and power.
Author Contributions
Funding
Data Availability Statement
Conflicts of Interest
References
- Brusa, E.; Carrera, A.; Delprete, C. A review of piezoelectric energy harvesting: Materials, design, and readout circuits. Actuators 2023, 12, 457. [Google Scholar] [CrossRef]
- Rosso, M.; Ardito, R. A Review of Nonlinear Mechanisms for Frequency Up-Conversion in Energy Harvesting. Actuators 2023, 12, 456. [Google Scholar] [CrossRef]
- Zuo, L.; Tang, X. Large-scale vibration energy harvesting. J. Intell. Mater. Syst. Struct. 2013, 24, 1405–1430. [Google Scholar] [CrossRef]
- Safaei, M.; Sodano, H.A.; Anton, S.R. A review of energy harvesting using piezoelectric materials: State-of-the-art a decade later (2008–2018). Smart Mater. Struct. 2019, 28, 113001. [Google Scholar] [CrossRef]
- Fang, J.; Fan, B.; Li, C.; Lv, M. A piezoelectric-electromagnetic hybrid energy harvester inspired by flapping motion of the Diptera insect. Smart Mater. Struct. 2023, 32, 105018. [Google Scholar] [CrossRef]
- Tang, L.; Yang, Y. A nonlinear piezoelectric energy harvester with magnetic oscillator. Appl. Phys. Lett. 2012, 101, 094102. [Google Scholar] [CrossRef]
- Sari, I.; Balkan, T.; Kulah, H. An electromagnetic micro power generator for wideband environmental vibrations. Sens. Actuators A Phys. 2008, 145, 405–413. [Google Scholar] [CrossRef]
- Wu, H.; Tang, L.; Yang, Y.; Soh, C.K. A novel two-degrees-of-freedom piezoelectric energy harvester. J. Intell. Mater. Syst. Struct. 2013, 24, 357–368. [Google Scholar] [CrossRef]
- Nguyen, M.S.; Yoon, Y.J.; Kim, P. Enhanced broadband performance of magnetically coupled 2-DOF bistable energy harvester with secondary intrawell resonances. Int. J. Precis. Eng. Manuf. Green Technol. 2019, 6, 521–530. [Google Scholar] [CrossRef]
- Xiong, L.; Tang, L.; Mace, B.R. Internal resonance with commensurability induced by an auxiliary oscillator for broadband energy harvesting. Appl. Phys. Lett. 2016, 108, 203901. [Google Scholar] [CrossRef]
- Chen, L.; Jiang, W.; Panyam, M.; Daqaq, M.F. A broadband internally resonant vibratory energy harvester. J. Vib. Acoust. 2016, 138, 1–10. [Google Scholar] [CrossRef]
- Jeong, S.W.; Yoo, H.H. Electromechanical modeling and analysis of a multimodal piezoelectric energy harvester comprising three connected beams. Trans. Korean Soc. Noise Vib. Eng. 2016, 26, 458–468. [Google Scholar] [CrossRef]
- Upadrashta, D.; Yang, Y. Trident-shaped multimodal piezoelectric energy harvester. J. Aerosp. Eng. 2018, 31, 4018070. [Google Scholar] [CrossRef]
- Wu, H.; Tang, L.; Yang, Y.; Soh, C.K. Development of a broadband nonlinear two-degree-of-freedom piezoelectric energy harvester. J. Intell. Mater. Syst. Struct. 2014, 25, 1875–1889. [Google Scholar] [CrossRef]
- Erturk, A.; Hoffmann, J.; Inman, D.J. A piezomagnetoelastic structure for broadband vibration energy harvesting. Appl. Phys. Lett. 2009, 94, 254102. [Google Scholar] [CrossRef]
- Moon, F.C.; Holmes, P.J. A magnetoelastic strange attractor. J. Sound Vibr. 1979, 65, 275–296. [Google Scholar] [CrossRef]
- Lu, Q.; Scarpa, F.; Liu, L.; Leng, J.; Liu, Y. An E-shape broadband piezoelectric energy harvester induced by magnets. J. Intell. Mater. Syst. Struct. 2018, 29, 2477–2491. [Google Scholar] [CrossRef]
- He, A.; He, T.; Gu, B.; Li, Y. Analysis of vibration energy harvesting performance of thermo-electro-elastic microscale devices based on generalized thermoelasticity. Actuators 2024, 13, 533. [Google Scholar] [CrossRef]
- Yang, J.; Zhou, H.; Hu, Y.; Jiang, Q. Performance of a piezoelectric harvester in thickness-stretch mode of a plate. IEEE Trans. Ultrason. Ferroelectr. Freq. Control. 2005, 52, 1872–1876. [Google Scholar] [CrossRef]
- Richards, C.D.; Anderson, M.J.; Bahr, D.F.; Richards, R.F. Efficiency of energy conversion for devices containing a piezoelectric component. J. Micromech. Microeng. 2004, 14, 717–720. [Google Scholar] [CrossRef]
- Andò, B.; Baglio, S.; Latorre, L.; Maiorca, F.; Nouet, P.; Trigona, C. Magnetically coupled cantilevers with antiphase bistable behavior for kinetic energy harvesting. Procedia Eng. 2012, 47, 1065–1068. [Google Scholar] [CrossRef][Green Version]
- Andò, B.; Baglio, S.; Maiorca, F.; Trigona, C. Analysis of two dimensional, wide-band, bistable vibration energy harvester. Sens. Actuators A Phys. 2013, 202, 176–182. [Google Scholar] [CrossRef]
- Zhou, Z.; Qin, W.; Du, W.; Zhu, P.; Liu, Q. Improving energy harvesting from random excitation by nonlinear flexible bi-stable energy harvester with a variable potential energy function. Mech. Syst. Signal Proc. 2019, 115, 162–172. [Google Scholar] [CrossRef]
- Wang, G.; Liao, W.; Yang, B.; Wang, X.; Xu, W.; Li, X. Dynamic and energetic characteristics of a bistable piezoelectric vibration energy harvester with an elastic magnifier. Mech. Syst. Signal Proc. 2018, 105, 427–446. [Google Scholar] [CrossRef]
- Wolszczak, P.; Lygas, K.; Litak, G. Dynamics identification of a piezoelectric vibrational energy harvester by image analysis with a high speed camera. Mech. Syst. Signal Proc. 2018, 107, 43–52. [Google Scholar] [CrossRef]
- Wang, W.; Cao, J.; Bowen, C.R.; Zhang, Y.; Lin, J. Nonlinear dynamics and performance enhancement of asymmetric potential bistable energy harvesters. Nonlinear Dyn. 2018, 94, 1183–1194. [Google Scholar] [CrossRef]
- Gao, Y.; Leng, Y.; Javey, A.; Tan, D.; Liu, J.; Fan, S. Theoretical and applied research on bistable dual-piezoelectric-cantilever vibration energy harvesting toward realistic ambience. Smart Mater. Struct. 2016, 25, 115032. [Google Scholar] [CrossRef]
- Daqaq, M.F.; Stabler, C.; Qaroush, Y.; Seuaciuc-Osorio, T. Investigation of power harvesting via parametric excitations. J. Intell. Mater. Syst. Struct. 2009, 20, 545–557. [Google Scholar] [CrossRef]
- Lai, S.; Wang, C.; Zhang, L. A nonlinear multi-stable piezomagnetoelastic harvester array for low-intensity, low-frequency, and broadband vibrations. Mech. Syst. Signal Process. 2019, 122, 87–102. [Google Scholar] [CrossRef]
- Karami, M.A.; Farmer, J.R.; Inman, D.J. Parametrically excited nonlinear piezoelectric compact wind turbine. Renew. Energy. 2013, 50, 977–987. [Google Scholar] [CrossRef]
- Zhou, S.; Zuo, L. Nonlinear dynamic analysis of asymmetric tristable energy harvesters for enhanced energy harvesting. Commun. Nonlinear Sci. Numer. Simul. 2018, 61, 271–284. [Google Scholar] [CrossRef]























| Description | Parameter | Value |
|---|---|---|
| Cantilever beam A | L × b × tb | 80 × 12 × 0.25 mm3 |
| Cantilever beam B | L × b × tb | 70 × 12 × 0.25 mm3 |
| Cantilever beam C | L × b × tb | 80 × 12 × 0.25 mm3 |
| Young’s Modulus | Eb | 210 Gpa |
| Density | ρb | 7765 kg/m3 |
| Description | Parameter | Value |
|---|---|---|
| Volume of piezoelectric sheet | Lp × bp × tp | 25 × 12 × 0.13 mm3 |
| Young’s Modulus | Ep | 210 Gpa |
| Density | ρp | 7800 kg/m3 |
| Coupling coefficient | d31 | −280 × 1012 C/N |
| Free space dielectric constant | ε0 | 8.854 × 1012 F/m |
| Dielectric constant | ε33 | 4000ε0 |
Disclaimer/Publisher’s Note: The statements, opinions and data contained in all publications are solely those of the individual author(s) and contributor(s) and not of MDPI and/or the editor(s). MDPI and/or the editor(s) disclaim responsibility for any injury to people or property resulting from any ideas, methods, instructions or products referred to in the content. |
© 2025 by the authors. Licensee MDPI, Basel, Switzerland. This article is an open access article distributed under the terms and conditions of the Creative Commons Attribution (CC BY) license (https://creativecommons.org/licenses/by/4.0/).
Share and Cite
Song, Y.; Nan, H.; Zhou, R.; Xu, F.; Sun, F. Theoretical Analysis and Experimental Verification of 2-DOF Linkage Piezoelectric Energy Harvesting. Actuators 2025, 14, 82. https://doi.org/10.3390/act14020082
Song Y, Nan H, Zhou R, Xu F, Sun F. Theoretical Analysis and Experimental Verification of 2-DOF Linkage Piezoelectric Energy Harvesting. Actuators. 2025; 14(2):82. https://doi.org/10.3390/act14020082
Chicago/Turabian StyleSong, Yuanyuan, Huawen Nan, Ran Zhou, Fangchao Xu, and Feng Sun. 2025. "Theoretical Analysis and Experimental Verification of 2-DOF Linkage Piezoelectric Energy Harvesting" Actuators 14, no. 2: 82. https://doi.org/10.3390/act14020082
APA StyleSong, Y., Nan, H., Zhou, R., Xu, F., & Sun, F. (2025). Theoretical Analysis and Experimental Verification of 2-DOF Linkage Piezoelectric Energy Harvesting. Actuators, 14(2), 82. https://doi.org/10.3390/act14020082

