Next Article in Journal
Safety-Critical End-Effector Formation Control for Planar Underactuated Manipulators
Next Article in Special Issue
Discriminating Vibrotactile Signals: The Relative Roles of Amplitude and Frequency
Previous Article in Journal
A Perturbation-Based Self-Training Method to Enhance Belief Rule Base Learning for Fault Diagnosis
 
 
Font Type:
Arial Georgia Verdana
Font Size:
Aa Aa Aa
Line Spacing:
Column Width:
Background:
Article

Filtering and Fractional Calculus in Parameter Estimation of Noisy Dynamical Systems

by
Alexis Castelan-Perez
1,
Francisco Beltran-Carbajal
2,*,
Ivan Rivas-Cambero
1,
Clementina Rueda-German
1 and
David Marcos-Andrade
1
1
Departamento de Investigación y Posgrado, Universidad Politécnica de Tulancingo, Tulancingo de Bravo 43629, Hidalgo, Mexico
2
Departamento de Energía, Unidad Azcapotzalco, Universidad Autónoma Metropolitana, Azcapotzalco, Mexico City 02128, Mexico
*
Author to whom correspondence should be addressed.
Actuators 2025, 14(10), 474; https://doi.org/10.3390/act14100474
Submission received: 31 July 2025 / Revised: 23 September 2025 / Accepted: 24 September 2025 / Published: 27 September 2025

Abstract

The accurate estimation of parameters in dynamical systems stands for an open key research issue in modeling, control, and fault diagnosis. The presence of noise in input and output signals poses a serious challenge for accurate real-time dynamical system parameter estimation. This paper proposes a new robust algebraic parameter estimation methodology for integer-order dynamical systems that explicitly incorporates the signal filtering dynamics within the estimator structure and enhances noise attenuation through fractional differentiation in frequency domain. The introduced estimation methodology is valid for Liouville-type fractional derivatives and can be applied to estimate online the parameters of differentially flat, oscillating or vibrating systems of multiple degrees of freedom. The parametric estimation can be thus implemented for a wide class of oscillating or vibrating, nth-order dynamical systems under noise influence in measurement and control signals. Positive values are considered for the inertia, stiffness, and viscous damping parameters of vibrating systems. Parameter identification can be also used for development of actuators and control technology. In this sense, validation of the algebraic parameter estimation is performed to identify parameters of a differentially flat, permanent-magnet direct-current motor actuator. Parameter estimation for both open-loop and closed-loop control scenarios using experimental data is examined. Experimental results demonstrate that the new parameter estimation methodology combining signal filtering dynamics and fractional calculus outperforms other conventional methods under presence of significant noise in measurements.

1. Introduction

The derivation of accurate mathematical models for physical systems, even when grounded in fundamental laws or principles, poses significant challenges due to the presence of unknown disturbances and parameter variations. A viable approach to addressing this issue involves parameter estimation techniques, which can be deployed in both online and offline settings, and are applicable to both linear and nonlinear systems. These methodologies enable precise approximation of system parameters, provided that information regarding the control input and the corresponding output variable is available [1]. Extensive research has been conducted on parameter estimation across a diverse range of dynamical systems, employing tailored techniques designed to meet the specific characteristics and requirements of each system. For instance, Bhowmick and Manna [2] propose robust methodologies for estimating the parameters of electrical machines, such as induction motors and transformers, leveraging load data and optimization algorithms, including particle swarm optimization. In the context of photovoltaic modules, Silva et al. [3] utilized advanced mathematical models to identify electrical parameters, achieving minimal discrepancies between the P-V curves generated by the model and those provided by manufacturers. Moreover, low-complexity approaches have been developed for parameter estimation in Randles equivalent circuits. For example, the contributions of Simić et al. [4,5] introduce methods relying on embedded hardware, which eliminate the dependency on specialized software platforms while offering high portability and energy efficiency. Similarly, parameter estimation techniques for supercapacitors have been formulated using equivalent circuit models incorporating an internal resistance and a constant phase element, based on their voltage step excitation response [6,7]. Fault detection represents another critical application of parameter estimation. Tadeusiewicz and Korzybski [8] propose a methodology for fault localization and parameter identification in linear circuits. These examples underscore the extensive variety of systems and estimation techniques documented in the literature, highlighting the significance and versatility of this field in engineering. In conclusion, parameter estimation is a research domain of considerable technical interest, with broad applicability across multiple technological and industrial sectors.
A critical factor in parameter estimation is the presence of noise in sampled signals. In some cases, this noise significantly affects estimation accuracy, making it necessary to develop robust techniques. Traditional methods like least squares may become ineffective when the noise does not follow a Gaussian distribution [9]. To address this issue, various approaches combining statistical and stochastic methods have been proposed. For instance, Chen and Majda [10] developed an efficient algorithm based on conditional Gaussian structures for parameter estimation in high-dimensional nonlinear turbulent systems, achieving improved accuracy and reduced computational cost through the incorporation of Monte Carlo techniques and block decomposition. Similarly, Balasingam and Pattipati [11] explored the identification of equivalent electrical circuit models under noisy measurements. This work emphasizes the use of total least squares methods and Kalman filters to address bias and efficiency challenges in low signal-to-noise ratio scenarios, providing a practical and robust solution for systems with imprecise measurements. In the estimation of electrical system parameters, De Albuquerque et al. [12] propose methods for approximating impedance and admittance in transmission lines based on noisy voltage and current measurements. A modification of the recursive least squares technique is presented by Li and Liu [13], which incorporates signal filtering and demonstrates the effectiveness of their approach for parameter estimation across varying noise levels. Turning to servo-hydraulic systems, Stojanovic and Prsic [14] propose a robust parameter and state estimation strategy for state-space models under non-Gaussian noise, utilizing the Masreliez–Martin filter. These studies represent significant advancements in managing complex dynamical systems, offering robust tools to handle noisy signals and improve parameter estimation accuracy—a critical requirement for applications in electrical engineering and nonlinear system dynamics.
The application of fractional calculus in the modeling and control of dynamical systems has seen significant development in recent years, with a wide range of engineering applications. For instance, in the modeling of lithium-ion batteries used in electric vehicles, Zhang et al. [15] propose a novel fractional-order model capable of accurately capturing the relationship between open-circuit voltage and the state of charge of the battery. In the field of system identification, Chen et al. [16] employ a fractional-order model to identify the thermal dynamics of buildings, resulting in an accurate representation that enables the design of a model predictive control scheme focused on energy efficiency. In the area of control, several methodologies incorporating fractional-order dynamics have been developed. One such example is presented by Vanchinathan and Selvaganesan [17], where a fractional-order adaptive PID controller is designed and applied to a brushless DC motor. Similarly, Al-Dhaifallah et al. [18] develop a fractional-order controller based on maximum power point tracking for photovoltaic systems. An interesting and applicable work in the field of dynamic system modeling is presented in [19], where fractional calculus in the Laplace domain and the derivation of transfer functions are addressed. Another valuable reference for further insights into fractional calculus applied to complex planes is [20]. These contributions demonstrate that fractional calculus provides a powerful framework for modeling and controlling complex dynamical systems, and thus opens the door for further exploration of its potential in other areas of engineering.
Algebraic parameter estimation, introduced by Fliess and Sira-Ramírez [21], has emerged as a powerful tool for parameter identification in dynamical systems. Among its key advantages are its independence from the system’s initial conditions and the absence of a need for signal differentiation, making it particularly robust and versatile. This technique has proven effective across a wide range of engineering applications. In the field of electric motors, numerous studies have employed this methodology. For example, Beltran-Carbajal et al. [22] propose an approach for parameter and load torque estimation in a shunt direct current motor. Similarly, Marcos-Andrade et al. [23] focused on parameter and load torque estimation in a brushless direct current motor, comparing their results with the recursive least squares method. Additionally, Delpoux et al. [24] explore algebraic parameter estimation in permanent magnet synchronous motors, including practical implementation with satisfactory results. In mechanical systems, the technique has also demonstrated utility. It has been applied to parameter identification in mass-spring-damper models and the determination of harmonic excitation frequencies in building structures, as reported in [25,26]. Moreover, parameter estimation of sinusoidal signals with noise, including amplitude, frequency, and phase, has been successfully addressed by Trapero et al. (see works [27,28]). This technique has also been employed in control systems, such as coupled tanks. Huang and Du [29] combined algebraic estimation with the differential flatness property for water level control. Similarly, Pereira das Neves et al. [30] applied this methodology to a double inverted pendulum with reaction wheels and a two-degrees-of-freedom helicopter, integrating model-free control. These studies illustrate the versatility and efficacy of algebraic estimation in the analysis, modeling, and control of dynamical systems, establishing it as a valuable tool for its reliability and adaptability to diverse contexts.
This paper introduces a novel algebraic parameter estimation method for integer-order systems, explicitly embedding signal filtering dynamics into the estimator design. In addition, fractional differentiation is applied in the frequency domain to attenuate the effects of noise in the signals and improve estimation accuracy. A comparative analysis is conducted between the proposed methodology and three algebraic estimation variants: the conventional approach, the version that includes only signal filtering, and the one that applies only fractional differentiation. The main objective is to evaluate the performance of each technique and determine which offers the highest accuracy under noisy conditions. As an initial case study, the methodologies are applied to an RL circuit with known parameters, allowing their effectiveness to be validated in a controlled setting. Subsequently, the parameter estimation is extended to a permanent-magnet direct-current motor (PMDC) actuator, where all system parameters are unknown. The results show that the methodology combining dynamical filtering and fractional calculus delivers the best performance when applied to systems with noisy signals.
The article is organized as follows: Section 2 introduces the development of the algebraic parameter estimation methodology for a general n-th order system, incorporating differentiation with respect to the complex variable s of arbitrary order, whether integer or fractional. Subsequently, the derivation of the estimators for the first-order system is presented in Section 2.1, and for the second-order system in Section 2.2. The parameter estimation results for both case studies are then discussed in Section 3, considering the systems under study: the RL circuit as the first-order system and the PMDC motor as the second-order system. Finally, Section 4 discusses the outcomes of both case studies, highlighting areas for improvement and directions future work.

2. Algebraic Parameter Estimation

The algebraic parameter estimation methodology can be formulated using two main approaches. The first is based on time-domain analysis, where the original differential equation is multiplied by a suitably chosen time-dependent function, and successive applications of integration by parts are used to eliminate explicit time derivatives. The second approach, adopted in this work, is formulated in the frequency domain. It leverages the Laplace transform and algebraic manipulations in the complex s-domain to suppress the effects of initial conditions and eliminate time derivatives from the estimation process.
Differential flatness is a structural property of a wide class of control devices and linear and nonlinear, dynamical systems [31,32]. Differentially flat dynamical systems can be represented by a input–output mathematical model or relationship. All system variables can be algebraically expressed by formulae in terms of the so-called flat output variables and their time derivatives. Variables of dynamical systems are completely observable or reconstructible from information of output variables. In fact, differential flatness is a structural property of controllable realistic dynamical engineering systems [32]. Controllable vibrating or oscillating systems exhibits this structural property. In this sense, active vehicle suspension systems display this structural property [33]. Several control devices based on active, semi-active and passive dynamical vibration absorbers or tuned mass dampers possess the differential flatness property [34]. This class of structural control devices can be used to attenuate undesirable vibrations or oscillations in floating offshore wind turbines [35,36]. Vibration absorbers can be also utilized for attenuation of severe pathological tremors in persons with Parkinson’s disease [37,38]. The present contributions deals with the accurate parameter estimation issue of dynamical systems characterized by the differential flatness property, in which the presence of considerable noise in measurements is exhibited. Parameter estimation can be performed online or offline for analysis, modeling, control, and fault diagnosis. The new proposed estimation approach is based on fractional calculus and signal filtering dynamics. Robustness of the online or offline, parametric estimation to attenuate severe noises disturbing the input and output signals is substantially improved in this fashion.
This section presents a generalization of the development of algebraic parameter estimators in the frequency domain, which can be applied both to the proposed methodology and to the algebraic method variants used for comparison. The generalization is first applied to the design of estimators for a first-order system, which is later used for parameter estimation of an RL circuit. Subsequently, it is extended to a second-order system for the estimation of parameters in a PMDC. Figure 1 illustrates a general framework of the proposed estimation scheme under noisy conditions, specifically for the variants of the algebraic method that incorporate signal filtering. The process begins with the control input u, which may be generated by a closed-loop controller and actuator to ensure sufficient excitation of the system dynamics. The system then produces an output signal y. From this point on, all processing is performed in software. Initially, both signals are filtered to attenuate high-frequency noise. These filtered signals are then used in an algebraic estimation scheme that explicitly accounts for the dynamics of the filtering process. The final output is a set of estimated system parameters, which can be used for control design, performance monitoring, or fault detection.
In the frequency-domain formulation of the algebraic parameter estimation method, a sequence of steps must be followed to construct the estimator. To begin, consider a differentially-flat, continuous time, linear vibrating system of orden n, with n Z and n 1 , described by the following differential equation:
θ n d n d t n y + θ n 1 d n 1 d t n 1 y + + θ 1 d d t y + θ 0 y = σ l d l d t l u + σ l 1 d l 1 d t l 1 u + + σ 1 d d t u + σ 0 u ,
where θ i > 0 , for i = 0 , 1 , , n , and σ j > 0 , for j = 0 , 1 , , l with n l , are system parameters, and u, y represent the measurable input and output signals, respectively. Applying the Laplace transform to both sides of (1), yields
θ n s n Y ( s ) + θ n 1 s n 1 Y ( s ) + + θ 0 Y ( s ) = σ l s l U ( s ) + σ l 1 s l 1 U ( s ) + + σ 0 U ( s ) + ξ ( s ) ,
which can be rewritten as
i = 0 n θ i s i Y ( s ) = j = 0 l σ l s l U ( s ) + ξ ( s ) ,
with
ξ ( s ) = a 0 + a 1 s + a 2 s 2 + + a n 2 s n 2 + a n 1 s n 1 ,
where a 0 , a 1 , , a n 2 , a n 1 are unknown constants that depend on the initial conditions of the differentially flat system, Y ( s ) and U ( s ) denote the Laplace transforms of the output and input signals, respectively.
The elimination of the polynomial ξ ( s ) can be achieved by differentiating it with respect to s an integer order of at least n, that is
d n + d d s n + d ξ ( s ) = 0 , d = 0 , 1 , 2 ,
Next, if a fractional derivative of order β , with 0 β < 1 , is applied to the result obtained after differentiating ξ ( s ) n + d times, one obtains
d β d s β d n + d d s n + d ξ ( s ) = 0 ,
which follows from the unrestricted complex-order property for zero, as discussed in [39]. Defining α = n + d + β as the total order of differentiation up to this point, the Leibniz rule for fractional differentiation of the product of two functions can be applied to the terms depending on Y ( s ) and U ( s ) [40,41]:
d α d s α χ ( s ) Ω ( s ) = k = 0 α k d α k d s α k χ ( s ) · d k d s k Ω ( s ) ,
with
α k : = Γ ( α + 1 ) Γ ( k + 1 ) Γ ( α k + 1 ) .
By applying this formula to (2), we obtain
i = 0 n θ n i k = 0 n i α k ( n i ) ! ( n i k ) ! s n i k d α k d s α k Y ( s ) = j = 0 l σ l j k = 0 l j α k ( l j ) ! ( l j k ) ! s l j k d α k d s α k U ( s ) .
In order to avoid the appearance of time derivatives when applying the inverse Laplace transform, Equation (4) is multiplied by s n , yielding
i = 0 n θ n i k = 0 n i α k ( n i ) ! ( n i k ) ! s ( i + k ) d α k d s α k Y ( s ) = j = 0 l σ l j k = 0 l j α k ( l j ) ! ( l j k ) ! s n + l j k d α k d s α k U ( s ) .
Applying the inverse Laplace transform to (5), the frequency-domain expression is mapped back into the time domain in terms of iterated integrals
i = 0 n θ n i k = 0 n i α k ( 1 ) α k ( n i ) ! ( n i k ) ! t 0 ( i + k ) t α k y d t ( i + k ) = j = 0 l σ l j k = 0 l j α k ( 1 ) α k ( l j ) ! ( l j k ) ! t 0 ( n + j + k l ) t α k u d t ( n + j + k l ) .
taking into account that
L 1 d α k d s α k F ( s ) = ( 1 ) α k t α k f ,
and
L 1 s ( i + k ) F ( s ) = t 0 ( i + k ) f d t ( i + k ) ,
where t 0 ( r ) ϕ denotes the r-fold iterated integral of a function ϕ ( t ) , with initial estimation time t 0 = 0 , defined recursively as
t 0 ( r ) ϕ ( t ) d t ( r ) : = t 0 t t 0 σ 1 t 0 σ r 1 ϕ ( σ r ) d σ r d σ 1 , r N .
The expression in Equation (7) is obtained by applying a fractional-order derivative to the definition of the Laplace transform, considering the arbitrary-order derivative of e s t , as presented in [41] and further discussed in [42]. On the other hand, the term ( 1 ) α k is a complex value. Including complex numbers in the development of the estimator does not pose a problem; however, to simplify the formulation, it is proposed to multiply Equation (7) by ( 1 ) α , which yields
( 1 ) α ( 1 ) α k t α k f = ( 1 ) k t α k f .
Using this result, a general algebraic estimation equation for the system parameters can be constructed in the time domain as
i = 0 n θ n i k = 0 n i α k ( 1 ) k ( n i ) ! ( n i k ) ! t 0 ( i + k ) t α k y d t ( i + k ) = j = 0 l σ l j k = 0 l j α k ( 1 ) k ( l j ) ! ( l j k ) ! t 0 ( n + j + k l ) t α k u d t ( n + j + k l ) .
The next step involves constructing a system of linear equations based on Equation (10), with the goal of estimating the system parameters. It is important to note that, to ensure model identifiability, at least one parameter must be known—either because it can be directly measured or has been normalized to a known value, such as one. A common strategy to address this issue is to apply successive integrations to Equation (10) until the number of resulting equations matches the number of unknown parameters. In this work, parameter estimation is formulated as an optimization problem, where the objective is to minimize the following cost function:
J ( η ) = 1 2 t 0 e 2 d t ,
where e is the estimation error, defined as
e = i = 0 n θ n i k = 0 n i α k ( 1 ) k ( n i ) ! ( n i k ) ! t 0 ( i + k ) t α k y d t ( i + k ) j = 0 l σ l j k = 0 l j α k ( 1 ) k ( l j ) ! ( l j k ) ! t 0 ( n + j + k l ) t α k u d t ( i + k ) ,
and where η is a subset of the concatenation of the vectors θ and σ , that is, η [ θ σ ] , containing exclusively the unknown parameters of the system.
The next step involves computing the partial derivatives of the cost function defined in Equation (11) with respect to the unknown parameters η , yielding
J ( η ) = J ( η ) η 1 J ( η ) η 2 J ( η ) η w 1 J ( η ) η w ,
where w denotes the number of unknown parameters in the vector η . This procedure yields the required number of equations for parameter estimation. To minimize the cost function, the gradient is set to zero:
J ( η ) = 0 ,
and, after applying standard algebraic manipulations, the following linear system is obtained:
A η = b ,
where A R w × w is the matrix containing the terms multiplied by an unknown parameter, while b R w × 1 is the vector that contains the terms not multiplied by any of the unknown parameters. The unknown parameters are then estimated by solving Equation (13).

2.1. First Order System

The first estimation case considered corresponds to a first-order system, described by the following differential equation:
d d t y 1 + λ y 1 = γ u 1 ,
where y 1 and u 1 denote the system output and control input, respectively, while γ and λ are the unknown parameters to be estimated, i.e., η = [ γ λ ] . Based on Equation (14), the algebraic parameter estimation methodology described in Equation (10) can be applied using arbitrary derivative orders without incorporating any filtering. If filtering is to be included, the associated filter dynamics must be integrated into the estimator’s formulation.
In this case, both the input and output signals are filtered using integral filtering or smoothing, represented in the Laplace domain as follows:
Y f , 1 ( s ) = 1 s Y 1 ( s ) , U f , 1 ( s ) = 1 s U 1 ( s ) ,
which correspond in the time domain to
d d t y f , 1 = y 1 , d d t u f , 1 = u 1 ,
where y f , 1 and u f , 1 represent the filtered system output and control input, respectively. Considering the original system dynamics in Equation (14) together with the filter dynamics in Equation (15), an extended state-space representation of the system is obtained:
z ˙ 1 = γ u 1 λ z 1 , z ˙ 2 = z 1 , z ˙ 3 = u 1 ,
with z = y 1 y f , 1 u f , 1 . From this, the system dynamics in terms of the filtered signals can be expressed by the following differential equation:
d 2 d t 2 y f , 1 + λ d d t y f , 1 = γ d d t u f , 1 .
This equation serves as the reference model for parameter estimation when filter dynamics are incorporated.
Applying Equation (10) for the algebraic parameter estimation, whether using the conventional approach, fractional calculus, filtering, or a combination of these, the resulting model structure takes the following form:
γ a 11 , x + λ a 12 , x = b 1 , x ,
where a 11 , x , a 12 , x , and b 1 , x are time-varying terms typically involving integrals derived from the algebraic estimation framework. The subscript x indicates the particular methodology used, as follows:
  • c: Conventional parameter estimator.
  • f i : Parameter estimator with filters.
  • f r : Parameter estimator with fractional calculus.
  • f f : Parameter estimator with filters and fractional calculus.
To proceed with parameter estimation, a system of linear equations must be constructed. Using the cost function from Equation (11), the estimation error associated with Equation (17) is defined as:
e x = b 1 , x γ a 11 , x λ a 12 , x .
The next step is to compute the gradient as given in Equation (12):
J ( η ) = γ t 0 a 11 , x 2 d t + λ t 0 a 11 , x a 12 , x d t t 0 a 11 , x b 1 , x d t γ t 0 a 11 , x a 12 , x d t + λ t 0 a 12 , x 2 d t t 0 a 12 , x b 1 , x d t .
Setting the gradient to zero, J ( η ) = 0 , and applying algebraic manipulations leads to the following linear system:
A x η = b x ,
where
A x = t 0 a 11 , x 2 d t t 0 a 11 , x a 12 , x d t t 0 a 11 , x a 12 , x d t t 0 a 12 , x 2 d t , b x = t 0 a 11 , x b 1 , x d t t 0 a 12 , x b 1 , x d t .
Solving the linear system in Equation (18) yields the following expressions, which provide estimates for the system parameters:
γ ^ x = t 0 e μ 1 t Λ 1 , x d t t 0 e μ 1 t Λ x d t , λ ^ x = t 0 e μ 1 t Λ 2 , x d t t 0 e μ 1 t Λ x d t ,
where Λ x = det ( A x ) , μ 1 is a positive constant, the use of absolute values inside the integrals ensures numerical robustness when Λ x 0 .
Given the preceding development, it suffices to derive the corresponding expression of Equation (17) for each estimation methodology. Once these representations are established, the parameter estimation formulas can be directly obtained by applying the procedure outlined in Equation (19). The following sections detail the derivation of each case, along with the specific expressions and terms involved in the parameterization for each methodology.

2.1.1. Conventional Parameter Estimator

For this methodology, Equation (10) is applied using the first-order system model defined by Equation (14) as the starting point. The selected parameters are n = 1 , corresponding to the highest derivative order of the system output; l = 0 , indicating that the control input does not involve derivatives; d = 0 and β = 0 , since no fractional derivatives are employed in the s-domain in this case. Under these conditions, we obtain α = n + d + β = 1 , which defines the differentiation order in the Laplace domain. The resulting expression is
t y 1 t 0 y d t = γ t 0 t u 1 d t λ t 0 t y 1 d t .
Equation (20) can be reformulated in the standard algebraic structure:
γ a 11 , c + λ a 12 , c = b 1 , c ,
where the components are defined as
a 11 , c = t 0 t u 1 d t , a 12 , c = t 0 t y 1 d t , b 1 , c = t y 1 t 0 y 1 d t .
By substituting Equation (21) into the general form given in Equation (17), the estimation formulas required to compute the system parameters can be obtained.

2.1.2. Parameter Estimator with Filters

Continuing with the development, the next case corresponds to the estimator that incorporates the dynamics of the filtering stage. This approach is based on the extended model presented in Equation (16) and requires access to the filtered signals of both the system output and the control input. For this scenario, the parameters selected for use in Equation (10) are n = 2 , l = 1 , d = 0 , and β = 0 (since fractional derivatives are not considered in this case). With these conditions, we obtain α = n + d + β = 2 . Under these conditions, the resulting expression is
t 2 y f , 1 4 t 0 t y f , 1 d t + 2 t 0 ( 2 ) y f , 1 d t ( 2 ) = γ t 0 t 2 u 1 , f d t 2 t 0 ( 2 ) t u f , 1 d t ( 2 ) + λ t 0 t 2 y f , 1 d t + 2 t 0 ( 2 ) t y f , 1 d t ( 2 ) .
This expression can be cast into the standard algebraic estimation structure as
γ a 11 , f i + λ a 12 , f i = b 1 , f i ,
with the corresponding components defined by
a 11 , f i = t 0 t 2 u 1 , f d t 2 t 0 ( 2 ) t u f , 1 d t ( 2 ) , a 12 , f i = t 0 t 2 y f , 1 d t + 2 t 0 ( 2 ) t y f , 1 d t ( 2 ) , b 1 , f i = t 2 y f , 1 4 t 0 t y f , 1 d t + 2 t 0 ( 2 ) y f , 1 d t ( 2 ) .
As in the previous case, Equation (22) can be directly mapped into the general structure of Equation (17), allowing the corresponding parameter estimation formulas to be derived.

2.1.3. Parameter Estimator with Fractional Calculus

The development of this estimator is based on the dynamic model given by Equation (14), from which it follows that n = 1 and l = 0 . To begin the procedure, Equation (14) is expressed in operational calculus notation:
s Y 1 ( s ) y 1 ( 0 ) + λ Y 1 ( s ) = γ U 1 ( s ) .
Next, the equation is differentiated n times with respect to s in order to eliminate the initial condition:
s d d s Y 1 ( s ) + Y 1 ( s ) + λ d d s Y 1 ( s ) = γ d d s U 1 ( s ) .
Since fractional derivatives are considered in this case, it is necessary to define a differentiation order. A value within the range 0 < β < 1 is selected; specifically, β = 2 5 . Considering that d = 0 , we obtain:
α = n + d + β = 7 5 .
Applying a fractional derivative of order β to the expression in (24) yields:
s d 7 5 d s 7 5 Y 1 ( s ) + 7 5 d 2 5 d s 2 5 Y 1 ( s ) + λ d 7 5 d s 7 5 Y 1 ( s ) = γ d 7 5 d s 7 5 U 1 ( s ) .
The next step is to multiply the equation by s 1 in order to avoid derivatives in the time domain:
d 7 5 d s 7 5 Y 1 ( s ) + 7 5 s 1 d 2 5 d s 2 5 Y 1 ( s ) + λ s 1 d 7 5 d s 7 5 Y 1 ( s ) = γ s 1 d 7 5 d s 7 5 U 1 ( s ) .
Finally, returning to the time domain leads to the following expression:
t 7 5 y 1 7 5 t 0 t 2 5 y 1 d t = γ t 0 t 7 5 u 1 d t λ t 0 t 7 5 y 1 d t ,
which can be rearranged in the standard algebraic form:
γ a 11 , f r + λ a 12 , f r = b 1 , f r ,
where the signal-dependent coefficients are defined as
a 11 , f r = t 0 t 7 5 u 1 d t , a 12 , f r = t 0 t 7 5 y 1 d t , b 1 , f r = t 7 5 y 1 7 5 t 0 t 2 5 y 1 d t .
It is worth noting that the same result can be obtained by applying Equation (10), considering the values of n, l, and α described in this case.

2.1.4. Parameter Estimator with Filters and Fractional Calculus

In this case, where the dynamics of the filters and fractional calculus are integrated, the starting point is the extended model presented in Equation (16). From the dynamic model, it is possible to identify n = 2 and l = 1 . As in the previous case, it is first necessary to express Equation (16) in operational calculus notation:
s 2 Y f , 1 ( s ) y ˙ f , 2 ( 0 ) s y f , 1 ( 0 ) + λ s Y f , 1 ( s ) y f , 1 ( 0 ) = γ s U f , 1 ( s ) u f , 1 ( 0 ) .
The initial conditions are eliminated by differentiating Equation (28) with respect to s twice:
s 2 d 2 d s 2 Y f , 1 s + 4 s d d s Y f , 1 s + 2 Y f , 1 s + λ s d 2 d s 2 Y f , 1 s + 2 d d s Y f , 1 s = γ s d 2 d s 2 U f , 1 s + 2 d d s U f , 1 s .
The next step is to select a fractional differentiation order; in this case, β = 2 5 was chosen. Accordingly, it can be established that α = 12 5 . Applying the fractional derivative yields:
s 2 d 12 5 d s 12 5 Y f , 1 ( s ) + 24 5 s d 7 5 d s 7 5 Y f , 1 ( s ) + 84 25 d 2 5 d s 2 5 Y f , 1 ( s ) + λ s d 12 5 d s 12 5 Y f , 1 ( s ) + 12 5 d 7 5 d s 7 5 Y f , 1 ( s ) = γ s d 12 5 d s 12 5 U f , 1 ( s ) + 12 5 d 7 5 d s 7 5 U f , 1 ( s ) .
Next, the equation is multiplied by s 2 :
d 12 5 d s 12 5 Y f , 1 ( s ) + 24 5 s 1 d 7 5 d s 7 5 Y f , 1 ( s ) + 84 25 s 2 d 2 5 d s 2 5 Y f , 1 ( s ) + λ s 1 d 12 5 d s 12 5 Y f , 1 ( s ) + 12 5 s 2 d 7 5 d s 7 5 Y f , 1 ( s ) = γ s 1 d 12 5 d s 12 5 U f , 1 ( s ) + 12 5 s 2 d 7 5 d s 7 5 U f , 1 ( s ) .
The final step is to return Equation (31) to the time domain:
84 25 t 0 ( 2 ) t 2 5 y f , 1 d t ( 2 ) 24 5 t 0 t 7 5 y f , 1 d t + t 12 5 y f , 1 = γ 12 5 t 0 ( 2 ) t 7 5 u f , 1 d t ( 2 ) + t 0 t 12 5 u f , 1 d t + λ 12 5 t 0 ( 2 ) t 7 5 y f , 1 d t ( 2 ) t 0 t 12 5 y f , 1 d t ,
which can be reformulated in the standard linear form:
γ a 11 , f f + λ a 12 , f f = b 1 , f f ,
where the terms are defined as follows:
a 11 , f f = 12 5 t 0 ( 2 ) t 7 5 u f , 1 d t ( 2 ) + t 0 t 12 5 u f , 1 d t , a 12 , f f = 12 5 t 0 ( 2 ) t 7 5 y f , 1 d t ( 2 ) t 0 t 12 5 y f , 1 d t , b 1 , f f = 84 25 t 0 ( 2 ) t 2 5 y f , 1 d t ( 2 ) 24 5 t 0 t 7 5 y f , 1 d t + t 12 5 y f , 1 .
As in the previous case, the same result can be obtained by evaluating Equation (10) with the values n = 2 , l = 1 , and α = 12 5 .

2.2. Second Order System

The second case study addresses a second-order differentially flat linear system, whose dynamics is represented by the following differential equation:
d 2 d t 2 y 2 + λ 1 d d t y 2 + λ 0 y 2 = γ u 2 ,
where y 2 and u 2 denote the system output and input, respectively, while γ , λ 1 , and λ 0 are the unknown parameters to be identified; consequently, the parameter vector is η = [ γ λ 1 λ 0 ] .
If the algebraic estimator is applied without any filtering, Equation (34) is used directly as the base model. Conversely, when filtered signals are employed, the estimator must incorporate the corresponding filter dynamics. In this study, first-order low-pass filters are adopted [43], whose Laplace-domain representations are
Y f , 2 ( s ) = ω c s + ω c Y 2 ( s ) , U f , 2 ( s ) = ω c s + ω c U 2 ( s ) ,
which translate into the time-domain relations
d d t y f , 2 + ω c y f , 2 = ω c y 2 ,
d d t u f , 2 + ω c u f , 2 = ω c u 2 ,
where y f , 2 and u f , 2 are the filtered output and input, and ω c is the cut-off frequency of the filter.
Combining Equations (34)–(36) yields the augmented state-space model:
z ˙ 1 = z 2 , z ˙ 2 = γ u 2 λ 1 z 2 λ 0 z 1 , z ˙ 3 = ω c z 1 ω c z 3 , z ˙ 4 = ω c u 2 ω c z 4 ,
with the state vector z = y 2 , y ˙ 2 , y f , 2 , u f , 2 . From this model one obtains, in terms of filtered signals,
d 3 d t 3 y f , 2 + ω c d 2 d t 2 y f , 2 = γ d d t u f , 2 + ω c u f , 2 λ 1 d 2 d t 2 y f , 2 + ω c d d t y f , 2 λ 0 d d t y f , 2 + ω c y f , 2 .
As in the previous case study, four estimation strategies are investigated. For the conventional and fractional estimators, the base model is Equation (34); for the filter-based approaches, Equation (37) is used. Applying Equation (10) under any of these strategies yields an algebraic relation of the following form:
γ a 11 , x + λ 1 a 12 , x + λ 0 a 13 , x = b 1 , x ,
where a 11 , x , a 12 , x , a 13 , x , and b 1 , x are time-varying quantities defined by the particular estimation methodology (index x).
To construct the linear estimation system, the cost function in Equation (11) is adopted, with the estimation error defined from Equation (38) as
e x = b 1 , x γ a 11 , x λ 1 a 12 , x λ 0 a 13 , x .
The corresponding gradient, according to Equation (12), is
J ( η ) = γ t 0 a 11 , x 2 d t + λ 1 t 0 a 11 , x a 12 , x d t + λ 0 t 0 a 11 , x a 13 , x d t t 0 a 11 , x b 1 , x d t γ t 0 a 11 , x a 12 , x d t + λ 1 t 0 a 12 , x 2 d t + λ 0 t 0 a 12 , x a 13 , x d t t 0 a 12 , x b 1 , x d t γ t 0 a 11 , x a 13 , x d t + λ 1 t 0 a 12 , x a 13 , x d t + λ 0 t 0 a 13 , x 2 d t t 0 a 13 , x b 1 , x d t .
Equating the gradient to zero, J ( η ) = 0 , and carrying out the algebraic manipulations leads to the linear system:
A x η = b x ,
where
A x = t 0 a 11 , x 2 d t t 0 a 11 , x a 12 , x d t t 0 a 11 , x a 13 , x d t t 0 a 11 , x a 12 , x d t t 0 a 12 , x 2 d t t 0 a 12 , x a 13 , x d t t 0 a 11 , x a 13 , x d t t 0 a 12 , x a 13 , x d t t 0 a 13 , x 2 d t , b x = t 0 a 11 , x b 1 , x d t t 0 a 12 , x b 1 , x d t t 0 a 13 , x b 1 , x d t .
Solving Equation (39) yields closed-form expressions for the estimated parameters:
γ ^ x = t 0 e μ 2 t Λ 1 , x d t t 0 e μ 2 t Λ x d t , λ ^ 1 , x = t 0 e μ 2 t Λ 2 , x d t t 0 e μ 2 t Λ x d t , λ ^ 0 , x = t 0 e μ 2 t Λ 3 , x d t t 0 e μ 2 t Λ x d t ,
where Λ x = det ( A x ) , μ 2 > 0 is a design constant, and the absolute value inside the integrals enhances numerical robustness whenever Λ x 0 .

2.2.1. Conventional Parameter Estimator

In this approach, the second-order model given by Equation (34) is taken as the reference for the algebraic estimation framework defined in Equation (10). For this particular configuration, the selected parameters are n = 2 , d = 0 , β = 0 , l = 0 , and α = 2 . Substituting these values yields the following expression:
2 t 0 ( 2 ) y 2 d t ( 2 ) 4 t 0 t y 2 d t + t 2 y 2 = γ t 0 ( 2 ) t 2 u 2 d t ( 2 ) λ 1 t 0 ( 2 ) t y 2 d t ( 2 ) + t 0 t 2 y 2 d t λ 0 t 0 ( 2 ) t 2 y 2 d t ( 2 ) ,
which can be rearranged into the standard algebraic form:
γ a 11 , c + λ 1 a 12 , c + λ 0 a 13 , c = b 1 , c ,
where
a 11 , c = t 0 ( 2 ) t 2 u 2 d t ( 2 ) , a 12 , c = t 0 ( 2 ) t y 2 d t ( 2 ) t 0 t 2 y 2 d t , a 13 , c = t 0 ( 2 ) t 2 y 2 , b 1 , c = 2 t 0 ( 2 ) y 2 d t ( 2 ) 4 t 0 t y 2 d t + t 2 y 2 .
Given that Equation (41) conforms to the general structure of the linear system presented in Equation (39), the parameter estimates can be directly obtained using the closed-form expressions defined in Equation (40).

2.2.2. Parameter Estimation with Filters

The next methodology considers the inclusion of the dynamics introduced by the filtering stage. In this case, the reference model is the one described in Equation (37). To apply the algebraic estimation framework defined by Equation (10), the selected parameters are n = 3 , d = 0 , β = 0 , l = 1 , and α = 3 . Substituting these values yields the following expression in algebraic form:
γ a 11 , f i + λ 1 a 12 , f i + λ 0 a 13 , f i = b 1 , f i ,
where
a 11 , f i = t 0 ( 2 ) t 3 u f , 2 d t ( 2 ) 3 t 0 ( 3 ) t 2 u f , 2 d t ( 3 ) + ω c t 0 ( 3 ) t 3 u f , 2 d t ( 3 ) , a 12 , f i = t 0 t 3 y f , 2 d t + 6 t 0 ( 2 ) t 2 y f , 2 d t ( 2 ) 6 t 0 ( 3 ) t y f , 2 d t ( 3 ) ω c t 0 ( 2 ) t 3 y f , 2 d t ( 2 ) + 3 ω c t 0 ( 3 ) t 2 y f , 2 d t ( 3 ) , a 13 , f i = t 0 ( 2 ) t 3 y f , 2 d t ( 2 ) + 3 t 0 ( 3 ) t 2 y f , 2 d t ( 3 ) t 0 ( 3 ) t 3 y f , 2 d t ( 3 ) , b 1 , f i = t 3 y f , 2 9 t 0 t 2 y f , 2 d t + 18 t 0 ( 2 ) t y f , 2 d t ( 2 ) 6 t 0 ( 3 ) y f , 2 d t ( 3 ) + ω c t 0 t 3 y f , 2 d t 6 ω c t 0 ( 2 ) t 2 y f , 2 d t ( 2 ) + 6 ω c t 0 ( 3 ) t y f , 2 d t ( 3 ) .

2.2.3. Parameter Estimator with Fractional Calculus

The development of the estimation using fractional calculus begins by considering the model in Equation (34), from which it can be identified that n = 2 and l = 0 . The model in Equation (34) is then expressed in operational calculus notation:
s 2 Y 2 ( s ) y ˙ 2 ( 0 ) s y 2 ( 0 ) + λ 1 s Y 2 ( s ) y 2 ( 0 ) + λ 0 Y 2 ( s ) = γ U 2 ( s ) .
The initial conditions are eliminated by differentiating twice with respect to s:
s 2 d 2 d s 2 Y 2 ( s ) + 4 s d d s Y 2 ( s ) + 2 Y 2 ( s ) + λ 1 s d 2 d s 2 Y 2 ( s ) + 2 d d s Y 2 ( s ) + λ 0 d 2 d s 2 Y 2 ( s ) = γ d 2 d s 2 U 2 ( s ) .
Once the initial conditions are removed, fractional differentiation can be applied. For this case, β = 1 3 is selected. This gives α = n + d + β = 7 3 , and applying a fractional derivative of order β to Equation (44) yields:
s 2 d 7 3 d s 7 3 Y 2 ( s ) + 14 3 s d 4 3 d s 4 3 Y 2 ( s ) + 28 9 d 1 3 d s 1 3 Y 2 ( s ) + λ 1 s d 7 3 d s 7 3 Y 2 ( s ) + 7 3 d 4 3 d s 4 3 Y 2 ( s ) + λ 0 d 7 3 d s 7 3 Y 2 ( s ) = γ d 7 3 d s 7 3 U 2 ( s ) .
The next step is to multiply Equation (45) by s 2 to avoid derivatives with respect to time when returning to the time domain:
d 7 3 d s 7 3 Y 2 ( s ) + 14 3 s 1 d 4 3 d s 4 3 Y 2 ( s ) + 28 9 s 2 d 1 3 d s 1 3 Y 2 ( s ) + λ 1 s 1 d 7 3 d s 7 3 Y 2 ( s ) + 7 3 s 2 d 4 3 d s 4 3 Y 2 ( s ) + λ 0 s 2 d 7 3 d s 7 3 Y 2 ( s ) = γ s 2 d 7 3 d s 7 3 U 2 ( s ) .
Finally, the equation is returned to the time domain:
t 7 3 y 2 14 3 t 0 t 4 3 y 2 d t + 28 9 t 0 ( 2 ) t 1 3 y 2 d t ( 2 ) = γ t 0 ( 2 ) t 7 3 u 2 d t ( 2 ) λ 0 t 0 ( 2 ) t 7 3 y 2 d t ( 2 ) + λ 1 t 0 t 7 3 y 2 d t + 7 3 t 0 ( 2 ) t 4 3 y 2 d t ( 2 ) ,
which can be reformulated in the standard linear form:
γ a 11 , f r + λ 1 a 12 , f r + λ 0 a 13 , f r = b 1 , f r ,
where
a 11 , f r = t 0 ( 2 ) t 7 3 u 2 d t ( 2 ) , a 12 , f r = t 0 t 7 3 y 2 d t + 7 3 t 0 ( 2 ) t 4 3 y 2 d t ( 2 ) , a 13 , f r = t 0 ( 2 ) t 7 3 y 2 d t ( 2 ) , b 1 , f r = t 7 3 y 2 14 3 t 0 t 4 3 y 2 d t + 28 9 t 0 ( 2 ) t 1 3 y 2 d t ( 2 ) .

2.2.4. Parameter Estimator with Filters and Fractional Calculus

In the case where the model including the filter dynamics is considered, the starting point is the model presented in (37). From this model, it can be identified that n = 3 and l = 1 . Once established, Equation (37) expressed in operational calculus notation:
s 3 Y f , 2 ( s ) y ¨ f , 2 ( 0 ) s y ˙ f , 2 ( 0 ) s 2 y f , 2 ( 0 ) + ω c s 2 Y f , 2 ( s ) y ˙ f , 2 ( 0 ) s y f , 2 ( 0 ) + λ 1 s 2 Y f , 2 ( s ) y ˙ f , 2 ( 0 ) s y f , 2 ( 0 ) + ω c s Y f , 2 ( s ) y f , 2 ( 0 ) + λ 0 s Y f , 2 ( s ) y f , 2 ( 0 ) + ω c Y f , 2 ( s ) + γ s U f , 2 ( s ) u f , 2 ( 0 ) + ω c U f , 2 ( s ) .
To eliminate the initial conditions of the system, the equation is differentiated three times with respect to s, yielding:
s 3 d 3 d s 3 Y f , 2 s + 9 s 2 d 2 d s 2 Y f , 2 s + 18 s d d s Y f , 2 s + 6 Y f , 2 s + ω c s 2 d 3 d s 3 Y f , 2 s + 6 s d 2 d s 2 Y f , 2 s + 6 d d s Y f , 2 s + λ 1 s 2 d 3 d s 3 Y f , 2 s + 6 s d 2 d s 2 Y f , 2 s + 6 d d s Y f , 2 s + ω c s d 3 d s 3 Y f , 2 s + 3 d 2 d s 2 Y f , 2 s + λ 0 s d 3 d s 3 Y f , 2 s + 3 d 2 d s 2 Y f , 2 s + ω c d 3 d s 3 Y f , 2 s = γ s d 3 d s 3 U f , 2 s + 3 d 2 d s 2 U f , 2 s + ω c d 3 d s 3 U f , 2 s .
Once the initial conditions have been removed, fractional differentiation can be applied. The order selected in this case is β = 2 3 , leading to α = n + d + β = 11 3 . Applying fractional differentiation gives:
s 3 d 11 3 d s 11 3 Y f , 2 s + 11 s 2 d 8 3 d s 8 3 Y f , 2 s + 88 3 s d 5 3 d s 5 3 Y f , 2 s + 280 27 d 2 3 d s 2 3 Y f , 2 s + ω c s 2 d 11 3 d s 11 3 Y f , 2 s + 22 3 s d 8 3 d s 8 3 Y f , 2 s + 88 9 d 5 3 d s 5 3 Y f , 2 s + λ 1 s 2 d 11 3 d s 11 3 Y f , 2 s + 22 3 s d 8 3 d s 8 3 Y f , 2 s + 88 9 d 5 3 d s 5 3 Y f , 2 s + ω c s d 11 3 d s 11 3 Y f , 2 s + 11 3 d 8 3 d s 8 3 Y f , 2 s + λ 0 s d 11 3 d s 11 3 Y f , 2 s + 11 3 d 8 3 d s 8 3 Y f , 2 s + ω c d 11 3 d s 11 3 Y f , 2 s = γ s d 11 3 d s 11 3 U f , 2 s + 11 3 d 8 3 d s 8 3 U f , 2 s + ω c d 11 3 d s 11 3 U f , 2 s .
The next step is to multiply by s 3 so that, when returning to the time domain, there are no time derivatives:
d 11 3 d s 11 3 Y f , 2 s + 11 s 1 d 8 3 d s 8 3 Y f , 2 s + 88 3 s 2 d 5 3 d s 5 3 Y f , 2 s + 280 27 s 3 d 2 3 d s 2 3 Y f , 2 s + ω c s 1 d 11 3 d s 11 3 Y f , 2 s + 22 3 s 2 d 8 3 d s 8 3 Y f , 2 s + 88 9 s 3 d 5 3 d s 5 3 Y f , 2 s + λ 1 s 1 d 11 3 d s 11 3 Y f , 2 s + 22 3 s 2 d 8 3 d s 8 3 Y f , 2 s + 88 9 s 3 d 5 3 d s 5 3 Y f , 2 s + ω c s 2 d 11 3 d s 11 3 Y f , 2 s + 11 3 s 3 d 8 3 d s 8 3 Y f , 2 s + λ 0 s 2 d 11 3 d s 11 3 Y f , 2 s + 11 3 s 3 d 8 3 d s 8 3 Y f , 2 s + ω c s 3 d 11 3 d s 11 3 Y f , 2 s = γ s 2 d 11 3 d s 11 3 U f , 2 s + 11 3 s 3 d 8 3 d s 8 3 U f , 2 s + ω c s 3 d 11 3 d s 11 3 U f , 2 s .
Finally, the expression is transformed back to the time domain, yielding:
γ a 11 , f f + λ 1 a 12 , f f + λ 0 a 13 , f f = b 1 , f f ,
where
a 11 , f f = 11 3 t 0 ( 3 ) t 8 3 u f , 2 d t ( 3 ) + t 0 ( 2 ) t 11 3 u f , 2 d t ( 2 ) + ω c t 0 ( 3 ) t 11 3 u f , 2 d t ( 3 ) , a 12 , f f = 88 9 t 0 ( 3 ) t 5 3 y f , 2 d t ( 3 ) + 22 3 t 0 ( 2 ) t 8 3 y f , 2 d t ( 2 ) t 0 t 11 3 y f , 2 d t + 11 3 ω c t 0 ( 3 ) t 8 3 y f , 2 d t ( 3 ) ω c t 0 ( 2 ) t 11 3 y f , 2 d t ( 2 ) , a 13 , f f = 11 3 t 0 ( 3 ) t 8 3 y f , 2 d t ( 3 ) t 0 ( 2 ) t 11 3 y f , 2 d t ( 2 ) ω c t 0 ( 3 ) t 11 3 y f , 2 d t ( 3 ) , b 1 , f f = 280 27 t 0 ( 3 ) t 2 3 y f , 2 d t ( 3 ) + 88 3 t 0 ( 2 ) t 5 3 y f , 2 d t ( 2 ) 11 t 0 t 8 3 y f , 2 d t + t 11 3 y f , 2 + 88 9 ω c t 0 ( 3 ) t 5 3 y f , 2 d t ( 3 ) 22 3 ω c t 0 ( 2 ) t 8 3 y f , 2 d t ( 2 ) + ω c t 0 t 11 3 y f , 2 d t ( 3 ) .

3. Results

To evaluate the performance of the estimators developed in the previous section, experimental signals obtained from physical systems were used, covering both first- and second-order dynamics. For the first-order system, data were collected from a single-mesh RL circuit. Since the resistance and inductance parameters of the circuit can be measured with high accuracy, the precision of the estimated values can be directly validated. Parameter estimation in such systems is of significant practical relevance, particularly in applications such as power grids, where accurate determination of electrical parameters is crucial for detecting changes in the grid’s natural frequency, as shown by Berger et al. [44], a key factor in ensuring monitoring and stability. Moreover, the proposed methodology can be extended to the identification of analog filters. For example, Bansal and Majumdar [45] applied an estimation technique to characterize a low-pass filter, enabling the replication of its behavior and supporting its design and analysis.
For the second-order system, the analyzed signals originated from a PMDC, focusing on measurements of angular velocity and supply voltage. The velocity was obtained from the angular displacement measured by an encoder at discrete time intervals; however, numerical differentiation introduced undesired spikes in the signal. On the other hand, the supply voltage exhibited noise, attributed to the malfunction of the power source used in the experiment. The tests were conducted in both open-loop and closed-loop configurations to compare the estimator’s performance in each case. In this context, neither the motor’s model nor its parameters were previously known. The estimation of parameters for PMDC’s has been extensively studied in the literature. For example, Usman et al. [46] employed a universal adaptive stabilizer to estimate parameters, considering their variability due to wear and motor usage. Similarly, Sankardoss and Geethanjali [47] used a genetic algorithm for parameter estimation, subsequently applying these estimations to design a speed controller for the motor. These studies underscore the versatility and applicability of parameter estimation techniques across various engineering domains.

3.1. First Order System

In this first case, the system under consideration is a single mesh RL circuit powered by a sinusoidal signal with an amplitude of 5 V and a frequency of 50 Hz. The signal sampling is performed over an interval of 0.2 s, with a sampling frequency of 10 kHz. The dynamical model of the RL circuit, based on Kirchhoff’s Voltage Law, is as follows:
L d d t i + R i = v
where L is the mesh inductance, R is the mesh resistance, i is the current, and v is the supply voltage. Dividing Equation (53) by L gives:
d d t i + R L i = 1 L v .
By comparing the resulting expression with Equation (14), it can be established that λ = R L , γ = 1 L , y 1 = i , and u 1 = v . Measurements taken from the RL circuit used in this case study indicate that the inductance has an approximate value of 0.73 H, while the resistance is 54 Ω . The components used in the experiment for this case study are shown in Figure 2 and listed as follows:
  • Dual-channel function generator: Channel A supplies the circuit power, while Channel B injects supply noise.
  • Computer.
  • Inductor bank.
  • NI ELVIS II data acquisition board.
  • Resistor array and current sensor.
The sampled signals from the RL circuit are shown in Figure 3. As observed, both the input voltage and the current exhibit noise contamination. These signals are employed in the parameter estimation approaches that do not explicitly incorporate the filter dynamics in their formulation.
Conversely, Figure 4 displays the filtered versions of the signals, obtained using the filters defined in Equation (15). The results indicate a noticeable attenuation of the noise amplitude; however, the filtering process also introduces a reduction in signal amplitude and a phase shift relative to the original signals. This effect does not pose an issue for the algebraic estimation methodologies that explicitly integrate the filter dynamics into their structure.
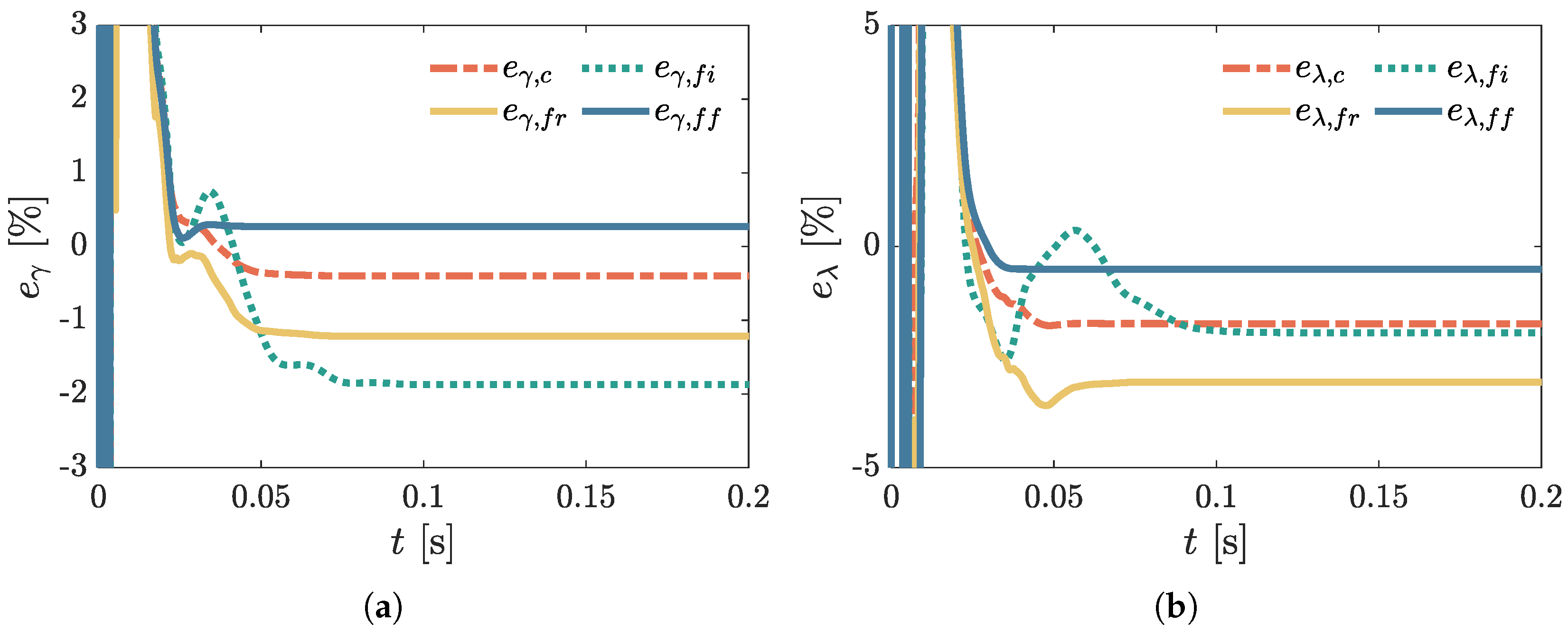
Parameter estimation for this case study was performed using the fourth-order Runge–Kutta method with a fixed step size of 0.1 ms. The estimation results are presented in Figure 5. The estimation of the parameter γ , shown in Figure 5a, reveals that the conventional method and the approach that incorporates both signal filtering and fractional calculus exhibit the best performance. In contrast, the methodology that includes the explicit filter dynamics yields the poorest estimation results for this parameter. Regarding the estimation of the parameter λ , illustrated in Figure 5b, the best performance is achieved by the approach combining filtering and fractional calculus. On the other hand, the method based solely on fractional calculus shows the least accurate estimation in this case.
A more rigorous approach to assess the performance of the estimators is through the computation of the estimation error, expressed in percentage to facilitate interpretation. The graphical representation of the estimation errors is shown in Figure 6. In both plots, it can be observed that the estimation approach yielding the lowest error is the one that incorporates both the filter dynamics and fractional calculus. The corresponding numerical values of the estimation errors for each method and for both parameters are summarized in Table 1.
As shown in Table 1, the method that incorporates both the filter dynamics and fractional calculus yields the most accurate estimation for both parameters. In particular, this approach achieves the smallest absolute error for λ with an error of 0.5128 % , and a small positive error of 0.2711 % for γ .

3.2. Second Order System

For the second case, the system whose parameters are to be estimated is a PMDC. Unlike the previous case, the actual parameter values of the system are not available. The rotor speed and supply voltage are sampled over a 20-s interval at a frequency of 100 Hz. To begin, it is necessary to describe the dynamical model of the motor, which is given by the following differential equations:
L a d d t i a + R a i a + k e ω = v a , J d d t ω + b ω = k m i a ,
where L a represents the armature inductance, R a is the armature resistance, and k e and k m denote the back electromotive force constant and the torque constant, respectively. Additionally, J corresponds to the rotor’s moment of inertia, and b is the friction coefficient. The supply voltage is denoted as v a , the armature current as i a , and the angular velocity of the rotor as ω . The objective is to express the dynamical model of the motor, given by Equation (54), in terms of a single output and a finite set of its derivatives. To achieve this, the structural property of differential flatness can be applied [32]. Considering the flat output y 2 = ω , the following expression is obtained:
d 2 d t 2 y 2 + R a L a + b J d d t y 2 + R a b + k e k m L a J y 2 = k m L a J v a .
Comparing the above expression with the Equation (34) it can be established that:
γ = k m L a J , λ 1 = R a L a + b J , λ 0 = R a b + k e k m L a J ,
with u 2 = v a .
For this second case study, the parameter estimation procedure is applied to a PMDC under both open-loop and closed-loop configurations. The open-loop scenario is relevant for applications such as system monitoring and fault detection, where external control is not enforced. In contrast, the closed-loop configuration enables the use of estimated parameters in control schemes, such as trajectory tracking or regulation of specific system variables. This dual configuration approach allows for a comprehensive evaluation of the estimation framework in different operational contexts.
As in the previous case study, the components used in the experiments for the second-order system are listed below. A photograph of these components is shown in Figure 7.
  • Computer.
  • NI ELVIS II data acquisition board.
  • PMDC motor with encoder for rotor position sensing.
  • Power supply.
  • Motor control and power circuits.

3.2.1. Open-Loop Estimation

To validate the algebraic estimation of parameters on the motor, an open-loop experimentation is first proposed. Based on the estimated parameters, a controller is then designed for angular velocity trajectory tracking, aiming to verify the estimator’s performance under both operating conditions.
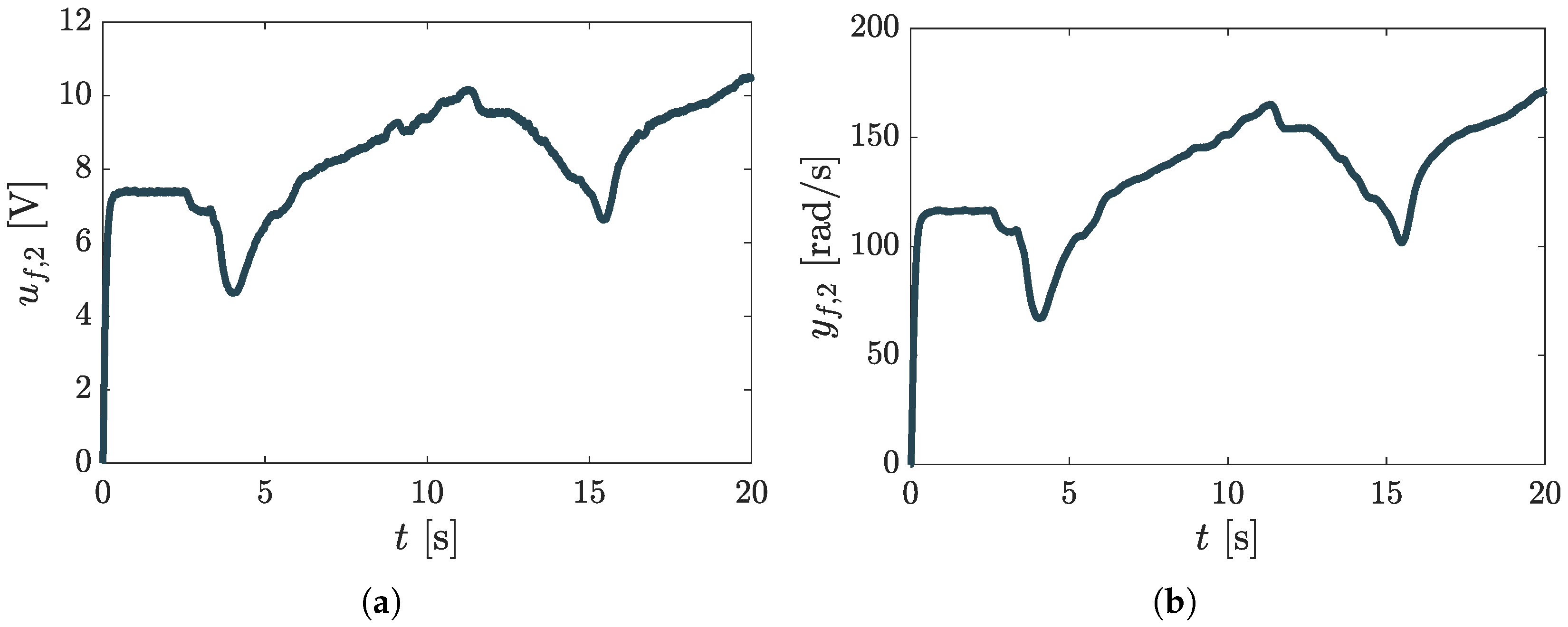
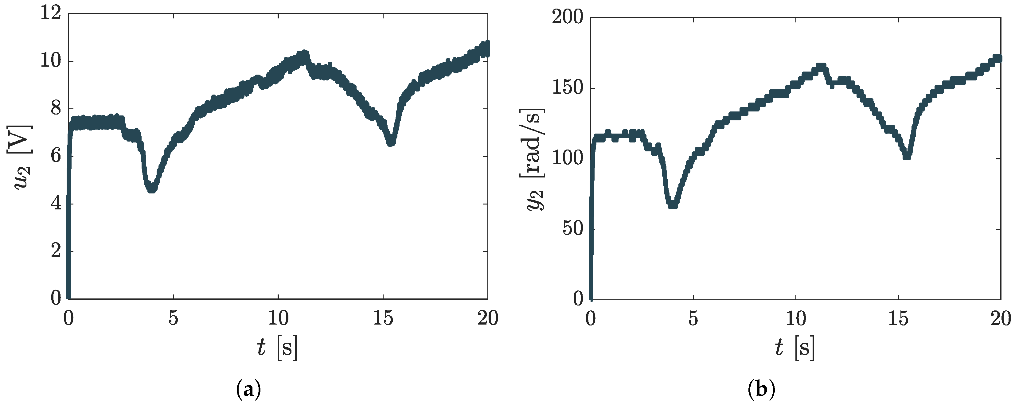
The signal sampling is shown in Figure 8. The motor’s supply voltage exhibits a significant level of noise, attributed to a malfunctioning power supply. The rotor position is measured using an optical encoder with a resolution of 200 pulses per revolution. To approximate the angular velocity, numerical differentiation is applied, which introduces spikes and noise into the resulting signal. In this case, filters with a cutoff frequency of 15 rad/s are used. The filtered signals are presented in Figure 9. In Figure 9a, it is evident that u f , 2 shows a significant reduction in noise compared to the original signal. Similarly, in Figure 9b, the spikes caused by numerical differentiation are considerably less noticeable.
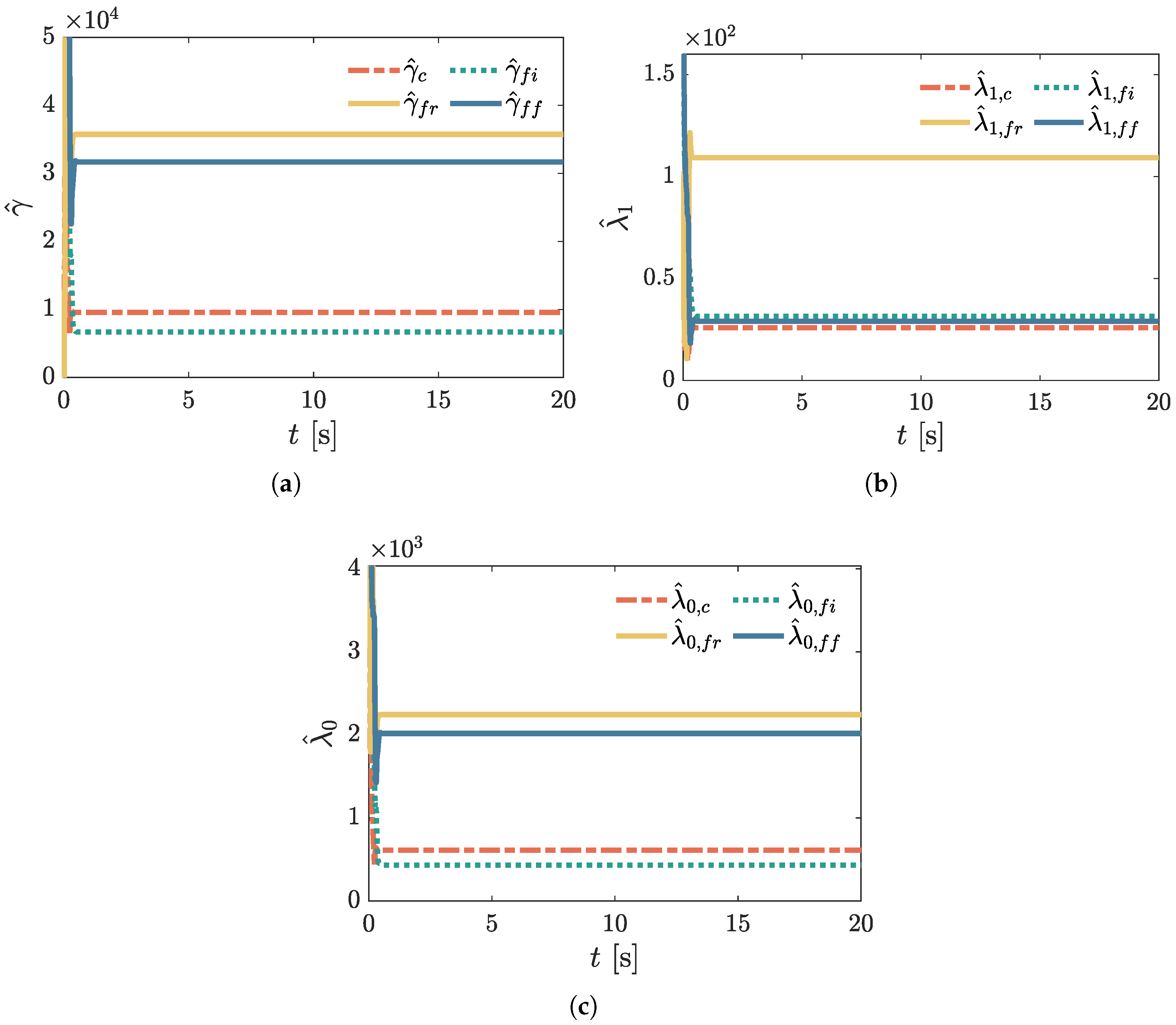
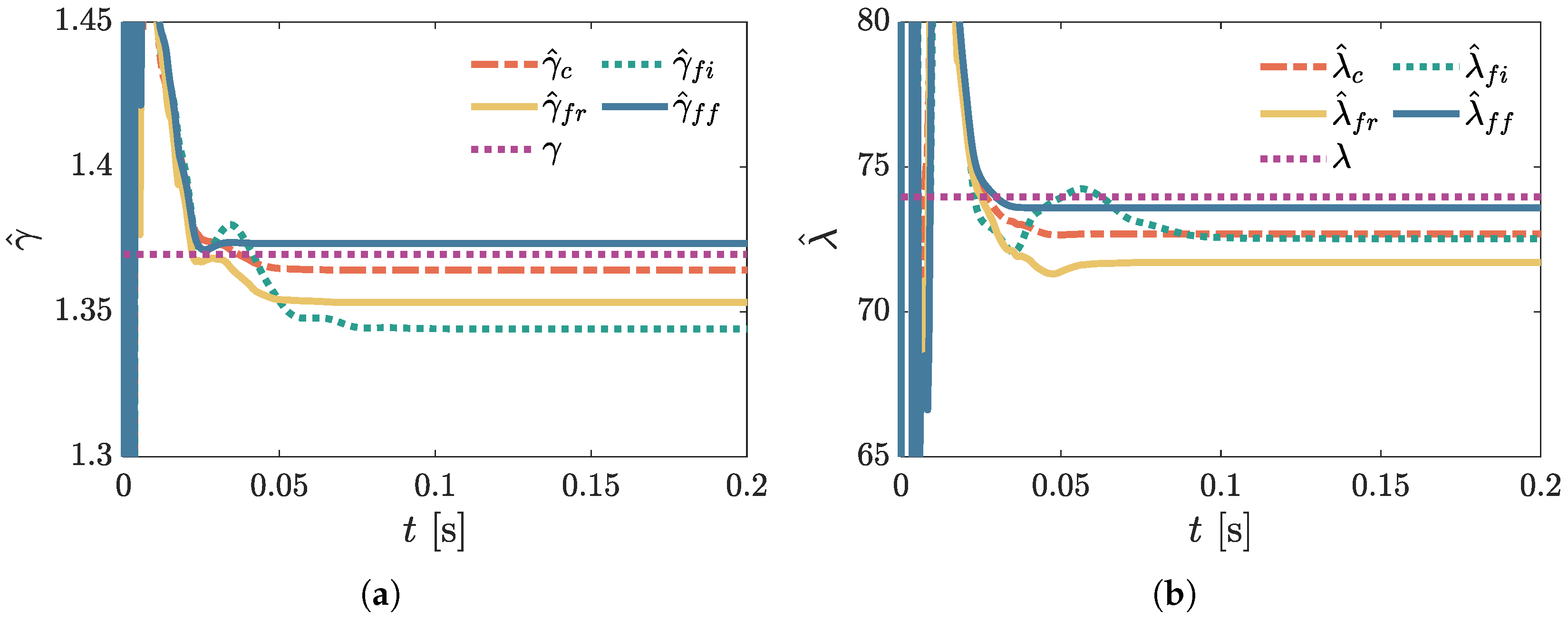
In this case study, the fourth-order Runge-Kutta method was employed to numerically evaluate the integrals required for parameter estimation, using a fixed step size of 10 ms. The estimated parameter values are shown in Figure 10. As can be observed, there is a significant disparity among the estimations obtained using the different approaches proposed in this work.
For instance, in the case of the parameter γ , shown in Figure 10a, the conventional estimation and the approach incorporating filter dynamics yield considerably lower values compared to those obtained using methods based on fractional calculus. A similar behavior is observed for the parameter λ 0 , as illustrated in Figure 10c. However, a notable deviation occurs in the estimation of the parameter λ 1 , where the approach involving fractional calculus produces a value at least three times greater than those estimated by the other methodologies.
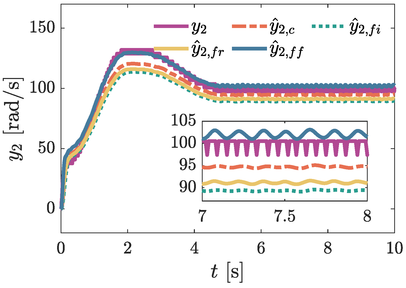
In this particular case, since the true values of the system parameters are not available for direct comparison, an alternative strategy based on numerical simulation is adopted. Specifically, the dynamical model given by Equation (34) is used to simulate the system’s behavior, where the estimated parameters, summarized in Table 2, are substituted to evaluate the performance of each estimation method. The signals used for the simulation correspond to the noisy measurements of u 2 and y 2 , which are depicted in Figure 8.
The simulation results are shown in Figure 11. At first glance, it is difficult to visually determine which estimation method provides the most accurate representation of the system dynamics. Therefore, the root mean square error (RMSE) was computed as a quantitative metric of performance and is also included in Table 2. The results indicate that the methodology incorporating only the filter dynamics exhibits the poorest performance, whereas the approach that combines both the filter dynamics and fractional calculus achieves the best accuracy.

3.2.2. Closed-Loop Estimation

The controller design is facilitated by considering the model shown in Equation (34), that is, its representation in differential flatness form, by substituting the estimated parameters into the expression, resulting in:
d 2 d t 2 y 2 + λ ^ 1 d d t y 2 + λ ^ 0 y 2 = γ ^ u 2 ,
The parameters selected correspond to those that showed the lowest error during open-loop testing, with the aim of improving controller performance. Based on Equation (55), the following trajectory tracking controller for angular velocity is proposed:
u 2 = 1 γ ^ v + λ ^ 1 d d t y 2 + λ ^ 0 y 2 , v = d 2 d t 2 y 2 k d d d t e k p e ,
where y 2 is the reference velocity trajectory and the tracking error is defined as e = y 2 y 2 . The controller gains are tuned using a second-order reference model for the closed-loop error dynamics:
d 2 d t 2 e + 2 ζ ω n d d t e + ω n 2 e = 0 ,
thus, k d = 2 ω n ζ and k p = ω n 2 , with ω n > 0 and ζ > 0 to ensure system stability. For this case, a trajectory generated by a Bézier polynomial is proposed, which is defined as:
y 2 = ω 0 , for 0 t < t 1 ω 0 + ( ω 1 ω 0 ) k = 1 3 r k t t 1 t 2 t 1 2 + k , for t 1 t < t 2 ω 1 + ( ω 2 ω 1 ) k = 1 3 r k t t 2 t 3 t 2 2 + k , for t 2 t < t 3 ω 2 , for t t 3 ,
where ω 0 = 35 rad/s, ω 1 = 130 rad/s, ω 2 = 100 rad/s, t 1 = 0 s, t 2 = 2 s, t 3 = 5 s, r 1 = 10 , r 2 = 15 , and r 3 = 6 . As can be observed, the reference trajectory does not start at zero. This is due to experimental results showing that the estimator designed in this work performs better when subject to abrupt signal changes at startup.
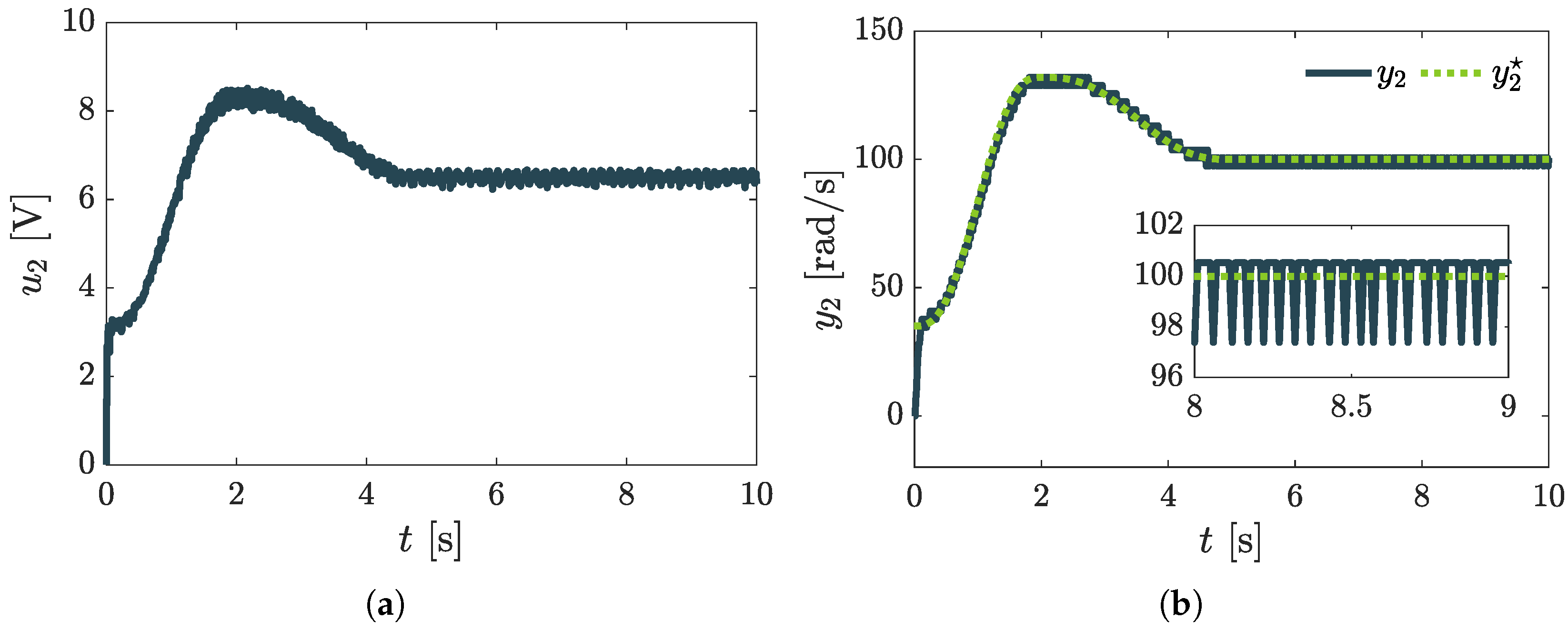
Figure 12 shows the system’s input and output signals. The right-hand plot, Figure 12b, presents the angular velocity measured by the encoder alongside the reference trajectory defined in Equation (56). It can be seen that the reference trajectory is accurately followed, although the noise introduced by numerical differentiation of the encoder’s position gives the appearance of tracking error.
The input voltage is shown in Figure 12a, where noticeable noise is observed during the interval where the velocity reference remains constant. This is caused by the controller’s corrections in response to the noisy angular velocity signal.
The filtered input and output signals used in this case study are shown in Figure 13. These signals correspond to the application of the filtering Equations (35) and (36), and are employed exclusively in the estimation methodologies that explicitly incorporate the dynamics of the filters. Figure 13a illustrates the filtered motor voltage, while Figure 13b displays the filtered angular velocity. In the latter, the effect of filtering reveals with greater clarity that the motor’s velocity controller closely tracks the assigned reference, indicating high-fidelity closed-loop behavior.
The results obtained from the implementation of the parameter estimation methodologies presented in this work are graphically shown in Figure 14. Consistent with the previous case study, the estimates of the parameters γ and λ 0 tend to converge to higher values when using methodologies that incorporate the filter dynamics in their formulation. Similarly, as shown in Figure 14b, the methodology based solely on fractional calculus exhibits a convergence to significantly larger values compared to the other approaches.
This behavior suggests that even when the filter dynamics are explicitly modeled within the estimator, their influence may still propagate indirectly, affecting the accuracy of the parameter estimates. Another potential factor contributing to the observed discrepancies in the estimation results could be the selected order of the filters applied to the system signals.
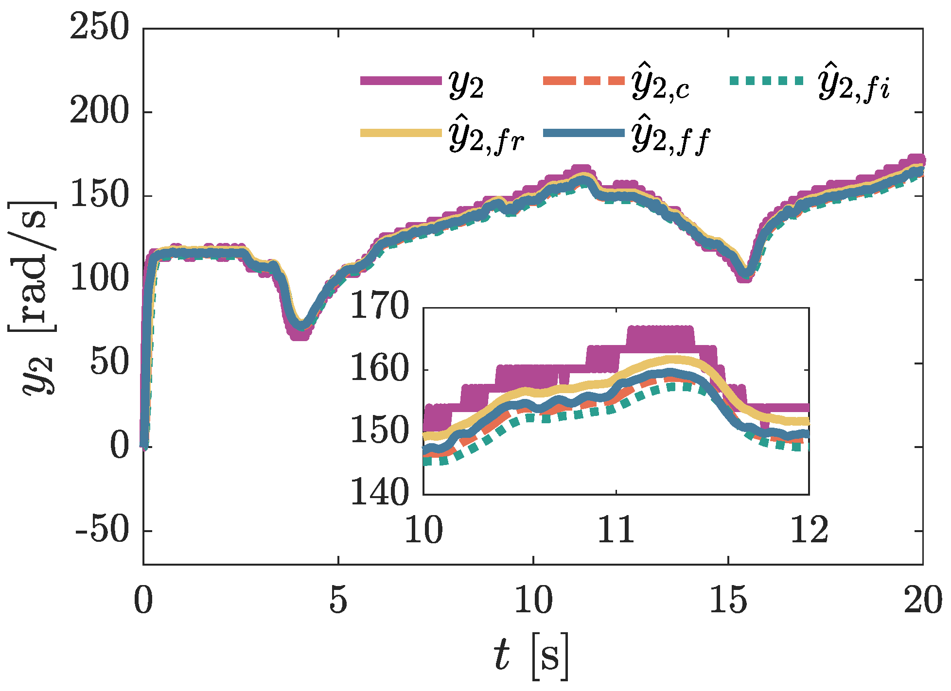
As in the open-loop case, RMSE is computed to evaluate the fidelity of the parameter estimates obtained through the different methodologies. This is achieved by substituting the estimated parameters into the original dynamical model and simulating the system’s response, using the sampled input voltage signal as the control input. The parameter estimation results, along with the corresponding RMSE values, are summarized in Table 3, while the simulated system responses are illustrated in Figure 15.

4. Conclusions

This article presented a novel algebraic parameter estimation methodology that is robust to signal noise. The proposed approach integrates the dynamics of signal filtering directly into the estimator design and employs fractional calculus in the frequency domain. To assess its performance, it was compared against three variants of the algebraic method: the conventional approach, the version incorporating only signal filtering, and the one using only fractional differentiation. All methodologies were experimentally validated on an RL circuit with known parameters, where the proposed method achieved the best results. Subsequently, they were applied to a permanent magnet DC motor, also in an experimental setting. Parameter estimation was first performed in open loop using a differential flatness-based model, where the proposed methodology yielded the lowest RMSE. Then, a closed-loop estimation was carried out, in which the proposed method again demonstrated superior performance. These results highlight the robustness and adaptability of the proposed approach in practical applications involving noisy measurements. In future work, the development of the estimator in discrete time will be explored, as well as comparisons with recursive methods, assessing performance under different noise distributions, and validating the approach with more complex systems.

Author Contributions

Conceptualization, A.C.-P., F.B.-C. and I.R.-C.; methodology, A.C.-P., F.B.-C. and D.M.-A.; software, A.C.-P., F.B.-C., C.R.-G. and D.M.-A.; validation, A.C.-P., F.B.-C., I.R.-C., C.R.-G. and D.M.-A.; formal analysis, A.C.-P., F.B.-C. and I.R.-C.; investigation, A.C.-P., F.B.-C., I.R.-C., C.R.-G. and D.M.-A.; resources, F.B.-C., I.R.-C. and C.R.-G.; data curation, A.C.-P., F.B.-C., I.R.-C., C.R.-G. and D.M.-A.; writing—original draft preparation, A.C.-P., F.B.-C., I.R.-C., C.R.-G. and D.M.-A.; writing—review and editing, A.C.-P., F.B.-C., I.R.-C. and C.R.-G.; visualization, A.C.-P., F.B.-C., I.R.-C. and C.R.-G.; supervision, F.B.-C. and I.R.-C.; project administration, F.B.-C.; funding acquisition, F.B.-C., I.R.-C. and C.R.-G. All authors have read and agreed to the published version of the manuscript.

Funding

This research received no external funding.

Institutional Review Board Statement

Not applicable.

Data Availability Statement

The original contributions presented in this study are included in the article; further inquiries can be directed to the corresponding author.

Acknowledgments

The authors of this article thank the Secretaría de Ciencia, Humanidades, Tecnología e Innovación (SECIHTI), for the support provided for developing this work.

Conflicts of Interest

The authors declare no conflicts of interest.

References

  1. Isermann, R.; Münchhof, M. Identification of Dynamic Systems: An Introduction with Applications; Springer: Berlin/Heidelberg, Germany, 2011; Volume 85. [Google Scholar]
  2. Bhowmick, D.; Manna, M.; Chowdhury, S. Estimation of Equivalent Circuit Parameters of Transformer and Induction Motor from Load Data. IEEE Trans. Ind. Appl. 2018, 54, 2784–2791. [Google Scholar] [CrossRef]
  3. Silva, E.A.; Bradaschia, F.; Cavalcanti, M.; Nascimento, A. Parameter Estimation Method to Improve the Accuracy of Photovoltaic Electrical Model. IEEE J. Photovolt. 2016, 6, 278–285. [Google Scholar] [CrossRef]
  4. Simić, M.; Stavrakis, A.K.; Jeoti, V.; Stojanović, G.M. A Randles Circuit Parameter Estimation of Li-Ion Batteries With Embedded Hardware. IEEE Trans. Instrum. Meas. 2022, 71, 1004312. [Google Scholar] [CrossRef]
  5. Simić, M.; Stavrakis, A.K.; Kojić, T.; Jeoti, V.; Stojanović, G.M. Parameter Estimation of the Randles Equivalent Electrical Circuit Using Only Real Part of the Impedance. IEEE Sens. J. 2023, 23, 4922–4929. [Google Scholar] [CrossRef]
  6. Fouda, M.; Elwakil, A.; Allagui, A. Commercial supercapacitor parameter estimation from step voltage excitation. Int. J. Circuit Theory Appl. 2019, 47, 1705–1712. [Google Scholar] [CrossRef]
  7. Morandi, A.; Lampasi, A.; Cocchi, A.; Gherdovich, F.; Melaccio, U.; Ribani, P.; Rossi, C.; Soavi, F. Characterization and Model Parameters of Large Commercial Supercapacitor Cells. IEEE Access 2021, 9, 20376–20390. [Google Scholar] [CrossRef]
  8. Tadeusiewicz, M.; Korzybski, M. A method for fault diagnosis in linear electronic circuits. Int. J. Circuit Theory Appl. 2000, 28, 245–262. [Google Scholar] [CrossRef]
  9. Shen, P.; Li, C. Minimum Total Error Entropy Method for Parameter Estimation. IEEE Trans. Signal Process. 2015, 63, 4079–4090. [Google Scholar] [CrossRef]
  10. Chen, N.; Majda, A. A new efficient parameter estimation algorithm for high-dimensional complex nonlinear turbulent dynamical systems with partial observations. J. Comput. Phys. 2019, 397, 108836. [Google Scholar] [CrossRef]
  11. Balasingam, B.; Pattipati, K. On the Identification of Electrical Equivalent Circuit Models Based on Noisy Measurements. IEEE Trans. Instrum. Meas. 2021, 70, 2507316. [Google Scholar] [CrossRef]
  12. de Albuquerque, F.P.; da Costa, E.C.M.; Pereira, R.F.R.; Liboni, L.; de Oliveira, M.D. Nonlinear Analysis on Transmission Line Parameters Estimation From Noisy Phasorial Measurements. IEEE Access 2022, 10, 1720–1730. [Google Scholar] [CrossRef]
  13. Li, M.; Liu, X. Maximum likelihood least squares based iterative estimation for a class of bilinear systems using the data filtering technique. Int. J. Control. Autom. Syst. 2020, 18, 1581–1592. [Google Scholar] [CrossRef]
  14. Stojanovic, V.; Prsic, D. Robust identification for fault detection in the presence of non-Gaussian noises: Application to hydraulic servo drives. Nonlinear Dyn. 2020, 100, 2299–2313. [Google Scholar] [CrossRef]
  15. Zhang, Q.; Cui, N.; Li, Y.; Duan, B.; Zhang, C. Fractional calculus based modeling of open circuit voltage of lithium-ion batteries for electric vehicles. J. Energy Storage 2020, 27, 100945. [Google Scholar] [CrossRef]
  16. Chen, L.; Basu, B.; McCabe, D. Fractional order models for system identification of thermal dynamics of buildings. Energy Build. 2016, 133, 381–388. [Google Scholar] [CrossRef]
  17. Vanchinathan, K.; Selvaganesan, N. Adaptive fractional order PID controller tuning for brushless DC motor using artificial bee colony algorithm. Results Control Optim. 2021, 4, 100032. [Google Scholar] [CrossRef]
  18. Al-Dhaifallah, M.; Nassef, A.M.; Rezk, H.; Nisar, K.S. Optimal parameter design of fractional order control based INC-MPPT for PV system. Sol. Energy 2018, 159, 650–664. [Google Scholar] [CrossRef]
  19. Ortigueira, M.D. A coherent approach to non-integer order derivatives. Signal Process. 2006, 86, 2505–2515. [Google Scholar] [CrossRef]
  20. Li, C.; Dao, X.; Guo, P. Fractional derivatives in complex planes. Nonlinear Anal. Theory Methods Appl. 2009, 71, 1857–1869. [Google Scholar] [CrossRef]
  21. Fliess, M.; Sira-Ramírez, H. An algebraic framework for linear identification. ESAIM Control Optim. Calc. Var. 2003, 9, 151–168. [Google Scholar] [CrossRef]
  22. Beltran-Carbajal, F.; Tapia-Olvera, R.; Aguilar-Mejia, O.; Favela-Contreras, A.; Lopez-Garcia, I. An online algebraic estimation approach of parameters and variable mechanical torque in shunt DC motors. Int. Trans. Electr. Energy Syst. 2018, 28, e2474. [Google Scholar] [CrossRef]
  23. Marcos-Andrade, D.; Beltran-Carbajal, F.; Castelan-Perez, A.; Rivas-Cambero, I.; Hernández, J.C. Online Algebraic Estimation of Parameters and Disturbances in Brushless DC Motors. Machines 2024, 13, 16. [Google Scholar] [CrossRef]
  24. Delpoux, R.; Floquet, T. On-line parameter estimation via algebraic method: An experimental illustration. Asian J. Control 2015, 17, 315–326. [Google Scholar] [CrossRef]
  25. Beltrán-Carbajal, F.; Silva-Navarro, G. Adaptive-Like Vibration Control in Mechanical Systems with Unknown Paramenters and Signals. Asian J. Control 2013, 15, 1613–1626. [Google Scholar] [CrossRef]
  26. Beltran-Carbajal, F.; Abundis-Fong, H.F.; Trujillo-Franco, L.G.; Yañez-Badillo, H.; Favela-Contreras, A.; Campos-Mercado, E. Online frequency estimation on a building-like structure using a nonlinear flexible dynamic vibration absorber. Mathematics 2022, 10, 708. [Google Scholar] [CrossRef]
  27. Trapero, J.R.; Sira-Ramírez, H.; Batlle, V.F. An algebraic frequency estimator for a biased and noisy sinusoidal signal. Signal Process. 2007, 87, 1188–1201. [Google Scholar] [CrossRef]
  28. Trapero, J.R.; Sira-Ramírez, H.; Feliu Batlle, V. On the algebraic identification of the frequencies, amplitudes and phases of two sinusoidal signals from their noisy sum. Int. J. Control 2008, 81, 507–518. [Google Scholar] [CrossRef]
  29. Huang, C.; Du, B. Differentially flatness active disturbance rejection control approach via algebraic parameter identification to double tank problem. In Proceedings of the 2016 35th Chinese Control Conference (CCC), Chengdu, China, 27–29 July 2016; IEEE: Chengdu, China, 2016; pp. 2108–2113. [Google Scholar] [CrossRef]
  30. Pereira das Neves, G.; Augusto Angélico, B. Model-free control of mechatronic systems based on algebraic estimation. Asian J. Control 2022, 24, 1575–1584. [Google Scholar] [CrossRef]
  31. Fliess, M.; Lévine, J.; Martin, P.; Rouchon, P. Flatness and defect of non-linear systems: Introductory theory and examples. Int. J. Control 1995, 61, 1327–1361. [Google Scholar] [CrossRef]
  32. Sira-Ramirez, H.; Agrawal, S.K. Differentially Flat Systems; CRC Press: Boca Raton, FL, USA, 2018. [Google Scholar]
  33. Beltran-Carbajal, F.; Valderrabano-Gonzalez, A.; Favela-Contreras, A.; Hernandez-Avila, J.L.; Lopez-Garcia, I.; Tapia-Olvera, R. An active vehicle suspension control approach with electromagnetic and hydraulic actuators. Actuators 2019, 8, 35. [Google Scholar] [CrossRef]
  34. Beltran-Carbajal, E.; Silva-Navarro, G. Output feedback dynamic control for trajectory tracking and vibration suppression. Appl. Math. Model. 2020, 79, 793–808. [Google Scholar] [CrossRef]
  35. Zhang, S.Y.; Lin, Z.; Li, D.; Deng, Y.; Zhang, Y.; Wang, Y. Vibration suppression of spar-buoy floating wind turbines using a nonlinear stiffness combined inerter-based absorber. Ocean Eng. 2025, 329, 121052. [Google Scholar] [CrossRef]
  36. Chen, X.; Kuai, N.; Fu, W.; Zhang, Z.; Guo, T.; Liu, T.; Liu, C. Automated physics parameter identification of tuned vibration absorber in offshore wind turbines based on unsupervised spectral clustering and SSI. Ocean Eng. 2025, 328, 121052. [Google Scholar] [CrossRef]
  37. Tran, T.M.; Nguyen, S.H. Development of an Active Dynamic Vibration Absorber for Palm Tremors in Parkinson’s Disease Patients. Int. J. Math. Eng. Manag. Sci. 2024, 9, 1273–1290. [Google Scholar] [CrossRef]
  38. Guimarães de Souza Braga de Albuquerque, G.; Rodrigues Machado, M. Design of Passive Dynamic Absorbers to Attenuate Pathological Tremor of Human Upper Limb. In Advances in Structural Vibration: Selected Works from COBEM 2023; Springer: Berlin/Heidelberg, Germany, 2025; pp. 271–285. [Google Scholar] [CrossRef]
  39. Campos, L. On a concept of derivative of complex order with applications to special functions. IMA J. Appl. Math. 1984, 33, 109–133. [Google Scholar] [CrossRef]
  40. Oldham, K.; Spanier, J. The Fractional Calculus Theory and Applications of Differentiation and Integration to Arbitrary Order; Elsevier: Amsterdam, The Netherlands, 1974; Volume 111. [Google Scholar]
  41. Lovoie, J.; Osler, T.J.; Tremblay, R. Fractional derivatives and special functions. SIAM Rev. 1976, 18, 240–268. [Google Scholar] [CrossRef]
  42. Závada, P. Operator of fractional derivative in the complex plane. Commun. Math. Phys. 1998, 192, 261–285. [Google Scholar] [CrossRef]
  43. Schaumann, R.; Mac Elwyn Van Valkenburg, X.; Xiao, H. Design of Analog Filters; Oxford University Press: New York, NY, USA, 2001; Volume 1. [Google Scholar]
  44. Berger, T.; Halikias, G.; Karcanias, N. Effects of dynamic and non-dynamic element changes in RC and RL networks. Int. J. Circuit Theory Appl. 2015, 43, 36–59. [Google Scholar] [CrossRef]
  45. Bansal, R.; Majumdar, S. Parameter Estimation of Low Pass Filter Using Stochastic Modelling. In Proceedings of the 2018 5th International Conference on Signal Processing and Integrated Networks (SPIN), Noida, India, 22–23 February 2018; pp. 353–358. [Google Scholar] [CrossRef]
  46. Usman, H.M.; Mukhopadhyay, S.; Rehman, H. Permanent magnet DC motor parameters estimation via universal adaptive stabilization. Control Eng. Pract. 2019, 90, 50–62. [Google Scholar] [CrossRef]
  47. Sankardoss, V.; Geethanjali, P. Parameter estimation and speed control of a PMDC motor used in wheelchair. Energy Procedia 2017, 117, 345–352. [Google Scholar] [CrossRef]
Figure 1. Diagram of the algebraic estimation method with integrated filtering.
Figure 1. Diagram of the algebraic estimation method with integrated filtering.
Actuators 14 00474 g001
Figure 2. Components used in the experiments for the first-order system.
Figure 2. Components used in the experiments for the first-order system.
Actuators 14 00474 g002
Figure 3. First-order system signals: (a) supply voltage u 1 , (b) electric current flowing through the mesh y 1 .
Figure 3. First-order system signals: (a) supply voltage u 1 , (b) electric current flowing through the mesh y 1 .
Actuators 14 00474 g003
Figure 4. Filtered first-order system signals: (a) supply voltage u 1 , (b) electric current flowing through the mesh y 1 .
Figure 4. Filtered first-order system signals: (a) supply voltage u 1 , (b) electric current flowing through the mesh y 1 .
Actuators 14 00474 g004
Figure 5. Estimated parameters of the first order system: (a) parameter γ , (b) parameter λ .
Figure 5. Estimated parameters of the first order system: (a) parameter γ , (b) parameter λ .
Actuators 14 00474 g005
Figure 6. Error presented in the estimation of parameters in the first case study: (a) parameter γ , (b) parameter λ .
Figure 6. Error presented in the estimation of parameters in the first case study: (a) parameter γ , (b) parameter λ .
Actuators 14 00474 g006
Figure 7. Components used in the experiments for the second order system.
Figure 7. Components used in the experiments for the second order system.
Actuators 14 00474 g007
Figure 8. Second order system signals: (a) permanent magnet DC motor supply voltage u 2 , (b) rotor angular velocity y 2 .
Figure 8. Second order system signals: (a) permanent magnet DC motor supply voltage u 2 , (b) rotor angular velocity y 2 .
Actuators 14 00474 g008
Figure 9. Filtered second order system signals: (a) permanent magnet DC motor supply voltage u f , 2 , (b) rotor angular velocity y f , 2 .
Figure 9. Filtered second order system signals: (a) permanent magnet DC motor supply voltage u f , 2 , (b) rotor angular velocity y f , 2 .
Actuators 14 00474 g009
Figure 10. Parameter estimates for the second case study: (a) parameter γ , (b) parameter λ 1 , and (c) parameter λ 0 .
Figure 10. Parameter estimates for the second case study: (a) parameter γ , (b) parameter λ 1 , and (c) parameter λ 0 .
Actuators 14 00474 g010
Figure 11. Comparison between simulations with estimated parameters.
Figure 11. Comparison between simulations with estimated parameters.
Actuators 14 00474 g011
Figure 12. Signals of the closed-loop second-order system: (a) permanent magnet DC motor supply voltage u 2 , (b) rotor angular velocity y 2 .
Figure 12. Signals of the closed-loop second-order system: (a) permanent magnet DC motor supply voltage u 2 , (b) rotor angular velocity y 2 .
Actuators 14 00474 g012
Figure 13. Filtered signals of the closed-loop second-order system: (a) permanent magnet DC motor supply voltage u f , 2 , (b) rotor angular velocity y f , 2 .
Figure 13. Filtered signals of the closed-loop second-order system: (a) permanent magnet DC motor supply voltage u f , 2 , (b) rotor angular velocity y f , 2 .
Actuators 14 00474 g013
Figure 14. Parameter estimates for the second closed-loop case study: (a) parameter γ , (b) parameter λ 1 , and (c) parameter λ 0 .
Figure 14. Parameter estimates for the second closed-loop case study: (a) parameter γ , (b) parameter λ 1 , and (c) parameter λ 0 .
Actuators 14 00474 g014
Figure 15. Comparison between simulations with parameters estimated in closed loop.
Figure 15. Comparison between simulations with parameters estimated in closed loop.
Actuators 14 00474 g015
Table 1. Comparison of parameter estimation results for the RL circuit.
Table 1. Comparison of parameter estimation results for the RL circuit.
MethodParameter γ Parameter λ
Estimated ValueError (%)Estimated ValueError (%)
c1.3644−0.397972.6823−1.7443
f i 1.3442−1.876072.5314−1.9483
f r 1.3532−1.214571.7034−3.0677
f f 1.37360.271173.5933−0.5128
Reference values: γ = 1.369 , λ = 73.97 . Abbreviations: c—Conventional, f i —With Filters, f r —With Fractional Calculus, f f —With Filters and Fractional Calculus.
Table 2. Comparison of estimated parameters for open-loop permanent magnet DC motor.
Table 2. Comparison of estimated parameters for open-loop permanent magnet DC motor.
MethodParameter γ Parameter λ 1 Parameter λ 0 RMSE
c 9.5561 × 10 3 25.8980611.40905.9886
f i 6.6964 × 10 3 31.4582432.14447.6212
f r 3.5748 × 10 4 109.2052 2.2444 × 10 3 5.0333
f f 3.1680 × 10 4 29.0765 2.0169 × 10 3 4.3200
Abbreviations: c—Conventional, f i —With Filters, f r —With Fractional Calculus, f f —With Filters and Fractional Calculus.
Table 3. Comparison of estimated parameters for closed-loop permanent magnet DC motor.
Table 3. Comparison of estimated parameters for closed-loop permanent magnet DC motor.
MethodParameter γ Parameter λ 1 Parameter λ 0 RMSE
c 9.2072 × 10 3 26.5294631.83216.9829
f i 6.6289 × 10 3 29.4948482.115812.2558
f r 3.5042 × 10 4 99.9758 2.4975 × 10 3 10.2905
f f 3.1693 × 10 4 29.4089 2.0194 × 10 3 3.2738
Abbreviations: c—Conventional, f i —With Filters, f r —With Fractional Calculus, f f —With Filters and Fractional Calculus.
Disclaimer/Publisher’s Note: The statements, opinions and data contained in all publications are solely those of the individual author(s) and contributor(s) and not of MDPI and/or the editor(s). MDPI and/or the editor(s) disclaim responsibility for any injury to people or property resulting from any ideas, methods, instructions or products referred to in the content.

Share and Cite

MDPI and ACS Style

Castelan-Perez, A.; Beltran-Carbajal, F.; Rivas-Cambero, I.; Rueda-German, C.; Marcos-Andrade, D. Filtering and Fractional Calculus in Parameter Estimation of Noisy Dynamical Systems. Actuators 2025, 14, 474. https://doi.org/10.3390/act14100474

AMA Style

Castelan-Perez A, Beltran-Carbajal F, Rivas-Cambero I, Rueda-German C, Marcos-Andrade D. Filtering and Fractional Calculus in Parameter Estimation of Noisy Dynamical Systems. Actuators. 2025; 14(10):474. https://doi.org/10.3390/act14100474

Chicago/Turabian Style

Castelan-Perez, Alexis, Francisco Beltran-Carbajal, Ivan Rivas-Cambero, Clementina Rueda-German, and David Marcos-Andrade. 2025. "Filtering and Fractional Calculus in Parameter Estimation of Noisy Dynamical Systems" Actuators 14, no. 10: 474. https://doi.org/10.3390/act14100474

APA Style

Castelan-Perez, A., Beltran-Carbajal, F., Rivas-Cambero, I., Rueda-German, C., & Marcos-Andrade, D. (2025). Filtering and Fractional Calculus in Parameter Estimation of Noisy Dynamical Systems. Actuators, 14(10), 474. https://doi.org/10.3390/act14100474

Note that from the first issue of 2016, this journal uses article numbers instead of page numbers. See further details here.

Article Metrics

Back to TopTop