A New Active Disturbance Rejection Control Tuning Method for High-Order Electro-Hydraulic Servo Systems
Abstract
1. Introduction
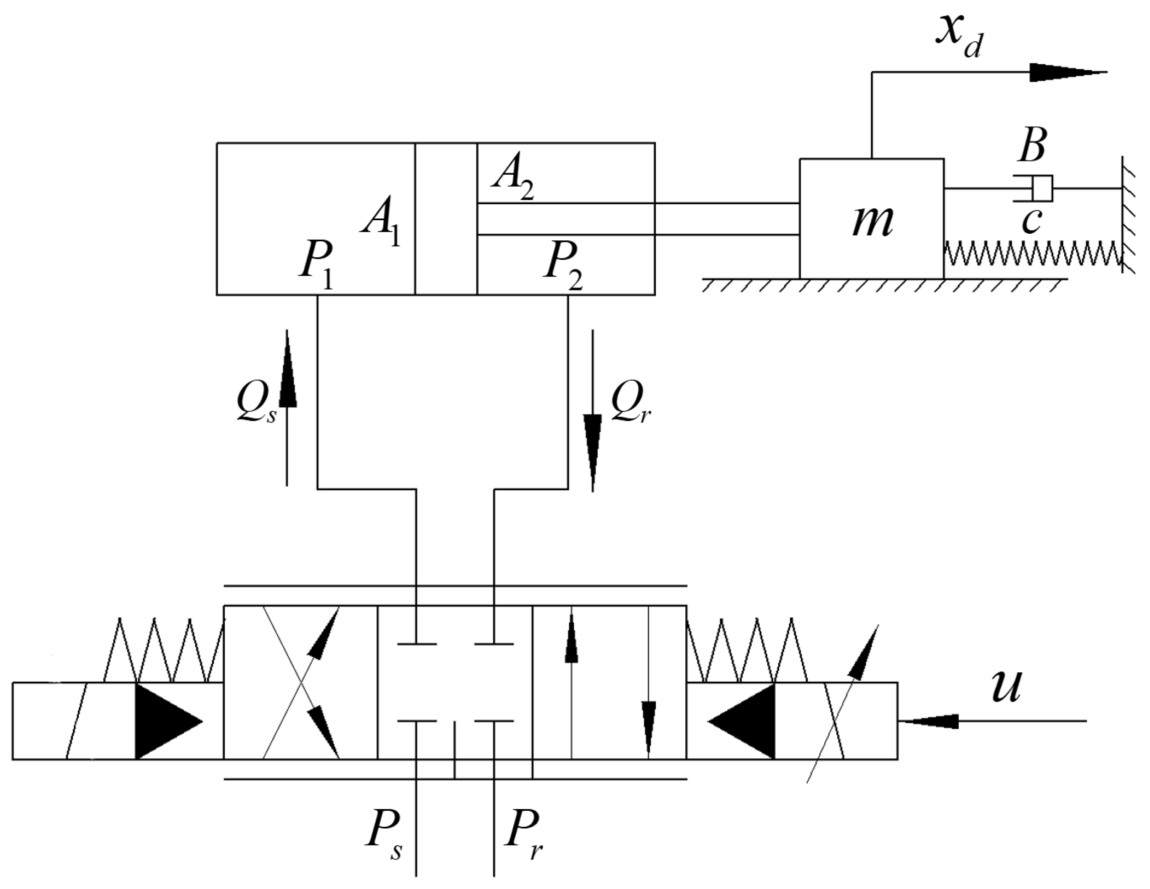
2. The Mathematical Model of Electro-Hydraulic Servo System
3. Active Disturbance Rejection Control for High-Order Electro-Hydraulic Servo Systems
3.1. Active Disturbance Rejection Control
3.2. The New Tuning Method for Active Disturbance Rejection Control
4. Application of Active Disturbance Rejection Control to High-Order Electro-Hydraulic Servo Systems
4.1. The Tuning Process of The Third-Order Application
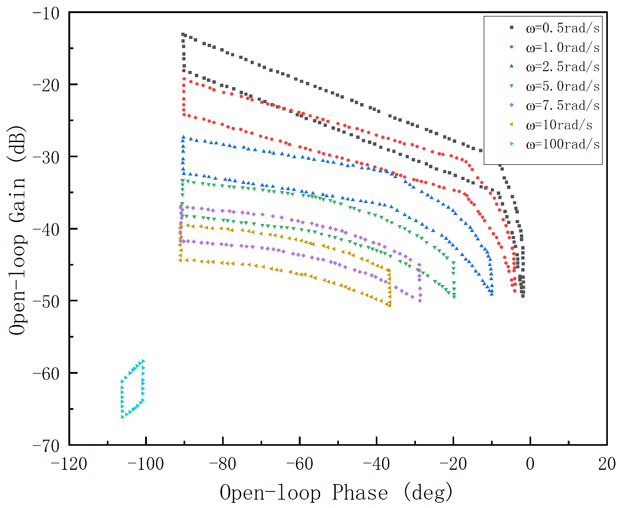
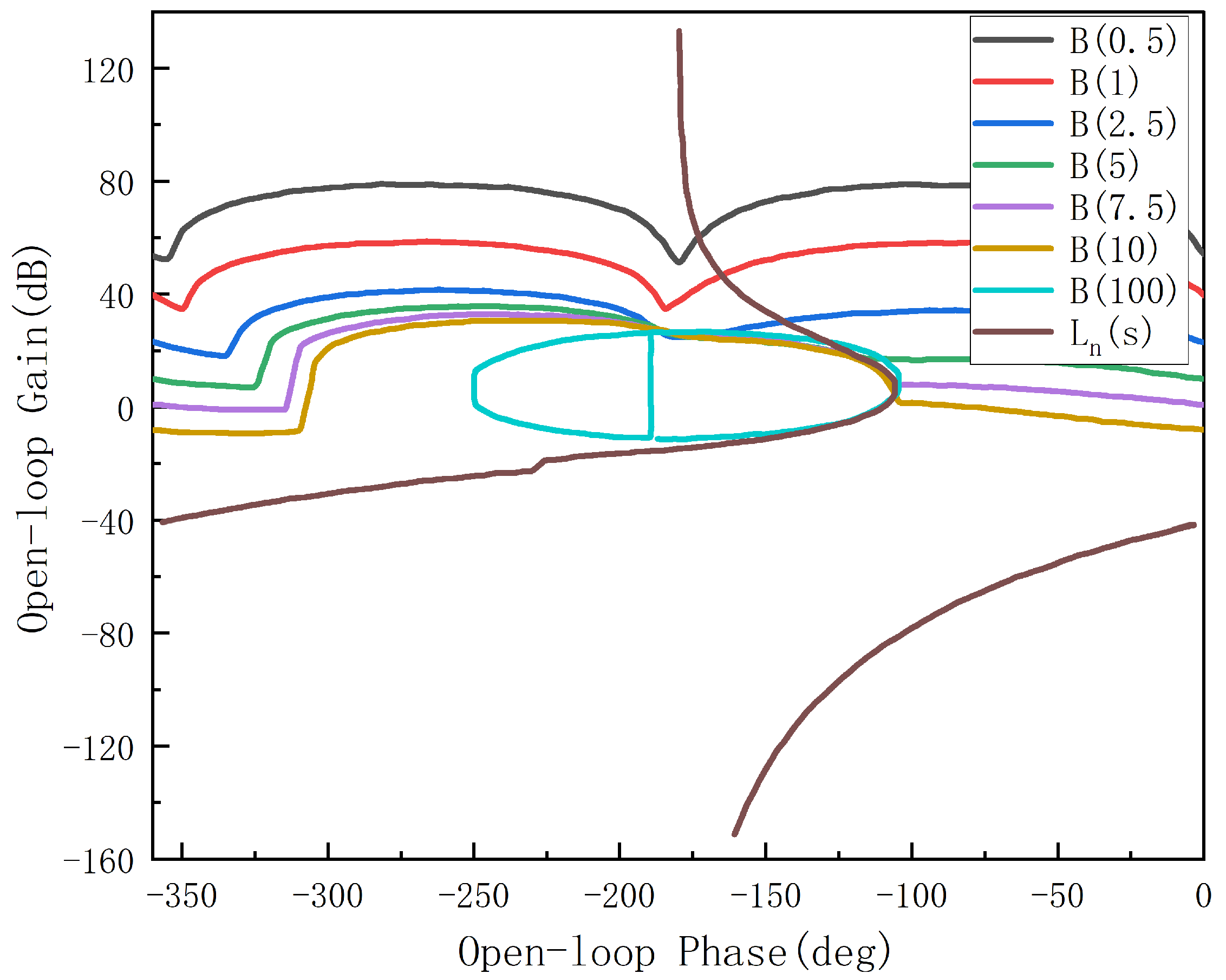
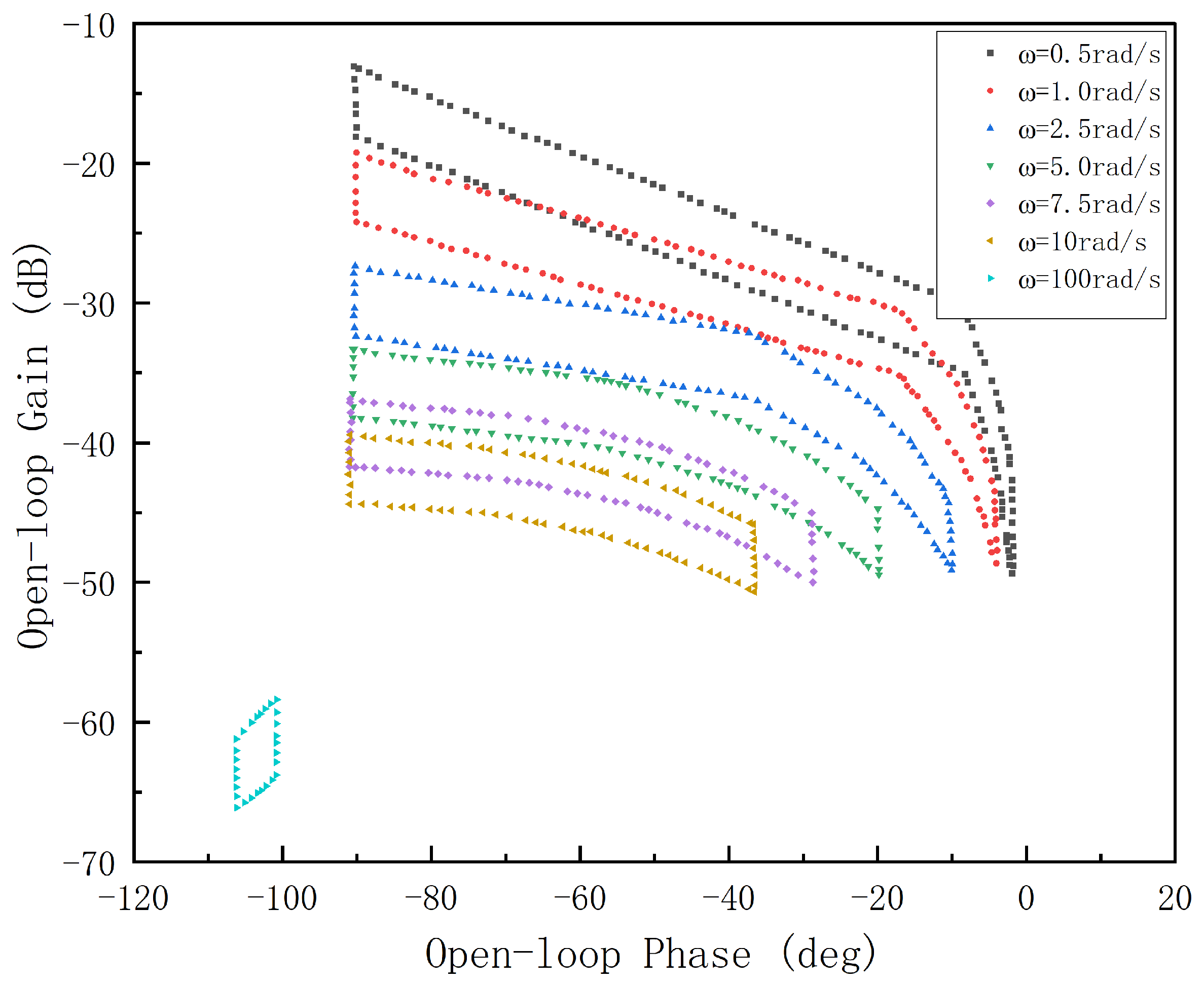
4.2. The Stability Analysis of The Application with Improved ADRC Controller
4.3. Simulation and Experimental Verification
- (1)
- Compared with the bandwidth tuning method and the PID controller, the proposed method enables the improved ADRC controller to have a better tracking performance.
- (2)
- The bandwidth tuning method exhibits significant oscillations and overshoot in the step response and also has a hardware limitation, which often leads to undesired responses in practical applications.
- (3)
- The bandwidth tuning method need large observer bandwidth to enable the ADRC controller to have a better performance, but the amplitude of the oscillations becomes larger.
5. Conclusions
Author Contributions
Funding
Data Availability Statement
Conflicts of Interest
Abbreviations
| ADRC | Active disturbance rejection control |
| EHSS | Electro-hydraulic servo system |
| EHSSs | Electro-hydraulic servo systems |
| QFT | Quantitative feedback theory |
| RAC | Robust adaptive control |
| RISE | Robust integral of the sign of the error |
| SMC | Sliding mode control |
| MFBB | Model-free black-box control |
| MBWB | Model-based white-box control |
| GBC | Grey-box control |
| ESO | Extended state observer |
| TD | Tracking differentiator |
| TEFC | Tracking error feedback control law |
| 2-DOF | Two degrees of freedom |
References
- Jin, K.; Song, J.; Li, Y.; Zhang, Z.; Zhou, H.; Chang, X. Linear active disturbance rejection control for the electro-hydraulic position servo system. Sci. Prog. 2021, 104, 1–30. [Google Scholar] [CrossRef]
- Sun, W.; Gao, H.; Kaynak, O. Vibration isolation for active suspensions with performance constraints and actuator saturation. IEEE/ASME Trans. Mechatronics 2014, 20, 675–683. [Google Scholar] [CrossRef]
- Koivum, J.; Mattila, J. Stability-guaranteed force-sensorless contact force/motion control of heavy-duty hydraulic manipulators. IEEE Trans. Robot. 2015, 31, 918–935. [Google Scholar] [CrossRef]
- Jacazio, G.; Balossini, G. Real-time loading actuator control for an advanced aerospace test rig. J. Syst. Control Eng. 2007, 221, 199–210. [Google Scholar] [CrossRef]
- Li, A.; Sun, B.; Yu, Y.; Xian, J. Design of Electric-Hydraulic Screw-down System for Horizontal Mill Stands of Flat Steel Continuous Hot Rolling Mills. CFHI Technol. 2016, 6, 27–30. [Google Scholar]
- Chen, Z.; Yuan, Y.; Yuan, X.; Huang, Y.; Li, X.; Li, W. Application of multi-objective controller to optimal tuning of PID gains for a hydraulic turbine regulating system using adaptive grid particle swam optimization. ISA Trans. 2015, 56, 173–187. [Google Scholar] [CrossRef] [PubMed]
- Park, J.; Lee, B.; Kang, S.; Kim, P.; Kim, H. Online learning control of hydraulic excavators based on echo-state networks. IEEE Trans. Autom. Sci. Eng. 2014, 14, 249–259. [Google Scholar] [CrossRef]
- Wang, Z.; Wang, J.; Zhang, Y.; Li, J.; Zhang, F.; Zhao, L. Active disturbance rejection synchronous control for both sides of hydraulic servo position system of rolling mill. Control Theory Appl. 2013, 30, 1062–1608. [Google Scholar]
- Li, Y.; Sun, M.; Wang, Z.; Chen, Z. Quantitative analysis of critical limitation in using extended state observer. Int. J. Control Autom. Syst. 2016, 14, 876–882. [Google Scholar] [CrossRef]
- Feng, H.; Guo, B. Active disturbance rejection control: Old and new results. Annu. Rev. Control 2017, 44, 238–248. [Google Scholar] [CrossRef]
- Deng, W.; Yao, J.; Ma, D. Robust adaptive precision motion control of hydraulic actuators with valve dead-zone compensation. ISA Trans. 2017, 70, 269–278. [Google Scholar] [CrossRef]
- Stosiak, M.; Karpenko, M.; Prentkovskis, O.; Deptuła, A.; Skackauskas, P. Research of vibrations effect on hydraulic valves in military vehicles. Def. Technol. 2023, 30, 111–125. [Google Scholar] [CrossRef]
- Phan, V.; Ahn, K. Fault-tolerant control for an electro-hydraulic servo system with sensor fault compensation and disturbance rejection. Nonlinear Dyn. 2023, 111, 10131–10146. [Google Scholar] [CrossRef]
- Wang, Y.; Zhao, J.; Ding, H.; Zhang, H. Output feedback control of electro-hydraulic asymmetric cylinder system with disturbances rejection. J. Frankl. Inst. 2020, 358, 1839–1859. [Google Scholar] [CrossRef]
- Feng, L.; Yan, H. Nonlinear Adaptive Robust Control of the Electro-Hydraulic Servo System. Appl. Sci. 2020, 10, 4944. [Google Scholar] [CrossRef]
- Won, D.; Kim, W.; Tomizuka, M. Nonlinear Control with High-Gain Extended State Observer for Position Tracking of Electro-Hydraulic Systems. IEEE/ASME Trans. Mechatronics 2020, 25, 2610–2621. [Google Scholar] [CrossRef]
- Yao, J.; Yang, G.; Jiao, Z. High dynamic feedback linearization control of hydraulic actuators with backstepping. J. Syst. Control Eng. 2015, 229, 728–737. [Google Scholar] [CrossRef]
- Kim, W.; Won, D.; Tomizuka, M. Flatness-Based Nonlinear Control for Position Tracking of Electrohydraulic Systems. IEEE/ASME Trans. Mechatronics 2014, 20, 197–206. [Google Scholar] [CrossRef]
- Wang, C.; Jiao, Z.; Quan, L. Nonlinear robust dual-loop control for electro-hydraulic load simulator. ISA Trans. 2015, 59, 280–289. [Google Scholar] [CrossRef]
- Yao, J.; Deng, W.; Jiao, Z. Adaptive control of hydraulic actuators with LuGre model-based friction compensation. IEEE Trans. Ind. Electron. 2015, 62, 6469–6477. [Google Scholar] [CrossRef]
- Kaddissi, C.; Kenne, J.; Saad, M. Indirect adaptive control of an electro-hydraulic servo system based on nonlinear backstepping. IEEE/ASME Trans. Mechatronics 2010, 16, 1171–1177. [Google Scholar] [CrossRef]
- Bury, P.; Stosiak, M.; Urbanowicz, K.; Kodura, A.; Kubrak, M.; Malesinska, A. A Case Study of Open- and Closed-Loop Control of Hydrostatic Transmission with Proportional Valve Start-Up Process. Energies 2022, 15, 1860. [Google Scholar] [CrossRef]
- Yang, G.; Yao, J.; Le, G.; Ma, D. Adaptive integral robust control of hydraulic systems with asymptotic tracking. Mechatronics Sci. Intell. Mach. 2016, 40, 78–86. [Google Scholar] [CrossRef]
- Deng, W.; Yao, J. Adaptive integral robust control and application to electromechanical servo systems. ISA Trans. 2017, 67, 256–265. [Google Scholar] [CrossRef] [PubMed]
- Hong, F.; Ge, S.; Ren, B.; Lee, T. Robust adaptive control for a class of uncertain strict-feedback nonlinear systems. Int. J. Robust Nonlinear Control 2009, 19, 746–767. [Google Scholar] [CrossRef]
- Xian, B.; Dawson, D.; De, Q.; Marcio, S.; Chen, J. A Continuous Asymptotic Tracking Control Strategy for Uncertain Nonlinear Systems. IEEE Trans. Autom. Control 2004, 49, 1206–1211. [Google Scholar] [CrossRef]
- Patre, P.; MacKunis, W.; Makkar, C.; Dixon, W. Asymptotic tracking for systems with structured and unstructured uncertainties. IEEE Trans. Control Syst. Technol. 2008, 16, 373–379. [Google Scholar] [CrossRef]
- Patre, P.; MacKunis, W.; Dupree, K.; Dixon, W. Modular Adaptive Control of Uncertain Euler–Lagrange Systems with Additive Disturbances. IEEE Trans. Autom. Control 2011, 56, 155–160. [Google Scholar] [CrossRef]
- Yao, J.; Deng, W.; Jiao, Z. RISE-based adaptive control of hydraulic systems with asymptotic tracking. IEEE Trans. Autom. Sci. Eng. 2017, 14, 1524–1531. [Google Scholar] [CrossRef]
- Yao, J.; Jiao, Z.; Ma, D. Adaptive robust control of DC motors with extended state observer. IEEE Trans. Ind. Electron. 2014, 16, 3630–3637. [Google Scholar] [CrossRef]
- Gao, Z. Scaling and bandwidth-parameterization based controller tuning. In Proceeding of the 2003 American Control Conference, Denver, CO, USA, 4–6 June 2003; pp. 4989–4996. [Google Scholar]
- Xue, W.; Huang, Y. Performance analysis of 2-DOF tracking control for a class of nonlinear uncertain systems with discontinuous disturbances. Int. J. Robust Nonlinear Control 2018, 28, 1456–1473. [Google Scholar] [CrossRef]
- Shi, G.; Wu, Z.; Guo, J.; Li, D.; Ding, Y. Superheated Steam Temperature Control Based on a Hybrid Active Disturbance Rejection Control. Energies 2020, 13, 1757. [Google Scholar] [CrossRef]
- Sun, L.; Hua, Q.; Shen, J.; Xue, Y.; Li, D.; Lee, K. Multi-objective optimization for advanced superheater steam temperature control in a 300 MW power plant. Appl. Energy 2017, 208, 592–606. [Google Scholar] [CrossRef]
- Wang, L.; Zhao, D.; Liu, F.; Liu, Q.; Zhang, Z. Linear active disturbance rejection control for a class of electro-hydraulic position servo system with light load. Control Theory Appl. 2021, 38, 503–515. [Google Scholar]
- Zheng, J.; Zhao, S.; Wei, S. Application of self-tuning fuzzy PID controller for a SRM direct drive volume control hydraulic press. Control Eng. Pract. 2009, 17, 1398–1404. [Google Scholar] [CrossRef]
- Peng, H.; Wang, J.; Shen, W.; Li, D. Double Fuzzy Control with Compensating Factor for Electronic-hydraulic Servovalve-controlled System. J. Mech. Eng. 2017, 53, 184–192. [Google Scholar] [CrossRef]
- Yu, L.; Zheng, J.; Yuan, Q.; Xiao, J.; Li, Y. Fuzzy PID control for direct drive electro-hydraulic position servo system. In Proceedings of the IEEE 2011 International Conference on Consumer Electronics, Communications and Networks, Xianning, China, 16–18 April 2011; pp. 370–373. [Google Scholar]
- Huang, Y.; Xue, W. Active disturbance rejection control: Methodology, applications and theoretical analysis. J. Syst. Sci. Math. Sci. 2012, 32, 1287–1307. [Google Scholar] [CrossRef] [PubMed]
- Mohanty, A.; Yao, B. Integrated direct/indirect adaptive robust control of hydraulic manipulators with valve deadband. IEEE/ASME Trans. Mechatronics 2011, 16, 707–715. [Google Scholar] [CrossRef]
- Han, J. From PID to active disturbance rejection control. IEEE Trans. Ind. Electron. 2009, 56, 900–906. [Google Scholar] [CrossRef]
- Li, S.; Xue, W.; Li, D.; Zhu, H.; Su, Z. Quantitative Tuning of Active Disturbance Rejection Controller for FOPTD Model with Application to Power Plant Control. IEEE Trans. Ind. Electron. 2022, 69, 805–815. [Google Scholar]
- Kumar, P.; Beig, A.; Bhaskar, D.; Jaafari, K.; Behera, R. An Enhanced Linear Active Disturbance Rejection Controller for High Performance PMBLDCM Drive Considering Iron Loss. IEEE Trans. Power Electron. 2021, 36, 14087–14097. [Google Scholar] [CrossRef]
- Mehedi, I.; Mansouri, R.; Al-Saggaf, U.; Iskanderani, A.; Bettayeb, M.; Aljohani, A. Fractional Order Linear Active Disturbance Rejection Control for Linear Flexible Joint System. Comput. Contin. 2021, 70, 5133–5142. [Google Scholar] [CrossRef]
- Tatsumi, J.; Gao, Z. On the enhanced ADRC design with a low observer bandwidth. In Proceedings of the 32nd Chinese Control Conference, Xi’an, China, 26–28 July 2013; pp. 297–302. [Google Scholar]
- Tian, G.; Gao, Z. Frequency response analysis of active disturbance rejection based control system. In Proceedings of the 2007 IEEE International Conference on Control Applications, Singapore, 1–3 October 2007. [Google Scholar]
- Yuan, D.; Ma, X.; Zeng, Q.; Qiu, X. Research on frequency-band characteristics and parameters configuration of linear active disturbance rejection control for second-order systems. Control Theory Appl. 2013, 30, 1630–1640. [Google Scholar]
- Jin, H.; Zhang, R.; Wang, L.; Gao, Z. Root locus analysis on parameter tuning robustness of linear active disturbance rejection control. Control Theory Appl. 2018, 35, 1648–1653. [Google Scholar]
- Zhang, C.; Zhu, J.; Gao, Y. Order and parameter selections for active disturbance rejection controller. Control Theory Appl. 2014, 31, 1480–1485. [Google Scholar]
- Fu, C.; Tan, W. Tuning of linear ADRC with known plant information. ISA Trans. 2016, 65, 384–393. [Google Scholar] [CrossRef]
- Liu, K.; He, J.; Luo, Z.; Shen, X.; Liu, X.; Lu, T. Secondary Frequency Control of Isolated Microgrid Based on LADRC. IEEE Access 2019, 7, 53454–53462. [Google Scholar] [CrossRef]
- Manring, N.; Fales, R. Hydraulic Control Systems, 2nd ed.; Wiley: Hoboken, NJ, USA, 2019; pp. 154–176. [Google Scholar]
- Wang, C.; Quan, L.; Zhang, S.; Meng, H.; Lan, Y. Reduced-order model based active disturbance rejection control of hydraulic servo system with singular value perturbation theory. ISA Trans. 2017, 67, 455–465. [Google Scholar] [CrossRef] [PubMed]
- Wang, L.; Zhao, D.; Liu, F.; Liu, Q.; Zhang, Z. ADRC for Electro-hydraulic Position Servo Systems Based on Dead-zone Compensation. China Mech. Eng. 2021, 32, 1432–1442. [Google Scholar]
- He, T.; Wu, Z.; Li, D.; Wang, J. A Tuning Method of Active Disturbance Rejection Control for a Class of High-order Processes. IEEE Trans. Ind. Electron. 2020, 67, 3191–3201. [Google Scholar] [CrossRef]
- Han, J. Active Disturbance Rejection Control Technique—The Technique for Estimating and Compensating the Uncertainties, 1st ed.; National Defense Industry Press: Beijing, China, 2008; pp. 243–280. [Google Scholar]
- Gao, F.; Chen, W.; Wu, M.; She, S. Robust H∞ control of uncertain singular systems based on equivalent-input-disturbance approach. Asian J. Control 2020, 22, 2071–2079. [Google Scholar] [CrossRef]
- Li, G.; Liu, W.; Han, W.; Guo, B.; Li, Y. Research on structure decoupling of passive electro-hydraulic force servo system. Adv. Mech. Eng. 2018, 10, 1–11. [Google Scholar] [CrossRef]
- Zheng, Q.; Chen, Z.; Gao, Z. A practical approach to disturbance decoupling control. Control Eng. Pract. 2009, 17, 1016–1025. [Google Scholar] [CrossRef]
- Houpis, C. Quantitative Feedback Theory: Fundamentals and Applications. Automatica 2001, 37, 632–634. [Google Scholar]
- Kluwer, O. Quantitative Feedback Design of Linear and Nonlinear Control Systems, 1st ed.; Kluwer Academic Publishers: Norwell, MA, USA, 1999; pp. 125–179. [Google Scholar]
- Yao, J.; Jiao, Z.; Yao, B.; Shang, Y.; Dong, W. Nonlinear Adaptive Robust Force Control of Hydraulic Load Simulator. Chin. J. Aeronaut. 2012, 25, 766–775. [Google Scholar] [CrossRef]












| Symbol | Nominal | Range |
|---|---|---|
| - | ||
| 0.89 | - | |
| 0.45 | - | |
| 0.7 | - | |
| 0.4 | - | |
| - | ||
| 30 | - | |
| 0 | - | |
| 29.84 | - | |
| 0.23 | - |
| Element | Type | Marks |
|---|---|---|
| Computer | Vostro 3460 | Dell, Austin, TX, USA |
| Servo value | 4WRPH10C3B100L | Rexroth, Stuttgart, Germany |
| Pressure sensor | US175-C00002-200BG | MEAS, Richmond, VA, USA |
| Displacement sensor | LS628C | Heidenhain, Bavaria, Germany |
| Counter card | IK-220 | Heidenhain, Bavaria, Germany |
| A/D card | PCI-1716 | Advantech, Taiwan, China |
| D/A card | PCI-1723 | Advantech, Taiwan, China |
Disclaimer/Publisher’s Note: The statements, opinions and data contained in all publications are solely those of the individual author(s) and contributor(s) and not of MDPI and/or the editor(s). MDPI and/or the editor(s) disclaim responsibility for any injury to people or property resulting from any ideas, methods, instructions or products referred to in the content. |
© 2024 by the authors. Licensee MDPI, Basel, Switzerland. This article is an open access article distributed under the terms and conditions of the Creative Commons Attribution (CC BY) license (https://creativecommons.org/licenses/by/4.0/).
Share and Cite
Zhang, J.; Lu, B.; Chen, C.; Li, Z. A New Active Disturbance Rejection Control Tuning Method for High-Order Electro-Hydraulic Servo Systems. Actuators 2024, 13, 296. https://doi.org/10.3390/act13080296
Zhang J, Lu B, Chen C, Li Z. A New Active Disturbance Rejection Control Tuning Method for High-Order Electro-Hydraulic Servo Systems. Actuators. 2024; 13(8):296. https://doi.org/10.3390/act13080296
Chicago/Turabian StyleZhang, Junli, Baochun Lu, Chuanjun Chen, and Zhengyang Li. 2024. "A New Active Disturbance Rejection Control Tuning Method for High-Order Electro-Hydraulic Servo Systems" Actuators 13, no. 8: 296. https://doi.org/10.3390/act13080296
APA StyleZhang, J., Lu, B., Chen, C., & Li, Z. (2024). A New Active Disturbance Rejection Control Tuning Method for High-Order Electro-Hydraulic Servo Systems. Actuators, 13(8), 296. https://doi.org/10.3390/act13080296

