Abstract
Considering the effect of icing on aircraft control performance, this paper proposes an adaptive dynamic inverse ice tolerance control method based on piecewise constant. A control allocation algorithm is introduced to compensate for the change of control surface performance caused by icing. This method can achieve satisfactory disturbance estimation accuracy under a given sampling time, and thus ensure a closed-loop system error within an acceptable range. The proposed design method is applied to the design of a flight control law for a transport aircraft, aiming to solve the problem of ice-tolerant flight control, reduce the influence of icing conditions on controllability and safe flight of the transport aircraft, and thus improve the flight quality of the transport aircraft. The simulation results are verified under the influence of both standby ice type and failure ice type, and the interference effect on aircraft aerodynamic parameters is further added. The simulation results show that adaptive dynamic inverse control based on piecewise constant can overcome the influence caused by icing and aerodynamic parameter interference, achieve accurate tracking of command, and provide excellent fault tolerance and robustness, which ensures that the transport aircraft can achieve the desired control performance and safe flight capability.
1. Introduction
When aircraft fly in icy weather conditions, supercooled water droplets from clouds hit the surface of the aircraft, causing ice to form. Icing is an important factor endangering the flight safety of aircraft, and flight accidents caused by icing often occur. Since the 1920s, the harm of aircraft icing has attracted wide attention [1,2]. Over time, there has been a growing understanding of the hazards of aircraft icing and the changes in aircraft performance after icing. The impact of icing on aircraft flight performance is multifaceted, and all windward-facing components may be affected whenever the aircraft is in icing conditions. In general, the location, type and degree of icing will have varying degrees of impact on the flight performance of the aircraft. When the lift surface of the wing and tail is frozen, the flow line of the airfoil will change, leading to an increase in the frictional and differential pressure resistance of the airfoil and a corresponding increase in the drag coefficient. The flow field on the surface of the iced airfoil is destroyed, and the air flow is separated in advance, so the stall angle of attack of the aircraft after icing will be reduced [3,4]. The decrease of aircraft aerodynamic characteristics caused by icing results in a serious decrease of aircraft flight performance, which affects the performance of aircraft at various stages such as take-off, climb, cruise, approach and landing, and complicates aircraft control [5,6].
At present, many scholars have performed in-depth research on the icing characteristics of aircraft by using numerical simulation methods, and have achieved fruitful results. C.D. MacArthur [7] proposed a mathematical model for calculating the growth of frost and light ice on two-dimensional airfoils. V.H. Gray [8,9] studied the icing process of the NACA 65A004 airfoil, analyzed the aerodynamic performance of the airfoil with ice, and put forward an empirical formula for predicting the resistance generated by ice accumulation. Zhang Qiang et al. [10] used the Euler method to study the water drop collection coefficient of the ONERAM6 three-dimensional wing surface, extending the icing problem to the three-dimensional field. Tan Yan [11] used the Euler method to conduct numerical simulation of the icing process of a symmetrical wedge airfoil, adopted the Spalart-Allmaras (S-A) turbulence model to obtain the flow field results, and applied the Euler method to obtain the trajectory results of ice crystals and droplets. On this basis, ice morphology is obtained based on the Messinger model. Finally, the feasibility of this method is verified by NASA-NRC No. 139 test results.
How to improve the reliability and safety of aircraft under the influence of icing has always been a hot research issue. Therefore, many scholars have carried out in-depth research on icing diagnosis and ice volume control. Melody and Pokhariyal et al. used the established icing dynamics model to train neural networks to qualitatively detect and classify icing [12]. Hossain predicted the maximum lift coefficient of icing stall through the change of lift coefficient at small angles of attack, and developed the open loop and closed loop boundary protection control law based on model prediction [13]. Pokhariyal found that the hinge moment and root mean square of hinge moment reflect the effect of icing on the flow field of airfoil surface [14]. The degree of icing and the position of icing can be estimated by measuring the hinge moment of the rudder surface. According to the requirements of civil aircraft flight safety design and airworthiness certification, Binbin Zhao refined the wing aerodynamic optimization design strategy considering icing loss, and formed the design idea of an ice protection control system based on flight control law reconstruction [15]. By combining feedback linearization theory and fuzzy control principles, Liangyu Wang designed a longitudinal control law under icing conditions, improved the anti-jamming ability of the controller, and made the aircraft have a certain ice-containing flight ability [16]. Boundary protection and incremental stability control law design is generally based on online ice severity coefficient identification [16,17,18]. However, research on the correlation of icing severity coefficient has not been fully carried out, and the identification process requires specific input excitation and recursive calculation, which has great limitations in practical application [19].
Currently, control of iced aircraft using Nonlinear Dynamic Inversion (NDI) is a viable option. NDI is a classical nonlinear control method. The inversion strategy is adopted to eliminate the nonlinearity of the system model and the coupling effect between channels, so as to ensure the desired dynamic response of the system [20]. When the nonlinear dynamics of the aircraft are fully known, the NDI controller can cover the entire flight envelope. There is no need for complex gain adjustment or transition between controllers during the design process, which has the advantages of significantly reducing cost and shortening development cycle, and more [21]. However, due to various constraints, it is difficult to obtain accurate aerodynamic data in practical engineering, resulting in the failure of NDI controllers to accurately eliminate the nonlinear part of aircraft dynamics, which reduces control performance. Many scholars have improved the method, aiming to retain the excellent characteristics of NDI control while reducing the dependence on accurate models to improve robustness [22,23]. In this, the incorporation of adaptive control strategies into the NDI control system proved to be an effective approach, and this type of improvement is known as adaptive dynamic inverse (adaptive NDI, ANDI) [24]. The adaptive algorithm determines the influence of uncertainty and disturbance on the system through the estimation of dynamic error, and then the controller corrects the system according to the estimated influence parameters [25]. At present, the research on adaptive control theory and application is relatively mature [26,27], and typical adaptive algorithms include neural network adaptive [28] and L1 adaptive [29], etc.
In order to overcome the sensitivity of the dynamic inverse method to parameter disturbance, this paper proposes an adaptive dynamic inverse control strategy based on piecewise constant. A control allocation algorithm is introduced to redistribute the deflection of the control surface to achieve the desired control effect. An adaptive law design based on piecewise constant can simultaneously guarantee semi-global consistent boundedness of the input and output signals of the system. The design ensures the consistency of the transient response of the closed-loop system while maintaining steady-state tracking. Meanwhile, the research object of this paper is a multi-control surface aircraft, so the integration of control allocation into the piecewise constant adaptive law provides a new design scheme and solution for the reconfiguration of the flight control system. Due to modeling error, parameter perturbation, noise and other reasons, the traditional design method has some problems in the reconfiguration of flight control system, such as low practicability, poor real-time performance and weak robustness, etc. In aircraft with multi-control surfaces, the modular control allocation system reconfiguration process does not need to adjust the control law because of greater control redundancy, so it can choose a control reconfiguration mode under various faults, showing its superiority.
The main contributions of our work are as follows:
- The aerodynamic characteristics of icing aircraft were analyzed, the aerodynamic data of the aircraft under different ice types were obtained, and a six-degrees-of-freedom model of the aircraft was constructed.
- Based on the adaptive law of piecewise constant, an adaptive dynamic inverse ice tolerance control method is designed to compensate and offset the aerodynamic parameter changes caused by icing.
- A control allocation algorithm is designed according to the degree of icing so that the changes of helm effect caused by icing can be reasonably allocated to different control surfaces.
This paper is arranged as follows: In Section 2, the aerodynamic parameters of the aircraft under different ice types are obtained, and the mathematical model of the aircraft is established; in Section 3, an ice tolerance control method based on piecewise constant adaptive dynamic inverse is designed, and the detailed steps of the algorithm are given; in Section 4, simulation experiments are used to evaluate the control performance of angular rate and flow angle loops under different ice types and external disturbances. Finally, the conclusion of this paper is given in Section 5.
2. Research Object Nonlinear Model
2.1. Aerodynamic Data of Icing Aircraft
The research object of this paper is a transport plane. In order to obtain the aerodynamic data of the aircraft after icing, combined with the icing meteorological conditions and the flight stage of the aircraft, typical icing meteorological conditions were selected to carry out icing characteristics calculations and an icing wind tunnel test, and three sets of typical ice shapes were obtained, which were defined as ice type A, ice type B and ice type C, respectively. Each set of ice types includes wing ice type, vertical ice type and tail ice type. Ice type A (red) is standby ice type, which poses a serious threat to safe flight due to its long icing time and large amount of ice accumulation; ice type B (green) is failure ice type which is ice on the protective surface of the aircraft after the failure of the ice protection system; and ice type C (yellow) is delayed ice type, which is icing on the surface of the aircraft before the aircraft anti-icing system can perform its function properly. Ice type profile is shown in Figure 1.
Figure 1.
Typical ice profile. (a) Typical ice profile of the wing; (b) typical ice profile of flat tail; (c) typical ice profile of vertical tail.
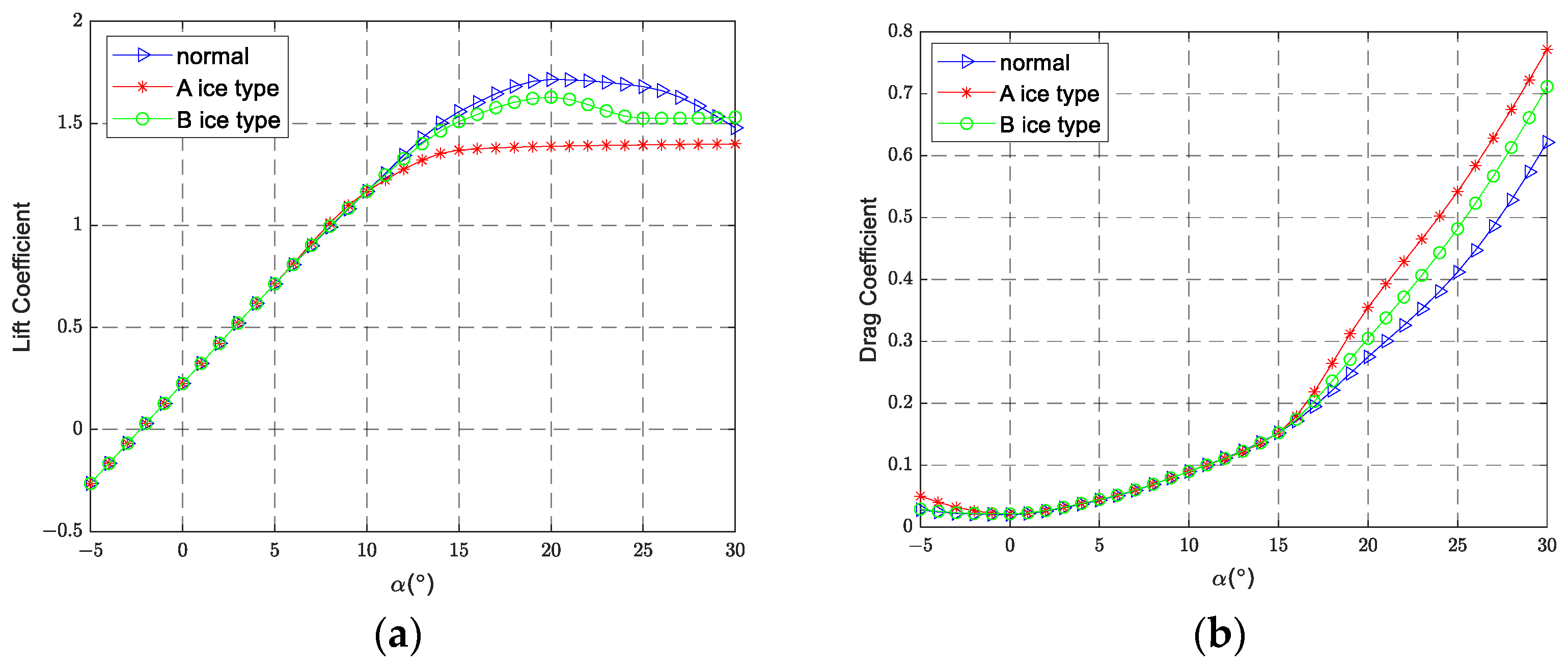
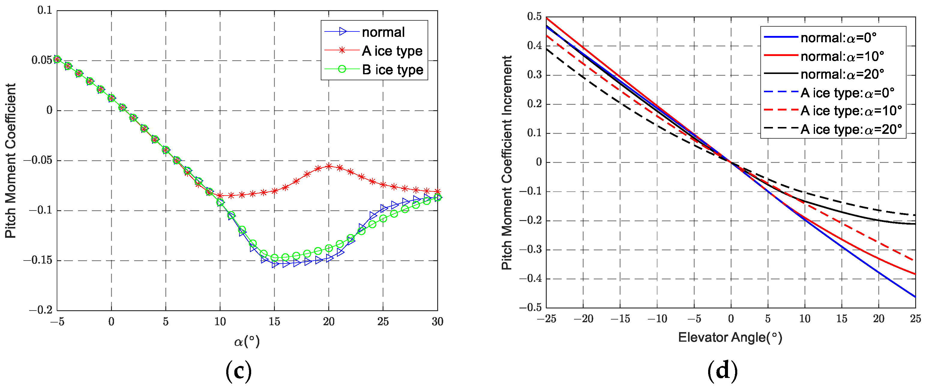
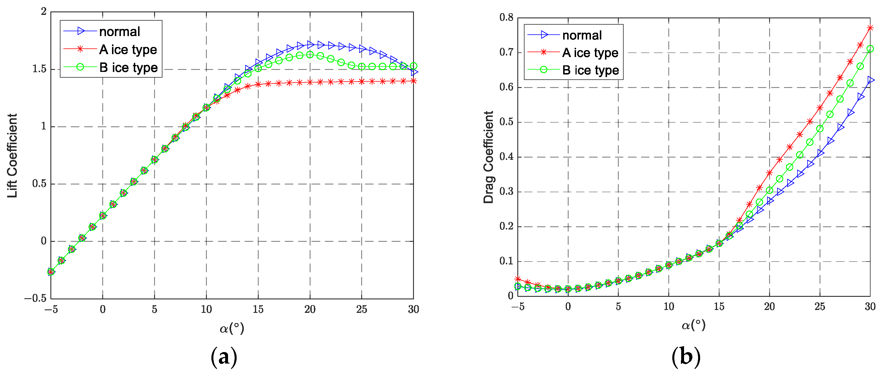
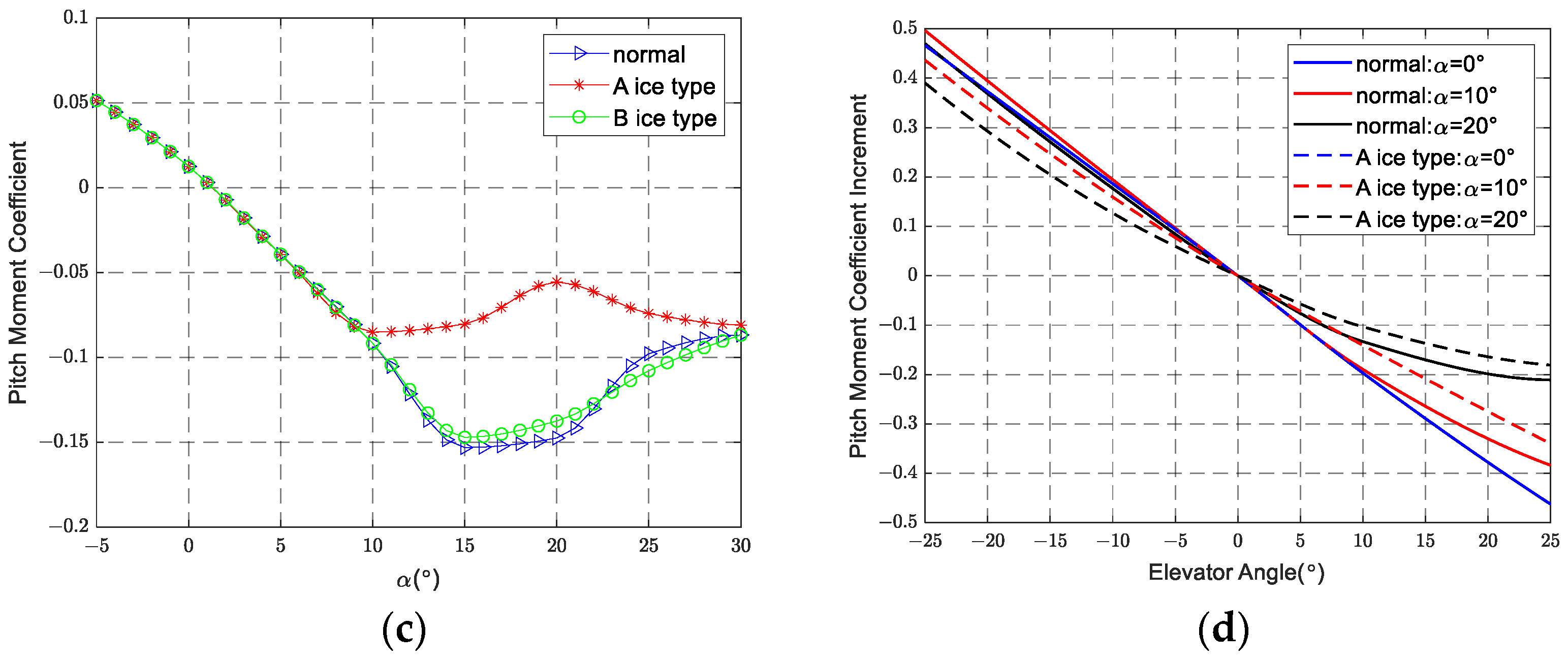
Finally, a database of reliable aerodynamics for the icing aircraft is obtained through evaluation of aerodynamic characteristics and aerodynamic wind tunnel test with simulated ice type. Figure 2 shows the variation curves of lift coefficient, drag coefficient and elevator control efficiency with angle of attack under different ice types in cruise configuration.

Figure 2.
Aerodynamic curves of different ice types in cruising configurations. (a) Lift coefficient curve; (b) drag coefficient curve; (c) pitch moment coefficient curve; (d) increment of pitch moment coefficient from elevator deflection.
Through the analysis of the longitudinal data of the icing aircraft, it can be seen that: In the cruising configuration, when the angle of attack is less than 12°, A and B ice types have little influence on the lift characteristics of the aircraft. But with the increase of the angle of attack, A-type ice causes the stall angle of attack to advance about 7°, the maximum lift coefficient to decrease by about 0.4, and the inflection point of pitching moment to advance about 6°. when the angle of attack of B-type ice is greater than 15°, the slope of lift coefficient decreases noticeably, the maximum lift coefficient decreases by about 0.1, and the stall angle of attack and the inflection point of pitch moment do not change significantly.
2.2. Aircraft Dynamics Model
In this section, according to the aerodynamic data of icing aircraft in Section 2.1, the aerodynamic force and aerodynamic torque can be obtained, and then the dynamics model of the aircraft can be established. Choose the aircraft angular rate as the state quantity, namely ; select the elevator, aileron and rudder as the steering surfaces, namely . The dynamical equation of centroid rotation can be expressed as follows:
where:
represents the moment of inertia matrix;
, , and are the three-axis moment of inertia;
represents product of inertia;
is the three-axis torque vector; is the rolling torque; is the pitching torque; is the yawing torque.
For icing conditions, the torque can be divided into the following three parts:
The first part represents the torque of the aircraft under normal conditions, which can be obtained by off-line modeling and is fully known; the second part shows the change of aircraft aerodynamic torque caused by icing; the last part is the modeling error in practice and the torque caused by unmodeled dynamics.
Further, the fully known torque of the first part can be divided into two parts. One part is related to aerodynamic parameters and aircraft state, denoted as ; the other part is related to the manipulation derivative, denoted as , specifically as follows:
where is the dynamic pressure; represents the wing area; represents the spread length; and represents the average aerodynamic chord length.
Suppose that the angular velocity of the aircraft in the three axis directions of the air flow axis system is , and the component of the three axes in the track coordinate system is . Then the relationship between and is:
where and respectively represent the angle of attack and sideslip angle.
And there is the following relationship between and :
where and represent track inclination angle and track azimuth angle respectively.
In Formulas (6) and (7), the transformation matrixes from the track system to the air flow system and the aircraft system to the air flow system are:
The differential equations for , and can be obtained from the above equations as follows:
According to the dynamic relationship of track angle, the above formula can be simplified as follows:
where , and are the triaxial component of gravity in the track system.
In this section, the six-degrees-of-freedom mathematical models of the aircraft are completed, which lays the foundation for the design of the subsequent ice-tolerant control law. In the following part, based on the constructed mathematical model, the ANDI control method based on piecewise constant will be used to design an ice-tolerant controller.
3. ANDI Ice Tolerance Control Based on Piecewise Constant
3.1. ANDI Control Method of Piecewise Constant
Considering that ANDI control requires the number of system inputs to be no less than the number of states , the established model is organized into the following nonlinear system form.
where:
is the state vector of the system;
is the control input vector of the system;
is the nonlinear dynamic matrix of the system, which is generally independent of the control input;
is the control input distribution matrix of the system;
is the output matrix of the system;
is the disturbance vector of the system, including model uncertainty, external disturbance, etc.
In order to achieve the control objective, the assumptions about the controlled object, model uncertainty and external interference are given as follows:
Assumption 1.
The system control matrix is a row full rank matrix, namely . In this case, the inverse (pseudo-inverse) of the control matrix must exist.
Assumption 2.
The perturbation satisfies zero state bounded, there are normal numbers , and the perturbation satisfies the following condition: There exists a positive constant such that the zero state perturbation satisfies at any moment.
Assumption 3.
For any , there exists . It is satisfied for all at any moment as follows:
ANDI adaptive control architectures with piecewise constants still include control objects, control laws, state predictors and adaptive laws.
- Control law design
The control law is designed by the nonlinear dynamic inverse method, and the control signal obtained by inverting the controlled object is as follows:
where:
is the estimated value of interference , estimated by the adaptive law;
is the virtual control input, representing the desired dynamics of the state, which can be determined by the following formula:
where:
is the frequency bandwidth;
is the expected output.
- 2.
- State predictor
The state predictor provides a reference for the system. The specific design is as follows:
where:
represents the Hurwitz matrix, which is the system’s state matrix;
and are the state and output of the state predictor, respectively.
- 3.
- Adaptive law based on piecewise constant
The design of the adaptive law based on piecewise constant is as follows:
where is the sampling period, and is the prediction error.
It can be seen from the piecewise constant adaptive law that the estimation accuracy and tracking error can be improved by shortening the sampling time.
3.2. Performance Analysis of Closed Loop System
This section mainly analyzes the performance of the ANDI control system designed in Section 3.1. From Equations (13) and (17), the dynamic equation of prediction error between the state predictor and the system can be obtained as follows:
where represents the estimation error of the adaptive law. For the sake of simplicity, will be abbreviated as in the subsequent analysis and proof process.
If the time changes from to , then the closed-loop solution of the error (21) can be derived as follows:
Within the sampling interval , under the action of the adaptive law of piecewise constants, the prediction error further becomes:
Since the perturbation satisfies Assumption 2 and Assumption 3, and there exists for , it follows that:
where , , and is the maximum value of .
Within the range of , the 2-norm of the prediction error can be expressed as:
where the maximum value in the sampling period can be expressed as:
Therefore,
When the sampling time approaches zero, then the following limit holds:
Therefore, for all , it can be deduced that the piecewise constant adaptive law (18) can guarantee the stability of the closed loop system at each time interval when there is a disturbance in the system. Thus, in the whole process, it can be clearly seen that reducing the sampling interval can effectively improve the estimation accuracy of the piecewise constant adaptive law from the derivation result (31).
3.3. Design of Piecewise Constant ANDI Ice Tolerance Controller with Control Allocation
Based on the ANDI control method introduced in Section 3.1, a control law of angular velocity loop and airflow angle loop is designed in this section, and a control allocation algorithm is introduced to improve the control performance of the system.
3.3.1. Angular Velocity Loop Control Law Design
For the angular velocity loop, a fault-tolerant controller based on piecewise constant adaptive control is designed to improve the robustness of the icing aircraft. The angular velocity differential of the aircraft can be written in the following form:
where represents the angular velocity of the aircraft, and represents the control input vector consisting of left and right elevators, left and right ailerons, and rudder. and represent the nonlinear dynamic term related to the state variable and the control input matrix related to the control variable, respectively. The specific expression is as follows:
where:
is the moment of inertia matrix, is the dynamic pressure, is the wing area;
, , , , and are the handling derivatives of the triaxial force and moment with respect to each helm surface;
, and is the set of torque coefficients of roll, pitch and yaw that are independent of helm surface deflection.
With reference to the ANDI control method based on piecewise constant, the angular velocity control law is designed as shown in Equation (41):
where , and the estimator of the disturbance is given by the adaptive law error estimation.
The design of the state observer is shown in Equation (43):
where , and respectively represent the state of the state observer; .
The design of the adaptive law based on piecewise constants is shown in Equation (44):
where and expressions are shown in Equations (19) and (20); .
The automatic throttle controller adopts the PI control method in its design, which changes the throttle opening through the error of speed response, so as to complete the control of the aircraft. The automatic throttle controller is designed as follows:
where is the normal throttle opening, and the parameters of PI control are: , ; throttle position limited at .
3.3.2. Control Allocation Design of Angular Velocity Loop
The control allocation problem of the angular velocity loop of the flight control system is described as follows: Suppose that the output value of the aircraft’s helm surface is . For a given virtual control quantity and control input to the virtual control quantity mapping relationship , there is the indefinite equation which makes meet the desired performance index. The whole control allocation problem should satisfy the form:
where is a control efficiency matrix of rank equal to 3.
This follows from the ANDI control law for the angular velocity loop:
If , then Equation (47) morphs into:
By contrast with Equations (46) and (48), the ANDI of the angular velocity loop has the same form as the control assignment problem after deformation. It can be seen that ANDI and control allocation can be closely combined, which means that various methods and conclusions in control allocation theory are still applicable in the design of an ANDI control law based on piecewise constants. Combining the weighted pseudo-inverse method with the angular velocity loop ANDI, the ANDI fault-tolerant controller with control assignment is obtained as follows:
The weight matrix is the unit matrix when the aircraft is normal. The coefficients of the weight matrix are re-valued when the aircraft experiences icing: the elevator is affected by a decrease in helm efficiency, and the ailerons need to be weighted up to achieve the desired control effect. Then, .
The above is the design of the piecewise constant ANDI angular velocity fault-tolerant controller with control allocation. The overall structure is shown in Figure 3 below:
Figure 3.
Structure frame of ANDI angular velocity control based on piecewise constant.
3.3.3. Design of Airflow Angle Loop Control Law
The adaptive dynamic inverse control of aircraft flow angle loop takes the aircraft’s angle of attack, sideslip angle and track roll angle as the control variables. The differential of the airflow angle of an aircraft can be written in the following form:
where represents the nonlinear coupling force; represents the kinematic relationship between and ; represents the control force generated by the helm surface; And , , . The expressions of , and in Equation (51) are as follows:
The lift force and side force received by the aircraft contain terms related to the angular rate , and ,which are separated as follows:
Thus,
From the above representation, it can see that is a square matrix of third order related to , which is non-singular as long as or . Therefore, the inverse matrix of needs to be guaranteed to exist in actual flight. The influence of the diagonal loop variable on control surface deflection is much smaller than that of the diagonal velocity loop variable, and the non-minimum phase problem needs to be avoided. Therefore, when constructing the control law, the influence of the control force generated by the deflection of the control surface on the flow angle is usually ignored; namely, the in Equation (61) is ignored.
Also, with reference to the ANDI control method based on Piecewise constant, the airflow angle loop control law is designed as shown in the following equation:
The estimator of the disturbance is given by the error estimation of the adaptive law; .
The design of the state observer is shown in Equation (65):
where , and respectively represent the state of the state observer; .
The design of the adaptive law based on piecewise constants is shown in Equation (66):
The above is the design of an ANDI flow angle loop fault-tolerant controller based on piecewise constant. The overall structure is shown in Figure 4:
Figure 4.
Structural framework of ANDI airflow angle control with piecewise constant.
4. Simulation Analysis
In this section, the robustness and control performance of the piecewise constant ANDI fault-tolerant controller designed in this paper are verified under an icing fault environment, and the control method is compared with NDI.
In the simulation, the first order inertia link is used to simulate the dynamics of the steering gear. Table 1 details the bandwidth and limitations of the steering gear.
Table 1.
Bandwidth and limitations of steering gear.
The trim state of the aircraft at the beginning of the simulation is shown in Table 2.
Table 2.
Trim status of the aircraft.
4.1. Verification of Angular Velocity Loop Performance under the Influence of Icing
In navigation mode, the control performance and fault tolerance capability of the angular velocity loop ice tolerant controller under A and B ice interference are verified by simulation, given the pitch velocity command signal.
- Simulation results under A-type ice interference are shown in Figure 5.

Figure 5. Comparison of simulation results of A-type ice in navigation mode. (a) Pitch angle velocity; (b) pitch angle; (c) angle of attack; (d) rudder deflection; (e) left elevator deflection; (f) right elevator deflection; (g) left aileron deflection; (h) right aileron deflection.
From the comparison results, it can be seen that the dynamic influence of the angular velocity in icing conditions leads to errors in the existing aerodynamic data, which ultimately leads to the deterioration of the control performance of the NDI controller and the tracking error of the pitch angle velocity. In contrast, ANDI controllers based on piecewise constants can help the aircraft quickly return to a stable state so that it can still achieve the desired dynamic performance. Therefore, the designed fault-tolerant controller can still achieve the desired control performance and has a good fault-tolerant ability under icing conditions. At the same time, it can be seen from the figure that the convergence rate of the proposed ANDI control method based on piecewise constant is faster.
- 2.
- Simulation results under B-type ice interference are shown in Figure 6.
Figure 6. Comparison of simulation results in navigation mode under B-type ice. (a) Pitch angle velocity; (b) pitch angle; (c) elevator deflection; (d) angle of attack.
Since the aerodynamic B-type ice has little influence on aerodynamic data, the control performance of the two control methods is similar. However, it is still obvious from the comparison results that the piecewise constant ANDI control has the smallest steady-state error and the best rapidity.
4.2. Verification of Airflow Angle Circuit Performance under the Influence of Icing
In navigation mode, the control performance and fault tolerance capability of the airflow angle loop fault-tolerant controller under A- and B-type ice interference are simulated and verified.
- In navigation mode, the simulation results under A-type ice interference are shown in Figure 7.

Figure 7. Comparison of simulation results of A-type ice in navigation mode. (a) Angle of attack; (b) angle of pitch; (c) pitch angle speed; (d) rudder deflection; (e) left elevator deflection; (f) right elevator deflection; (g) left aileron deflection of simulation; (h) right aileron deflection.
It can be seen from the comparison results that the response of the airflow angle loop is similar to that of the angular velocity loop. The NDI controller cannot overcome the aerodynamic data error caused by icing, which leads to control performance degradation and angle of attack tracking error. However, an ANDI controller based on piecewise constant eliminates the negative interference caused by icing; the dynamic performance of aircraft angle of attack meets the expected requirements, and it has good control performance and robustness.
- 2.
- Simulation results under B-type ice interference are shown in Figure 8.
Figure 8. Comparison of simulation results of B-type ice in navigational mode. (a) Angle of attack; (b) angle of pitch; (c) elevator deflection; (d) pitch angle speed.
Because the aerodynamic B-type ice has little influence on aerodynamic data, the control performance of the two control methods is similar. However, the steady state error of the piecewise constant ANDI control is smaller and the convergence speed is faster.
It can be seen from the simulation results in Section 4.1 and Section 4.2 that the NDI control system fails and the aircraft dynamic performance deteriorates under the influence of A-type ice in severe icing conditions. Based on the above simulation under the influence of ice types A and B, the following conclusions can be drawn:
- The NDI controller relies on the accuracy of modeling data, and the uncertain interference caused by the change of aircraft aerodynamic parameters caused by icing is doomed to fail to ensure the normal flight of the aircraft;
- ANDI control based on piecewise constant can overcome the influence of icing on the static stability derivative, dynamic derivative and control derivative of the aircraft, ensuring that the dynamic characteristics of the aircraft meet expectations in the case of icing, and the response speed is fast, with good fault tolerance.
4.3. Performance Verification under Complex Interference
The above section verifies the robustness and control performance of ANDI control based on piecewise constant in the case of icing. In this section, the control performance of ANDI control based on piecewise constant is further verified in the complex case of aircraft aerodynamic parameter interference and icing interference. A 20% pull-off is applied to the lift coefficient, drag coefficient, and pitching moment coefficient of the icing aircraft to simulate disturbance to the aircraft model. The results of the angular velocity loop comparison simulation are shown in Figure 9.

Figure 9.
Comparison results of ANDI angular velocity controller with NDI and piecewise constant under complex interference. (a) Pitch angle velocity; (b) pitch angle; (c) angle of attack; (d) rudder deflection; (e) left elevator deflection; (f) right elevator deflection; (g) left aileron deflection; (h) right aileron deflection.
The simulation results of airflow angle loop comparison are shown in Figure 10.

Figure 10.
Comparison of airflow angle of ANDI controller with NDI and piecewise constant under complex interference. (a) Angle of attack; (b) angle of pitch; (c) pitch angle speed; (d) rudder deflection; (e) left elevator deflection; (f) right elevator deflection; (g) left aileron deflection; (h) right aileron deflection.
The simulation results show that ANDI with piecewise constant still has good control performance and robustness under the influence of icing, and it can quickly overcome the error of aerodynamic parameters. Therefore, the influence of error in the aircraft model can be suppressed by the designed piecewise constant ANDI controller, so as to achieve accurate tracking of the command signal.
The above simulation results show that the angular velocity and airflow angle controller designed by ANDI based on piecewise constant can still ensure the robustness and tracking performance of the closed-loop system in the presence of feedback signal interference.
5. Conclusions
In this paper, a fault-tolerant flight control system for transport aircraft under the influence of ice is deeply studied. The aerodynamic data of the iced aircraft obtained through CATIA simulation shows that the icing directly affects the aerodynamic characteristics of the aircraft, making the aircraft stall angle smaller, which has a greater impact on the control performance of the aircraft. Therefore, ANDI fault-tolerant flight control based on piecewise constant is studied in this paper, and the weighted pseudo-inverse control allocation method is introduced to improve the control performance of the system. The piecewise constant adaptive law can be used to estimate the influence of icing and interference with satisfactory accuracy, which enables the ANDI ice-tolerant controller to overcome the influence caused by icing and aerodynamic interference, and ensures the consistency of the flight performance of the aircraft under different state points.
In this paper, the ANDI control method is used to improve the ice tolerance control of the transport aircraft. Although some achievements have been made, this paper only considers the influence of ice in the cruise state. Considering the uncertainty and randomness of changes in aircraft aerodynamic parameters caused by icing, in subsequent research we will establish a more comprehensive aerodynamic data model of aircraft icing, discuss the influence of density, thickness and coverage of different ice types, and study the adaptive control of ice tolerance under complex icing conditions, to obtain a certain level of ice tolerance and fault tolerance in the entire flight envelope.
Author Contributions
Conceptualization, F.J. and X.L.; methodology, F.J.; software, F.J.; validation, F.J., X.L., T.C. and K.L.; formal analysis, F.J., X.L., T.C. and K.L.; investigation, F.J., X.L., T.C. and K.L.; resources, F.J., X.L., T.C. and K.L.; data curation, F.J. and X.L.; writing—original draft preparation, F.J.; writing—review and editing, F.J., X.L., T.C. and K.L.; visualization, F.J.; supervision, X.L.; project administration, F.J. All authors have read and agreed to the published version of the manuscript.
Funding
This research received no external funding.
Data Availability Statement
The data presented in this study are available on request from the corresponding author due to privacy.
Acknowledgments
This research is supported by the Key Laboratory of Flight Control Simulation Technology of China.
Conflicts of Interest
The authors declare no conflicts of interest.
References
- Hognadottir, S.; Gryte, K.; Hann, R.; Johansen, T.A. Inner-Loop Control of Fixed-Wing Unmanned Aerial Vehicles in Icing Conditions. In Proceedings of the AIAA SCITECH 2023 Forum, National Harbor, MD, USA, 23–27 January 2023. [Google Scholar]
- Tanaka, H.; Ahmad, T.; Utsumi, Y.; Yonemoto, S.; Ichikawa, G. Icing on full-scale swept wings in flight and icing wind tunnel. J. Aircr. 2022, 59, 1437–1449. [Google Scholar] [CrossRef]
- Milani, Z.R.; Matida, E.; Razavi, F.; Ronak Sultana, K.; Timothy Patterson, R.; Nichman, L.; Benmeddour, A.; Bala, K. Numerical Icing Simulations of Cylindrical Geometry and Comparisons to Flight Test Results. J. Aircr. 2024, 1–11. [Google Scholar] [CrossRef]
- Chen, W.J.; Zhang, D.L. Numerical Simulation of Ice Accretion on Airfoils. J. Aerosp. Power 2005, 59, 1437–1449. [Google Scholar]
- Rabiei, B.A.; Kim, Y.S.; Myong, R.S. Adaptive Robust Servo LQR control of aircraft in icing condition. In Proceedings of the AIAA SCITECH 2023 Forum, National Harbor, MD, USA, 23–27 January 2023. [Google Scholar]
- Sirianni, G.A.; Bellosta, T.; Re, B.; Guardone, A. Poly-dispersed Eulerian-Lagrangian particle tracking for in-flight icing applications. In Proceedings of the AIAA Aviation 2022 Forum, Chicago, IL, USA, 27 June–1 July 2022. [Google Scholar]
- Macarthur, C.D. Numerical simulation of airfoil ice accretion. In Proceedings of the 21st Aerospace Sciences Meeting, AIAA-1983-0112, Reno, NV, USA, 10–13 January 1983. [Google Scholar]
- Gray, V.H. Correlations among Ice Measurements, Impingement Rates, Icing Conditions, and Drag Coefficients for an Unswept NACA 65A004 Airfoil; NACA TN-4151; NASA: Washington, DC, USA, 1958.
- Gray, V.H. Prediction of Aerodynamic Penalties Caused by Ice Formations on Various Airfoils; NASA TND-2166; NASA: Washington, DC, USA, 1964.
- Zhang, Q.; Hu, L.; Cao, Y.H. Three-dimensional numerical simulation of supercooled droplets impinging on awing. J. Aircr. 2009, 24, 1345–1350. [Google Scholar]
- Tan, Y. Numerical Calculation of 2D Airfoil Ice Crestal Icing Based on Euler Method. Aerongine 2020, 46, 6. [Google Scholar]
- Melody, J.; Pokhariyal, D.; Merret, J.; Basar, T.; Perkins, W.; Bragg, M. Sensor integration for inflight icing characterization using neural networks. In Proceedings of the 39th Aerospace Sciences Meeting and Exhibit, Reno, NV, USA, 8–11 January 2001. [Google Scholar]
- Pokhariyal, D.; Bragg, M.; Hutchison, T.; Merret, J. Aircraft flight dynamics with simulated ice accretion. In Proceedings of the 39th Aerospace Sciences Meeting and Exhibit, Reno, NV, USA, 8–11 January 2001. [Google Scholar]
- Hossain, K.; Sharma, V.; Bragg, M.; Voulgaris, P. Envelope Protection and Control Adaptation in Icing Encounters. In Proceedings of the 41st Aerospace Sciences Meeting and Exhibit, Reno, NV, USA, 6–9 January 2003. [Google Scholar]
- Zhao, B.; Li, X.; Li, J.; Chen, H.; Ai, J. Research review on design method of ice protection system for civil aircraft based on ice-tolerant concept. J. Northwest. Polytech. Univ. 2021, 39, 731–738. [Google Scholar] [CrossRef]
- Ying, S.B.; Ai, J.L. Simulation of Aircraft Flight Envelope Protect in Icing Encounters Effects on Open Loop Dynamic. J. Syst. Simul. 2010, 22, 2273–2275. [Google Scholar]
- Zhang, Z.Y. Research on Iced Aircraft Flight Dynamics Characteristics and Envelope Protection Control Law. Master’s Thesis, Nanjing University of Aeronautics and Astronautics, Nanjing, China, 2006. [Google Scholar]
- Wang, L.Y.; Xu, H.J.; Li, Y.H.; Li, Z. Reconfigurable design method of flight control law under icing conditions. J. Beijing Univ. Aeronaut. Astronaut. 2019, 45, 606–613. [Google Scholar]
- Shaghoury, S.; Krstić, M.; Wise, K. Adaptive control of aircraft in icing using regulation-triggered batch least-squares identifier. J. Guid. Control Dyn. 2021, 44, 1721–1731. [Google Scholar] [CrossRef]
- Panish, L.; Nicholls, C.; Bacic, M. Nonlinear Dynamic Inversion Flight Control of a Tiltwing VTOL Aircraft. In Proceedings of the AIAA SCITECH 2023 Forum, National Harbor, MD, USA, 23–27 January 2023. [Google Scholar]
- Hastedt, P.; Theis, J.; Sedlmair, N.; Thielecke, F. Load factor control of a scaled flight test vehicle using nonlinear dynamic inversion. In Proceedings of the AIAA SCITECH 2022 Forum, San Diego, CA, USA, 3–7 January 2022. [Google Scholar]
- Kim, Y.; Kim, S.; Suk, J. Incremental Nonlinear Dynamic Inversion-based Fault-Tolerant Guidance for UAV. In Proceedings of the AIAA SCITECH 2024 Forum, Orlando, FL, USA, 8–12 January 2024. [Google Scholar]
- Kumtepe, Y.; Pollack, T.; Van Kampen, E.J. Flight control law design using hybrid incremental nonlinear dynamic inversion. In Proceedings of the AIAA SciTech 2022 Forum, San Diego, CA, USA, 3–7 January 2022. [Google Scholar]
- Harris, J.; Elliott, C.M.; Tallant, G.S. L1 adaptive nonlinear dynamic inversion control for the innovative control effectors aircraft. In Proceedings of the AIAA SCITECH 2022 Forum, San Diego, CA, USA, 3–7 January 2022. [Google Scholar]
- Smit, B.; Pollack, T.; Van Kampen, E.J. Adaptive incremental nonlinear dynamic inversion flight control for consistent handling qualities. In Proceedings of the AIAA SCITECH 2022 Forum, San Diego, CA, USA, 3–7 January 2022. [Google Scholar]
- Bichlmeier, M. An L1 adaptive output feedback controller using modified piecewise constant adaptation law. In Proceedings of the AIAA Guidance, Navigation, and Control Conference, Keystone, CO, USA, 21–24 August 2006. [Google Scholar]
- Ijaz, S.; Ijaz, H.; Hamayun, M.T.; Javaid, U. Active and passive fault tolerant control allocation strategy for nonlinear systems. J. Vib. Control 2023, 29, 3492–3515. [Google Scholar] [CrossRef]
- Xu, B.; Yang, C.; Shi, Z. Reinforcement learning output feedback NN control using deterministic learning technique. IEEE Trans Neural Netw. Learn. Syst. 2014, 25, 635–641. [Google Scholar] [PubMed]
- Haira, H.; Cao, C. L1 adaptive control theory. Chest 2010, 108, 1182–1183. [Google Scholar]
Disclaimer/Publisher’s Note: The statements, opinions and data contained in all publications are solely those of the individual author(s) and contributor(s) and not of MDPI and/or the editor(s). MDPI and/or the editor(s) disclaim responsibility for any injury to people or property resulting from any ideas, methods, instructions or products referred to in the content. |
© 2024 by the authors. Licensee MDPI, Basel, Switzerland. This article is an open access article distributed under the terms and conditions of the Creative Commons Attribution (CC BY) license (https://creativecommons.org/licenses/by/4.0/).