Abstract
To address vibration issues in the operation of a lift-type power catwalk, dynamic analysis was conducted using ADAMS 2020 software. The analysis revealed that the vibrations originate from collisions that occur during the transition from the translation to the climbing phase. A quantitative vibration model was developed using the work–energy theorem, incorporating the coefficient of restitution. Based on this model, a composite disturbance rejection control law was designed, integrating sliding-mode speed planning with active disturbance rejection speed tracking. The MATLAB 2022b/Simulink simulations demonstrated that the ADRC strategy outperforms PID and DDPG control algorithms in terms of robustness. Co-simulation with ADAMS and MATLAB/Simulink confirmed the effectiveness of sliding mode speed planning, resulting in a 13.54% increase in the transport efficiency of lift-type power catwalks for drill pipes. Additionally, the oscillation of the output speed of the electro-hydraulic servo system at the collision point was reduced by 300% and the displacement, velocity, and acceleration fluctuations in the catwalk’s mechanical system were reduced by 85%, 75%, and 90%, respectively. The experiments on a lift-type power catwalk prototype confirmed that the proposed vibration suppression strategy effectively reduces vibrations.
1. Introduction
Advancements in automation technology have driven significant developments in oil drilling and extraction equipment [1,2]. Among these, the power catwalk, an auxiliary device on oil rigs, serves primarily to transport drill pipes to and from the drill floor [3]. Previously, drill pipe transportation typically relied on cranes or other equipment, which were inefficient and demanded excessive manual intervention. Consequently, power catwalks effectively address these issues [4].
Power catwalks can be broadly categorized into telescopic and lift-type models, based on their structural design. Due to its simpler structure and lower cost, the lift-type power catwalk has been widely adopted. Notably, the world’s first 12,000 m ultra-deep automated drilling rig is equipped with a pipe-handling automation system that includes a lift-type power catwalk. However, the simple structure of the lift-type power catwalk can lead to instability issues, such as impacts and collisions during operation, which reduce the pipe-handling efficiency and may endanger the safety of drill rig personnel in extreme conditions. In recent years, researchers have focused on improving lift-type power catwalks to address challenges like low efficiency during drilling, difficulties in transporting equipment to remote areas, inadequate structural strength, and instability in the drive system. Structurally, the direct-push design enhances the pipe transportation efficiency [5], the segmented design addresses logistical challenges [6], and the anti-fall device improves operational safety [7]. In terms of control, electronic systems simplify the drive mechanism, while a PLC control system enhances overall system stability [8,9,10].
Although previous studies on lift-type power catwalks have enhanced stability, safety, and transportation efficiency, these solutions often require structural modifications or hardware replacements, significantly increasing the manufacturing costs. Therefore, this paper focuses on addressing instability issues, such as collisions and impacts during the operation of lift-type power catwalks, with the goal of solving these problems without altering the existing hardware structure.
To address the issues related to impacts and collisions involving a lift-type dynamic catwalk, preliminary dynamic analysis was conducted using a virtual prototype developed using ADAMS software [11,12,13], confirming that vibrations occur at the point of collision. Conventional dynamic modeling methods, such as Lagrange’s equations, the Newton–Euler method, and the Lagrangian principle, fail to reveal the underlying causes of these phenomena due to energy loss during impacts and collisions. These methods are based on the principle of energy conservation, which describes system dynamics through the conversion of potential and kinetic energy. Collision problems are widely observed in nature [14,15,16,17]. In 1688, Wallis, Wren, and Huygens introduced the concept of the coefficient of restitution, describing the energy lost by a mechanical system during collisions. This theory has been extensively developed, alongside advancements in collision-related studies [18]. This paper introduces the coefficient of restitution to elucidate the dynamic behavior of the lift-type dynamic catwalk. Reference [19] provides general proof on the coefficient of restitution in three forms, serving as a theoretical foundation for the collision analysis in this study. Reference [20] reviews and summarizes relevant research on collisions, further demonstrating the inadequacy of classical mechanics in regard to describing impact and collision issues. This theory has found applications across multiple fields, such as accurate calculations of membrane stiffness [21] and the analysis of the dynamic response of falling rocks [22], thereby simplifying the complex dynamics of rockfalls. In this paper, the collision dynamics of the lift-type dynamic catwalk are analyzed using the coefficient of restitution, based on the work–energy theorem. Vibrations are quantified as specific instantaneous velocities, providing a theoretical basis for addressing these issues. The accuracy of this quantification is verified using a virtual prototype. Building on this dynamic response, a sliding mode control-based velocity planning scheme is proposed as the upper-level control strategy for the drive system of the catwalk, to address vibration issues.
To mitigate vibrations from impacts and collisions, the drive system control strategy is designed with upper-level velocity planning and lower-level velocity tracking. The robustness of the lower-level velocity tracking control algorithm directly affects the stability of the mechanical system. The lift-type dynamic catwalk’s drive system is a valve-controlled hydraulic motor. Typically, the mathematical model of the electro-hydraulic servo system is established by linearizing the flow equations, simplifying internal and external leakage, and neglecting nonlinear uncertainties, like friction and noise [23,24]. Thus, the control strategy for the electro-hydraulic servo system should be model independent. With advancements in modern control theory, various strategies have been proposed to enhance control robustness. Model-independent approaches include PID control, sliding mode control, multilayer neural network control, and state filtering disturbance-suppression control, all of which are widely applied [25,26,27]. Among these, PID control is the most commonly used, due to its simplicity. However, treating the system as a “black box” limits the use of internal system information, reducing its robustness. Multilayer neural network control, a newer approach, effectively captures complex system dynamics through dataset training, enabling the efficient control of nonlinear systems. However, its performance heavily depends on the dataset’s quality and practical implementation can be cumbersome [28]. Active disturbance rejection control, as a state filtering disturbance-suppression method, constructs the control system as an ideal integrative link, treating external influences as disturbances. In practical applications, only the system’s order and approximate control gain are required. Due to its control architecture, ADRC effectively utilizes internal system information and provides strong robustness. Therefore, this paper selects ADRC as the lower-level tracking control strategy.
This paper conducts dynamic analysis to address the instability caused by impacts and collisions during the operation of a lift-type dynamic catwalk. A composite disturbance rejection control strategy is proposed, with the following specific contributions:
- (1)
- In situations where conventional dynamic modeling approaches, such as Lagrange’s equations and the Newton–Euler method, are not applicable, a dynamic modeling method, based on the coefficient of restitution, is proposed. This approach accurately quantifies vibration phenomena, providing a theoretical foundation for vibration suppression strategies;
- (2)
- To mitigate vibrations, a composite hierarchical disturbance rejection control strategy is proposed. Active disturbance rejection control is used for lower-level speed tracking, while sliding mode control is employed for upper-level speed planning.
This paper is organized as follows: Section 2, “Structure and Motion Description of the Lift-Type Power Catwalk”, provides an overview of the catwalk’s structure and operational mechanisms. Section 3, “Dynamic Analysis of the Lift-Type Power Catwalk”, establishes a virtual prototype using ADAMS software and conducts dynamic analysis to identify the root causes of the vibrations. Section 4, “Collision Analysis and Electro-Hydraulic Servo System Model”, models and analyzes the collision problem related to the lift-type power catwalk, quantifies the severity of the jitters, and establishes a mathematical model of the electro-hydraulic servo system. Section 5, “Design of Control Law for Lift-Type Power Catwalk”, designs the speed planning and speed tracking control laws and proves the stability of the controller. Section 6, “Simulation”, verifies the robustness and stability of the proposed control strategy.
Section 7, “Experiment”, validates the effectiveness of the proposed speed planning scheme for jitter suppression, using a prototype of the lift-type power catwalk. Finally, the “Conclusions” section summarizes the findings.
2. Structure and Motion Description of the Lift-Type Power Catwalk
A lift-type power catwalk primarily consists of a base, ramp, conveying arm, support arm, and hydraulic winch, as illustrated in Figure 1.
Figure 1.
Diagram of a lift-type power catwalk structure. 1—base; 2—ramp; 3—conveying arm; 4—support arm; 5—pipe rack; 6—hydraulic winch; 7—small trolley.
The structure of the pipe rack, as shown in Figure 2, mainly consists of a mounting base, hydraulic cylinder, push rod, sliding chute, blocking bar, crossbeam, tilting mechanism hydraulic cylinder, tilting mechanism, and safety pin. The pipe rack is primarily used for loading and unloading drill pipes. The push rod slides within the chute to disperse lateral forces, protecting the hydraulic cylinder. The tilting mechanism, in coordination with the safety pin, adjusts its angle to allow single drill pipes to roll into the V-shaped slot of the conveyor arm. This design improves the equipment’s efficiency, precision, and reliability, extending its service life.
Figure 2.
Pipe rack structural diagram. 1—blocking bar; 2—crossbeam; 3—safety pin; 4—tilting mechanism; 5—tilting mechanism hydraulic cylinder; 6—sliding chute; 7—pipe rack hydraulic cylinder; 8—push rod; 9—mounting base.
The process by which the lift-type power catwalk elevates drill pipes to the drilling platform is as follows: First, the crane places the drill pipes onto the pipe rack, on both sides. The hydraulic cylinder of the pipe rack’s support legs then rises, pushing the drill pipes to the edge of the base. Next, the flap of the hydraulic cylinder flips over to push the drill pipes into the pipe slot. The conveying arm is elevated by the lifting action of the hydraulic winch’s steel cable, while the support arm moves forward, alongside the conveying arm, until it reaches the limit point. Finally, the support arm rotates, raising the conveying arm to the level of the drilling platform. At this point, the drill pipes are pushed onto the rotary table by the power device on the conveying arm and further operations are completed using the elevator and top drive. Lowering the drill pipes to the drill floor mirrors the elevation process, with the sequence of operations reversed.
The transportation of drill pipes to and from the drill floor by the lift-type power catwalk is primarily achieved through the movement of the support arm and conveying arm. During this process, both arms remain in the same plane, simplifying the motion of the power catwalk to a two-dimensional problem. Based on changes to the points of application in regard to the supporting force, tension, and the rotation point of the conveying arm, the movement process of the lift-type power catwalk can be divided into four stages. Taking the elevation of drill pipes as an example, these four stages are described as follows:
- (1)
- Translation
When the support arm has not yet rotated, the end of the conveying arm slides along the base track with the support arm, until the support arm reaches the limit point. During this process, the front end of the conveying arm lowers the ramp under the tension of the steel cable, forming an angle θ1 with the horizontal plane, as shown in Figure 3a;
Figure 3.
Schematic diagram of a lift-type power catwalk in operation: (a) translation; (b) climbing; (c) ascending; (d) positioning.
- (2)
- Climbing
After the support arm reaches the limit point O, it begins to rotate, forming an angle θ2 with the horizontal plane. The steel cable, fixed at point E on the conveying arm, wraps around the pressure point D at the front end of the conveying arm, pulling it up the ramp, until the cable is released due the pressure point and acts directly on the anchor point E of the conveying arm, as shown in Figure 3b;
- (3)
- Ascending
The steel cable acts directly on the anchor point E of the conveying arm, until the front end of the conveying arm disengages from the sliding track on the ramp, as shown in Figure 3c;
- (4)
- Positioning
The conveying arm extends onto the drilling platform and the steel cable continues to act on the anchor point E, until the conveying arm reaches the predetermined position on the drilling platform, as shown in Figure 3d.
3. Dynamic Analysis of the Lift-Type Power Catwalk
3.1. Virtual Prototype Construction
To analyze the vibration issues during the operation of the lift-type power catwalk, a virtual prototype created using ADAMS software was established. The 3D model of this prototype is based on a domestically produced lift-type power catwalk, as shown in Figure 4.
Figure 4.
Virtual prototype of an incline power catwalk created using ADAMS software.
The accuracy of the virtual prototype largely depends on correctly establishing the constraints and relationships between the components. Within the ADAMS software environment, two methods can be used to apply constraints to the motion characteristics of the lift-type power catwalk. The first method uses a combination of rotational and translational joints, while the second involves establishing a contact force function, based on multi-body dynamics contact theory. During the raising and lowering of drill pipes, there are essentially no fully constrained joints. Therefore, the second method, which utilizes contact force constraints, more accurately reflects the system’s motion response. Consequently, this paper adopts the contact force constraint method.
Within the ADAMS software environment, contact forces can be defined using either the restitution method or the impact function method. The restitution method involves parameters that are difficult to determine, so this study uses the impact function method to define the contact force [29,30]. The expression for the impact function is as follows:
In the equation, K represents the contact stiffness coefficient; δ denotes the contact penetration depth; dmax is the maximum allowable penetration depth; Cmax is the maximum contact damping when the maximum penetration depth is reached; and ζ is the collision index. The step function is used to ensure the continuity of the damping force during the collision process. The settings for the constraints and contact forces are detailed in Table 1, while the specific parameters of the contact force are listed in Table 2 [31].
Table 1.
Constraints and contact force application.
Table 2.
Specific parameters of contact force.
3.2. Dynamic Analysis
Conduct simulation analysis using the virtual prototype model established in Section 3.1, with driving speeds set to 1 (rad/s), 2 (rad/s), and 3 (rad/s). The force conditions on the supporting arm and the conveying arm are shown in Figure 5.
Figure 5.
(a) Contact force between the rear roller of the conveying arm and the base F31–time curve; (b) contact force between the front roller of the conveying arm and the slope F32–time curve; (c) pivot force at the connection point between the conveying arm and the supporting arm F34–time curve; (d) contact force between the supporting arm roller and the base F42–time curve; (e) hydraulic winch torque Jh–time curve.
Figure 5 shows abrupt changes in the forces acting on each joint of the supporting arm and conveying arm. Since contact between the rear roller of the conveying arm and the base occurs only during the translation phase, Figure 5a indicates that the cutoff times for the translation phase at three different speeds are 4.7 s, 7.1 s, and 14.2 s. Comparing Figure 5a with Figure 5b–e reveals that abrupt force changes at each joint occur at the transition point, from the translation phase to the climbing phase. Therefore, it can be inferred that vibrations may arise at this switching point. To verify this hypothesis, the hydraulic winch speed is set to 2 rad/s and the simulation step size is set to 0.001. The movement trajectory of the steel cable anchor point on the conveying arm is illustrated in Figure 6.
Figure 6.
The motion trajectory of the cable anchor point on the conveyor arm.
Figure 6 shows fluctuations in the movement trajectory at the transition point, from the translation phase to the climbing phase. Therefore, the vibration observed during the operation of the lift-type power catwalk occurs at this switching point. Considering the motion process, it can be concluded that the vibrations at this point are caused by impacts and collisions when the supporting arm contacts the limit point.
4. Collision Analysis and Electro-Hydraulic Servo System Model
4.1. Quantitative Modeling of Jitters Based on the Coefficient of Restitution
The previous section established that the vibration observed during the operation of the lift-type power catwalk is caused by the collision of the support arm with the limit point, during the transition from the translation phase to the climbing phase. This section formulates a mathematical model for the collision, providing a foundation for the design of the controller.
To simplify the collision model at the switching points in terms of the lift-type power catwalk, the following assumptions are made:
- (1)
- The collision limit point of the supporting arm occurs consistently within the plane formed by the “supporting arm–conveying arm”;
- (2)
- The deformation caused by the collision is localized and the inertial forces of local dynamic deformation are neglected;
- (3)
- The velocities at the limit points before and after the collision are both equal to zero;
- (4)
- The kinetic energy loss caused by friction during the collision is neglected.
As shown in Figure 7, let the distance that point B, namely the contact point between the conveying arm and the ramp, slides along the ramp be Ls, and the distance that point C, namely the contact point between the conveying arm and the base, slides along the base be Lx. The angle between the ramp and the horizontal plane is α. The motion state at the collision point is indicated by the red dashed line.
Figure 7.
Schematic diagram of the collision point.
This collision is simplified to the collision between the supporting arm–conveying arm assembly and the limit block–base assembly. The instantaneous conservation of kinetic energy before and after the collision yields Equation (2):
In the equation, E1 represents the total kinetic energy of the supporting arm–conveying arm assembly before the collision, E2 denotes the total kinetic energy of the supporting arm–conveying arm assembly immediately after the collision, and E3 indicates the total kinetic energy lost during the collision.
This study quantifies the total kinetic energy consumed during the collision, E3, in Equation (2) by introducing the Newton restitution coefficient. The restitution coefficient is related to the materials in the two colliding objects and the collision velocity. To simplify the model, the effect of collision velocity on the restitution coefficient is neglected [32] and a restitution coefficient of 0.9 is assumed (approximately the value for steel). Based on the definition of the Newton restitution coefficient, Equation (3) is derived:
In the equation, e represents the restitution coefficient, m1 denotes the total mass of the base and limit block, m2 indicates the total mass of the supporting arm and conveying arm, and Vx is the velocity of the supporting arm sliding on the base before the collision.
Substituting Equation (3) into Equation (2) yields:
In the equation, Vx2 represents the velocity of the supporting arm sliding on the base after the collision. Rearranging this results in:
By performing geometric analysis of Figure 6, we can derive the results using the cosine theorem:
Rearranging the above equation yields Equation (7):
Differentiating both sides of the above equation with respect to time t yields:
In the equation, Vs represents the velocity of point B sliding on the ramp (the velocity of the cable). Substituting Equation (8) into Equation (5) yields:
In the equation, Vx2 represents the velocity of the supporting arm after the collision. Equation (9) quantifies the vibration phenomenon present at the switching point in terms of the lift-type power catwalk as the instantaneous velocity of the supporting arm after the collision; a larger post-collision velocity results in more intense vibrations.
In Equation (8), the velocity of the cable is related to the velocity of the hydraulic winch using the following equation:
In the equation, ω represents the rotational speed of the hydraulic winch and R denotes the radius of the hydraulic winch.
To further analyze the collision model, a collision model as shown in Equation (9) is constructed in MATLAB/Simulink. The cable velocity increases from 800 mm/s to 2000 mm/s and the simulation results are illustrated in Figure 7.
As shown in Figure 8, the post-collision velocity, Vx2, that causes vibrations in the catwalk increases with the increase in cable velocity. To further validate the correctness of the model, simulations of the collision model are conducted in ADAMS, with the cable velocities set at 1000 mm/s, 1500 mm/s, and 2000 mm/s. The hydraulic winch drive speed can be obtained using Equation (10), as presented in Table 3.
Figure 8.
Collision model simulation in MATLAB.
Table 3.
Validation parameter settings used in ADAMS software.
The drive speed of the hydraulic winch is set according to the table above, with a simulation step size of 0.001. The resulting speed of the support arm is shown in Figure 9.
Figure 9.
Simulation results using ADAMS software.
In Figure 9, the speed of the support arm is negative before the collision and instantaneously changes to a positive value after the collision. This positive value represents the instantaneous speed after the collision. A comparison of the results from the simulations in MATLAB and ADAMS are shown in Table 4.
Table 4.
Comparison of model validation results.
From Table 4, it can be seen that in regard to three scenarios, the simulation speed of the collision model in MATLAB and the simulation speed of the virtual prototype developed in ADAMS have an error within ±15 mm/s. This collision model can accurately quantify the post-collision speed, Vx2.
4.2. The Hydraulic System of the Lift-Type Power Catwalk
The following assumptions are made when establishing the mathematical model of the electro-hydraulic servo system for a hoisting-type power catwalk:
- (1)
- Incompressible fluid: The fluid in the system is assumed to be incompressible, meaning the fluid density remains constant, allowing volume changes to be neglected in the pressure analysis;
- (2)
- Neglecting pipeline damping and friction: The fluid flow within the pipeline is assumed to be ideal, disregarding frictional resistance and flow damping within the pipeline;
- (3)
- Constant temperature: The fluid temperature is assumed to be constant, ignoring the effects of temperature variation on the fluid viscosity and flow characteristics;
- (4)
- Neglecting fluid inertia: The inertial effects of the fluid are considered negligible, focusing only on the pressure–flow relationship within the hydraulic chamber and disregarding the fluid’s inertia during acceleration or deceleration.
The hydraulic system in the lift-type power catwalk consists of a proportional valve and a hydraulic motor. Models of the valve and motor are established separately [33,34,35].
At low frequencies, the input current to the valve is proportional to the displacement of the valve spool, as expressed in Equation (11):
In the equation, Xv represents the opening of the loading servo valve spool; Ksv is the proportionality coefficient between the input current and the spool displacement; and i is the input current.
The linearized flow equation for the proportional valve is as follows:
In the equation, QL represents the load flow rate of the loading servo valve; Kq is the flow gain of the loading servo valve; Kc is the flow–pressure coefficient of the loading servo valve; and PL is the load pressure of the hydraulic motor.
The continuous flow equation for the motor is as follows:
In the equation, Dm represents the volumetric displacement of the motor per radian; θj is the rotation angle of the loading motor shaft; Ctm is the total leakage coefficient of the loading motor; Vm is the total volume of the loading motor chamber and connecting pipes; and Ey is the effective volumetric elastic modulus.
The torque balance equation is as follows:
In the equation, J represents the equivalent no-load inertia of the loading motor; Bc is the hydraulic viscous damping coefficient; TL is the system output torque; and Tg is the disturbance load torque.
By neglecting the difference between the load system rotation angle and the actual rotation angle, TL = 0. By organizing Equations (11) to (14) and performing a Laplace transform, the block diagram of the hydraulic system can be obtained, as shown in Figure 10. Where ωj is the angular velocity of the hydraulic motor.
Figure 10.
Schematic diagram of the electro-hydraulic system in a lifting-type power catwalk.
The state–space model has good mathematical mapping capabilities and serves as the foundation for the design of the controller. From Figure 10, the state–space expression of a lift-type power catwalk electro-hydraulic system can be derived as follows:
In the equation, , , .
5. Design of Control Law for a Lift-Type Power Catwalk
The above analysis has shown that the jitters in a lift-type power catwalk are caused by the collision of the support arm with the limit block and the severity of these jitters is related to the collision speed, namely the faster the speed, the more intense the jitter. Therefore, we aim for the lift-type power catwalk to operate at a slower speed when approaching the collision point and at a faster speed during the other phases. This approach can reduce jitters, while ensuring the efficiency of drill pipe transportation.
To achieve deceleration of the catwalk at the collision point, an upper-level speed planning strategy, based on sliding mode control, is designed. Once the speed planning is completed, a lower-level speed tracking control strategy is designed to follow the upper-level speed plan. The overall control objective is illustrated in Figure 11.
Figure 11.
Composite disturbance rejection control objective.
5.1. Speed Planning
Based on the results of the collision analysis, a sliding mode speed planning strategy is proposed, where the system operates on a low-speed sliding surface when approaching the collision point and on a high-speed sliding surface during the other phases. The low-speed and high-speed sliding surfaces are selected via a switching variable, which is determined by the positional information on the catwalk [27,36].
The speed sliding surface is defined as:
where S1 is the high-speed sliding surface; S2 is the low-speed sliding surface; v is the current speed; vh is the high target speed; vl and is the low target speed.
The controller is designed as follows:
where uc is the control quantity that can compensate for the difference between the current speed and the target speed; k1, k2, k11, and k22 are the controller gains; δ is the switching variable used to select the tracking of the high or low-speed sliding surface; x1 is the radial position at the contact limit point of the support arm; x0 is a constant less than x1.
The planned speed is determined as follows:
The speed planning scheme designed based on the sliding mode control concept exhibits a wide rate of change in speed. When switching the speed sliding surface, the speed curve may exhibit sharp points. Therefore, by utilizing the concept of a tracking differentiator, a first-order inertial element is employed to smooth the speed signal transition. The final planned speed is given by:
where vout is the final planned speed and a is the tracking factor.
5.2. Velocity Tracking
Active disturbance rejection control, as an improved PID control algorithm, addresses the challenges associated with processing integral signals in traditional PID controllers. Additionally, its paradigm structure ensures robust performance. Therefore, the control algorithm employed in this paper is active disturbance rejection control [37,38,39].
For Equation (15), define the state variable x3 as f. Equation (15) can be rewritten as:
In the equation, b01 is the estimated value of .
Design an active disturbance rejection controller for Equation (20), including a tracking differentiator (TD), an extended state observer (ESO), and nonlinear state error feedback (NLSEF).
5.2.1. Tracking Differentiator (TD)
In this paper, the input is the angular velocity signal and the noise contamination can be largely ignored. Therefore, to simplify the controller, the tracking differentiator is designed as follows:
In the equation, v0 is the input signal; r is the velocity factor; x1 is the transitional signal; and x2 is the transitional differential signal.
5.2.2. Extended State Observer (ESO)
Establish a nonlinear extended state observer for Equation (20):
In the equation, z1, z2, and z3 are the observations for x1, x2, and x3, respectively; β01, β02, and β03 are the observer gains; and fal(x,a0,δ1) is a nonlinear function,
5.2.3. Nonlinear State Error Feedback (NLSEF)
Based on the tracking signal and tracking differential signal generated by the tracking differentiator, the error signal e1 and the error differential signal e2 can be obtained. The control signal u0 can be generated using a nonlinear combination based on the fal function:
In the equation, u01 is the control signal, β1 and β2 are the controller gains.
The output of the controller’s control quantity is provided by:
The gains of the primary controller and observer are configured as follows [40]:
5.3. Controller Stability Analysis
In regard to the controller, the controlled plant of the sliding mode controller can be understood as an active disturbance rejection controller, combined with the hydraulic system. Therefore, if the ADRC tends toward stability, then the entire controller also tends toward stability.
Rewrite Equation (20) as Equation (27).
where, f = h(x) + d(t). Moreover, h(t) is the internal disturbance of the system and d(t) is the external disturbance of the system.
Make the following assumptions for the stability proof of the active disturbance rejection controller:
Assumption 1.
h(x) is continuous and differentiable, and for any constant ρ ≥ 0, if |x| ≤ ρ, then:
where, α(·): R+→R+ is a known bounded function.
Assumption 2.
The unknown external disturbance d(t) is continuously differentiable and satisfies:
When Assumptions 1 and 2 are satisfied, the controlled variable x(t), starting from x(t0), follows the desired dynamic trajectory, as shown below:
Then, for the controlled variable in the system within the initial state range ρ0, there exists an ω* > 0, such that, as long as ω0 > ω*, the controlled variable and the desired value satisfy the following relationship:
where η* is a positive constant related to α(·), c, and k.
Equation (31) indicates that the controlled variable, x(t), is not only bounded, but also that the error between x(t) and the desired dynamic process, x*(t), can be adjusted by the gain in the extended state observer. Due to space limitations, the detailed proof of Equation (31) can be found in reference [41].
6. Simulation
To validate the effectiveness of the control strategy, the following simulation experiments will be conducted. The first set will verify the robustness of the control strategy in MATLAB/Simulink and the second set will validate the effectiveness of the control strategy through co-simulation using ADAMS and MATLAB/Simulink.
6.1. Validation of Control Strategy Robustness
To validate the robustness of the proposed control strategy in this paper, this section independently uses the electro-hydraulic servo model of the lifting-type power catwalk for simulation verification. PID and DDPG control algorithms are selected for comparison. PID represents the current control strategy of the lifting-type power catwalk and DDPG represents a multilayer neural network algorithm. ADRC, PID, and DDPG are all used as speed tracking control algorithms, with a sliding mode control as the upper-layer speed planning algorithm. The three control algorithms are denoted as SM-ADRC, SM-PID, and SM-DDPG; the detailed design of the DDPG controller can be found in Appendix A.
To ensure the fairness of the simulation experiments, the sliding mode speed planning parameters of the three control strategies are set identically. The switch variable is given in the form of simulation time, with x0 set to 20 and x1 set to 25, meaning that the low-speed sliding surface is tracked from 20 to 25 s, while the high-speed sliding surface is tracked at other times. The parameters of the sliding mode speed planning strategy are shown in Table 5; the parameters of the hydraulic system are shown in Table 6. A schematic diagram of the simulation verification discussed in this section is shown in Figure 12.
Table 5.
Parameters of sliding mode velocity planning.
Table 6.
Parameters of the hydraulic system.
Figure 12.
Control block diagram for robustness validation.
The load Tg is defined according to Equation (32), where the sine function is used to simulate the load variations caused by the deformation of the wire rope. The first case simulates large load variations, the second case simulates small fluctuations under a constant load, and the third case simulates high-frequency fluctuations under a constant load.
The parameters of the active disturbance rejection controller are shown in Table 7. For the PID controller, Kp = 0.005, Ki = 0.0006, and Kd = 0.0001. When subject to the three types of disturbance, the simulation results are shown in Figure 13, Figure 14 and Figure 15.
Table 7.
Parameters of ADRC controller.
Figure 13.
The simulation results for Tg in the first case in terms of Equation (32) are shown: (a) speed curve; (b) error curve.
Figure 14.
The simulation results for Tg in the second case in terms of Equation (32) are shown: (a) speed curve; (b) error curve.
Figure 15.
The simulation results for Tg in the third case in terms of Equation (32) are shown: (a) speed curve; (b) error curve.
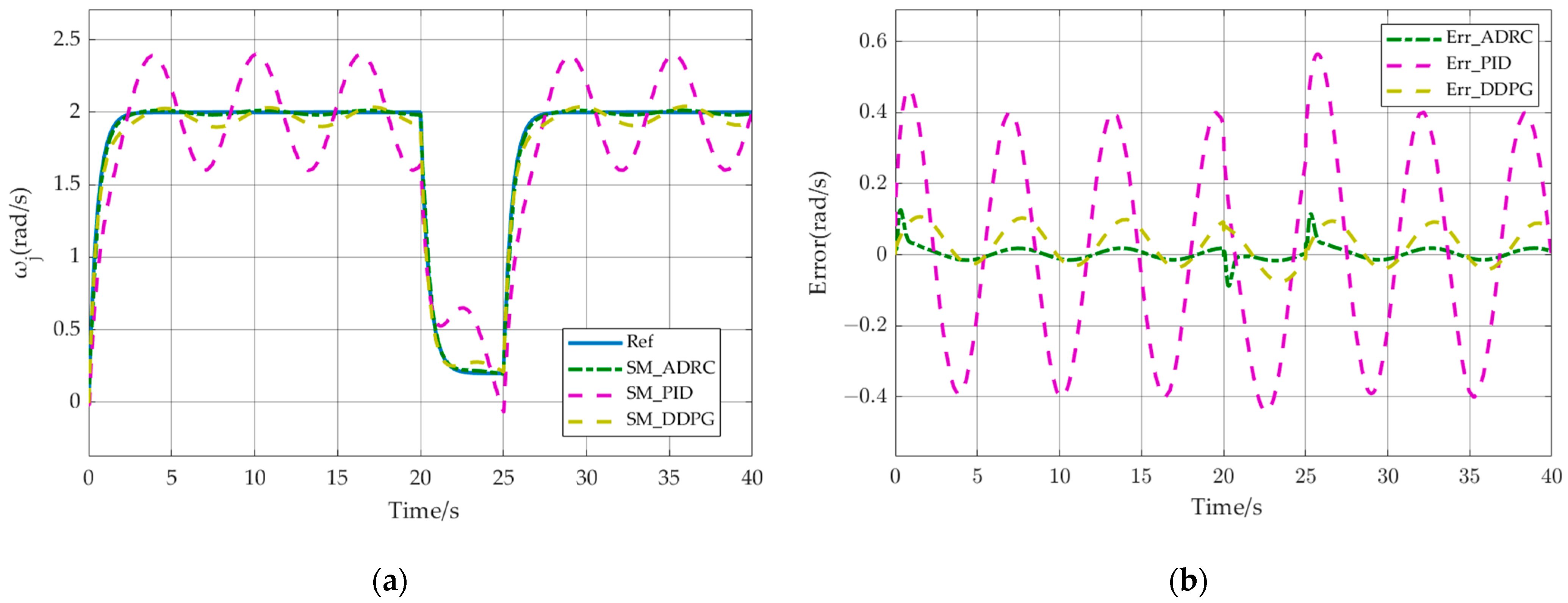
As shown in Figure 13, all three control strategies are able to effectively track the desired speed when subject to the first load condition. However, at 23 s when the load changes suddenly, the maximum angular velocity error of SM-PID reaches 8 rad/s, while the maximum error of SM-ADRC is 2 rad/s, similar to SM-DDPG. During load disturbance, both SM-ADRC and SM-DDPG exhibit strong robustness, accurately tracking the target angular velocity.
As shown in Figure 14, with the increase in the load fluctuation amplitude, both SM-PID and SM-DDPG exhibit angular velocity oscillations. The fluctuation in SM-PID is significant, with a maximum fluctuation of 0.5 rad/s, whereas SM-DDPG performs better than SM-PID, with a maximum angular velocity error of 0.1 rad/s. SM-ADRC shows the smallest fluctuation, keeping the maximum fluctuation within 0.1 rad/s. The results from the second set of experiments indicate that as the load frequency increases, the ADRC tracking control algorithm demonstrates the strongest robustness.
As shown in Figure 15, when the load frequency increases, PID control is unable to accurately track the desired speed, exhibiting significant oscillations. Both DDPG and ADRC can still accurately track the angular velocity, with ADRC having better overall tracking accuracy compared to DDPG.
Through the use of the above three sets of simulation experiments, it is verified that the tracking performance of ADRC is superior to that of PID and DDPG, demonstrating strong robustness in terms of the load characteristics of a lifting-type power catwalk.
6.2. Combined Simulation
To validate the vibration suppression effectiveness of the sliding mode active disturbance rejection composite control strategy, a co-simulation experiment is conducted using ADAMS and MATLAB/Simulink. The principle of the co-simulation platform is shown in Figure 16. The specific experimental scheme involves sliding mode active disturbance rejection control, with velocity planning and constant-speed ADRC control. The controller’s parameters and hydraulic system’s parameters are provided in Table 5, Table 6 and Table 7, respectively. Let the hinge point of the lift-type power catwalk support arm and the conveying arm be point C, the front end of the conveying arm be point B, and the front end of the support arm be point A. The simulation results are presented in Figure 17 and Figure 18.
Figure 16.
Co-simulation schematic diagram.
Figure 17.
Hydraulic winch speed curve.
Figure 18.
Response curve for the catwalk’s mechanical system: (a) absolute displacement at point A; (b) absolute velocity at point A; (c) amplitude of acceleration at point A; (d) absolute displacement at point B; (e) absolute velocity at point B; (f) amplitude of acceleration at point B; (g) absolute displacement at point C; (h) absolute velocity at point C; (i) amplitude of acceleration at point C.
From Figure 17, it can be observed that the running time of the speed planning scheme proposed in this paper is 32 s, whereas the running time of the scheme without speed planning is 37 s. The proposed speed planning scheme can accurately decelerate at the collision point. Due to the reduced speed at the moment of collision, the controller is able to effectively suppress speed fluctuations. The amplitude of the speed fluctuation at the collision point for the scheme without speed planning is approximately 3 rad/s, while the amplitude of the speed fluctuation for the proposed scheme is about 0.3 rad/s. Compared to the scheme without speed planning, the proposed scheme in this paper demonstrates a 13.54% improvement in efficiency and a 300% reduction in the amplitude of the speed fluctuation.
Figure 18 illustrates the response characteristics of the lift-type power catwalk mechanical system subject to two conditions: with and without the application of velocity planning. To facilitate a detailed comparative analysis, the horizontal axes for the velocity and acceleration curves are standardized as the length of the cable retraction. In this figure, points A, B, and C were selected as key observation points because they represent critical joint locations of the moving components within the lift-type power catwalk. These points provide a comprehensive reflection of the system’s overall dynamic response.
As depicted in Figure 18, implementing the velocity planning scheme leads to a substantial reduction in displacement fluctuations at points A, B, and C. This effect can be attributed to the reduction in velocity at the collision points, which effectively minimizes the fluctuations in velocity and acceleration caused by these impacts, resulting in a significant enhancement in system stability. This stabilization effect can be primarily linked to the reduced impact forces that arise from lower velocities at critical collision moments, leading to smoother transitions and a reduced dynamic load on the catwalk structure.
To quantitatively assess the stability improvements introduced by the velocity planning scheme, we computed the average fluctuation amplitudes for the displacement, velocity, and acceleration at points A, B, and C during collision events. The analysis reveals that the displacement fluctuations in the lift-type power catwalk are reduced by approximately 85%, while velocity fluctuations are decreased by around 75%, and acceleration fluctuations by roughly 90%. These results underscore the efficacy of the velocity planning scheme in enhancing the dynamic stability of the lift-type power catwalk, providing a solid foundation for future applications and further refinement of vibration suppression strategies.
7. Experiment
To verify the effectiveness of the vibration suppression strategy, experimental validation was conducted on the lift-type power catwalk prototype, as illustrated in Figure 19. In the experiment, the parameters of the speed sliding mode surface were consistent with those used in the co-simulation. A triaxial accelerometer was installed at the joint between the supporting arm and the conveying arm. The resultant triaxial acceleration vector is presented in Figure 20. Additionally, the hydraulic motor is equipped with an encoder on the shaft, enabling the measurement of the hydraulic motor’s rotational speed, as shown in Figure 21.
Figure 19.
Lift-type power catwalk prototype.
Figure 20.
Resultant triaxial accelerometer vector and curve for the lift-type power catwalk prototype.
Figure 21.
Angular velocity curve of the hydraulic motor.
Figure 20 illustrates the acceleration curve at the joint between the supporting arm and the conveying arm of the lift-type power catwalk. It is evident from the figure that when the translation phase switches to the climbing stage, there is no significant abrupt change in acceleration. This indicates that the velocity planning scheme effectively suppresses the vibration phenomenon impacting the catwalk.
Figure 21 presents the angular velocity curve of the hydraulic motor. The active disturbance rejection controller effectively tracks the velocity planning and the hydraulic motor speed shows no significant fluctuations.
By comparing Figure 17, Figure 18, Figure 20 and Figure 21, it is clear that the simulation results are highly consistent with the experimental results for the prototype. The established mathematical model of the hydraulic motor and the virtual prototype created using ADAMS accurately reflect the dynamic response of the lift-type power catwalk. Furthermore, both the simulation and experimental results validate the effectiveness of the vibration suppression strategy.
8. Conclusions
In this manuscript, a composite disturbance rejection control strategy was proposed. Initially, the causes of vibrations in a lift-type power catwalk were analyzed using ADAMS software. Subsequently, in cases where conventional dynamic modeling was not applicable, a collision dynamics model was developed by introducing a restitution coefficient, uncovering the vibration patterns of the catwalk. Based on this model, a sliding mode speed planning and active disturbance rejection speed tracking control strategy were proposed. Finally, the results of the simulations and experiments validated the effectiveness of the control strategy. The conclusions in this study are as follows:
- (1)
- The co-simulation results indicate that the composite disturbance rejection control strategy effectively suppresses vibrations at the collision points in the catwalk, while also significantly enhancing its operational efficiency;
- (2)
- The experimental results based on the physical catwalk prototype demonstrate that the composite disturbance rejection control strategy results in no significant acceleration spikes at the collision points and maintains a stable hydraulic motor operating speed, without any noticeable fluctuations.
Additionally, the dynamic model based on the restitution coefficient, proposed in cases where conventional dynamic modeling approaches are inapplicable, shows potential for applications in other mechanical systems requiring similar dynamic analysis. Although the proposed disturbance rejection control strategy demonstrates effective vibration suppression, we must acknowledge that the vibration reduction effect of sliding mode speed planning is limited. Further research in other areas is needed to enhance the operational stability of lift-type power catwalks.
Author Contributions
Conceptualization, J.C. and L.X.; methodology, J.C. and L.X.; software, J.C. and L.X.; validation, J.C. and L.X.; formal analysis, L.X. and J.C.; investigation, J.C. and H.W.; resources, J.C.; data curation, J.C. and L.X.; writing—original draft preparation, J.C., L.X. and H.W.; writing—review and editing, L.X. and J.C.; visualization, J.C. and H.W.; supervision, J.C.; project administration, J.C., L.X. and H.W.; funding acquisition, Y.Y. and L.X. All authors have read and agreed to the published version of the manuscript.
Funding
This research was funded by the General Program of National Natural Science Foundation of China, grant number 52174005, and the Postgraduate Innovation Fund of Xi’an Shiyou University, grant number, YCS23114129.
Data Availability Statement
The data are contained within the article.
Conflicts of Interest
The authors declare that there are no conflicts of interest.
Appendix A
- State Selection
Select the error e between the desired speed and the actual speed of the hydraulic motor in the lifting-type power catwalk, the desired speed vout, and the actual speed v as the state of the lifting-type power catwalk at time t, as shown in Equation (A1):
- 2.
- Control law
The control variable ut is shown in Equation (A2):
where μ(·) is the policy function and θμ represents the controller’s parameters.
- 3.
- Reward function
The reward function is defined as shown in Equation (A3):
The schematic diagram of the controller is shown in Figure A1. In the figure, the structures of the online and target networks are identical, which is used to ensure more stable training.
Figure A1.
DDPG speed controller.
Figure A1.
DDPG speed controller.

- 4.
- Neural network architecture
The actor and critic networks within the controller are shown in Figure A2. The actor network starts with a three-dimensional input feature, passes through two fully connected layers with output dimensions of 32 and 16, each followed by ReLU activation, and finally outputs a one-dimensional control signal. The critic network has two inputs: the state input and the action output from the actor. The state passes through a fully connected layer to obtain a feature with 32 dimensions, while the action input goes through a mapping layer, then merges with the state feature in a space with 16 dimensions, and finally outputs a one-dimensional Q value through the output layer.
Figure A2.
Neural network architecture diagram: (a) actor network; (b) critic network.
Figure A2.
Neural network architecture diagram: (a) actor network; (b) critic network.

References
- Wang, F.; Zhang, Z. How can net petroleum importers achieve risk aversion in a globalized world: A multi-regional input–output perspective. Environ. Sci. Pollut. Res. 2023, 30, 371–388. [Google Scholar] [CrossRef] [PubMed]
- Wang, K.; Dong, Z.; Sun, X.; Hua, J. Study on on-machine measurement system for contour parameters of petroleum drill pipe thread. Chin. J. Sci. Instrum. 2016, 37, 1618–1625. [Google Scholar]
- Zhang, P. Development of Offshore Oil Drilling Technology and Equipment in China. Chem. Eng. Equip. 2023, 11, 189–191. [Google Scholar]
- Han, C.; Zhang, P.; Li, J. Dynamics model and control strategy of powered catwalk. In Proceedings of the Fourth International Conference on Mechanical Engineering, Intelligent Manufacturing, and Automation Technology, Nanning, China, 22 October 2023. [Google Scholar]
- Li, C.; Sun, H.; Fu, G.; Dong, H. Development of New Direct Push Power Catwalk Machine. Sino-Glob. Energy 2023, 28, 63–69. [Google Scholar]
- Zhang, K.; Li, X.; Yang, X. Design of DM13.7/4.5 Segmented Power Catwalk. Mech. Res. Appl. 2022, 35, 110–112. [Google Scholar]
- Li, H. Structural Improvement of Dynamic Catwalk Base Based on Workbench. Mach. Build. Autom. 2018, 47, 139–141. [Google Scholar]
- Kong, Y.; Zhang, P.; Yu, X.; Li, B.; Lin, K. Development of Control System for the Draw Lifting Power Catwalk. China Pet. Mach. 2019, 47, 14–18. [Google Scholar]
- Dang, P.; Liu, R. Design of Hydraulic System for Electric Control Power Catwalk of LandDrill. Mech. Electr. Eng. Technol. 2021, 50, 182–185. [Google Scholar]
- Fu, L. Design of Power Catwalk Control System Based on PLC. Instrum. Technol. 2021, 19–22. [Google Scholar] [CrossRef]
- Liu, J.; Zheng, J.; Wei, Y. Structural simulation and motion control of a ball screw gas rudder. J. Vib. Shock. 2023, 42, 66–71+91. [Google Scholar]
- Zhao, H.; Li, H.; Peng, Z.; Ke, W. Modeling and analysis of clamping force of cutter changing robot of shield machine. J. Cent. South Univ. (Sci. Technol.) 2023, 54, 2663–2673. [Google Scholar]
- Zhang, X.; Shao, Y.; Fu, Y.; Quan, L. Mechanical and Hydraulic Co-simulation Analysis for Crane Luffing System based on Simcenter 3D. J. Mech. Eng. 2022, 58, 334–341. [Google Scholar]
- Luo, Y.; Yang, B.; Tu, W. Dynamic modeling of the contact between cage and rolling element in rolling bearing and contact characteristics. J. Aerosp. Power 2022, 37, 2887–2895. [Google Scholar]
- Peng, Y.; Zhang, Z.; Wei, X.; Nie, H.; Xie, P. Dynamics influence analysis of structural parameterson collision rebound of arresting hook. Acta Aeronaut. Astronaut. Sin. 2021, 42, 355–365. [Google Scholar]
- Liao, M. Nonlinear Dynamics of a Vibro-Impact System for Indenter-Rock Interaction. J. Mech. Eng. 2020, 56, 121–130. [Google Scholar]
- Han, X.; Li, F.; Gao, Z.; Li, S. Dynamic Characteristics of Space Mechanism Considering Friction and Stiffness. J. Mech. Eng. 2020, 56, 170–180. [Google Scholar]
- Ma, J.; Jie, H.; Bai, M.; Chen, H. Research on Normal Restitution Coefficient Based on Dimensionless. Chin. J. Theor. Appl. Mech. 2023, 55, 982–990. [Google Scholar]
- Huang, Y. The General Relation Between Kinetic Energy Loss and Coefficient of Restitution of Collision and its Proof. Phys. Eng. 2020, 30, 39–44. [Google Scholar]
- Yu, T. Collisions: A Blind Spot in Particle and Rigid-Body Dynamics. Mech. Eng. 2022, 44, 918–924. [Google Scholar]
- Zhu, Q.; Yu, Z. A modified spring-mass model of low-velocity-impact on composite laminate including shearing deformation at delaminated region and reduction on membrane stiffness. Int. J. Impact Eng. 2023, 185, 104847. [Google Scholar] [CrossRef]
- Chen, T.; Zhang, G.; Xiang, X. Research on rockfall impact process based on viscoelastic contact theory. Int. J. Impact Eng. 2023, 173, 104431. [Google Scholar] [CrossRef]
- Li, J.; Kong, L.; Liang, H.; Li, W. Review of development and characteristics research on electro-hydraulic servo system. Recent Pat. Eng. 2024, 18, 140–154. [Google Scholar] [CrossRef]
- Wos, P.; Dindorf, R. Adaptive control of the electro-hydraulic servo-system with external disturbances. Asian J. Control. 2013, 15, 1065–1080. [Google Scholar] [CrossRef]
- Borase, R.P.; Maghade, D.K.; Sondkar, S.Y.; Pawar, S.N. A review of PID control, tuning methods and applications. Int. J. Dynam. Control 2021, 9, 818–827. [Google Scholar] [CrossRef]
- Zhang, D.; Hu, J.; Cheng, J.; Wu, Z.; Yan, H. A novel disturbance observer based fixed-time sliding mode control for robotic manipulators with global fast convergence. IEEE/CAA J. Autom. Sin. 2024, 11, 661–672. [Google Scholar] [CrossRef]
- Lu, Y.; Tan, C.; Ge, W.; Li, B.; Lu, J. Improved Sliding Mode-Active Disturbance Rejection Control of Electromagnetic Linear Actuator for Direct-Drive System. Actuators 2021, 10, 138. [Google Scholar] [CrossRef]
- Huo, A.; Zhang, K.; Zhang, S. Attitude control of rotary steering drilling stabilized platform based on improved deep deterministic policy gradient. SPE J. 2023, 29, 670–680. [Google Scholar] [CrossRef]
- Chen, X.; Guo, J.; Wang, J.; Zhao, F. Dynamic Characteristics Analysis of Spatial Parallel Mechnism with Compound Clearances. Trans. Chin. Soc. Agric. Mach. 2023, 54, 431–448. [Google Scholar]
- Liu, X.; Li, C.; Peng, C.; Qin, Y.; Hu, G. Simulation Study on Kinematics of the Device for Automatically Connecting Check Value of Drilling Tools. China Pet. Mach. 2023, 51, 95–101. [Google Scholar]
- Pan, J.; Qian, M.; Sun, F.; Yu, L.; Chen, Q. A Quantitative Analysis Method of Mechanism with Clearance and Flexibility Based on Entropy Weight Method and its Application. J. Vib. Shock. 2023, 42, 40–48. [Google Scholar]
- Wang, G.; Ma, D.; Liu, Y.; Liu, C. Research Progress of Contact Force Models in the Collision Mechanics of Multibody Systems. Chin. J. Theor. Appl. Mech. 2022, 54, 3239–3266. [Google Scholar]
- Wang, X.; Feng, Y.; Sun, Y. Research on improved active disturbance rejection control of continuous rotary motor electro-hydraulic servo system. J. Cent. South Univ. 2020, 27, 3733–3743. [Google Scholar] [CrossRef]
- Tao, J.; Wang, X.; Liu, C.; Zhu, Y. Modeling and Simulation of Load Deformation Sensitive Dual Hydraulic Motor Synchronizing Driving System. J. Syst. Simul. 2007, 19, 1574–1578. [Google Scholar]
- Duan, Z.; Sun, C.; Li, J.; Yin, T. Research on servo valve-controlled hydraulic motor system based on active disturbance rejection control. Meas. Control. 2024, 57, 113–123. [Google Scholar] [CrossRef]
- Li, S.; Wang, Y.; Wu, X.; Mao, Y.; Chen, J.; Yang, Y. Self-Stabilizing Control Strategy of Stabilized Platform for Rotary Steerable Drilling System Based on Adaptive Backstepping Control. Actuators 2024, 13, 116. [Google Scholar] [CrossRef]
- Huo, Y. Research on Position Control of Elecrto-hydraulic Servo System with Large Inertia Based on Extended State Obsserver. Master’s Thesis, Yanshan University, Qinhuangdao, China, 2023. [Google Scholar]
- Gao, Z. On the centrality of disturbance rejection in automatic control. ISA Trans. 2014, 53, 850–857. [Google Scholar] [CrossRef]
- Huang, Y.; Xue, W. Active disturbance rejection control: Methodology and theoretical analysis. ISA Trans. 2014, 53, 963–976. [Google Scholar] [CrossRef]
- Gao, Z. Scaling and bandwidth-parameterization based controller tuning. In Proceedings of the 2003 American Control Conference, Denver, CO, USA, 4–6 June 2003; Volume 4, pp. 4989–4996. [Google Scholar]
- Huang, Y. Stability analysis of active disturbance rejection control. Control. Theory Appl. 2024, 41, 1501–1505. [Google Scholar]
Disclaimer/Publisher’s Note: The statements, opinions and data contained in all publications are solely those of the individual author(s) and contributor(s) and not of MDPI and/or the editor(s). MDPI and/or the editor(s) disclaim responsibility for any injury to people or property resulting from any ideas, methods, instructions or products referred to in the content. |
© 2024 by the authors. Licensee MDPI, Basel, Switzerland. This article is an open access article distributed under the terms and conditions of the Creative Commons Attribution (CC BY) license (https://creativecommons.org/licenses/by/4.0/).




















