Research on Air Cushion Flow Field and Bearing Characteristics of Single Row Hole Air Cushion Belt Conveyor
Abstract
1. Introduction
2. Theoretical Analysis of Air Cushion Flow Field
2.1. Theoretical Distribution of Air Cushion Pressure
2.2. Gas Flow Model near the Pores
2.3. Cross-Section Gas Outflow Model
2.4. Air Cushion Stiffness Analysis
3. Numerical Simulation of Air Cushion Field
3.1. Model Foundation
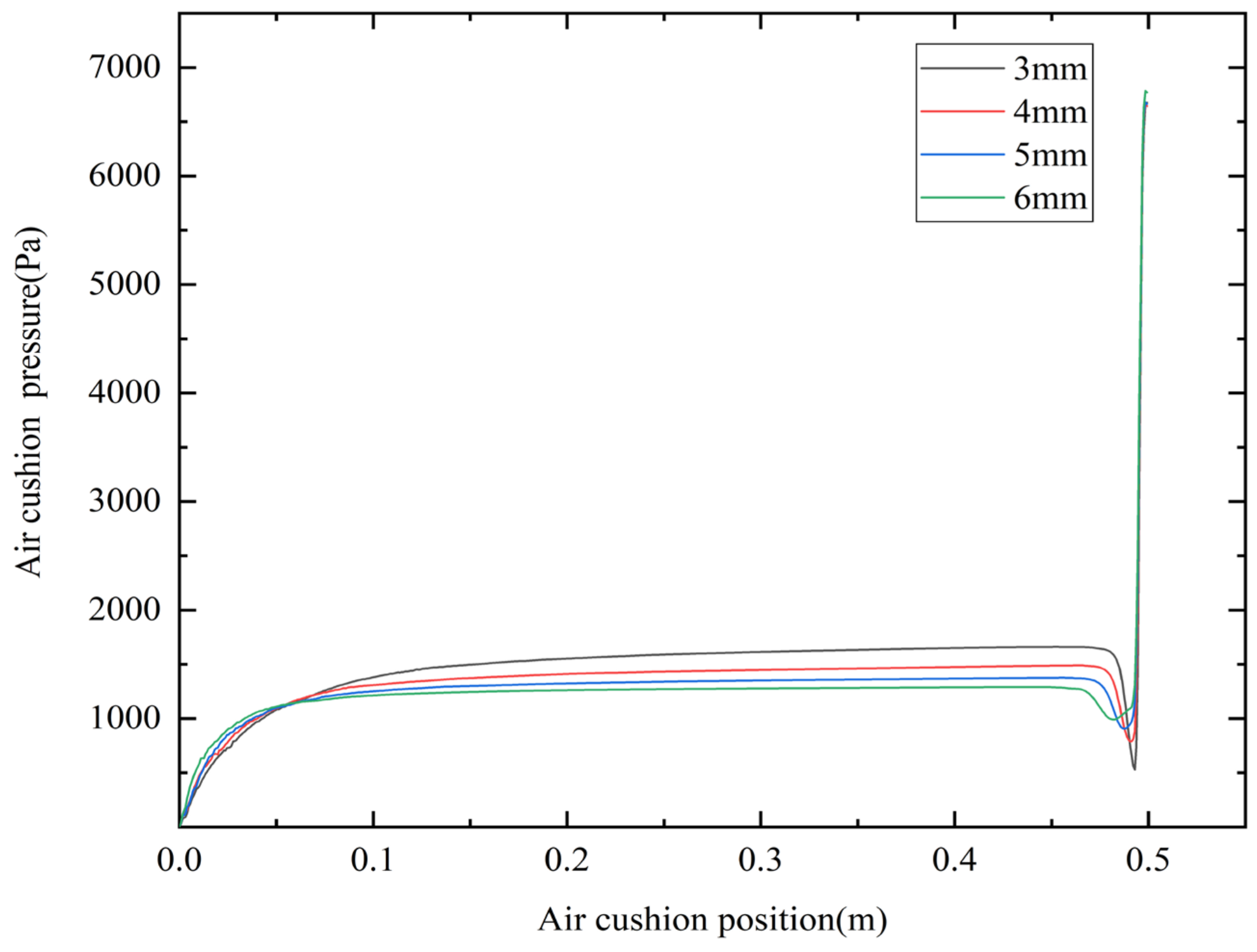
3.2. Influence of Air Cushion Thickness on the Pressure of Air Cushion Flow Field and Bearing Capacity of Air Cushion
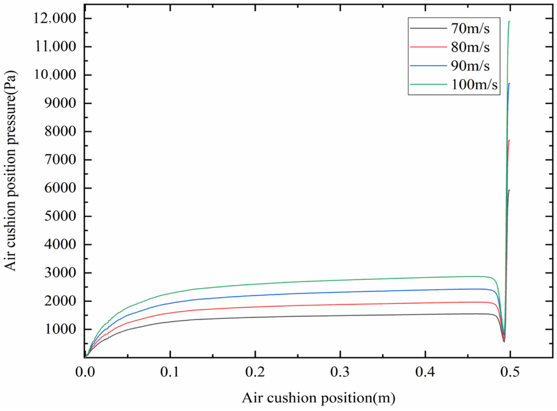
3.3. Influence of Air Hole Velocity on Air Cushion Flow Field Pressure and Bearing Capacity
3.4. Influence of Belt Speed on Air Cushion Flow Field Pressure and Bearing Capacity
3.5. Fluid–Solid Coupling Analysis of Air Cushion Flow Field, Conveyor Belt, and Material
4. Experimental Platform Construction and Experimental Verification
5. Conclusions and Perspectives
- In this study, the air cushion structure model of the air cushion belt conveyor is first constructed, and the theoretical formula of the air cushion pressure and the velocity and pressure distribution of the gas inflow and outflow model is obtained through mechanical analysis. These theoretical results provide a solid theoretical basis for the subsequent numerical simulation and experimental analysis of air cushions.
 - Under certain conditions, this study reveals the influence of air cushion thickness, pore velocity, and belt velocity on the performance of air cushions. Specifically, reducing the thickness of the air cushion can improve its pressure and bearing capacity. The pore velocity is linearly and positively correlated with its bearing capacity. At the same time, the study also found that at a lower belt speed, the change of belt speed has little effect on the air cushion performance and bearing capacity, which indicates that the air cushion conveyor is very suitable for high belt speed operation.
 - In this study, the two-way fluid–solid coupling method is used to further analyze the maximum equivalent stress, displacement curve, and air cushion pressure distribution of the conveyor belt. Through numerical simulation and experimental verification, we obtained the relationship between air cushion pressure and air cushion thickness and found that the theoretical calculation was basically consistent with the experimentally measured values, which verified the accuracy and reliability of the research results.
 
Author Contributions
Funding
Data Availability Statement
Conflicts of Interest
References
- Xue, H.; Fu, T.; Liu, Y. Dynamic Analysis of Air Cushion Flow Field of Multi-row Hole Air Cushion Belt Conveyor. Hoisting Conveying Mach. 2009, 4, 64–67. [Google Scholar]
 - Wu, F.; Jia, Z.H.; Wang, Y. Calculation of Air Film Thickness of Air Cushion Belt Conveyor. J. Taiyuan Univ. Sci. Technol. 2001, 22, 85–87. [Google Scholar]
 - Zhu, X.L.; Rui, Y.N.; Zhu, H.M. Study on air film thickness of air cushion belt conveyor. J. Mech. Strength 2017, 39, 723–726. [Google Scholar]
 - Pang, M.J. Calculation of gas film thickness of air cushion belt conveyor. Colliery Mech. Electr. Technol. 2006, 2, 46–49. [Google Scholar]
 - Xiong, C.; Xu, B.; Yu, H.; Huang, Z.; Chen, Z. A thermo-elastic-hydrodynamic model for air foil thrust bearings considering thermal seizure and failure analyses. Tribol. Int. 2023, 183, 108373. [Google Scholar] [CrossRef]
 - Hou, S.; Liu, J.; Lv, W. Flotation Height Prediction under Stable and Vibration States in Air Cushion Furnace Based on Hard Division Method. Math. Probl. Eng. 2019, 2019, 5713602. [Google Scholar] [CrossRef]
 - Hou, S.; Han, X.; Zhang, X.; Bai, M.; Hua, F. Hard-Division and Multi-Model Based Floating Height Prediction for Air Cushion Furnace with Hybrid Nozzles. IEEE Access 2020, 8, 194685–194699. [Google Scholar] [CrossRef]
 - Hou, S.; Zhang, X.; Dai, W.; Han, X.; Hua, F. Multi-Model- and Soft-Transition-Based Height Soft Sensor for an Air Cushion Furnace. Sensors 2020, 20, 926. [Google Scholar] [CrossRef] [PubMed]
 - Ji, X.F.; Jin, Y.; Han, W.J. Numerical Simulation Study on Air Cushion Pressure Field of Air Cushion Belt Conveyor. J. Chang. Univ. Sci. Technol. (Nat. Sci. Ed.) 2009, 32, 102–104. [Google Scholar]
 - Pang, M.J.; Zhang, S.L. Air cushion pressure field research and numerical simulation of air cushion belt conveyor. Coal Mine Mach. 2006, 27, 38–40. [Google Scholar]
 - Huang, Y. Calculation of air-cushion pressure of air-cushion belt conveyor. Coal Mine Mach. 1997, 5, 10–12. [Google Scholar]
 - Zhang, L.Y.; Wang, X.M.; Sun, Y. Theoretical and Experimental Study on Air Cushion Pressure of Air Cushion Belt Conveyor. J. Taiyuan Univ. Sci. Technol 1996, 4, 60–64+70. [Google Scholar]
 - Yang, J.L.; Sun, H.B.; Li, X.W.; Liu, X. Flow field characteristic analysis of cushion system of partial air cushion support catamaran in regular waves. Pol. Marit. Res. 2022, 29, 21–32. [Google Scholar] [CrossRef]
 - Jing, F.; Xu, L.; Guo, Z.; Liu, H. A Theoretical Study on the Hydrodynamics of a Zero-Pressurized Air-Cushion-Assisted Barge Platform. J. Mar. Sci. Eng. 2020, 8, 664. [Google Scholar] [CrossRef]
 - Eremeyev, V.O.; Peplin, F.S.; Tumanin, A.V. Mathematical model of dynamics of Air Cushion Vehicle with ballonet type skirt on water. Procedia Eng. 2017, 206, 354–359. [Google Scholar] [CrossRef]
 - Xu, S.; Tang, Y.; Chen, K.; Zhang, Z.; Ma, T.; Tang, W. Numerical investigation on pressure responsiveness properties of the skirt-cushion system of an air cushion vehicle. Int. J. Nav. Archit. Ocean. Eng. 2020, 12, 928–942. [Google Scholar] [CrossRef]
 - Wu, J.Z.; Wimer, B.M.; Welcome, D.E.; Dong, R.G. An analysis of contact stiffness between a finger and an object when wearing an air-cushioned glove: The effects of the air pressure. Med. Eng. Phys. 2012, 34, 386–393. [Google Scholar] [CrossRef]
 - Lu, S.; Zou, J.; Zhang, Y.; Guo, Z. Experimental and Numerical Study on Motion and Resistance Characteristics of the Partial Air Cushion Supported Catamaran. Water 2019, 11, 1033. [Google Scholar] [CrossRef]
 - Li, Y.K. Finite element analysis of air-film carrying capacity of belt air-cushion conveyor. Lubr. Eng. 2000, 5, 14–16. [Google Scholar]
 - Mo, D.Y.; Ma, P.; Lian, H.S. Mathematical model improvement and verification analysis of bearing capacity of single-row orifice air-floating guideway. Lubr. Eng. 2019, 44, 88–94. [Google Scholar]
 - Li, Y.L.; Dong, Z.Q. The influence of structural parameters on the bearing capacity of spiral groove hydrodynamic thrust gas bearing under variable operating conditions. Bearing 2022, 38, 23–28+40. [Google Scholar]
 - Zhang, C.W.; Ge, Q.J.; Xie, Z.J. Analysis of load-bearing characteristics of micro-spiral-grooved thrust air bearing in helium-air mixed environment. J. Tribol. 2018, 38, 213–219. [Google Scholar]
 - Fan, C.; Han, S.H.; Li, B. Analysis of gas film flow field and load-bearing characteristics of aerostatic journal bearings. Mech. Des. Manuf. 2021, 1, 45–49. [Google Scholar]
 - Guo, S.; Liu, J.; Li, Z.; Zhang, D.; Huang, W. Experimental research on air film formation behavior of air cushion belt conveyor with stable load. Sci. China Technol. Sci. 2013, 56, 1424–1434. [Google Scholar] [CrossRef]
 - Zhang, B.; Meng, W.; Zhang, H. Research on the pressure field and loading characteristics of air film of air cushion belt conveyor. AIP Adv. 2022, 12, 095123. [Google Scholar] [CrossRef]
 - Quan, H.; Lan, J.; Du, Y. Research on load characteristics of squeeze-film air bearings based on fluid–solid coupling. Phys. Fluids 2023, 35, 016125. [Google Scholar] [CrossRef]
 - Yu, S.R.; Cao, X.Y.; Ding, X.X. Numerical Simulation and Analysis of Gas Film Stiffness of Non-contact Dynamic Seal Spiral Groove. Fluid Mach. 2012, 40, 16–20. [Google Scholar]
 - Ding, X.X.; Zhang, H.Z.; Su, H. Gas film stiffness test and stability analysis of spiral groove dry gas seal. Vib. Shock 2013, 32, 163–168+190. [Google Scholar]
 - Ding, X.X.; Zhang, H.Z.; Zhang, W.Z. Vibration test and stability analysis of spiral groove dry gas seal. J. Vib. Meas. Diagn. 2013, 33, 231–235+337–338. [Google Scholar]
 - Hashimoto, H.; Ochiai, M.; Nanba, T. Theoretical Analysis and Optimum Design of High Speed Air Film Thrust Bearings (Application to Optimum Design Problem). J. Adv. Mech. Des. Syst. Manuf. 2007, 1, 306–318. [Google Scholar] [CrossRef][Green Version]
 - Ibrahim, M.D.; Namba, T.; Ochiai, M.; Hashimoto, H. Optimum Design of Thrust Air Bearing for Hard Disk Drive Spindle Motor. J. Adv. Mech. Des. Syst. Manuf. 2010, 4, 70–81. [Google Scholar] [CrossRef][Green Version]
 - Lin, J.J.; Li, D.S.; Zhang, W. Analysis on the Individual Stiffness of the Aerostatic Guide Way and Error Sources of its Vibration. Adv. Mater. Res. 2012, 472–475, 862–868. [Google Scholar] [CrossRef]
 - Chen, D.; Dong, L.; Pan, R.; Fan, J.; An, C. Vibration analysis of air-bearing work-stage under micro-scale effect. Proc. Inst. Mech. Eng. Part K J. Multi-Body Dyn. 2018, 232, 521–535. [Google Scholar] [CrossRef]
 - Peng, X.X. Quantitative research on air cushion parameters of air cushion conveyor. Mech. Res. Appl. 2010, 23, 4–6+10. [Google Scholar]
 - Li, J.F.; Zhang, S.L.; Zhou, H.Q. Experimental study on air cushion flow field of air cushion belt conveyor. Coal Mine Mach. 2009, 30, 71–73. [Google Scholar]
 





















| Material | Density (kg/m3) | Elastic Modulus (MPa) | Poisson Ratio | 
|---|---|---|---|
| Conveyor belt | 1545 | 2810 | 0.49 | 
| Coal | 1300 | 3500 | 0.32 | 
| Method | Air Cushion Position (m) | ||
|---|---|---|---|
| x1 = 0.5 | x2 = 0.5 | x3 = 0.5 | |
| Experimental measurement | 2200.56 Pa | 2199.68 Pa | 2201.32 Pa | 
| Theoretical calculation | 1851.78 Pa | 1851.78 Pa | 1851.78 Pa | 
Disclaimer/Publisher’s Note: The statements, opinions and data contained in all publications are solely those of the individual author(s) and contributor(s) and not of MDPI and/or the editor(s). MDPI and/or the editor(s) disclaim responsibility for any injury to people or property resulting from any ideas, methods, instructions or products referred to in the content.  | 
© 2024 by the authors. Licensee MDPI, Basel, Switzerland. This article is an open access article distributed under the terms and conditions of the Creative Commons Attribution (CC BY) license (https://creativecommons.org/licenses/by/4.0/).
Share and Cite
Wang, Y.; Wu, L.; Kou, Z.; Tian, L. Research on Air Cushion Flow Field and Bearing Characteristics of Single Row Hole Air Cushion Belt Conveyor. Actuators 2024, 13, 424. https://doi.org/10.3390/act13100424
Wang Y, Wu L, Kou Z, Tian L. Research on Air Cushion Flow Field and Bearing Characteristics of Single Row Hole Air Cushion Belt Conveyor. Actuators. 2024; 13(10):424. https://doi.org/10.3390/act13100424
Chicago/Turabian StyleWang, Yahu, Lei Wu, Ziming Kou, and Liqiang Tian. 2024. "Research on Air Cushion Flow Field and Bearing Characteristics of Single Row Hole Air Cushion Belt Conveyor" Actuators 13, no. 10: 424. https://doi.org/10.3390/act13100424
APA StyleWang, Y., Wu, L., Kou, Z., & Tian, L. (2024). Research on Air Cushion Flow Field and Bearing Characteristics of Single Row Hole Air Cushion Belt Conveyor. Actuators, 13(10), 424. https://doi.org/10.3390/act13100424
        
                                                