In vitro Interactions between Streptococcus intermedius and Streptococcus salivarius K12 on a Titanium Cylindrical Surface
Abstract
1. Introduction
2. Results
2.1. Protein Coating Rate on the Titanium Cylinder Surfaces
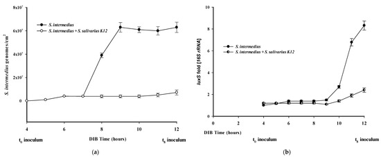
2.2. Kinetics of S. intermedius Biofilm in the Titanium Cylinder
2.3. S. salivarius Growth Curve and Bacteriocin Activity in the Bioreactor
2.4. Effect of the Probiotics on the S. intermedius Biofilm
3. Discussion
4. Materials and Methods
4.1. Strains and Cultural Conditions
4.2. Peri-implantitis Bioreactor Model
4.3. Bacteriocin Activity Assay
Bacteriocin Microplate Assay (Microplate Growth Inhibition Assay)
4.4. Growth Curves
4.5. RNA/DNA/Protein Extraction from Bactecria Deposited on Cylinder Surface
4.6. Protein Quantification on the Cylinder Surface
4.7. Bacterial Count by Real-Time PCR
4.8. luxS Expression Pattern as Biofilm Formation Marker
4.9. Statistical Analysis
5. Conclusions
Supplementary Materials
Author Contributions
Funding
Acknowledgments
Conflicts of Interest
Data Accessibility
References
- Mahato, N.; Wu, X.; Wang, L. Management of peri-implantitis: A systematic review, 2010–2015. Springerplus 2016, 5, 105. [Google Scholar] [CrossRef]
- Griggs, J.A. Dental implants. Dent. Clin. N. Am. 2017, 61, 857–871. [Google Scholar] [CrossRef]
- Guglielmotti, M.B.; Olmedo, D.G.; Cabrini, R.L. Research on implants and osseointegration. Periodontol. 2000 2019, 79, 178–189. [Google Scholar] [CrossRef]
- Zitzmann, N.U.; Berglundh, T. Definition and prevalence of peri-implant diseases. J. Clin. Periodontol. 2008, 35, 286–291. [Google Scholar] [CrossRef]
- Elemek, E.; Almas, K. Peri-implantitis: Etiology, diagnosis and treatment: An update. N. Y. State Dent. J. 2014, 80, 26–32. [Google Scholar]
- Maruyama, N.; Maruyama, F.; Takeuchi, Y.; Aikawa, C.; Izumi, Y.; Nakagawa, I. Intraindividual variation in core microbiota in peri-implantitis and periodontitis. Sci. Rep. 2015, 4, 6602. [Google Scholar] [CrossRef]
- Kanwar, I.; Sah, A.K.; Suresh, P.K. Biofilm-mediated antibiotic-resistant oral bacterial infections: Mechanism and combat strategies. Curr. Pharm. Des. 2017, 23, 2084–2095. [Google Scholar] [CrossRef]
- Pita, P.P.C.; Rodrigues, J.A.; Ota-Tsuzuki, C.; Miato, T.F.; Zenobio, E.G.; Giro, G.; Figueiredo, L.C.; Gonçalves, C.; Gehrke, S.A.; Cassoni, A.; et al. Oral streptococci biofilm formation on different implant surface topographies. Biomed Res. Int. 2015, 2015, 1–6. [Google Scholar] [CrossRef]
- Mitrakul, K.; Asvanund, Y.; Vongsavan, K. Prevalence of five biofilm-related oral streptococci species from plaque. J. Clin. Pediatr. Dent. 2011, 36, 161–166. [Google Scholar] [CrossRef]
- Heller, D.; Helmerhorst, E.J.; Gower, A.C.; Siqueira, W.L.; Paster, B.J.; Oppenheim, F.G. Microbial diversity in the early in vivo-formed dental biofilm. Appl. Environ. Microbiol. 2016, 82, 1881–1888. [Google Scholar] [CrossRef]
- Kreth, J.; Merritt, J.; Qi, F. Bacterial and host interactions of oral streptococci. DNA Cell Biol. 2009, 28, 397–403. [Google Scholar] [CrossRef]
- Burton, J.; Wescombe, P.; Cadieux, P.; Tagg, J. Beneficial microbes for the oral cavity: Time to harness the oral streptococci? Benef. Microbes 2011, 2, 93–101. [Google Scholar] [CrossRef]
- Catalya, S.; Komal, B.; Tulpule, S.; Raoof, N.; Sen, S. Isolated streptococcus intermedius pulmonary nodules. IDCases 2017, 8, 48–49. [Google Scholar] [CrossRef]
- Kaga, A.; Higo, R.; Yoshikawa, H.; Yokoi, N.; Haruyama, T.; Komatsu, H.; Yabe, A.; Kusunoki, T.; Ikeda, K. A case of multiple empyema caused by Streptococcus intermedius. Auris Nasus Larynx 2017, 44, 745–748. [Google Scholar] [CrossRef]
- Livingston, L.V.; Perez-Colon, E. Streptococcus intermedius bacteremia and liver abscess following a routine dental cleaning. Case Rep. Infect. Dis. 2014, 2014, 1–4. [Google Scholar] [CrossRef]
- Mishra, A.K.; Fournier, P.-E. The role of Streptococcus intermedius in brain abscess. Eur. J. Clin. Microbiol. Infect. Dis. 2013, 32, 477–483. [Google Scholar] [CrossRef]
- De La Garza-Ramos, M.A.; Galán-Wong, L.J.; Caffesse, R.G.; González-Salazar, F.; Pereyra-Alférez, B. Detection of porphyromonas gingivalis and Streptococcus intermedius in chronic periodontitis patients by multiplex PCR. Gene 2008, 21, 163–167. [Google Scholar]
- Tanner, A.; Maiden, M.F.J.; Lee, K.; Shulman, L.B.; Weber, H.P. Dental implant infections. Clin. Infect. Dis. 1997, 25, S213–S217. [Google Scholar] [CrossRef]
- Petersen, F.C.; Pecharki, D.; Scheie, A.A. Biofilm mode of growth of streptococcus intermedius favored by a competence-stimulating signaling peptide. J. Bacteriol. 2004, 186, 6327–6331. [Google Scholar] [CrossRef]
- Ju, X.; Li, J.; Zhu, M.; Lu, Z.; Lv, F.; Zhu, X.; Bie, X. Effect of the luxS gene on biofilm formation and antibiotic resistance by Salmonella serovar Dublin. Food Res. Int. 2018, 107, 385–393. [Google Scholar] [CrossRef]
- Petersen, F.C.; Ahmed, N.A.A.M.; Naemi, A.; Scheie, A.A. LuxS-mediated signalling in Streptococcus anginosus and its role in biofilm formation. Antonie Van Leeuwenhoek 2006, 90, 109–121. [Google Scholar] [CrossRef] [PubMed]
- Ahmed, N.A.; Petersen, F.C.; Scheie, A.A. AI-2/LuxS is involved in increased biofilm formation by streptococcus intermedius in the presence of antibiotics. Antimicrob. Agents Chemother. 2009, 53, 4258–4263. [Google Scholar] [CrossRef] [PubMed]
- Di Pierro, F.; Colombo, M.; Zanvit, A.; Risso, P.; Rottoli, A. Use of Streptococcus salivarius K12 in the prevention of streptococcal and viral pharyngotonsillitis in children. Drug Healthc. Patient Saf. 2014, 6, 15–20. [Google Scholar] [CrossRef] [PubMed][Green Version]
- Zupancic, K.; Kriksic, V.; Kovacevic, I.; Kovacevic, D. Influence of oral probiotic streptococcus salivarius K12 on ear and oral cavity health in humans: Systematic review. Probiotics Antimicrob. Proteins 2017, 9, 102–110. [Google Scholar] [CrossRef]
- Wescombe, P.A.; Hale, J.D.; Heng, N.C.; Tagg, J.R. Developing oral probiotics from Streptococcus salivarius. Future Microbiol. 2012, 7, 1355–1371. [Google Scholar] [CrossRef]
- Burton, J.P.; Cowley, S.; Simon, R.R.; McKinney, J.; Wescombe, P.A.; Tagg, J.R. Evaluation of safety and human tolerance of the oral probiotic Streptococcus salivarius K12: A randomized, placebo-controlled, double-blind study. Food Chem. Toxicol. 2011, 49, 2356–2364. [Google Scholar] [CrossRef]
- Di Pierro, F.; Colombo, M.; Zanvit, A.; Rottoli, A.S. Positive clinical outcomes derived from using Streptococcus salivarius K12 to prevent streptococcal pharyngotonsillitis in children: A pilot investigation. Drug Healthc. Patient Saf. 2016, 8, 77–81. [Google Scholar] [CrossRef]
- Burton, J.P.; Chilcott, C.N.; Wescombe, P.A.; Tagg, J.R. Extended safety data for the oral cavity probiotic streptococcus salivarius K12. Probiotics Antimicrob. Proteins 2010, 2, 135–144. [Google Scholar] [CrossRef]
- Li, J.; Helmerhorst, E.J.; Leone, C.W.; Troxler, R.F.; Yaskell, T.; Haffajee, A.D.; Socransky, S.S.; Oppenheim, F.G. Identification of early microbial colonizers in human dental biofilm. J. Appl. Microbiol. 2004, 97, 1311–1318. [Google Scholar] [CrossRef]
- Narendrakumar, K.; Kulkarni, M.; Addison, O.; Mazare, A.; Junkar, I.; Schmuki, P.; Sammons, R.; Iglič, A. Adherence of oral streptococci to nanostructured titanium surfaces. Dent. Mater. 2015, 31, 1460–1468. [Google Scholar] [CrossRef]
- Ferrando, M.L.; Schultsz, C. A hypothetical model of host-pathogen interaction of Streptococcus suis in the gastro-intestinal tract. Gut Microbes 2016, 7, 154–162. [Google Scholar] [CrossRef] [PubMed]
- Gong, K.; Ouyang, T.; Herzberg, M.C. A Streptococcal adhesion system for salivary pellicle and platelets. Infect. Immun. 1998, 66, 5388–5392. [Google Scholar] [CrossRef] [PubMed]
- Cavalcanti, I.M.G.; Del Bel Cury, A.A.; Jenkinson, H.F.; Nobbs, A.H. Interactions between Streptococcus oralis, Actinomyces oris, and Candida albicans in the development of multispecies oral microbial biofilms on salivary pellicle. Mol. Oral Microbiol. 2017, 32, 60–73. [Google Scholar] [CrossRef]
- Derks, J.; Håkansson, J.; Wennström, J.L.; Tomasi, C.; Larsson, M.; Berglundh, T. Effectiveness of Implant Therapy Analyzed in a Swedish Population. J. Dent. Res. 2015, 94, 44–51. [Google Scholar] [CrossRef]
- Smeets, R.; Henningsen, A.; Jung, O.; Heiland, M.; Hammächer, C.; Stein, J.M. Definition, etiology, prevention and treatment of peri-implantitis—A review. Head Face Med. 2014, 10, 34. [Google Scholar] [CrossRef] [PubMed]
- Verardi, G.; Cenci, M.S.; Timm, M.T.; Webber, B.; Santos, L.R. Antiseptics and microcosm biofilm formation on titanium surfaces. Braz. Oral Res. 2016, 30. [Google Scholar] [CrossRef]
- Hahnel, S.; Wieser, A.; Lang, R.; Rosentritt, M. Biofilm formation on the surface of modern implant abutment materials. Clin. Oral Implant. Res. 2015, 26, 1297–1301. [Google Scholar] [CrossRef]
- Papathanasiou, E.; Finkelman, M.; Hanley, J.; Parashis, A.O. Prevalence, etiology and treatment of peri-implant mucositis and peri-implantitis: A survey of periodontists in the United States. J. Periodontol. 2016, 87, 493–501. [Google Scholar] [CrossRef]
- Schwendicke, F.; Tu, Y.-K.; Stolpe, M. Preventing and treating peri-implantitis: A cost-effectiveness analysis. J. Periodontol. 2015, 86, 1020–1029. [Google Scholar] [CrossRef]
- Listl, S.; Frühauf, N.; Dannewitz, B.; Weis, C.; Tu, Y.-K.; Chang, H.-J.; Faggion, C.M. Cost-effectiveness of non-surgical peri-implantitis treatments. J. Clin. Periodontol. 2015, 42, 470–477. [Google Scholar] [CrossRef]
- Matthews, D.C. Prevention and treatment of periodontal diseases in primary care. Evid. Based Dent. 2014, 15, 68–69. [Google Scholar] [CrossRef] [PubMed][Green Version]
- Alani, A.; Kelleher, M.; Bishop, K. Peri-implantitis. Part 1: Scope of the problem. Br. Dent. J. 2014, 217, 281–287. [Google Scholar] [CrossRef] [PubMed]
- Takashi, Y.; Urano-Tashiro, Y.; Konishi, K. Adhesins of oral streptococci. Nippon Saikingaku Zasshi 2013, 68, 283–293. [Google Scholar] [CrossRef] [PubMed]
- Saaby, M.; Karring, E.; Schou, S.; Isidor, F. Factors influencing severity of peri-implantitis. Clin. Oral. Implant. Res. 2016, 27, 7–12. [Google Scholar] [CrossRef]
- Nobbs, A.H.; Lamont, R.J.; Jenkinson, H.F. Streptococcus adherence and colonization. Microbiol. Mol. Biol. Rev. 2009, 73, 407–450. [Google Scholar] [CrossRef]
- Ferrando, M.L.; Fuentes, S.; de Greeff, A.; Smith, H.; Wells, J.M. ApuA, a multifunctional α-glucan-degrading enzyme of Streptococcus suis, mediates adhesion to porcine epithelium and mucus. Microbiology 2010, 156, 2818–2828. [Google Scholar] [CrossRef]
- Ferrando, M.L.; de Greeff, A.; van Rooijen, W.J.M.; Stockhofe-Zurwieden, N.; Nielsen, J.; Wichgers Schreur, P.J.; Pannekoek, Y.; Heuvelink, A.; van der Ende, A.; Smith, H.; et al. Host-pathogen interaction at the intestinal mucosa correlates with zoonotic potential of streptococcus suis. J. Infect. Dis. 2015, 212, 95–105. [Google Scholar] [CrossRef]
- Ferrando, M.L.; Willemse, N.; Zaccaria, E.; Pannekoek, Y.; van der Ende, A.; Schultsz, C. Streptococcal adhesin P (SadP) contributes to Streptococcus suis adhesion to the human intestinal epithelium. PLoS ONE 2017, 12, e0175639. [Google Scholar] [CrossRef]
- Dijk, I.A.; Laura Ferrando, M.; Wijk, A.; Hoebe, R.A.; Nazmi, K.; Jonge, W.J.; Krawczyk, P.M.; Bolscher, J.G.M.; Veerman, E.C.I.; Stap, J. Human salivary peptide histatin-1 stimulates epithelial and endothelial cell adhesion and barrier function. FASEB J. 2017, 31, 3922–3933. [Google Scholar] [CrossRef]
- Mashima, I.; Nakazawa, F. Interaction between Streptococcus spp. and veillonella tobetsuensis in the early stages of oral biofilm formation. J. Bacteriol. 2015, 197, 2104–2111. [Google Scholar] [CrossRef]
- Preethanath, R.S.; AlNahas, N.W.; Bin Huraib, S.M.; Al-Balbeesi, H.O.; Almalik, N.K.; Dalati, M.H.N.; Divakar, D.D. Microbiome of dental implants and its clinical aspect. Microb. Pathog. 2017, 106, 20–24. [Google Scholar] [CrossRef] [PubMed]
- Kommerein, N.; Stumpp, S.N.; Müsken, M.; Ehlert, N.; Winkel, A.; Häussler, S.; Behrens, P.; Buettner, F.F.R.; Stiesch, M. An oral multispecies biofilm model for high content screening applications. PLoS ONE 2017, 12, e0173973. [Google Scholar] [CrossRef] [PubMed]
- Rath, H.; Stumpp, S.N.; Stiesch, M. Development of a flow chamber system for the reproducible in vitro analysis of biofilm formation on implant materials. PLoS ONE 2017, 12, e0172095. [Google Scholar] [CrossRef] [PubMed]
- Semmelhack, M.F.; Campagna, S.R.; Federle, M.J.; Bassler, B.L. An expeditious synthesis of DPD and boron binding studies. Org. Lett. 2005, 7, 569–572. [Google Scholar] [CrossRef]
- He, Z.; Liang, J.; Zhou, W.; Xie, Q.; Tang, Z.; Ma, R.; Huang, Z. Effect of the quorum-sensing luxS gene on biofilm formation by enterococcus faecalis. Eur. J. Oral Sci. 2016, 124, 234–240. [Google Scholar] [CrossRef]
- He, Z.; Liang, J.; Tang, Z.; Ma, R.; Peng, H.; Huang, Z. Role of the luxS Gene in initial biofilm formation by streptococcus mutans. Microb. Physiol. 2015, 25, 60–68. [Google Scholar] [CrossRef]
- Pecharki, D.; Petersen, F.C.; Scheie, A.A. LuxS and expression of virulence factors in Streptococcus intermedius. Oral Microbiol. Immunol. 2007, 23, 79–83. [Google Scholar] [CrossRef]
- Bucci, V.; Nadell, C.D.; Xavier, J.B. The evolution of bacteriocin production in bacterial biofilms. Am. Nat. 2011, 178, E162–E173. [Google Scholar] [CrossRef]
- Graham, C.E.; Cruz, M.R.; Garsin, D.A.; Lorenz, M.C. Enterococcus faecalis bacteriocin EntV inhibits hyphal morphogenesis, biofilm formation, and virulence of Candida albicans. Proc. Natl. Acad. Sci. USA 2017, 114, 4507–4512. [Google Scholar] [CrossRef]
- Patras, K.A.; Wescombe, P.A.; Rösler, B.; Hale, J.D.; Tagg, J.R.; Doran, K.S. Streptococcus salivarius K12 limits group B streptococcus vaginal colonization. Infect. Immun. 2015, 83, 3438–3444. [Google Scholar] [CrossRef]
- Di Pierro, F.; Colombo, M.; Giuliani, M.G.; Danza, M.L.; Basile, I.; Bollani, T.; Conti, A.M.; Zanvit, A.; Rottoli, A.S. Effect of administration of Streptococcus salivarius K12 on the occurrence of streptococcal pharyngo-tonsillitis, scarlet fever and acute otitis media in 3 years old children. Eur. Rev. Med. Pharm. Sci. 2016, 20, 4601–4606. [Google Scholar]
- Denotti, G.; Piga, R.; Montaldo, C.; Erriu, M.; Pilia, F.; Piras, A.; De Luca, M.; Orrù, G. In vitro evaluation of enterococcus faecalis adhesion on various endodontic medicaments. Open Dent. J. 2009, 3, 120–124. [Google Scholar] [CrossRef] [PubMed]
- Chouirfa, H.; Bouloussa, H.; Migonney, V.; Falentin-Daudré, C. Review of titanium surface modification techniques and coatings for antibacterial applications. Acta Biomaterialia 2019, 83, 37–54. [Google Scholar] [CrossRef] [PubMed]
- Lorenzetti, M.; Dogša, I.; Stošicki, T.; Stopar, D.; Kalin, M.; Kobe, S.; Novak, S. The influence of surface modification on bacterial adhesion to titanium-based substrates. ACS Appl. Mater. Interfaces 2015, 7, 1644–1651. [Google Scholar] [CrossRef] [PubMed]
- Pongtharangkul, T.; Demirci, A. Evaluation of agar diffusion bioassay for nisin quantification. Appl. Microbiol. Biotechnol. 2004, 65, 268–272. [Google Scholar] [CrossRef] [PubMed]
- Barberis, A.; Deiana, M.; Spissu, Y.; Azara, E.; Fadda, A.; Serra, P.A.; D’hallewin, G.; Pisano, M.; Serreli, G.; Orrù, G.; et al. Antioxidant, antimicrobial, and other biological properties of pompia juice. Molecules 2020, 25, 3186. [Google Scholar] [CrossRef] [PubMed]
- Orrù, G.; Demontis, C.; Mameli, A.; Tuveri, E.; Coni, P.; Pichiri, G.; Coghe, F.; Rosa, A.; Rossi, P.; D’hallewin, G. The selective interaction of pistacia lentiscus oil vs. human streptococci, an old functional food revisited with new tools. Front. Microbiol. 2017, 8, 2067. [Google Scholar] [CrossRef]
- Xiong, J.; Yang, Q.; Kang, J.; Sun, Y.; Zhang, T.; Margaret, G.; Ding, W. Simultaneous isolation of DNA, RNA, and protein from Medicago truncatula L. Electrophoresis 2011, 32, 321–330. [Google Scholar] [CrossRef]
- Hocman, G.; Palkovic, M. Protein determination: A comparison of several methods. Biochem. Exp. Biol. 1977, 13, 391–396. [Google Scholar]
- Arcadu, B.; Orrù, M.; Piga, R.; Orrù, G. Designing of sequencing assay assisted by capillary electrophoresis based on DNA folding analysis: An application to the VCAM1 gene. Electrophoresis 2012, 33, 1215–1219. [Google Scholar] [CrossRef]
- Livak, K.J.; Schmittgen, T.D. Analysis of relative gene expression data using real-time quantitative PCR and the 2(-Delta Delta C(T)) method. Methods 2001, 25, 402–408. [Google Scholar] [CrossRef] [PubMed]
- Mishra, P.; Singh, U.; Pandey, C.; Mishra, P.; Pandey, G. Application of student’s t-test, analysis of variance, and covariance. Ann. Card. Anaesth. 2019, 22, 407. [Google Scholar] [CrossRef] [PubMed]






| Filtrate | MIC | MBC | MBIC |
|---|---|---|---|
| Medium (%) | |||
| S. salivarius medium | 50 | >50 | 12.5 |
| Control | >50 | >50 | >50 |
| Oligo Name | Oligo Sequence 5′–3′ | Oligo Name | Gene Name GenBank Accession | bp |
|---|---|---|---|---|
| S. salivarius | GTAAAGCTCTGTTGTAAGTC | OG439 | 16S rRNA AY692453 | 600 |
| AACTTTCTATCTCTAGAAATA | OG440 | |||
| S. intermedius | GTAAAGCTCTGTTGTTAAGG | OG437 | 16S rRNA AF104671 | 600 |
| AAAGCTCTATCTCTAGAGCGG | OG438 | |||
| S. intermedius | ATTGTCAAAGCCCCTTAT | OG349 | luxS DQ836241 | 266 |
Publisher’s Note: MDPI stays neutral with regard to jurisdictional claims in published maps and institutional affiliations. |
© 2020 by the authors. Licensee MDPI, Basel, Switzerland. This article is an open access article distributed under the terms and conditions of the Creative Commons Attribution (CC BY) license (http://creativecommons.org/licenses/by/4.0/).
Share and Cite
Vacca, C.; Contu, M.P.; Rossi, C.; Ferrando, M.L.; Blus, C.; Szmukler-Moncler, S.; Scano, A.; Orrù, G. In vitro Interactions between Streptococcus intermedius and Streptococcus salivarius K12 on a Titanium Cylindrical Surface. Pathogens 2020, 9, 1069. https://doi.org/10.3390/pathogens9121069
Vacca C, Contu MP, Rossi C, Ferrando ML, Blus C, Szmukler-Moncler S, Scano A, Orrù G. In vitro Interactions between Streptococcus intermedius and Streptococcus salivarius K12 on a Titanium Cylindrical Surface. Pathogens. 2020; 9(12):1069. https://doi.org/10.3390/pathogens9121069
Chicago/Turabian StyleVacca, Carla, Maria Paola Contu, Cecilia Rossi, Maria Laura Ferrando, Cornelio Blus, Serge Szmukler-Moncler, Alessandra Scano, and Germano Orrù. 2020. "In vitro Interactions between Streptococcus intermedius and Streptococcus salivarius K12 on a Titanium Cylindrical Surface" Pathogens 9, no. 12: 1069. https://doi.org/10.3390/pathogens9121069
APA StyleVacca, C., Contu, M. P., Rossi, C., Ferrando, M. L., Blus, C., Szmukler-Moncler, S., Scano, A., & Orrù, G. (2020). In vitro Interactions between Streptococcus intermedius and Streptococcus salivarius K12 on a Titanium Cylindrical Surface. Pathogens, 9(12), 1069. https://doi.org/10.3390/pathogens9121069

