The Negative Impact of Maternal HIV Infection on Birth Outcomes—Myth or Reality?
Abstract
1. Introduction
The Romanian “Historic HIV Cohort” (RHC)
2. Materials and Methods
2.1. Study Sample
2.2. Ethical Statements
2.3. Data Analysis
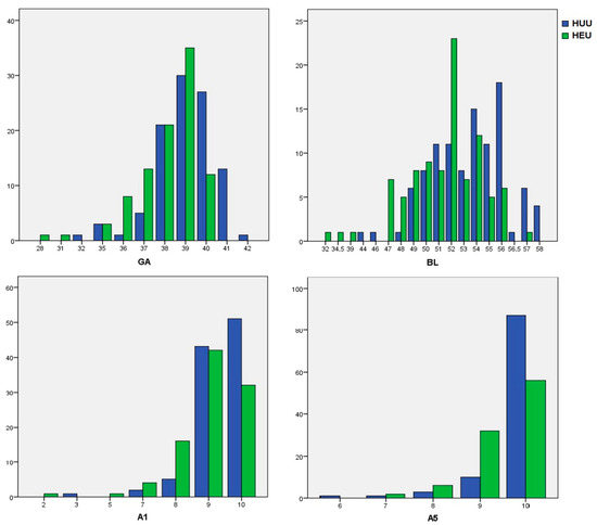
3. Results
Descriptive Analysis
4. Discussion
4.1. Prematurity
4.2. Birth Weight
4.3. Apgar Score
5. Conclusions
Author Contributions
Funding
Institutional Review Board Statement
Informed Consent Statement
Data Availability Statement
Acknowledgments
Conflicts of Interest
References
- UNAIDS. Leads the World’s Most Extensive Data Collection on HIV Epidemiology, Programme Coverage and Finance. Available online: https://www.unaids.org/en/topic/data (accessed on 17 September 2023).
- WHO. Introduction and Objectives. In Antiretroviral Drugs for Treating Pregnant Women and Preventing HIV Infection in Infants: Recommendations for a Public Health Approach: 2010 Version; World Health Organization: Geneva, Switzerland, 2010. Available online: https://www.ncbi.nlm.nih.gov/books/NBK304930/ (accessed on 12 May 2024).
- Mother-to-Child Transmission of HIV. Available online: https://www.who.int/teams/global-hiv-hepatitis-and-stis-programmes/hiv/prevention/mother-to-child-transmission-of-hiv (accessed on 23 September 2023).
- Shinar, S.; Agrawal, S.; Ryu, M.; Walmsley, S.; Serghides, L.; Yudin, M.H.; Murphy, K.E. Perinatal outcomes in women living with HIV-1 and receiving antiretroviral therapy—A systematic review and meta-analysis. Acta Obstet. Gynecol. Scand. 2022, 101, 168–182. [Google Scholar] [CrossRef] [PubMed]
- Brennan, A.T.; Bonawitz, R.; Gill, C.J.; Thea, D.M.; Kleinman, M.; Long, L.; McCallum, C.; Fox, M.P. A Meta-analysis Assessing Diarrhea and Pneumonia in HIV-Exposed Uninfected Compared with HIV-Unexposed Uninfected Infants and Children. J. Acquir. Immune Defic. Syndr. 2019, 82, 1–8. [Google Scholar] [CrossRef] [PubMed]
- Reitter, A.; Stücker, A.; Linde, R.; Königs, C.; Knecht, G.; Herrmann, E.; Schlößer, R.; Louwen, F.; Haberl, A. Pregnancy complications in HIV-positive women: 11-year data from the Frankfurt HIV Cohort. HIV Med. 2014, 15, 525–536. [Google Scholar] [CrossRef] [PubMed]
- Zaba, B.; Calvert, C.; Marston, M.; Isingo, R.; Nakiyingi-Miiro, J.; Lutalo, T.; Crampin, A.; Robertson, L.; Herbst, K.; Newell, M.-L.; et al. Effect of HIV infection on pregnancy-related mortality in sub-Saharan Africa: Secondary analyses of pooled community-based data from the network for Analysing Longitudinal Population-based HIV/AIDS data on Africa (ALPHA). Lancet 2013, 381, 1763–1771. [Google Scholar] [CrossRef]
- Wedi, C.O.O.; Kirtley, S.; Hopewell, S.; Corrigan, R.; Kennedy, S.H.; Hemelaar, J. Perinatal outcomes associated with maternal HIV infection: A systematic review and meta-analysis. Lancet HIV 2016, 3, e33–e48. [Google Scholar] [CrossRef]
- Tukei, V.J.; Hoffman, H.J.; Greenberg, L.; Thabelo, R.; Nchephe, M.; Mots’oane, T.; Masitha, M.; Chabela, M.; Mokone, M.; Mofenson, L.; et al. Adverse Pregnancy Outcomes Among HIV-positive Women in the Era of Universal Antiretroviral Therapy Remain Elevated Compared With HIV-negative Women. Pediatr. Infect. Dis. J. 2021, 40, 821. [Google Scholar] [CrossRef]
- Rollins, N.C.; Coovadia, H.M.; Bland, R.M.; Coutsoudis, A.; Bennish, M.L.; Patel, D.; Newell, M.-L. Pregnancy Outcomes in HIV-Infected and Uninfected Women in Rural and Urban South Africa. JAIDS J. Acquir. Immune Defic. Syndr. 2007, 44, 321. [Google Scholar] [CrossRef]
- Eckard, A.R.; Kirk, S.E.; Hagood, N.L. Contemporary Issues in Pregnancy (and Offspring) in the Current HIV Era. Curr. HIV/AIDS Rep. 2019, 16, 492–500. [Google Scholar] [CrossRef]
- Wedderburn, C.J.; Evans, C.; Yeung, S.; Gibb, D.M.; Donald, K.A.; Prendergast, A.J. Growth and Neurodevelopment of HIV-Exposed Uninfected Children: A Conceptual Framework. Curr. HIV/AIDS Rep. 2019, 16, 501–513. [Google Scholar] [CrossRef]
- HIV.gov. HIV and Pregnancy: Protecting Mother and Child. Available online: https://www.hiv.gov/hiv-basics/hiv-prevention/reducing-mother-to-child-risk/preventing-mother-to-child-transmission-of-hiv (accessed on 13 September 2023).
- Peters, H.; Francis, K.; Sconza, R.; Horn, A.; S Peckham, C.; Tookey, P.A.; Thorne, C. UK Mother-to-Child HIV Transmission Rates Continue to Decline: 2012–2014. Clin. Infect. Dis. 2017, 64, 527–528. [Google Scholar] [CrossRef]
- Portwood, C.; Sexton, H.; Kumarendran, M.; Brandon, Z.; Kirtley, S.; Hemelaar, J. Adverse perinatal outcomes associated with antiretroviral therapy in women living with HIV: A systematic review and meta-analysis. Front. Med. 2023, 9, 924593. Available online: https://www.frontiersin.org/articles/10.3389/fmed.2022.924593 (accessed on 25 February 2024). [CrossRef] [PubMed]
- Arikawa, S.; Rollins, N.; Newell, M.-L.; Becquet, R. Mortality risk and associated factors in HIV-exposed, uninfected children. Trop. Med. Int. Health 2016, 21, 720–734. [Google Scholar] [CrossRef] [PubMed]
- Fiore, S.; Newell, M.-L.; Trabattoni, D.; Thorne, C.; Gray, L.; Savasi, V.; Tibaldi, C.; Ferrazzi, E.; Clerici, M. Antiretroviral therapy-associated modulation of Th1 and Th2 immune responses in HIV-infected pregnant women. J. Reprod. Immunol. 2006, 70, 143–150. [Google Scholar] [CrossRef] [PubMed]
- Sibiude, J.; Mandelbrot, L.; Blanche, S.; Le Chenadec, J.; Boullag-Bonnet, N.; Faye, A.; Dollfus, C.; Tubiana, R.; Bonnet, D.; Lelong, N.; et al. Association between prenatal exposure to antiretroviral therapy and birth defects: An analysis of the French perinatal cohort study (ANRS CO1/CO11). PLoS Med. 2014, 11, e1001635. [Google Scholar] [CrossRef]
- Zash, R.; Holmes, L.; Diseko, M.; Jacobson, D.L.; Brummel, S.; Mayondi, G.; Isaacson, A.; Davey, S.; Mabuta, J.; Mmalane, M.; et al. Neural-Tube Defects and Antiretroviral Treatment Regimens in Botswana. N. Engl. J. Med. 2019, 381, 827–840. [Google Scholar] [CrossRef]
- Suy, A.; Martínez, E.; Coll, O.; Lonca, M.; Palacio, M.; de Lazzari, E.; Larrousse, M.; Milinkovic, A.; Hernández, S.; Blanco, J.L.; et al. Increased risk of pre-eclampsia and fetal death in HIV-infected pregnant women receiving highly active antiretroviral therapy. AIDS 2006, 20, 59–66. [Google Scholar] [CrossRef]
- Van Dyke, R.B.; Chadwick, E.G.; Hazra, R.; Williams, P.L.; Seage, G.R. The PHACS SMARTT Study: Assessment of the Safety of In Utero Exposure to Antiretroviral Drugs. Front. Immunol. 2016, 7, 199. [Google Scholar] [CrossRef]
- Szyld, E.G.; Warley, E.M.; Freimanis, L.; Gonin, R.; Cahn, P.E.; Calvet, G.A.; Duarte, G.; Melo, V.H.; Read, J.S.; NISDI Perinatal Study Group. Maternal antiretroviral drugs during pregnancy and infant low birth weight and preterm birth. AIDS 2006, 20, 2345–2353. [Google Scholar] [CrossRef]
- Kesho Bora Study Group; de Vincenzi, I. Triple antiretroviral compared with zidovudine and single-dose nevirapine prophylaxis during pregnancy and breastfeeding for prevention of mother-to-child transmission of HIV-1 (Kesho Bora study): A randomised controlled trial. Lancet Infect. Dis. 2011, 11, 171–180. [Google Scholar] [CrossRef]
- Nachega, J.B.; Uthman, O.A.; Mofenson, L.M.; Anderson, J.R.; Kanters, S.; Renaud, F.; Ford, N.; Essajee, S.; Doherty, M.C.; Mills, E.J. Safety of Tenofovir Disoproxil Fumarate–Based Antiretroviral Therapy Regimens in Pregnancy for HIV-Infected Women and Their Infants: A Systematic Review and Meta-Analysis. J. Acquir. Immune Defic. Syndr. 2017, 76, 1–12. [Google Scholar] [CrossRef]
- HIV Outcomes. Romania—Ceausescu’s Children. Available online: https://hivoutcomes.eu/case_study/romania-ceausescus-children/ (accessed on 10 October 2023).
- HIV/AIDS Evolution in Romania 1985–2003. Available online: https://www.cnlas.ro/images/doc/1985_2003.pdf (accessed on 29 February 2024).
- Powderly, W.G. Long-term exposure to lifelong therapies. J. Acquir. Immune Defic. Syndr. 2002, 29 (Suppl. S1), S28–S40. [Google Scholar] [CrossRef] [PubMed]
- Rudorf, D.C.; Krikorian, S.A. Adverse Effects Associated with Antiretroviral Therapy and Potential Management Strategies. J. Pharm. Pract. 2005, 18, 258–277. [Google Scholar] [CrossRef]
- French, M.A.; King, M.S.; Tschampa, J.M.; da Silva, B.A.; Landay, A.L. Serum immune activation markers are persistently increased in patients with HIV infection after 6 years of antiretroviral therapy despite suppression of viral replication and reconstitution of CD4+ T cells. J. Infect. Dis. 2009, 200, 1212–1215. [Google Scholar] [CrossRef] [PubMed]
- Neuhaus, J.; Jacobs, D.R.; Baker, J.V.; Calmy, A.; Duprez, D.; La Rosa, A.; Kuller, L.H.; Pett, S.L.; Ristola, M.; Ross, M.J.; et al. Markers of Inflammation, Coagulation and Renal Function Are Elevated in Adults with HIV Infection. J. Infect. Dis. 2010, 201, 1788–1795. [Google Scholar] [CrossRef]
- Sauder, M.W.; Lee, S.E.; Schulze, K.J.; Christian, P.; Wu, L.S.F.; Khatry, S.K.; LeClerq, S.C.; Adhikari, R.K.; Groopman, J.D.; West, K.P. Inflammation throughout pregnancy and fetal growth restriction in rural Nepal. Epidemiol. Infect. 2019, 147, e258. [Google Scholar] [CrossRef]
- Ragsdale, H.B.; Kuzawa, C.W.; Borja, J.B.; Avila, J.L.; McDade, T.W. Regulation of inflammation during gestation and birth outcomes: Inflammatory cytokine balance predicts birth weight and length. Am. J. Hum. Biol. 2019, 31, e23245. [Google Scholar] [CrossRef]
- Han, V.X.; Patel, S.; Jones, H.F.; Nielsen, T.C.; Mohammad, S.S.; Hofer, M.J.; Gold, W.; Brilot, F.; Lain, S.J.; Nassar, N.; et al. Maternal acute and chronic inflammation in pregnancy is associated with common neurodevelopmental disorders: A systematic review. Transl. Psychiatry 2021, 11, 71. [Google Scholar] [CrossRef]
- Powis, K.M.; Kitch, D.; Ogwu, A.; Hughes, M.D.; Lockman, S.; Leidner, J.; van Widenfelt, E.; Moffat, C.; Moyo, S.; Makhema, J.; et al. Increased risk of preterm delivery among HIV-infected women randomized to protease versus nucleoside reverse transcriptase inhibitor-based HAART during pregnancy. J. Infect. Dis. 2011, 204, 506–514. [Google Scholar] [CrossRef]
- Watts, D.H.; Williams, P.L.; Kacanek, D.; Griner, R.; Rich, K.; Hazra, R.; Mofenson, L.M.; Mendez, H.A.; Pediatric HIV/AIDS Cohort Study. Combination antiretroviral use and preterm birth. J. Infect. Dis. 2013, 207, 612–621. [Google Scholar] [CrossRef]
- Papp, E.; Mohammadi, H.; Loutfy, M.R.; Yudin, M.H.; Murphy, K.E.; Walmsley, S.L.; Shah, R.; MacGillivray, J.; Silverman, M.; Serghides, L. HIV protease inhibitor use during pregnancy is associated with decreased progesterone levels, suggesting a potential mechanism contributing to fetal growth restriction. J. Infect. Dis. 2015, 211, 10–18. [Google Scholar] [CrossRef]
- von Moltke, L.L.; Greenblatt, D.J.; Grassi, J.M.; Granda, B.W.; Duan, S.X.; Fogelman, S.M.; Daily, J.P.; Harmatz, J.S.; Shader, R.I. Protease inhibitors as inhibitors of human cytochromes P450: High risk associated with ritonavir. J. Clin. Pharmacol. 1998, 38, 106–111. [Google Scholar] [CrossRef] [PubMed]
- Lewis, W.; Dalakas, M.C. Mitochondrial toxicity of antiviral drugs. Nat. Med. 1995, 1, 417–422. [Google Scholar] [CrossRef]
- Zeitlin, J.; Szamotulska, K.; Drewniak, N.; Mohangoo, A.; Chalmers, J.; Sakkeus, L.; Irgens, L.; Gatt, M.; Gissler, M.; Blondel, B. Preterm birth time trends in Europe: A study of 19 countries. BJOG 2013, 120, 1356–1365. [Google Scholar] [CrossRef] [PubMed]
- Schmid, C.H.; Jamieson, D.J.; Lau, J. Use of antiretroviral therapy in pregnant HIV-infected women and the risk of premature delivery: A meta-analysis. AIDS 2007, 21, 607–615. [Google Scholar] [CrossRef]
- Li, N.; Sando, M.M.; Spiegelman, D.; Hertzmark, E.; Liu, E.; Sando, D.; Machumi, L.; Chalamilla, G.; Fawzi, W. Antiretroviral Therapy in Relation to Birth Outcomes among HIV-infected Women: A Cohort Study. J. Infect. Dis. 2016, 213, 1057–1064. [Google Scholar] [CrossRef] [PubMed]
- Uthman, O.A.; Nachega, J.B.; Anderson, J.; Kanters, S.; Mills, E.J.; Renaud, F.; Essajee, S.; Doherty, M.C.; Mofenson, L.M. Timing of initiation of antiretroviral therapy and adverse pregnancy outcomes: A systematic review and meta-analysis. Lancet HIV 2017, 4, e21–e30. [Google Scholar] [CrossRef]
- Sibiude, J.; Warszawski, J.; Tubiana, R.; Dollfus, C.; Faye, A.; Rouzioux, C.; Teglas, J.-P.; Ekoukou, D.; Blanche, S.; Mandelbrot, L. Premature delivery in HIV-infected women starting protease inhibitor therapy during pregnancy: Role of the ritonavir boost? Clin. Infect. Dis. 2012, 54, 1348–1360. [Google Scholar] [CrossRef]
- Hocquette, A.; Durox, M.; Wood, R.; Klungsøyr, K.; Szamotulska, K.; Berrut, S.; Rihs, T.; Kyprianou, T.; Sakkeus, L.; Lecomte, A.; et al. International versus national growth charts for identifying small and large-for-gestational age newborns: A population-based study in 15 European countries. Lancet Reg. Health Eur. 2021, 8, 100167. [Google Scholar] [CrossRef]
- Preterm Birth. Available online: https://www.who.int/news-room/fact-sheets/detail/preterm-birth (accessed on 28 February 2024).
- McCormick, M.C.; Litt, J.S.; Smith, V.C.; Zupancic, J.A.F. Prematurity: An overview and public health implications. Annu. Rev. Public Health 2011, 32, 367–379. [Google Scholar] [CrossRef]
- Vilanova, C.S.; Hirakata, V.N.; de Souza Buriol, V.C.; Nunes, M.; Goldani, M.Z.; da Silva, C.H. The relationship between the different low birth weight strata of newborns with infant mortality and the influence of the main health determinants in the extreme south of Brazil. Popul. Health Metr. 2019, 17, 15. [Google Scholar] [CrossRef]
- Simon, L.V.; Hashmi, M.F.; Bragg, B.N. APGAR Score. In StatPearls; StatPearls Publishing: Treasure Island, FL, USA, 2024. Available online: http://www.ncbi.nlm.nih.gov/books/NBK470569/ (accessed on 29 February 2024).
- BMJ. Apgar Scores “within the Normal Range” Linked to Higher Risks of Illness and Death. Available online: https://www.bmj.com/company/newsroom/apgar-scores-within-the-normal-range-linked-to-higher-risks-of-illness-and-death/ (accessed on 29 February 2024).
- Mellqvist, H.; Saggers, R.T.; Elfvin, A.; Hentz, E.; Ballot, D.E. The effects of exposure to HIV in neonates at a referral hospital in South Africa. BMC Pediatr. 2021, 21, 485. [Google Scholar] [CrossRef] [PubMed]
- White, M.; Feucht, U.; Duffley, E.; Molokoane, F.; Durandt, C.; Cassol, E.; Rossouw, T.; Connor, K. Does in Utero HIV-Exposure Influence Infant Development and Immune Outcomes? Findings from a Pilot Study in Pretoria, South Africa. Pilot Feasibil. Stud. 2019, 6, 192. [Google Scholar] [CrossRef] [PubMed]
- Habib, N.A.; Daltveit, A.K.; Bergsjø, P.; Shao, J.; Oneko, O.; Lie, R.T. Maternal HIV status and pregnancy outcomes in northeastern Tanzania: A registry-based study. BJOG 2008, 115, 616–624. [Google Scholar] [CrossRef] [PubMed]


| A1: 10 | A2: 5 | A3: 0 |
| B1: 4 | B2: 12 | B3: 14 |
| C1: 2 | C2: 7 | C3: 24 |
| HEU (102) | GA (Weeks) | BW (g) | BL (cm) | A1 | A5 | HUU (102) | GA (Weeks) | BW (g) | BL (cm) | A1 | A5 |
|---|---|---|---|---|---|---|---|---|---|---|---|
| Mean | 38.21 | 2885.9 | 51.26 | 9.02 | 9.52 | Mean | 39.03 | 3273.2 | 53.35 | 9.35 | 9.77 |
| 95% CI | 37.86–38.56 | 2776.7–2995.0 | 50.52–52.01 | 8.78–9.26 | 9.37–9.66 | 95% CI | 38.73–39.33 | 3172.9–3373.6 | 52.80–53.90 | 9.17–9.54 | 9.65–9.90 |
| SD | 1.643 | 512.1 | 3.5 | 1.13 | 0.68 | SD | 1.525 | 510.97 | 2.80 | 0.93 | 0.64 |
| Median | 39 | 2860.0 | 52 | 9 | 10 | Median | 39 | 3300 | 54.000 | 9.50 | 10 |
| MIN | 28 | 1150 | 32 | 2 | 7 | MIN | 32 | 1800 | 44 | 3 | 6 |
| MAX | 40 | 4160 | 57 | 10 | 10 | MAX | 42 | 4500 | 58 | 10 | 10 |
| HEUc (60) | GA (Weeks) | BW (g) | BL (cm) | A1 | A5 | HEUnc (42) | GA (Weeks) | BW (g) | BL (cm) | A1 | A5 |
| Mean | 37.97 | 2913.9 | 51.62 | 9 | 9.51 | Mean | 38.32 | 2840.3 | 50.69 | 9.03 | 9.55 |
| 95% CI | 37.16–38.78 | 2763.1–3064.7 | 50.88–52.36 | 8.65– 9.35 | 9.31–9.71 | 95% CI | 37.96–38.69 | 2658.2–3022.4 | 48.88–52.50 | 8.69– 9.38 | 9.31–9.79 |
| SD | 2.13 | 547.21 | 2.69 | 1.28 | 0.72 | SD | 1.32 | 478.78 | 4.73 | 0.90 | 0.63 |
| Median | 39 | 2900 | 52 | 9 | 10 | Median | 39 | 2800 | 52 | 9.00 | 10 |
| MIN | 28 | 1650 | 47 | 2 | 7 | MIN | 35 | 1150 | 32 | 7 | 8 |
| MAX | 40 | 4160 | 57 | 10 | 10 | MAX | 40 | 3510 | 55 | 10 | 10 |
Disclaimer/Publisher’s Note: The statements, opinions and data contained in all publications are solely those of the individual author(s) and contributor(s) and not of MDPI and/or the editor(s). MDPI and/or the editor(s) disclaim responsibility for any injury to people or property resulting from any ideas, methods, instructions or products referred to in the content. |
© 2024 by the authors. Licensee MDPI, Basel, Switzerland. This article is an open access article distributed under the terms and conditions of the Creative Commons Attribution (CC BY) license (https://creativecommons.org/licenses/by/4.0/).
Share and Cite
Fleșeriu, T.; Meliț, L.E.; Mărginean, C.O.; Văsieșiu, A.-M. The Negative Impact of Maternal HIV Infection on Birth Outcomes—Myth or Reality? Pathogens 2024, 13, 808. https://doi.org/10.3390/pathogens13090808
Fleșeriu T, Meliț LE, Mărginean CO, Văsieșiu A-M. The Negative Impact of Maternal HIV Infection on Birth Outcomes—Myth or Reality? Pathogens. 2024; 13(9):808. https://doi.org/10.3390/pathogens13090808
Chicago/Turabian StyleFleșeriu, Tudor, Lorena Elena Meliț, Cristina Oana Mărginean, and Anca-Meda Văsieșiu. 2024. "The Negative Impact of Maternal HIV Infection on Birth Outcomes—Myth or Reality?" Pathogens 13, no. 9: 808. https://doi.org/10.3390/pathogens13090808
APA StyleFleșeriu, T., Meliț, L. E., Mărginean, C. O., & Văsieșiu, A.-M. (2024). The Negative Impact of Maternal HIV Infection on Birth Outcomes—Myth or Reality? Pathogens, 13(9), 808. https://doi.org/10.3390/pathogens13090808

