Evaluation of the In-Vitro Effects of Albendazole, Mebendazole, and Praziquantel Nanocapsules against Protoscolices of Hydatid Cyst
Abstract
1. Introduction
2. Materials and Methods
2.1. Collection of Protoscolices
2.2. Development of Encapsulated Drugs
2.3. Zeta Potential, Particle Size Analyzer (PSA) Technique, and Scanning Electron Microscopy (SEM)
2.4. Scolicidal Assay
2.5. Statistical Analysis
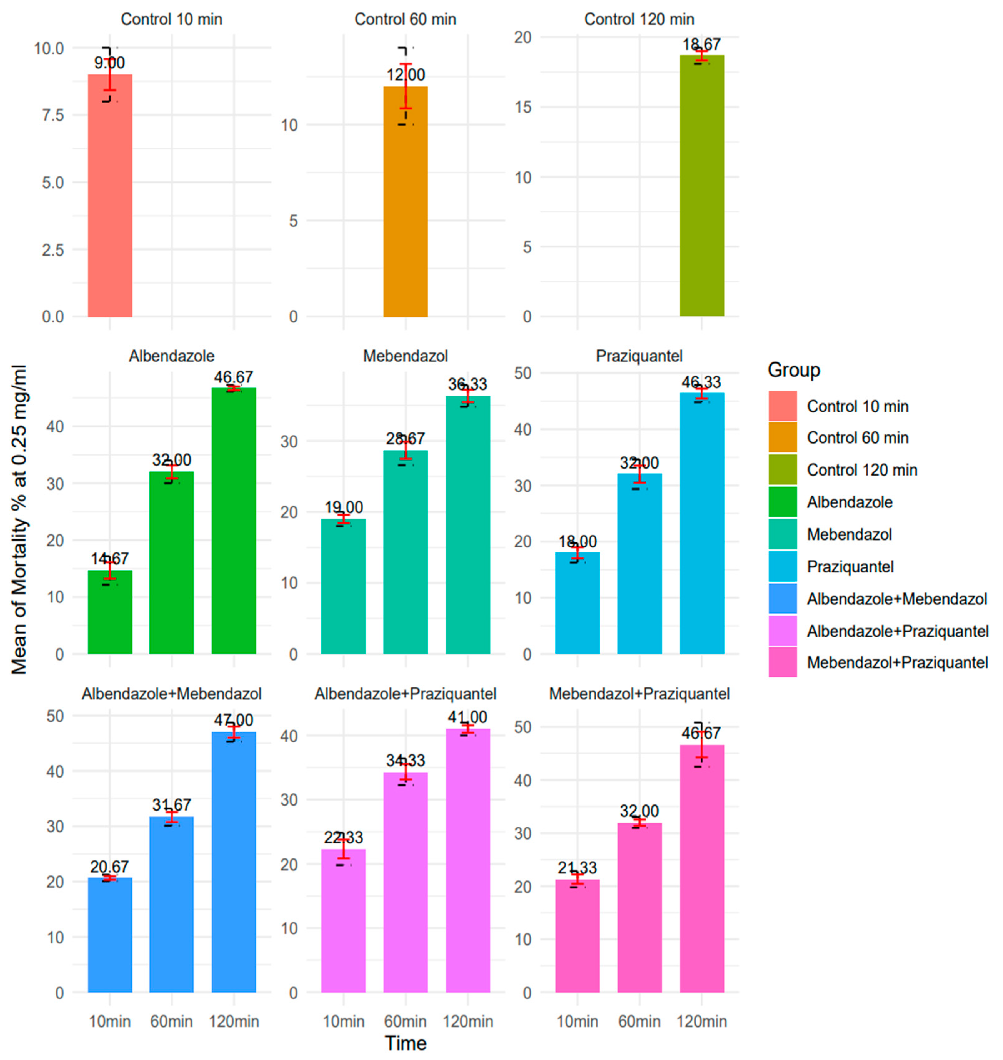
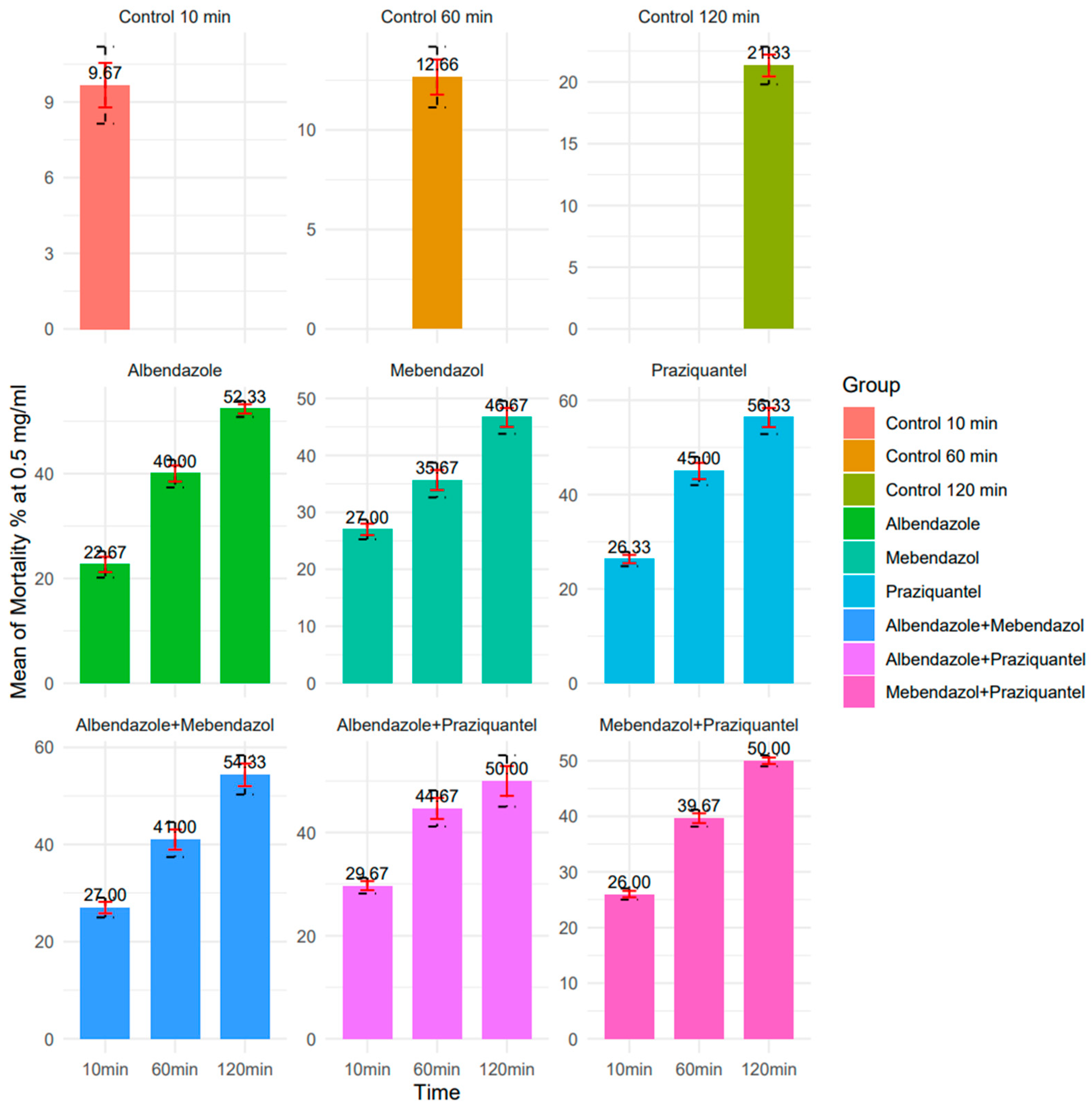
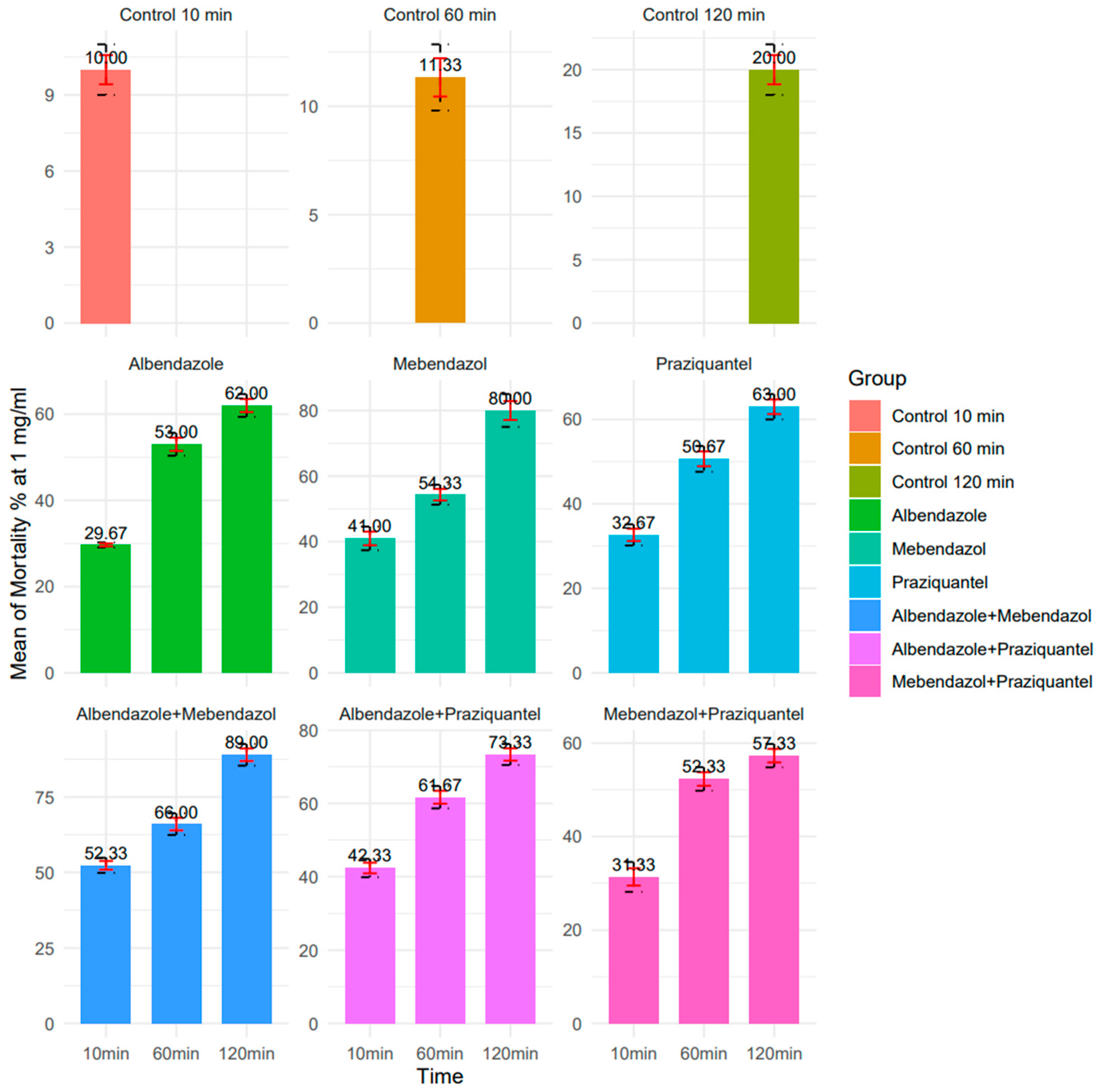
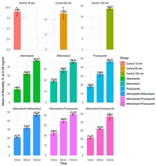
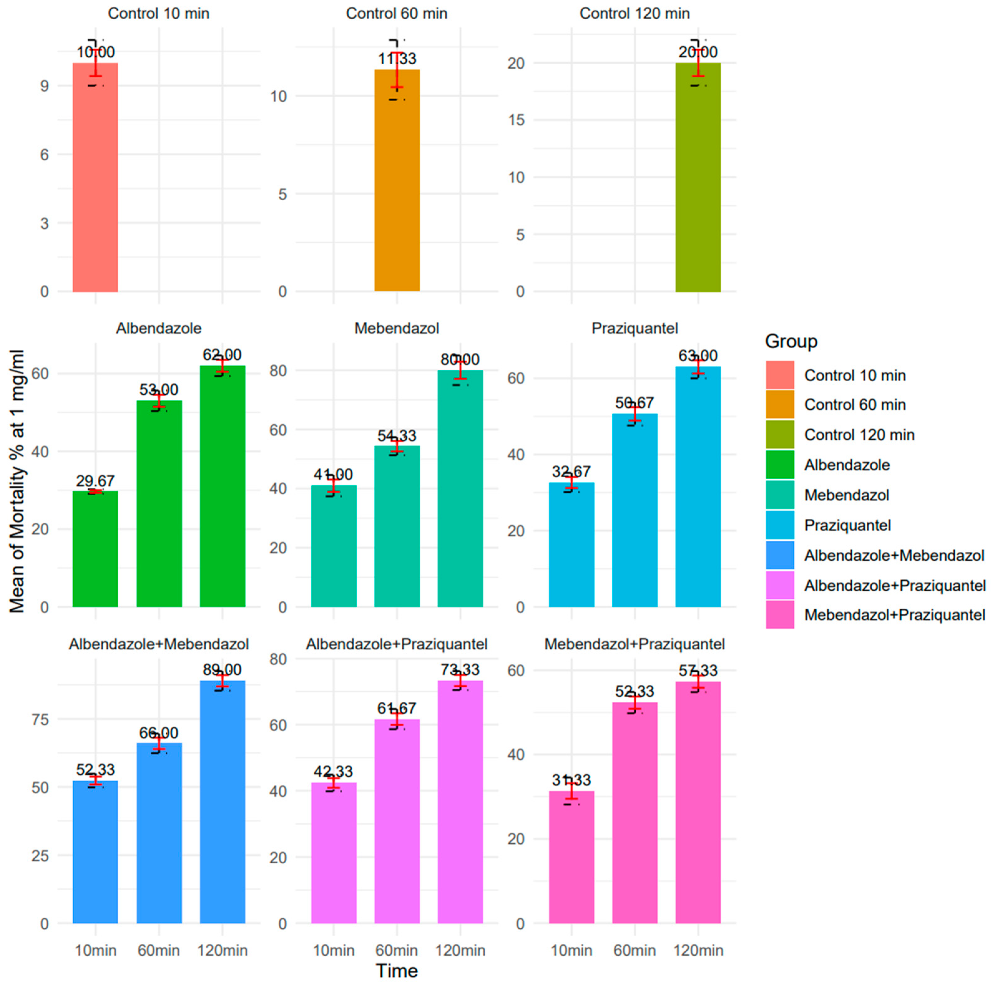
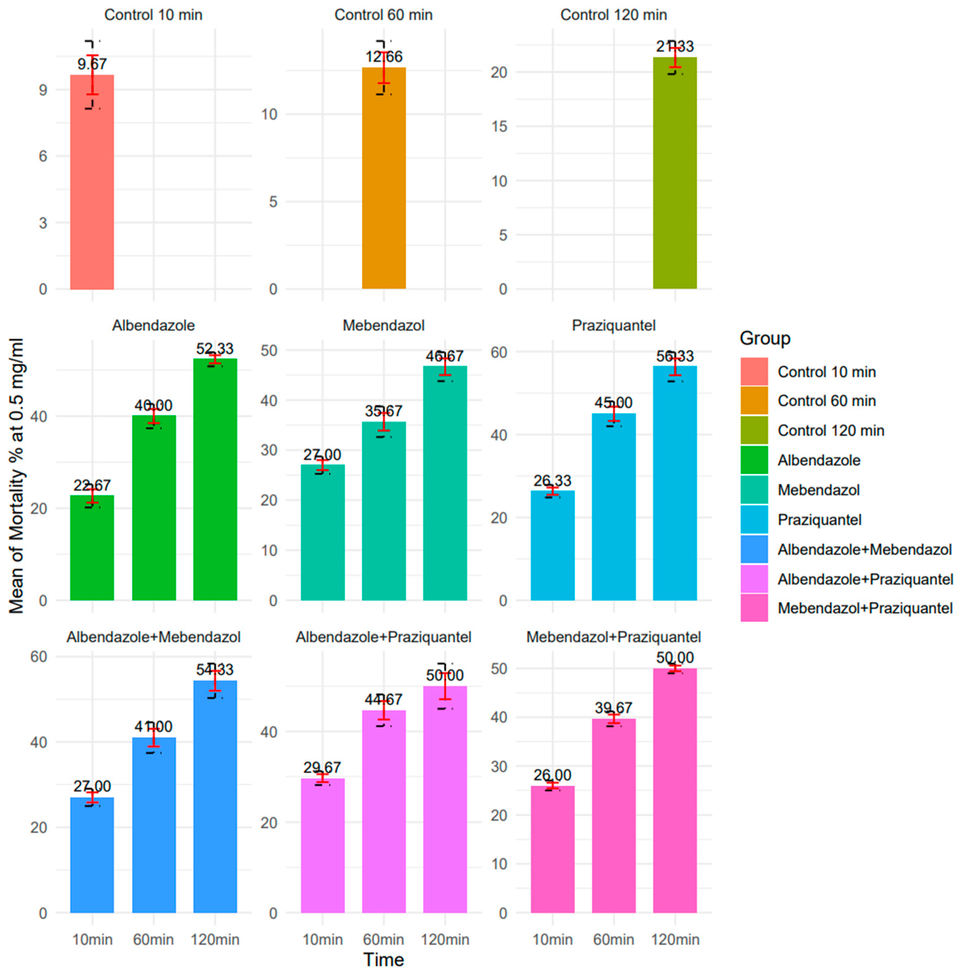
3. Results
3.1. Zeta Potential, PSA, and SEM Results
3.2. Protoscolicidal Rate
4. Discussion
5. Conclusions
Author Contributions
Funding
Institutional Review Board Statement
Informed Consent Statement
Data Availability Statement
Acknowledgments
Conflicts of Interest
References
- Gessese, A.T. Review on epidemiology and public health significance of hydatidosis. Vet. Med. Int. 2020, 2020, 8859116. [Google Scholar] [CrossRef] [PubMed]
- Hemphill, A.; Lundström-Stadelmann, B. Echinococcus: The model cestode parasite. Parasitology 2021, 148, 1401–1405. [Google Scholar] [CrossRef] [PubMed]
- Sadr, S.; Charbgoo, A.; Borji, H.; Hajjafari, A. Interactions between innate immunity system and Echinococcus granulosus: Permission for vaccine development. Ser. Med. Sci. 2022, 3, 1–18. [Google Scholar]
- Thompson, R. Biology and systematics of Echinococcus. Adv. Parasitol. 2017, 95, 65–109. [Google Scholar] [CrossRef]
- Woolsey, I.D.; Miller, A.L. Echinococcus granulosus sensu lato and Echinococcus multilocularis: A review. Res. Vet. Sci. 2021, 135, 517–522. [Google Scholar] [CrossRef]
- Mandal, S.; Mandal, M.D. Human cystic echinococcosis: Epidemiologic, zoonotic, clinical, diagnostic and therapeutic aspects. Asian Pac. J. Trop. Med. 2012, 5, 253–260. [Google Scholar] [CrossRef]
- Pal, M.; Alemu, H.H.; Marami, L.M.; Garedo, D.R.; Bodena, E.B. Cystic Echincoccoosis: A comprehensive review on life cycle, epidemiology, pathogenesis, clinical spectrum, diagnosis, public health and economic implications, treatment, and control. Int. J. Clin. Exp. Med. Res. 2022, 6, 131–141. [Google Scholar] [CrossRef]
- Umhang, G.; Bastien, F.; Cartet, A.; Ahmad, H.; van der Ark, K.; Berg, R.; Bonelli, P.; Davidson, R.K.; Deplazes, P.; Deksne, G. Detection of Echinococcus spp. and other taeniid species in lettuces and berries: Two international multicenter studies from the MEmE project. bioRxiv 2024, 189, 598207. [Google Scholar] [CrossRef]
- Benelli, G.; Wassermann, M.; Brattig, N.W. Insects dispersing taeniid eggs: Who and how? Vet. Parasitol. 2021, 295, 109450. [Google Scholar] [CrossRef]
- Serra, E.; Masu, G.; Chisu, V.; Cappai, S.; Masala, G.; Loi, F.; Piseddu, T. Environmental contamination by Echinococcus spp. eggs as a risk for human health in educational farms of Sardinia, Italy. Vet. Sci. 2022, 9, 143. [Google Scholar] [CrossRef]
- Badwaik, N.; Gharde, P.; Shinde, R.K.; Tayade, H.; Navandhar, P.S.; Patil, M. Hydatid cyst or echinococcosis: A comprehensive review of transmission, clinical manifestations, diagnosis, and multidisciplinary treatment. Cureus 2024, 16, e63713. [Google Scholar] [CrossRef] [PubMed]
- Moro, P.L.; Schantz, P.M. 281—Echinococcus species (agents of cystic, alveolar, and polycystic echinococcosis). In Principles and Practice of Pediatric Infectious Diseases; Saunders: Philadephia, PA, USA, 2012; pp. 1356–1362.e2. [Google Scholar] [CrossRef]
- Mathivathani, C.; Ajaykumar, V.; Bora, C. Epidemiology and public health significance of hydatidosis: A review. Curr. J. Appl. Sci. Technol. 2023, 42, 19–26. [Google Scholar] [CrossRef]
- Santucciu, C.; Bonelli, P.; Peruzzu, A.; Fancellu, A.; Marras, V.; Carta, A.; Mastrandrea, S.; Bagella, G.; Piseddu, T.; Profili, S.; et al. Cystic echinococcosis: Clinical, immunological, and biomolecular evaluation of patients from Sardinia (Italy). Pathogens 2020, 9, 907. [Google Scholar] [CrossRef]
- Brunetti, E.; Tamarozzi, F.; Macpherson, C.; Filice, C.; Piontek, M.S.; Kabaalioglu, A.; Dong, Y.; Atkinson, N.; Richter, J.; Schreiber-Dietrich, D.; et al. Ultrasound and cystic echinococcosis. Ultrasound Int. Open 2018, 4, E70–E78. [Google Scholar] [CrossRef]
- Siles-Lucas, M.; Casulli, A.; Conraths, F.; Müller, N. Laboratory diagnosis of Echinococcus spp. in human patients and infected animals. Adv. Parasitol. 2017, 96, 159–257. [Google Scholar] [CrossRef]
- Peruzzu, A.; Mastrandrea, S.; Fancellu, A.; Bonelli, P.; Muehlethaler, K.; Masala, G.; Santucciu, C. Comparison and evaluation of analytic and diagnostic performances of four commercial kits for the detection of antibodies against Echinococcus granulosus and multilocularis in human sera. Comp. Immunol. Microbiol. Infect. Dis. 2022, 86, 101816. [Google Scholar] [CrossRef]
- Brunetti, E.; Kern, P.; Vuitton, D.A. Expert consensus for the diagnosis and treatment of cystic and alveolar echinococcosis in humans. Acta Trop. 2010, 114, 1–16. [Google Scholar] [CrossRef]
- Santucciu, C.; Bozzi, E.; Profili, S.; Porcu, A.; Masala, G.; Babudieri, S.; Mastrandrea, S. Investigation of patients with new infection of echinococcal cyst in Sardinia, Italy. Diagn. Microbiol. Infect. Dis. 2024, 109, 116224. [Google Scholar] [CrossRef]
- Vural, G.; Yardimci, M.; Koçak, M.; Yasar, T.; Kurt, A.; Harem, I.; Carradori, S.; Sciamanna, I.; Siles-Lucas, M.; Fabiani, M.; et al. Efficacy of novel albendazole salt formulations against secondary cystic echinococcosis in experimentally infected mice. Parasitology 2020, 147, 1425–1432. [Google Scholar] [CrossRef]
- Wang, S.; Ma, Y.; Wang, W.; Dai, Y.; Sun, H.; Li, J.; Wang, S.; Li, F. Status and prospect of novel treatment options toward alveolar and cystic echinococcosis. Acta Trop. 2022, 226, 106252. [Google Scholar] [CrossRef]
- El-On, J. Benzimidazole treatment of cystic echinococcosis. Acta Trop. 2003, 85, 243–252. [Google Scholar] [CrossRef] [PubMed]
- Walker, M.; Rossignol, J.F.; Torgerson, P.; Hemphill, A. In vitro effects of nitazoxanide on Echinococcus granulosus protoscoleces and metacestodes. J. Antimicrob. Chemother. 2004, 54, 609–616. [Google Scholar] [CrossRef] [PubMed]
- Chai, J.-Y.; Jung, B.-K.; Hong, S.-J. Albendazole and mebendazole as anti-parasitic and anti-cancer agents: An update. Korean J. Parasitol. 2021, 59, 189–225. [Google Scholar] [CrossRef]
- Ates-Alagoz, Z. Antimicrobial activities of 1-H-benzimidazole-based molecules. Curr. Top. Med. Chem. 2016, 16, 2953–2962. [Google Scholar] [CrossRef]
- Shnawa, B.H.; Al-Ali, S.J.; Swar, S.O. Nanoparticles as a new approach for treating hydatid cyst disease. In Veterinary Pathobiology and Public Health; Unique Scientific Publishers: Faisalabad, Pakistan, 2021. [Google Scholar] [CrossRef]
- Albalawi, A.E.; Alanazi, A.D.; Baharvand, P.; Sepahvand, M.; Mahmoudvand, H. High potency of organic and inorganic nanoparticles to treat cystic echinococcosis: An evidence-based review. Nanomaterials 2020, 10, 2538. [Google Scholar] [CrossRef]
- Shakibaie, M.; Khalaf, A.K.; Rashidipour, M.; Mahmoudvand, H. Effects of green synthesized zinc nanoparticles alone and along with albendazole against hydatid cyst protoscoleces. Ann. Med. Surg. 2022, 78, 103746. [Google Scholar] [CrossRef]
- Cheraghipour, K.; Rouzbahani, A.K.; Fallahi, S.; Taherpour, F.; Moradifard, F.; Shakib, P.; Lashgarian, H.E.; Marzban, A. Recent advances in therapeutic strategies against hydatid cysts using nanomaterials: A systematic review. Lett. Drug Des. Discov. 2023, 20, 1185–1193. [Google Scholar] [CrossRef]
- Norouzi, R.; Ataei, A.; Hejazy, M.; Noreddin, A.; El Zowalaty, M.E. Scolicidal effects of nanoparticles against hydatid cyst protoscolices in vitro. Int. J. Nanomed. 2020, 15, 1095–1100. [Google Scholar] [CrossRef]
- Ezzatkhah, F.; Khalaf, A.K.; Mahmoudvand, H. Copper nanoparticles: Biosynthesis, characterization, and protoscolicidal effects alone and combined with albendazole against hydatid cyst protoscoleces. Biomed. Pharmacother. 2021, 136, 111257. [Google Scholar] [CrossRef]
- Bakhtiar, N.M.; Akbarzadeh, A.; Casulli, A.; Mahami-Oskouei, M.; Ahmadpour, E.; Nami, S.; Rostami, A.; Spotin, A. Therapeutic efficacy of nanocompounds in the treatment of cystic and alveolar echinococcoses: Challenges and future prospects. Parasitol. Res. 2019, 118, 2455–2466. [Google Scholar] [CrossRef]
- Norouzi, R.; Hejazy, M.; Ataei, A. Scolicidal activity of zinc oxide nanoparticles against hydatid cyst protoscolices in vitro. Nanomed. Res. J. 2019, 4, 23–28. [Google Scholar] [CrossRef]
- Cheraghipour, K.; Azarhazine, M.; Zivdari, M.; Beiranvand, M.; Shakib, P.; Rashidipour, M.; Mardanshah, O.; Mohaghegh, M.A.; Marzban, A. Evaluation of scolicidal potential of salicylate coated zinc nanoparticles against Echinococcus granulosus protoscoleces. Exp. Parasitol. 2023, 246, 108456. [Google Scholar] [CrossRef] [PubMed]
- Panwar, P.; Pandey, B.; Lakhera, P.; Singh, K. Preparation, characterization, and in vitro release study of albendazole-encapsulated nanosize liposomes. Int. J. Nanomed. 2010, 5, 101–108. [Google Scholar] [CrossRef]
- Bondarenko, O.; Mortimer, M.; Kahru, A.; Feliu, N.; Javed, I.; Kakinen, A.; Lin, S.; Xia, T.; Song, Y.; Davis, T.P.; et al. Nanotoxicology and nanomedicine: The Yin and Yang of nano-bio interactions for the new decade. Nano Today 2021, 39, 101184. [Google Scholar] [CrossRef]
- Vega-Vásquez, P.; Mosier, N.S.; Irudayaraj, J. Nanoscale drug delivery systems: From medicine to agriculture. Front. Bioeng. Biotechnol. 2020, 8, 79. [Google Scholar] [CrossRef]
- Inbathamizh, L.; Harsha Varthan, M.; Kumar, R.R.; Rohinth, M.; Tawfeeq Ahmed, Z. Nanotechnology: Ethical impacts, health issues, and safety issues. In Modern Nanotechnology: Green Synthesis, Sustainable Energy and Impacts; Springer Nature: Cham, Switzerland, 2023; Volume 2, pp. 455–477. [Google Scholar] [CrossRef]
- Bajwa, H.U.R.; Khan, M.K.; Abbas, Z.; Riaz, R.; Rehman, T.U.; Abbas, R.Z.; Aleem, M.T.; Abbas, A.; Almutairi, M.M.; Alshammari, F.A.; et al. Nanoparticles: Synthesis and their role as potential drug candidates for the treatment of parasitic diseases. Life 2022, 12, 750. [Google Scholar] [CrossRef]
- Rajwar, T.K.; Pradhan, D.; Halder, J.; Rai, V.K.; Kar, B.; Ghosh, G.; Rath, G. Opportunity in nanomedicine to counter the challenges of current drug delivery approaches used for the treatment of malaria: A review. J. Drug Target. 2023, 31, 354–368. [Google Scholar] [CrossRef]
- Jafari, M.; Abolmaali, S.S.; Tamaddon, A.M.; Zomorodian, K.; Shahriarirad, B. Nanotechnology approaches for delivery and targeting of Amphotericin B in fungal and parasitic diseases. Nanomedicine 2021, 16, 857–877. [Google Scholar] [CrossRef]
- Makhdoumi, P.; Karimi, H.; Khazaei, M. Review on metal-based nanoparticles: Role of reactive oxygen species in renal toxicity. Chem. Res. Toxicol. 2020, 33, 2503–2514. [Google Scholar] [CrossRef]
- Rana, S.V.S. Recent advances on renal toxicity of engineered nanoparticles-a review. J. Toxicol. Risk Assess. 2021, 7, 36. [Google Scholar] [CrossRef]
- Tao, Z.; Zhou, Q.; Zheng, T.; Mo, F.; Ouyang, S. Iron oxide nanoparticles in the soil environment: Adsorption, transformation, and environmental risk. J. Hazard. Mater. 2023, 459, 132107. [Google Scholar] [CrossRef] [PubMed]
- Lamas, B.; Martins Breyner, N.; Houdeau, E. Impacts of foodborne inorganic nanoparticles on the gut microbiota-immune axis: Potential consequences for host health. Part. Fibre Toxicol. 2020, 17, 19. [Google Scholar] [CrossRef] [PubMed]
- Zhang, P.; Guo, Z.; Zhang, Z.; Fu, H.; White, J.C.; Lynch, I. Nanomaterial transformation in the soil—Plant system: Implications for food safety and application in agriculture. Small 2020, 16, 2000705. [Google Scholar] [CrossRef]
- Hajjafari, A.; Sadr, S.; Santucciu, C.; Masala, G.; Bayat, M.; Lotfalizadeh, N.; Borji, H.; Partovi Moghaddam, S.; Hajjafari, K. Advances in detecting cystic echinococcosis in intermediate hosts and new diagnostic tools: A literature review. Vet. Sci. 2024, 11, 227. [Google Scholar] [CrossRef]
- Sadr, S.; Ahmadi Simab, P.; Niazi, M.; Yousefsani, Z.; Lotfalizadeh, N.; Hajjafari, A.; Borji, H. Anti-inflammatory and immunomodulatory effects of mesenchymal stem cell therapy on parasitic drug resistance. Expert Rev. Anti-Infect. Ther. 2024, 22, 435–451. [Google Scholar] [CrossRef]
- Aboelsoued, D.; Toaleb, N.I.; Ibrahim, S.; Ibrahim, S. In vitro and ex vivo protoscolicidal effect of poly(amidoamine) nanoemulsion against Echinococcus granulosus. Sci. Rep. 2024, 14, 11957. [Google Scholar] [CrossRef]
- Varshney, M.; Morey, T.E.; Shah, D.O.; Flint, J.A.; Moudgil, B.M.; Seubert, C.N.; Dennis, D.M. Pluronic microemulsions as nanoreservoirs for extraction of bupivacaine from normal saline. J. Am. Chem. Soc. 2004, 126, 5108–5112. [Google Scholar] [CrossRef]
- Wen, H.; Vuitton, L.; Tuxun, T.; Li, J.; Vuitton, D.A.; Zhang, W.; McManus, D.P. Echinococcosis: Advances in the 21st century. Clin. Microbiol. Rev. 2019, 32, e00075-18. [Google Scholar] [CrossRef]
- Diaz, A.; Casaravilla, C.; Barrios, A.A.; Ferreira, A.M. Parasite molecules and host responses in cystic echinococcosis. Parasite Immunol. 2016, 38, 193–205. [Google Scholar] [CrossRef]
- Goussard, P.; Eber, E.; Mfingwana, L.; Nel, P.; Schubert, P.; Janson, J.; Pitcher, R.; le Roux, C. Paediatric pulmonary echinococcosis: A neglected disease. Paediatr. Respir. Rev. 2022, 43, 11–23. [Google Scholar] [CrossRef]
- Lupia, T.; Corcione, S.; Guerrera, F.; Costardi, L.; Ruffini, E.; Pinna, S.M.; De Rosa, F.G. Pulmonary echinococcosis or lung hydatidosis: A narrative review. Surg. Infect. 2021, 22, 485–495. [Google Scholar] [CrossRef] [PubMed]
- Bakoyiannis, A.; Delis, S.; Triantopoulou, C.; Dervenis, C. Rare cystic liver lesions: A diagnostic and managing challenge. World J. Gastroenterol. 2013, 19, 7603–7619. [Google Scholar] [CrossRef] [PubMed]
- Brehm, K.; Koziol, U. Echinococcus—Host interactions at cellular and molecular levels. Adv. Parasitol. 2017, 95, 147–212. [Google Scholar] [CrossRef]
- Díaz, Á.; Barrios, A.A.; Grezzi, L.; Mouhape, C.; Jenkins, S.J.; Allen, J.E.; Casaravilla, C. Immunology of a unique biological structure: The Echinococcus laminated layer. Protein Cell 2023, 14, 87–104. [Google Scholar] [CrossRef]
- Larrieu, E.; Gavidia, C.M.; Lightowlers, M.W. Control of cystic echinococcosis: Background and prospects. Zoonoses Public Health 2019, 66, 889–899. [Google Scholar] [CrossRef]
- Rawla, P.; Sunkara, T.; Muralidharan, P.; Raj, J.P. An updated review of cystic hepatic lesions. Clin. Exp. Hepatol. 2019, 5, 22–29. [Google Scholar] [CrossRef]
- Alsharedeh, R.H.; Rezigue, M.; Bashatwah, R.M.; Amawi, H.; Aljabali, A.A.; Obeid, M.A.; Tambuwala, M.M. Nanomaterials as a potential target for infectious parasitic agents. Curr. Drug Deliv. 2024, 21, 828–851. [Google Scholar] [CrossRef]
- Kian, M.; Mirzavand, S.; Sharifzadeh, S.; Kalantari, T.; Ashrafmansouri, M.; Nasri, F. Efficacy of mesenchymal stem cells therapy in parasitic infections: Are anti-parasitic drugs combined with mscs more effective? Acta Parasitol. 2022, 67, 1487–1499. [Google Scholar] [CrossRef]
- Khezerlou, A.; Alizadeh-Sani, M.; Azizi-Lalabadi, M.; Ehsani, A. Nanoparticles and their antimicrobial properties against pathogens including bacteria, fungi, parasites and viruses. Microb. Pathog. 2018, 123, 505–526. [Google Scholar] [CrossRef]
- Idris, O.A.; Wintola, O.A.; Afolayan, A.J. Helminthiases; prevalence, transmission, host-parasite interactions, resistance to common synthetic drugs and treatment. Heliyon 2019, 5, e01161. [Google Scholar] [CrossRef]
- Stamatakos, M.; Sargedi, C.; Stefanaki, C.; Safioleas, C.; Matthaiopoulou, I.; Safioleas, M. Anthelminthic treatment: An adjuvant therapeutic strategy against Echinococcus granulosus. Parasitol. Int. 2009, 58, 115–120. [Google Scholar] [CrossRef] [PubMed]
- Hemphill, A.; Stadelmann, B.; Rufener, R.; Spiliotis, M.; Boubaker, G.; Müller, J.; Müller, N.; Gorgas, D.; Gottstein, B. Treatment of echinococcosis: Albendazole and mebendazole—What else? Parasite 2014, 21, 70. [Google Scholar] [CrossRef] [PubMed]
- Gebreyes, W.A.; Dupouy-Camet, J.; Newport, M.J.; Oliveira, C.J.; Schlesinger, L.S.; Saif, Y.M.; Kariuki, S.; Saif, L.J.; Saville, W.; Wittum, T.; et al. The global one health paradigm: Challenges and opportunities for tackling infectious diseases at the human, animal, and environment interface in low-resource settings. PLoS Negl. Trop. Dis. 2014, 8, e3257. [Google Scholar] [CrossRef] [PubMed]
- Lightowlers, M.W.; Gasser, R.B.; Hemphill, A.; Romig, T.; Tamarozzi, F.; Deplazes, P.; Torgerson, P.R.; Garcia, H.H.; Kern, P. Advances in the treatment, diagnosis, control and scientific understanding of taeniid cestode parasite infections over the past 50 years. Int. J. Parasitol. 2021, 51, 1167–1192. [Google Scholar] [CrossRef]
- Borhani, M.; Fathi, S.; Darabi, E.; Jalousian, F.; Simsek, S.; Ahmed, H.; Kesik, H.K.; Hosseini, S.H.; Romig, T.; Harandi, M.F.; et al. Echinococcoses in Iran, Turkey, and Pakistan: Old diseases in the new millennium. Clin. Microbiol. Rev. 2021, 34, e0029020. [Google Scholar] [CrossRef]
- Barabadi, H.; Honary, S.; Ali Mohammadi, M.; Ahmadpour, E.; Rahimi, M.T.; Alizadeh, A.; Naghibi, F.; Saravanan, M. Green chemical synthesis of gold nanoparticles by using Penicillium aculeatum and their scolicidal activity against hydatid cyst protoscolices of Echinococcus granulosus. Environ. Sci. Pollut. Res. 2017, 24, 5800–5810. [Google Scholar] [CrossRef]
- Sun, Y.; Chen, D.; Pan, Y.; Qu, W.; Hao, H.; Wang, X.; Liu, Z.; Xie, S. Nanoparticles for antiparasitic drug delivery. Drug Deliv. 2019, 26, 1206–1221. [Google Scholar] [CrossRef]
- Stanicki, D.; Vangijzegem, T.; Ternad, I.; Laurent, S. An update on the applications and characteristics of magnetic iron oxide nanoparticles for drug delivery. Expert Opin. Drug Deliv. 2022, 19, 321–335. [Google Scholar] [CrossRef]
- Yohan, D.; Chithrani, B.D. Applications of nanoparticles in nanomedicine. J. Biomed. Nanotechnol. 2014, 10, 2371–2392. [Google Scholar] [CrossRef]
- Pensel, P.; Paredes, A.; Albani, C.M.; Allemandi, D.; Bruni, S.S.; Palma, S.D.; Elissondo, M.C. Albendazole nanocrystals in experimental alveolar echinococcosis: Enhanced chemoprophylactic and clinical efficacy in infected mice. Vet. Parasitol. 2018, 251, 78–84. [Google Scholar] [CrossRef]
- Gamboa, G.V.U.; Pensel, P.E.; Elissondo, M.C.; Bruni, S.F.S.; Benoit, J.-P.; Palma, S.D.; Allemandi, D.A. Albendazole-lipid nanocapsules: Optimization, characterization and chemoprophylactic efficacy in mice infected with Echinococcus granulosus. Exp. Parasitol. 2019, 198, 79–86. [Google Scholar] [CrossRef] [PubMed]
- Fabbri, J.; Pensel, P.E.; Albani, C.M.; Lopez, L.M.; Simonazzi, A.; Bermudez, J.M.; Palma, S.D.; Elissondo, M.C. Albendazole solid dispersions against alveolar echinococcosis: A pharmacotechnical strategy to improve the efficacy of the drug. Parasitology 2020, 147, 1026–1031. [Google Scholar] [CrossRef]
- Lopez, L.M.; Pensel, P.E.; Fabbri, J.; Albani, C.M.; Elissondo, N.; Gambino, G.; Elissondo, M.C. The combination of carvacrol and albendazole enhanced the efficacy of monotherapy in experimental alveolar echinococcosis. Acta Trop. 2022, 225, 106198. [Google Scholar] [CrossRef] [PubMed]
- Albani, C.; Pensel, P.; Fabbri, J.; Albanese, A.; Paladini, A.; Elissondo, M.C. Experimental treatment of cystic echinococcosis: Combination therapy with carvacrol and thymol versus albendazole. Exp. Parasitol. 2023, 244, 108430. [Google Scholar] [CrossRef] [PubMed]
- Leong, E.W.; Ge, R. Lipid nanoparticles as delivery vehicles for inhaled therapeutics. Biomedicines 2022, 10, 2179. [Google Scholar] [CrossRef]
- Pavoni, L.; Pavela, R.; Cespi, M.; Bonacucina, G.; Maggi, F.; Zeni, V.; Canale, A.; Lucchi, A.; Bruschi, F.; Benelli, G. Green micro-and nanoemulsions for managing parasites, vectors and pests. Nanomaterials 2019, 9, 1285. [Google Scholar] [CrossRef]
- Bhatia, M.; Kumar, S.; Kapoor, A.; Lohan, S. A review on the drug delivery strategies for parasitic infections: Scope and assertion. Drug Deliv. Lett. 2022, 12, 109–121. [Google Scholar] [CrossRef]
- Omidian, H.; Mfoafo, K. Exploring the potential of nanotechnology in pediatric healthcare: Advances, challenges, and future directions. Pharmaceutics 2023, 15, 1583. [Google Scholar] [CrossRef]
- Sadr, S.; Lotfalizadeh, N.; Abbasi, A.M.; Soleymani, N.; Hajjafari, A.; Roohbaksh Amooli Moghadam, E.; Borji, H. Challenges and prospective of enhancing hydatid cyst chemotherapy by nanotechnology and the future of nanobiosensors for diagnosis. Trop. Med. Infect. Dis. 2023, 8, 494. [Google Scholar] [CrossRef]
- Chun, S.; Muthu, M.; Gopal, J. Nanotoxic impacts on staple food crops: There’s plenty of room for the unpredictables. Crit. Rev. Food Sci. Nutr. 2020, 60, 3725–3736. [Google Scholar] [CrossRef]
- Ettlinger, R.; Lächelt, U.; Gref, R.; Horcajada, P.; Lammers, T.; Serre, C.; Couvreur, P.; Morris, R.E.; Wuttke, S. Toxicity of metal—Organic framework nanoparticles: From essential analyses to potential applications. Chem. Soc. Rev. 2022, 51, 464–484. [Google Scholar] [CrossRef]
- Ren, C.; Hu, X.; Zhou, Q. Influence of environmental factors on nanotoxicity and knowledge gaps thereof. NanoImpact 2016, 2, 82–92. [Google Scholar] [CrossRef]
- Wong, H.L.; Wu, X.Y.; Bendayan, R. Nanotechnological advances for the delivery of CNS therapeutics. Adv. Drug Deliv. Rev. 2012, 64, 686–700. [Google Scholar] [CrossRef] [PubMed]
- Date, A.A.; Joshi, M.D.; Patravale, V.B. Parasitic diseases: Liposomes and polymeric nanoparticles versus lipid nanoparticles. Adv. Drug Deliv. Rev. 2007, 59, 505–521. [Google Scholar] [CrossRef] [PubMed]
- Pandian, S.R.K.; Panneerselvam, T.; Pavadai, P.; Govindaraj, S.; Ravishankar, V.; Palanisamy, P.; Sampath, M.; Sankaranarayanan, M.; Kunjiappan, S. Nano based approach for the treatment of neglected tropical diseases. Front. Nanotechnol. 2021, 3, 665274. [Google Scholar] [CrossRef]
- Mengarda, A.C.; Iles, B.; Longo, J.P.F.; de Moraes, J. Recent trends in praziquantel nanoformulations for helminthiasis treatment. Expert Opin. Drug Deliv. 2022, 19, 383–393. [Google Scholar] [CrossRef]
- Purohit, D.; Jalwal, P.; Manchanda, D.; Saini, S.; Verma, R.; Kaushik, D.; Mittal, V.; Kumar, M.; Bhattacharya, T.; Rahman, M.H.; et al. Nanocapsules: An emerging drug delivery system. Recent Pat. Nanotechnol. 2023, 17, 190–207. [Google Scholar] [CrossRef]
- Mahajan, K.; Bhattacharya, S. The advancement and obstacles in improving the stability of nanocarriers for precision drug delivery in the field of nanomedicine. Curr. Top. Med. Chem. 2024, 24, 686–721. [Google Scholar] [CrossRef]
- de Carvalho Moreira, L.M.C.; de Sousa Silva, A.B.A.; de Araújo Medeiros, K.; Oshiro Júnior, J.A.; da Silva, D.T.C.; de Lima Damasceno, B.P.G. Effectiveness in vivo and in vitro of polymeric nanoparticles as a drug release system in the treatment of leishmaniasis. Curr. Med. Chem. 2024, 31, 286–307. [Google Scholar] [CrossRef]
- Torabi, N.; Dobakhti, F.; Faghihzadeh, S.; Haniloo, A. In vitro and in vivo effects of chitosan-praziquantel and chitosan-albendazole nanoparticles on Echinococcus granulosus metacestodes. Parasitol. Res. 2018, 117, 2015–2023. [Google Scholar] [CrossRef]
- Fateh, R.; Norouzi, R.; Mirzaei, E.; Nissapatron, V.; Nawaz, M.; Khalifeh-Gholi, M.; Hamta, A.; Sadati, S.J.A.; Siyadatpanah, A.; Bafghi, A.F. In vitro evaluation of albendazole nanocrystals against Echinococcus granulosus protoscolices. Ann. Parasitol. 2021, 67, 203–212. [Google Scholar] [CrossRef] [PubMed]
- Aminpour, S.; Rafiei, A.; Jelowdar, A.; Kouchak, M. Evaluation of the protoscolicidal effects of albendazole and albendazole loaded solid lipid nanoparticles. Iran. J. Parasitol. 2019, 14, 127–135. [Google Scholar] [CrossRef] [PubMed]
- Farhadi, M.; Haniloo, A.; Rostamizadeh, K.; Ahmadi, N. In vitro evaluation of albendazole-loaded nanostructured lipid carriers on Echinococcus granulosus microcysts and their prophylactic efficacy on experimental secondary hydatidosis. Parasitol. Res. 2021, 120, 4049–4060. [Google Scholar] [CrossRef] [PubMed]
- Mahmoud, S.M.; Mohemeed, A.A. Effect of cobalt oxide on the vitality of the protoscolex of Echinococcus granulosus isolated from middle hosts. J. Surv. Fish. Sci. 2023, 10 (Suppl. S3), 4608–4613. [Google Scholar]
- Raziani, Y.; Cheraghipour, K.; Shakibaie, M.; Yadegari, J.G.; Mahmoudvand, H. High potency of magnetic iron oxide nanoparticles covered by piroctone olamine against cystic echinococcosis. Biomed. Pharmacother. 2023, 161, 114536. [Google Scholar] [CrossRef]
- Teimouri, A.; Jafarpour Azami, S.; Hashemi Hafshejani, S.; Ghanimatdan, M.; Bahreini, M.S.; Alimi, R.; Sadjjadi, S.M. Protoscolicidal effects of curcumin nanoemulsion against protoscoleces of Echinococcus granulosus. BMC Complement. Med. Ther. 2023, 23, 124. [Google Scholar] [CrossRef]
- Mohammed, S.A.; Ali, A.A. Effect of selenium nanoparticles against protoscoleces of Echinococcus granulosus in vitro and hydatid cysts in mice. Iraqi J. Vet. Sci. 2022, 36, 195–202. [Google Scholar] [CrossRef]
- Shnawa, B.H.; Hamad, S.M.; Barzinjy, A.A.; Kareem, P.A.; Ahmed, M.H. Scolicidal activity of biosynthesized zinc oxide nanoparticles by Mentha longifolia L. leaves against Echinococcus granulosus protoscolices. Emergent Mater. 2022, 5, 683–693. [Google Scholar] [CrossRef]
- Aljanabi, A.A.; Al-mussawi, A.; Bashi, A.M. Effects of silver—Copper (core-shell) nanoparticles as antiparasitic drug in some blood parameters of mice. Indian J. Forensic Med. Toxicol. 2021, 15, 5279–5285. [Google Scholar] [CrossRef]
- Ibrahim, A.A.-J. Scolicidal activity of zirconium oxide (ZrO2) nanoparticles against protoscolices of hydatid cysts. Indian J. Forensic Med. Toxicol. 2020, 14, 469–472. [Google Scholar] [CrossRef]
- Salih, T.A.; Hassan, K.T.; Majeed, S.R.; Ibraheem, I.J.; Hassan, O.M.; Obaid, A. In vitro scolicidal activity of synthesised silver nanoparticles from aqueous plant extract against Echinococcus granulosus. Biotechnol. Rep. 2020, 28, e00545. [Google Scholar] [CrossRef] [PubMed]
- Ahmadpour, E.; Godrati-Azar, Z.; Spotin, A.; Norouzi, R.; Hamishehkar, H.; Nami, S.; Heydarian, P.; Rajabi, S.; Mohammadi, M.; Perez-Cordon, G. Nanostructured lipid carriers of ivermectin as a novel drug delivery system in hydatidosis. Parasite Vectors 2019, 12, 469. [Google Scholar] [CrossRef]
- Napooni, S.; Arbabi, M.; Delavari, M.; Hooshyar, H.; Rasti, S. Lethal effects of gold nanoparticles on protoscolices of hydatid cyst: In vitro study. Comp. Clin. Pathol. 2019, 28, 143–150. [Google Scholar] [CrossRef]
- Naseri, M.; Akbarzadeh, A.; Spotin, A.; Akbari, N.A.R.; Mahami-Oskouei, M.; Ahmadpour, E. Scolicidal and apoptotic activities of albendazole sulfoxide and albendazole sulfoxide-loaded PLGA-PEG as a novel nanopolymeric particle against Echinococcus granulosus protoscoleces. Parasitol. Res. 2016, 115, 4595–4603. [Google Scholar] [CrossRef]
- Mahmoudvand, H.; Harandi, M.F.; Shakibaie, M.; Aflatoonian, M.R.; ZiaAli, N.; Makki, M.S.; Jahanbakhsh, S. Scolicidal effects of biogenic selenium nanoparticles against protoscolices of hydatid cysts. Int. J. Surg. 2014, 12, 399–403. [Google Scholar] [CrossRef]
- Adas, G.; Arikan, S.; Kemik, O.; Oner, A.; Sahip, N.; Karatepe, O. Use of albendazole sulfoxide, albendazole sulfone, and combined solutions as scolicidal agents on hydatid cysts (in vitro study). World J. Gastroenterol. 2009, 15, 112–116. [Google Scholar] [CrossRef]
- Mohammadi, K.H.; Heidarpour, M.; Borji, H. In vivo therapeutic efficacy of the Allium sativum ME in experimentally Echinococcus granulosus infected mice. Comp. Immunol. Microbiol. Infect. Dis. 2018, 60, 23–27. [Google Scholar] [CrossRef]
- Mihetiu, A.; Bratu, D.; Sabau, D.; Nastase, O.; Sandu, A.; Tanasescu, C.; Boicean, A.; Ichim, C.; Todor, S.B.; Serban, D.; et al. Optimized strategies for managing abdominal hydatid cysts and their complications. Diagnostics 2024, 14, 1346. [Google Scholar] [CrossRef]
- Kamelli, M.; Borji, H.; Naghibi, A. Genetic identification of cattle hydatid cyst isolates from northeast and southwest of Iran. Ann. Parasitol. 2016, 62, 301–305. [Google Scholar] [CrossRef]
- Rokni, M.B. Echinococcosis/hydatidosis in Iran. Iran. J. Parasitol. 2009, 4, 1–16. Available online: https://www.sid.ir/EN/VEWSSID/J_pdf/114920090201.pdf (accessed on 17 May 2009).









| Nanomedicine | Duration | Findings | Dosage | References |
|---|---|---|---|---|
| Cobalt oxide (CO) | 5, 10, 15, 30, 60 min | CO: -Killed 100% of protoscolices of sheep liver cyst at 0.50 mg/mL in 60 min -Killed 100% of protoscolices of cattle liver cyst at 0.100 in 60 min -Killed 100% of protoscolices in goat liver cyst at 0.100 mg/mL in 30 and 60 min | 0.025, 0.050, 0.100 (mg/mL) | Mahmoud, M.S. et al., 2023 [97] |
| Iron oxide nanoparticles coated with PO (FOMNPsP) | 10, 20, 30, 60 min | FOMNPsP: Killed 100% of protoscolices -at 400 µg/mL after 10 min -at 200 and 300 µg/mL after 20 min -at 100 µg/mL after 30 min | 100–400 μg/mL | Raziani, Y. et al., 2023 [98] |
| Curcumin nanoemulsion (CUR-NE) | 10, 20, 30, 60, 120 min | CUR-NE: Killed 94% and 73.33% of protoscolices at 1250 and 625 (µg/mL) in 60 min | 156, 312, 625, 1250 (µg/mL) | Teimouri, A. et al., 2023 [99] |
| Selenium nanoparticles (Se-NPs) | 10, 20, 30, 60 min | Se-NPs: Killed 100% of protoscolices at 500 µg/mL after 20 min | 50,100, 150, 200, 250, 350, 500 (µg/mL) | Mohammed, M.A. et al., 2022 [100] |
| Zinc nanoparticles (Zn-NPs) | 5–60 min | Zn-NPs: Killed 81.6% of protoscolices at 200 μg/mL Zn-NPs + ALZ: Killed 100% of protoscolices at 200 μg/mL after 10 min | 50, 100, 200 (μg/mL) Zn-NPs alone and combined with albendazole (100 μg/mL) | Shakibaie, M. et al., 2022 [28] |
| Biosynthesized zinc oxide nanoparticles (ZnO NPs) by Mentha longifolia L. leaves | 15, 30 min and 1, 1.5, 2, 2.5 h | ZnO NPs: Killed 100% of protoscolices at 400 ppm in 150 min | 100, 200, 400 ppm | Shnawa., B.H. et al., 2022 [101] |
| Copper nanoparticles (CuNPs) | 5–60 min | CuNPs: Killed 73.3% of protoscolices at 750 mg/mL after 60 min | 250, 500, 750 mg/mL | Ezzatkhah, F. et al., 2021 [31] |
| Silver–copper (core-shell) nanoparticles | 10, 30, 60 min | Concentrations 250 and 500 mg/mL are the most effective in the vitality of the protoscolices compared to 50 and 125 mg/mL | 50, 125, 250, 500 mg/mL | Aljanabi, A.A. et al., 2021 [102] |
| Zirconium oxide (ZrO2) | 15, 30, 60 min. | ZrO2: Killed 53.1% of protoscolices at 4000 μg/mL in 60 min | 250, 500, 1000, 2000, 4000 μg/mL | Abdul, A. and Ibrahim, J., 2020 [103] |
| -Piper nigrum (PN), -Ziziphus Spina-Christi (ZSC), -Eucalyptus globulus (EUCGLO) + Ag-NPs. | 15, 30, 45 min | Killed more than 90% of protoscolices in minimum time. | 1:10 2:10 3:10 (plants: Ag-NPs) | Salih, T.A. et al., 2020 [104] |
| Nanostructured lipid carriers of ivermectin | 15, 30, 60, 120, 150 min | NLC-loaded IVM: Killed 100% of protoscolices at 400 and 800 μg/mL after 60 and 120 min | 50, 100, 200, 400, 800 μg/mL | Ahmadpour, E. et al., 2019 [105] |
| Chitosan–praziquantel (ChPZQ) and chitosan–albendazole (ChABZ) | Microcyst culture flasks for 16 days | There were no viable microcysts observed on day 10 post-incubation with either 5 or 10 μg/mL doses of ChABZ + ChPZQ combination | 1, 5, 10 μg/mL | Torabi, N. et al., 2018 [93] |
| Gold nanoparticles | 5, 10, 20, 30, 60 min | Gold nanoparticles: Killed 76% of protoscolices at 4000 μg/mL in 60 min | 250, 500, 1000, 2000, 4000 μg/mL | Napooni, S. et al., 2018 [106] |
| -Albendazole sulfoxide -ABZ-loaded PLGA-PEG | 5, 10, 20, 30, 60 min | -ABZs: Killed 100% of protoscolices at 200 μg/mL in 20, 30, and 60 min -ABZ-loaded PLGA-PEG: Killed 100% of protoscolices at 150 and 200 μg/mL in all exposure times (5 to 60 min) | 50, 100, 150, 200 (μg/mL) | Naseri, M. et al., 2016 [107] |
| Selenium nanoparticles (Se-NPs) | 10, 20, 30, 60 min | Se-NPs: Killed 100% of protoscolices at 250 mg/mL in 20 min | 50,100.150, 200, 250, 300, 350, 400, 450, 500 mg/mL | Mahmoudvand, H. et al., 2014 [108] |
| Albendazole sulfoxide, albendazole sulfone, and combined solutions | 5 and 10 min | ABZ sulfone: 97.3%; ABZ sulfoxide: 98.4%; the combined solution: 98.6% were effective in 5 min | 50 μg/mL | Adas, G. et al., 2009 [109] |
Disclaimer/Publisher’s Note: The statements, opinions and data contained in all publications are solely those of the individual author(s) and contributor(s) and not of MDPI and/or the editor(s). MDPI and/or the editor(s) disclaim responsibility for any injury to people or property resulting from any ideas, methods, instructions or products referred to in the content. |
© 2024 by the authors. Licensee MDPI, Basel, Switzerland. This article is an open access article distributed under the terms and conditions of the Creative Commons Attribution (CC BY) license (https://creativecommons.org/licenses/by/4.0/).
Share and Cite
Soleymani, N.; Sadr, S.; Santucciu, C.; Rahdar, A.; Masala, G.; Borji, H. Evaluation of the In-Vitro Effects of Albendazole, Mebendazole, and Praziquantel Nanocapsules against Protoscolices of Hydatid Cyst. Pathogens 2024, 13, 790. https://doi.org/10.3390/pathogens13090790
Soleymani N, Sadr S, Santucciu C, Rahdar A, Masala G, Borji H. Evaluation of the In-Vitro Effects of Albendazole, Mebendazole, and Praziquantel Nanocapsules against Protoscolices of Hydatid Cyst. Pathogens. 2024; 13(9):790. https://doi.org/10.3390/pathogens13090790
Chicago/Turabian StyleSoleymani, Nooshinmehr, Soheil Sadr, Cinzia Santucciu, Abbas Rahdar, Giovanna Masala, and Hassan Borji. 2024. "Evaluation of the In-Vitro Effects of Albendazole, Mebendazole, and Praziquantel Nanocapsules against Protoscolices of Hydatid Cyst" Pathogens 13, no. 9: 790. https://doi.org/10.3390/pathogens13090790
APA StyleSoleymani, N., Sadr, S., Santucciu, C., Rahdar, A., Masala, G., & Borji, H. (2024). Evaluation of the In-Vitro Effects of Albendazole, Mebendazole, and Praziquantel Nanocapsules against Protoscolices of Hydatid Cyst. Pathogens, 13(9), 790. https://doi.org/10.3390/pathogens13090790

