Purinergic Receptor Antagonists Inhibit Hemolysis Induced by Clostridium perfringens Alpha Toxin
Abstract
1. Introduction
2. Results
2.1. rCPA Causes Hemolysis in Human and Murine Erythrocytes
2.2. rCPA-Induced Hemolysis Is Related to Activation of P2 Receptors
2.3. P2X1 and P2X7 Receptor Are Involved in rCPA-Induced Hemolysis
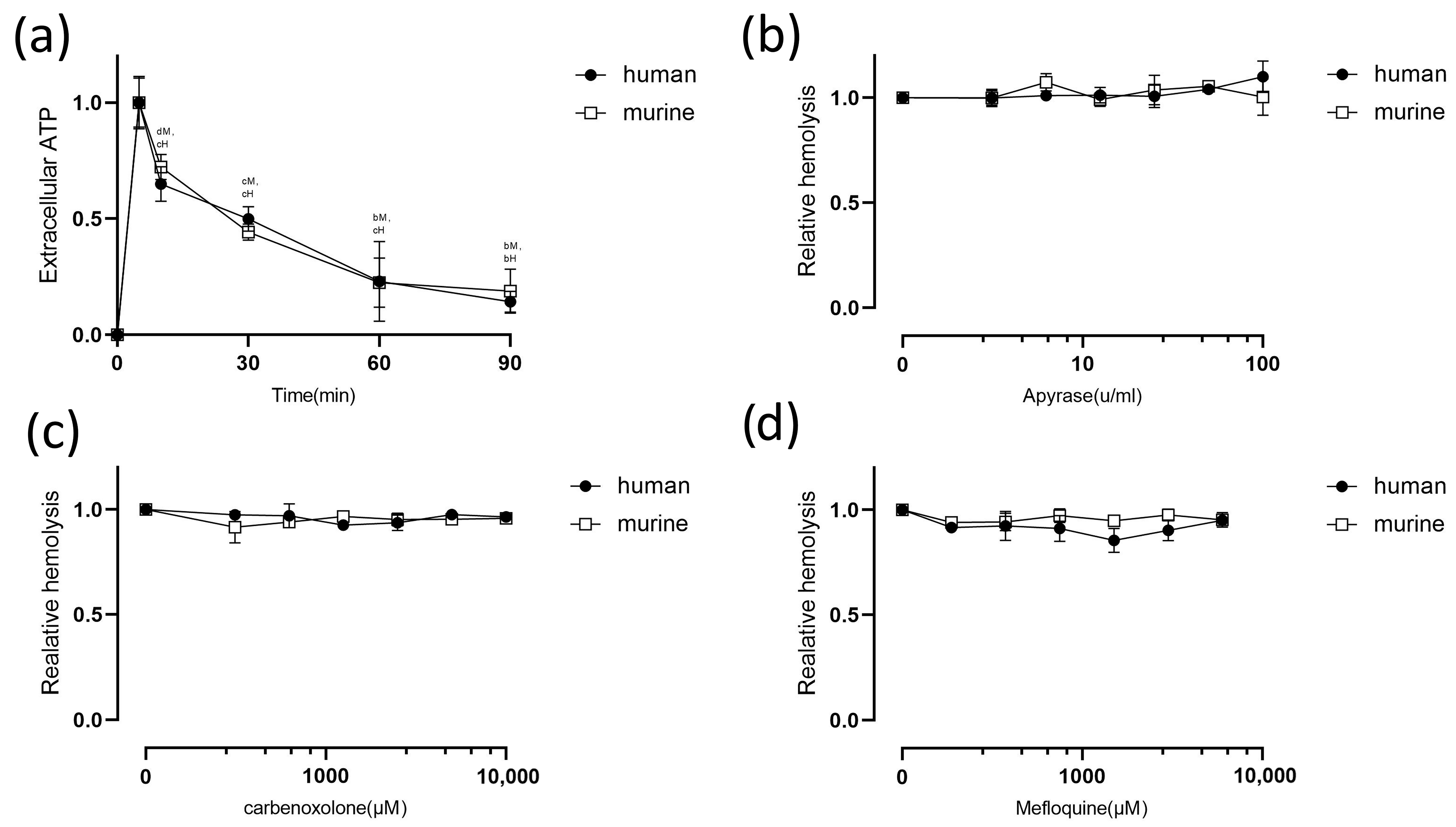
2.4. rCPA-Induced Activation of P2 Receptors Is Not Mediated by ATP
2.5. Metabonomic Analysis of rCPA-Induced Hemolysis
2.6. rCPA-Induced Hemolysis Leads to the Elevation of Reactive Oxygen Species
2.7. Signal Pathways Involved in P2 Receptor Activation and Reactive Oxygen Species Production
3. Discussion
4. Materials and Methods
4.1. Materials
4.2. Preparation of Erythrocytes
4.3. Preparation of Recombinant Toxin
4.4. Measurements of the Hemolytic Activity
4.5. Scanning Electron Microscopy
4.6. Measurement of Cellular ATP
4.7. Measurement of Intracellular ROS
4.8. In Vivo Experiments in Mice
4.9. Metabonomic Analysis
4.10. Statistical Analysis
Supplementary Materials
Author Contributions
Funding
Institutional Review Board Statement
Informed Consent Statement
Data Availability Statement
Conflicts of Interest
References
- Shimizu, T.; Ohtani, K.; Hirakawa, H.; Ohshima, K.; Yamashita, A.; Shiba, T.; Ogasawara, N.; Hattori, M.; Kuhara, S.; Hayashi, H. Complete genome sequence of Clostridium perfringens, an anaerobic flesh-eater. Proc. Natl. Acad. Sci. USA 2002, 99, 996–1001. [Google Scholar] [CrossRef] [PubMed]
- Osman, K.M.; Elhariri, M. Antibiotic resistance of Clostridium perfringens isolates from broiler chickens in Egypt. Rev. Sci. Tech. (Int. Off. Epizoot.) 2013, 32, 841–850. [Google Scholar] [CrossRef] [PubMed]
- Rood, J.I.; Adams, V.; Lacey, J.; Lyras, D.; Mcclane, B.A.; Melville, S.B.; Moore, R.J.; Popoff, M.R.; Sarker, M.R.; Songer, J.G. Expansion of the Clostridium perfringens toxin-based typing scheme. Anaerobe 2018, 53, 5–10. [Google Scholar] [CrossRef] [PubMed]
- Titball, R.W.; Naylor, C.E.; Basak, A.K. The Clostridium perfringens alpha-toxin. Anaerobe 1999, 5, 51–64. [Google Scholar] [CrossRef] [PubMed]
- Sakurai, J.; Nagahama, M.; Oda, M. Clostridium perfringens alpha-toxin: Characterization and mode of action. J. Biochem. 2004, 136, 569–574. [Google Scholar] [CrossRef] [PubMed]
- Sato, H.J.I.; Immunity, Y. Effect of zinc and calcium ions on the production of alpha-toxin and proteases by Clostridium perfringens. Infect. Immun. 1978, 20, 325–333. [Google Scholar] [CrossRef] [PubMed]
- Krug, E.L.; Kent, C. Phospholipase C from Clostridium perfringens: Preparation and characterization of homogeneous enzyme. Arch. Biochem. Biophys. 1984, 231, 400–410. [Google Scholar] [CrossRef] [PubMed]
- Urbina, P.; Collado, M.I.; Alonso, A.; Goñi, F.M.; Flores-Díaz, M.; Alape-Girón, A.; Ruysschaert, J.M.; Lensink, M.F. Unexpected wide substrate specificity of C. perfringens α-toxin phospholipase C. Biochim. Biophys. Acta (BBA)-Biomembr. 2011, 1808, 2618–2627. [Google Scholar] [CrossRef] [PubMed]
- Ochi, S.; Oda, M.; Matsuda, H.; Ikari, S.; Sakurai, J. Clostridium perfringens alpha-toxin activates the sphingomyelin metabolism system in sheep erythrocytes. J. Biol. Chem. 2004, 279, 12181–12189. [Google Scholar] [CrossRef]
- Abbracchio, M.P.; Burnstock, G.; Boeynaems, J.M.; Barnard, E.A.; Boyer, J.L.; Kennedy, C.; Knight, G.E.; Fumagalli, M.; Gachet, C.; Jacobson, K.A.; et al. International Union of Pharmacology LVIII: Update on the P2Y G protein-coupled nucleotide receptors: From molecular mechanisms and pathophysiology to therapy. Pharmacol. Rev. 2006, 58, 281–341. [Google Scholar] [CrossRef]
- Surprenant, A.; North, R.A. Signaling at purinergic P2X receptors. Annu. Rev. Physiol. 2009, 71, 333–359. [Google Scholar] [CrossRef] [PubMed]
- Sluyter, R. P2X and P2Y receptor signaling in red blood cells. Front. Mol. Biosci. 2015, 2, 60. [Google Scholar] [CrossRef] [PubMed]
- Kaczmarek-Hájek, K.; Lörinczi, E.; Hausmann, R.; Nicke, A. Molecular and functional properties of P2X receptors—Recent progress and persisting challenges. Purinergic Signal. 2012, 8, 375–417. [Google Scholar] [CrossRef] [PubMed]
- Gao, J.; Xin, W.; Huang, J.; Ji, B.; Gao, S.; Chen, L.; Kang, L.; Yang, H.; Shen, X.; Zhao, B.J.V. Hemolysis in human erythrocytes by Clostridium perfringens epsilon toxin requires activation of P2 receptors. Virulence 2018, 9, 1601–1614. [Google Scholar] [CrossRef] [PubMed]
- Skals, M.; Jorgensen, N.R.; Leipziger, J.; Praetorius, H.A. α-Hemolysin from Escherichia coli uses endogenous amplification through P2X receptor activation to induce hemolysis. Proc. Natl. Acad. Sci. USA 2009, 106, 4030–4035. [Google Scholar] [CrossRef] [PubMed]
- Skals, M.; Leipziger, J.; Praetorius, H.A. Haemolysis induced by alpha-toxin from Staphylococcus aureus requires P2X receptor activation. Pflügers Arch. Eur. J. Physiol. 2011, 462, 669–679. [Google Scholar] [CrossRef] [PubMed]
- Sophocleous, R.A.; Mullany, P.R.F.; Winter, K.M.; Marks, D.C.; Sluyter, R. Propensity of red blood cells to undergo P2X7 receptor–mediated phosphatidylserine exposure does not alter during in vivo or ex vivo aging. Transfusion 2015, 55, 1946–1954. [Google Scholar] [CrossRef]
- Wang, L.; Olivecrona, G.; Götberg, M.; Olsson, M.L.; Winzell, M.S.; Erlinge, D. ADP acting on P2Y13 receptors is a negative feedback pathway for ATP release from human red blood cells. Circ. Res. 2005, 96, 189–196. [Google Scholar] [CrossRef]
- Munksgaard, P.S.; Vorup-Jensen, T.; Reinholdt, J.; Söderström, C.; Poulsen, K.; Leipziger, J.; Praetorius, H.A.; Skals, M. Leukotoxin from Aggregatibacter actinomycetemcomitans causes shrinkage and P2X receptor-dependent lysis of human erythrocytes. Cell. Microbiol. 2012, 14, 1904–1920. [Google Scholar] [CrossRef]
- Ziyal, R.; Ziganshin, A.U.; Nickel, P.; Ardanuy, U.; Mutschler, E.; Lambrecht, G.; Burnstock, G. Vasoconstrictor responses via P2X-receptors are selectively antagonized by NF023 in rabbit isolated aorta and saphenous artery. Br. J. Pharmacol. 1997, 120, 954–960. [Google Scholar] [CrossRef]
- Soto, F.; Lambrecht, G.; Nickel, P.; Stühmer, W.; Busch, A.E. Antagonistic properties of the suramin analogue NF023 at heterologously expressed P2X receptors. Neuropharmacology 1999, 38, 141–149. [Google Scholar] [CrossRef] [PubMed]
- Seyffert, C.; Schmalzing, G.; Markwardt, F. Dissecting Individual Current Components of Co-expressed Human P2X1 and P2X7 Receptors. Curr. Top. Med. Chem. 2004, 4, 1719–1730. [Google Scholar] [CrossRef] [PubMed]
- Skals, M.; Bjaelde, R.G.; Reinholdt, J.; Poulsen, K.; Vad, B.S.; Otzen, D.E.; Leipziger, J.; Praetorius, H.A. Bacterial RTX Toxins Allow Acute ATP Release from Human Erythrocytes Directly through the Toxin Pore. J. Biol. Chem. 2014, 289, 19098–19109. [Google Scholar] [CrossRef] [PubMed]
- Locovei, S.; Scemes, E.; Qiu, F.; Spray, D.C.; Dahl, G. Pannexin1 is part of the pore forming unit of the P2X7 receptor death complex. FEBS Lett. 2007, 581, 483–488. [Google Scholar] [CrossRef] [PubMed]
- Bao, L.; Locovei, S.; Dahl, G. Pannexin membrane channels are mechanosensitive conduits for ATP. FEBS Lett. 2004, 572, 65–68. [Google Scholar] [CrossRef] [PubMed]
- Huang, Y.J.; Maruyama, Y.; Dvoryanchikov, G.; Pereira, E.; Chaudhari, N.; Roper, S.D. The role of pannexin 1 hemichannels in ATP release and cell-cell communication in mouse taste buds. Proc. Natl. Acad. Sci. USA 2007, 104, 6436–6441. [Google Scholar] [CrossRef] [PubMed]
- Barbe, M.T.; Monyer, H.; Bruzzone, R. Cell-cell communication beyond connexins: The pannexin channels. Physiology 2006, 21, 103–114. [Google Scholar] [CrossRef] [PubMed]
- Ni, M.; He, J.G.; Zhou, H.Y.; Lu, X.J.; Hu, Y.L.; Mao, L.; Wang, F.; Chen, J.G.; Hu, Z.L. Pannexin-1 channel dysfunction in the medial prefrontal cortex mediates depressive-like behaviors induced by chronic social defeat stress and administration of mefloquine in mice. Neuropharmacology 2017, 137, 256–267. [Google Scholar] [CrossRef] [PubMed]
- Wei, Z.Y.; Qu, H.L.; Dai, Y.J.; Wang, Q.; Chen, G. Pannexin 1, a large-pore membrane channel, contributes to hypotonicity-induced ATP release in Schwann cells. Neural Regen. Res. 2021, 16, 899. [Google Scholar] [CrossRef]
- Zhu, Y.; Chen, X.; Lu, Y.; Fan, S.; Yang, Y.; Chen, Q.; Huang, Q.; Xia, L.; Wei, Y.; Zheng, J. Diphenyleneiodonium enhances P2X7 dependent non-opsonized phagocytosis and suppresses inflammasome activation via blocking CX43-mediated ATP leakage. Pharmacol. Res. 2021, 166, 105470. [Google Scholar] [CrossRef]
- Cheng, W.; Sun, Y.; Wu, Q.; Ooi, K.; Feng, Y.; Xia, C.; Zhu, D. Paraventricular Nucleus P2X7 Receptors Aggravate Acute Myocardial Infarction Injury via ROS-Induced Vasopressin-V1b Activation in Rats. Neurosci. Bull. 2021, 37, 641–656. [Google Scholar] [CrossRef] [PubMed]
- Ali, S.; Timmer, A.; Bilgrami, S.; Park, E.; Eckmann, L.; Nizet, V.; Karin, M. Anthrax toxin induces macrophage death by p38 MAPK inhibition but leads to inflammasome activation via ATP leakage. Immunity 2011, 35, 34–44. [Google Scholar] [CrossRef]
- Gu, B.J.; Saunders, B.M.; Jursik, C.; Wiley, J.S. The P2X7-nonmuscle myosin membrane complex regulates phagocytosis of nonopsonized particles and bacteria by a pathway attenuated by extracellular ATP. Blood J. Am. Soc. Hematol. 2010, 115, 1621–1631. [Google Scholar] [CrossRef] [PubMed]
- Adachi, Y.; Shibai, Y.; Mitsushita, J.; Shang, W.H.; Hirose, K.; Kamata, T. Oncogenic Ras upregulates NADPH oxidase 1 gene expression through MEK-ERK-dependent phosphorylation of GATA-6. Oncogene 2008, 27, 4921–4932. [Google Scholar] [CrossRef] [PubMed]
- Liu, Z.; Yao, X.; Jiang, W.; Li, W.; Zhu, S.; Liao, C.; Zou, L.; Ding, R.; Chen, J. Advanced oxidation protein products induce microglia-mediated neuroinflammation via MAPKs-NF-κB signaling pathway and pyroptosis after secondary spinal cord injury. J. Neuroinflamm. 2020, 17, 90. [Google Scholar] [CrossRef]
- Monturiol-Gross, L.; Flores-Díaz, M.; Pineda-Padilla, M.J.; Castro-Castro, A.C.; Alape-Giron, A. Clostridium perfringens phospholipase C induced ROS production and cytotoxicity require PKC, MEK1 and NFκB activation. PLoS ONE 2014, 9, e86475. [Google Scholar] [CrossRef] [PubMed]
- Wang, D.; Yue, Y.; Wu, G.; Tian, Y.; Liu, Y.; Yu, J.; Ji, Y.; Wang, J.; Li, J.; Pan, R.; et al. Preparation and characterization of a human scFv against the Clostridium perfringens type A alpha-toxin. Toxicon 2017, 130, 79–86. [Google Scholar] [CrossRef] [PubMed]
- Oda, M. New insight from basic research of Clostridium perfringens alpha-toxin. Nihon Rinsho Jpn. J. Clin. Med. 2012, 70, 1313–1317. [Google Scholar]
- Dunne, H.; Cowman, J.; Kenny, D. MRS2179: A novel inhibitor of platelet function. BMC Proc. 2015, 9, A2. [Google Scholar] [CrossRef]
- Ochi, S.; Oda, M.; Nagahama, M.; Sakurai, J. Clostridium perfringens alpha-toxin-induced hemolysis of horse erythrocytes is dependent on Ca2+ uptake. Biochim. Biophys. Acta 2003, 1613, 79–86. [Google Scholar] [CrossRef]
- Billaud, M.; Lohman, A.W.; Straub, A.C.; Looft-Wilson, R.; Johnstone, S.R.; Araj, C.A.; Best, A.K.; Chekeni, F.B.; Ravichandran, K.S.; Penuela, S.; et al. Pannexin1 regulates α1-adrenergic receptor-mediated vasoconstriction. Circ. Res. 2011, 109, 80–85. [Google Scholar] [CrossRef] [PubMed]
- Parzych, K.; Zetterqvist, A.V.; Wright, W.R.; Kirkby, N.S.; Mitchell, J.A.; Paul-Clark, M.J. Differential role of pannexin-1/ATP/P2X(7) axis in IL-1β release by human monocytes. FASEB J. Off. Publ. Fed. Am. Soc. Exp. Biol. 2017, 31, 2439–2445. [Google Scholar] [CrossRef] [PubMed]
- Olszewski, K.L.; Llinás, M. Central carbon metabolism of Plasmodium parasites. Mol. Biochem. Parasitol. 2011, 175, 95–103. [Google Scholar] [CrossRef] [PubMed]
- Wrenger, C.; Muller, I.B.; Silber, A.M.; Jordanova, R.; Lamzin, V.S.; Groves, M.R. Aspartate aminotransferase: Bridging carbohydrate and energy metabolism in Plasmodium falciparum. Curr. Drug Metab. 2012, 13, 332–336. [Google Scholar] [CrossRef] [PubMed]
- Ellinger, J.J.; Lewis, I.A.; Markley, J.L. Role of aminotransferases in glutamate metabolism of human erythrocytes. J. Biomol. NMR 2011, 49, 221–229. [Google Scholar] [CrossRef]
- Storm, J.; Sethia, S.; Blackburn, G.J.; Chokkathukalam, A.; Watson, D.G.; Breitling, R.; Coombs, G.H.; Müller, S. Phosphoenolpyruvate carboxylase identified as a key enzyme in erythrocytic Plasmodium falciparum carbon metabolism. PLoS Pathog. 2014, 10, e1003876. [Google Scholar] [CrossRef]
- Oppenheim, R.D.; Creek, D.J.; Macrae, J.I.; Modrzynska, K.K.; Pino, P.; Limenitakis, J.; Polonais, V.; Seeber, F.; Barrett, M.P.; Billker, O.; et al. BCKDH: The missing link in apicomplexan mitochondrial metabolism is required for full virulence of Toxoplasma gondii and Plasmodium berghei. PLoS Pathog. 2014, 10, e1004263. [Google Scholar] [CrossRef]
- Seeber, F.; Limenitakis, J.; Soldati-Favre, D. Apicomplexan mitochondrial metabolism: A story of gains, losses and retentions. Trends Parasitol. 2008, 24, 468–478. [Google Scholar] [CrossRef] [PubMed]
- Cobbold, S.A.; Vaughan, A.M.; Lewis, I.A.; Painter, H.J.; Camargo, N.; Perlman, D.H.; Fishbaugher, M.; Healer, J.; Cowman, A.F.; Kappe, S.H.; et al. Kinetic flux profiling elucidates two independent acetyl-CoA biosynthetic pathways in Plasmodium falciparum. J. Biol. Chem. 2013, 288, 36338–36350. [Google Scholar] [CrossRef]
- Oda, M.; Ikari, S.; Matsuno, T.; Morimune, Y.; Nagahama, M.; Sakurai, J. Signal transduction mechanism involved in Clostridium perfringens alpha-toxin-induced superoxide anion generation in rabbit neutrophils. Infect. Immun. 2006, 74, 2876–2886. [Google Scholar] [CrossRef]
- Hejl, J.L.; Skals, M.; Leipziger, J.; Praetorius, H.A. P2X receptor stimulation amplifies complement-induced haemolysis. Pflug. Arch. Eur. J. Physiol. 2013, 465, 529–541. [Google Scholar] [CrossRef] [PubMed]
- Fischetti, V.; Eleso, O.; Rumah, R. Human blood exposure to Clostridium perfringens epsilon toxin may shed light on erythrocyte fragility during active multiple sclerosis. bioRivx 2019. Version 1. [Google Scholar] [CrossRef]
- Oda, M.; Terao, Y.; Sakurai, J.; Nagahama, M. Membrane-Binding Mechanism of Clostridium perfringens Alpha-Toxin. Toxins 2015, 7, 5268–5275. [Google Scholar] [CrossRef] [PubMed]








| Antagonists | Target | Human Erythrocytes | Murine Erythrocytes |
|---|---|---|---|
| PPADS | P2 receptors | √ | √ |
| Suramin | P2 receptors | √ | √ |
| Evans Blue | P2X | √ | √ |
| NF023 | P2X1 | × | √ |
| BBG | P2X1/P2X7 | √ | √ |
| OxATP | P2X1/P2X7 | √ | √ |
| A438079 | P2X7 | × | × |
| KN-62 | P2X1/P2X7 | × | × |
| Mg2+ | P2X7 | √ | × |
| MRS2179 | P2Y1 | × | × |
| MRS2211 | P2Y13 | √ | √ |
| Carbenoxolone | Pannexin 1 | × | × |
| Mefloquine | Pannexin 1 | × | × |
| Inhibitors | Target NOX Subtype | ||||
|---|---|---|---|---|---|
| NOX1 | NOX2 | NOX3 | NOX4 | NOX5 | |
| GKT136901 | √ | √ | √ | √ | |
| Setanaxib | √ | √ | √ | √ | |
| VAS2870 | √ | ||||
| ML171 | √ | √ | √ | √ | |
Disclaimer/Publisher’s Note: The statements, opinions and data contained in all publications are solely those of the individual author(s) and contributor(s) and not of MDPI and/or the editor(s). MDPI and/or the editor(s) disclaim responsibility for any injury to people or property resulting from any ideas, methods, instructions or products referred to in the content. |
© 2024 by the authors. Licensee MDPI, Basel, Switzerland. This article is an open access article distributed under the terms and conditions of the Creative Commons Attribution (CC BY) license (https://creativecommons.org/licenses/by/4.0/).
Share and Cite
Guo, Z.; Yue, N.; Chen, M.; Li, J.; Lv, R.; Wang, J.; Liu, T.; Huang, J.; Gao, S.; Li, Y.; et al. Purinergic Receptor Antagonists Inhibit Hemolysis Induced by Clostridium perfringens Alpha Toxin. Pathogens 2024, 13, 454. https://doi.org/10.3390/pathogens13060454
Guo Z, Yue N, Chen M, Li J, Lv R, Wang J, Liu T, Huang J, Gao S, Li Y, et al. Purinergic Receptor Antagonists Inhibit Hemolysis Induced by Clostridium perfringens Alpha Toxin. Pathogens. 2024; 13(6):454. https://doi.org/10.3390/pathogens13060454
Chicago/Turabian StyleGuo, Zishuo, Nan Yue, Ming Chen, Jiaxin Li, Ruomei Lv, Jing Wang, Tingting Liu, Jing Huang, Shan Gao, Yanwei Li, and et al. 2024. "Purinergic Receptor Antagonists Inhibit Hemolysis Induced by Clostridium perfringens Alpha Toxin" Pathogens 13, no. 6: 454. https://doi.org/10.3390/pathogens13060454
APA StyleGuo, Z., Yue, N., Chen, M., Li, J., Lv, R., Wang, J., Liu, T., Huang, J., Gao, S., Li, Y., Yuan, B., Wang, J., Kang, L., Ji, B., & Xin, W. (2024). Purinergic Receptor Antagonists Inhibit Hemolysis Induced by Clostridium perfringens Alpha Toxin. Pathogens, 13(6), 454. https://doi.org/10.3390/pathogens13060454

