The Impact of Enterococcus spp. in the Immunocompromised Host: A Comprehensive Review
Abstract
1. Introduction
2. Epidemiological Patterns of Enterococcal Infections
2.1. Nosocomial Transmission
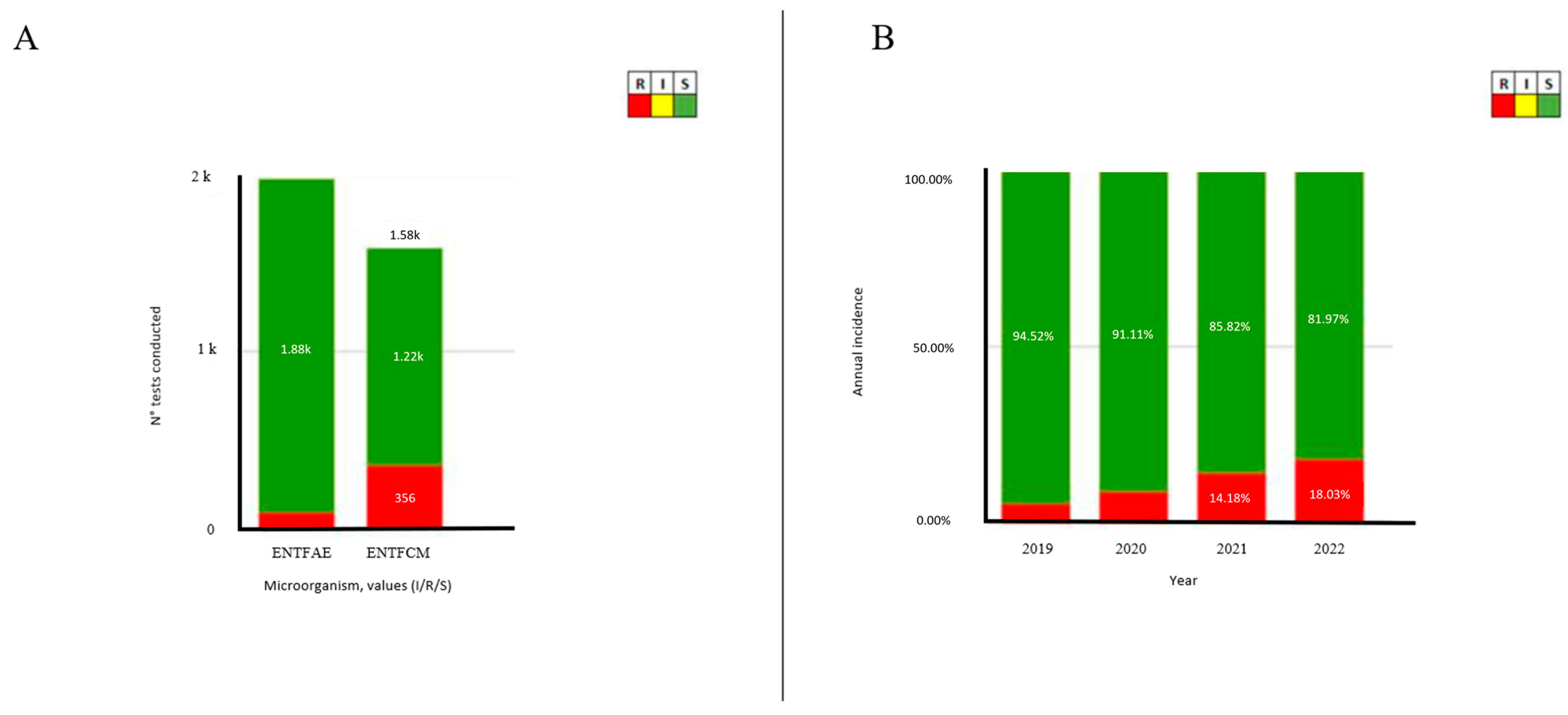
2.2. Molecular Epidemiology in Clinical Setting
2.3. Clinical Impact
3. Antimicrobial Resistance
4. Virulence Factors
5. Interactions in Immunocompromised Host
5.1. Clinical Risk-Factors and Predictors of Mortality in Host
5.2. Enterococcus Pathogenicity in Host Cells
5.3. Biofilm Formation and Adhesion to Immunocompromised Host Tissues
6. Therapeutical Approaches
6.1. Treatment for Susceptible Enterococci
6.2. Challenges in Treatment of VRE Infection
6.3. Prevention and Infection Control Strategies
7. Conclusions
Author Contributions
Funding
Conflicts of Interest
References
- Lebreton, F.; Manson, A.L.; Saavedra, J.T.; Straub, T.J.; Earl, A.M.; Gilmore, M.S. Tracing the Enterococci from Paleozoic Origins to the Hospital. Cell 2017, 169, 849–861.e13. [Google Scholar] [CrossRef] [PubMed]
- Lupia, T.; Roberto, G.; Scaglione, L.; Shbaklo, N.; De Benedetto, I.; Scabini, S.; Mornese Pinna, S.; Curtoni, A.; Cavallo, R.; De Rosa, F.G.; et al. Clinical and microbiological characteristics of bloodstream infections caused by Enterococcus spp. within internal medicine wards: A two-year single-centre experience. Intern. Emerg. Med. 2022, 17, 1129–1137. [Google Scholar] [CrossRef] [PubMed]
- Ha, S.; Huh, K.; Chung, D.R.; Ko, J.-H.; Cho, S.Y.; Huh, H.J.; Lee, N.Y.; Kang, C.-I.; Peck, K.R.; Song, J.-H.; et al. Efficacy of teicoplanin in bloodstream infections caused by Enterococcus faecium: Posthoc analysis of a nationwide surveillance. Int. J. Infect. Dis. 2022, 122, 506–513. [Google Scholar] [CrossRef] [PubMed]
- Berge, A.; Morenius, C.; Petropoulos, A.; Nilson, B.; Rasmussen, M. Epidemiology, bacteriology, and clinical characteristics of HACEK bacteremia and endocarditis: A population-based retrospective study. Eur. J. Clin. Microbiol. Infect. Dis. 2021, 40, 525–534. [Google Scholar] [CrossRef]
- Shrestha, S.; Kharel, S.; Homagain, S.; Aryal, R.; Mishra, S.K. Prevalence of vancomycin-resistant enterococci in Asia–A systematic review and meta-analysis. J. Clin. Pharm. Ther. 2021, 46, 1226–1237. [Google Scholar] [CrossRef]
- Ruksakiet, K.; Hanák, L.; Farkas, N.; Hegyi, P.; Sadaeng, W.; Czumbel, L.M.; Sang-Ngoen, T.; Garami, A.; Mikó, A.; Varga, G.; et al. Antimicrobial Efficacy of Chlorhexidine and Sodium Hypochlorite in Root Canal Disinfection: A Systematic Review and Meta-analysis of Randomized Controlled Trials. J. Endod. 2020, 46, 1032–1041.e7. [Google Scholar] [CrossRef] [PubMed]
- Rathod, S.N.; Bardowski, L.; Tse, I.; Churyla, A.; Fiehler, M.; Malczynski, M.; Qi, C.; Tanna, S.D.; Bulger, C.; Al-Qamari, A.; et al. Vancomycin-resistant Enterococcus outbreak in a pre- and post-cardiothoracic transplant population: Impact of discontinuing multidrug-resistant organism surveillance during the coronavirus disease 2019 pandemic. Transpl. Infect. Dis. 2022, 24, e13972. [Google Scholar] [CrossRef] [PubMed]
- Landete, J.M.; Peirotén, Á.; Medina, M.; Arqués, J.L.; Rodríguez-Mínguez, E. Virulence and Antibiotic Resistance of Enterococci Isolated from Healthy Breastfed Infants. Microb. Drug Resist. 2018, 24, 63–69. [Google Scholar] [CrossRef] [PubMed]
- Torres, C.; Alonso, C.A.; Ruiz-Ripa, L.; León-Sampedro, R.; Del Campo, R.; Coque, T.M. Antimicrobial Resistance in Enterococcus spp. of animal origin. Microbiol. Spectr. 2018, 6, 185–227. [Google Scholar] [CrossRef]
- World Health Organization. Antimicrobial Resistance Surveillance in Europe 2022–2020 Data; World Health Organization, Regional Office for Europe: Copenhagen, Denmark, 2022; ISBN 92-890-5668-1. [Google Scholar]
- Poudel, A.N.; Zhu, S.; Cooper, N.; Little, P.; Tarrant, C.; Hickman, M.; Yao, G. The economic burden of antibiotic resistance: A systematic review and meta-analysis. PLoS ONE 2023, 18, e0285170. [Google Scholar] [CrossRef]
- DiazGranados, C.A.; Zimmer, S.M.; Klein, M.; Jernigan, J.A. Comparison of mortality associated with vancomycin-resistant and vancomycin-susceptible enterococcal bloodstream infections: A meta-analysis. Clin. Infect. Dis. 2005, 41, 327–333. [Google Scholar] [CrossRef]
- Honsa, E.S.; Cooper, V.S.; Mhaissen, M.N.; Frank, M.; Shaker, J.; Iverson, A.; Rubnitz, J.; Hayden, R.T.; Lee, R.E.; Rock, C.O.; et al. RelA Mutant Enterococcus faecium with Multiantibiotic Tolerance Arising in an Immunocompromised Host. mBio 2017, 8, e02124-16. [Google Scholar] [CrossRef]
- Krawczyk, B.; Wityk, P.; Gałęcka, M.; Michalik, M. The Many Faces of Enterococcus spp.—Commensal, Probiotic and Opportunistic Pathogen. Microorganisms 2021, 9, 1900. [Google Scholar] [CrossRef]
- Ghazisaeedi, F.; Meens, J.; Hansche, B.; Maurischat, S.; Schwerk, P.; Goethe, R.; Wieler, L.H.; Fulde, M.; Tedin, K. A virulence factor as a therapeutic: The probiotic Enterococcus faecium SF68 arginine deiminase inhibits innate immune signaling pathways. Gut Microbes 2022, 14, 2106105. [Google Scholar] [CrossRef]
- Keogh, D.; Lam, L.N.; Doyle, L.E.; Matysik, A.; Pavagadhi, S.; Umashankar, S.; Low, P.M.; Dale, J.L.; Song, Y.; Ng, S.P.; et al. Extracellular Electron Transfer Powers Enterococcus faecalis Biofilm Metabolism. mBio 2018, 9, e00626-17. [Google Scholar] [CrossRef]
- Brinkwirth, S.; Ayobami, O.; Eckmanns, T.; Markwart, R. Hospital-acquired infections caused by enterococci: A systematic review and meta-analysis, WHO European Region, 1 January 2010 to 4 February 2020. Eurosurveillance 2021, 26, 2001628. [Google Scholar] [CrossRef]
- Simar, S.R.; Tran, T.T.; Rydell, K.B.; Panesso, D.; Contreras, G.A.; Munita, J.M.; Cifuentes, R.O.; Abbo, L.M.; Sahasrabhojane, P.; Dinh, A.Q.; et al. Multisite Detection of Tn1549-Mediated vanB Vancomycin Resistance in Multidrug-Resistant Enterococcus faecalis ST6 in Texas and Florida. Antimicrob. Agents Chemother. 2023, 67, e0128422. [Google Scholar] [CrossRef]
- Yuan, T.-Y.; Liang, B.; Jiang, B.-W.; Sun, S.-W.; Zhou, Y.-F.; Zhu, L.-W.; Liu, J.; Guo, X.-J.; Ji, X.; Sun, Y. Virulence genes and antimicrobial resistance in Enterococcus strains isolated from dogs and cats in Northeast China. J. Vet. Med. Sci. 2023, 85, 371–378. [Google Scholar] [CrossRef]
- Lee, Y.J.; Kim, K.; Lee, Y.J. Dissemination and characteristics of high-level erythromycin-resistant Enterococcus faecalis from bulk tank milk of dairy companies in Korea. Can. J. Vet. Res. Rev. 2023, 87, 51–58. [Google Scholar]
- Nüesch-Inderbinen, M.; Heyvaert, L.; Treier, A.; Zurfluh, K.; Cernela, N.; Biggel, M.; Stephan, R. High occurrence of Enterococcus faecalis, Enterococcus faecium, and Vagococcus lutrae harbouring oxazolidinone resistance genes in raw meat-based diets for companion animals—A public health issue, Switzerland, September 2018 to May 2020. Eurosurveillance 2023, 28, 2200496. [Google Scholar] [CrossRef] [PubMed]
- Mwikuma, G.; Kainga, H.; Kallu, S.A.; Nakajima, C.; Suzuki, Y.; Hang’ombe, B.M. Determination of the Prevalence and Antimicrobial Resistance of Enterococcus faecalis and Enterococcus faecium Associated with Poultry in Four Districts in Zambia. Antibiotics 2023, 12, 657. [Google Scholar] [CrossRef] [PubMed]
- Surveillance Atlas of Infectious Diseases. Available online: http://atlas.ecdc.europa.eu/public/index.aspx (accessed on 11 June 2023).
- Top, J.; Willems, R.; van der Velden, S.; Asbroek, M.; Bonten, M. Emergence of clonal complex 17 Enterococcus faecium in The Netherlands. J. Clin. Microbiol. 2008, 46, 214–219. [Google Scholar] [CrossRef]
- Werner, G.; Coque, T.M.; Hammerum, A.M.; Hope, R.; Hryniewicz, W.; Johnson, A.; Klare, I.; Kristinsson, K.G.; Leclercq, R.; Lester, C.H.; et al. Emergence and spread of vancomycin resistance among enterococci in Europe. Eurosurveillance 2008, 13, 19046. [Google Scholar] [CrossRef]
- Soderblom, T.; Aspevall, O.; Erntell, M.; Hedin, G.; Heimer, D.; Hokeberg, I.; Kidd-Ljunggren, K.; Melhus, A.; Olsson-Liljequist, B.; Sjogren, I.; et al. Alarming spread of vancomycin resistant enterococci in Sweden since 2007. Eurosurveillance 2010, 15, 19620. [Google Scholar] [CrossRef]
- Rete dei Laboratori di Microbiologia (Rete MIC) per la Sorveglianza Delle Resistenze Batteriche. Qualità Sicilia SSR. Available online: https://www.qualitasiciliassr.it/?q=rete-laboratori (accessed on 11 June 2023).
- Toc, D.A.; Botan, A.; Botescu, A.M.C.; Brata, V.D.; Colosi, I.A.; Costache, C.; Junie, L.M. A Tale of Two Pandemics: Antimicrobial Resistance Patterns of Enterococcus spp. in COVID-19 Era. Antibiotics 2023, 12, 312. [Google Scholar] [CrossRef] [PubMed]
- García-Solache, M.; Rice, L.B. The Enterococcus: A Model of Adaptability to Its Environment. Clin. Microbiol. Rev. 2019, 32, e00058-18. [Google Scholar] [CrossRef] [PubMed]
- Donskey, C.J.; Chowdhry, T.K.; Hecker, M.T.; Hoyen, C.K.; Hanrahan, J.A.; Hujer, A.M.; Hutton-Thomas, R.A.; Whalen, C.C.; Bonomo, R.A.; Rice, L.B. Effect of antibiotic therapy on the density of vancomycin-resistant enterococci in the stool of colonized patients. N. Engl. J. Med. 2000, 343, 1925–1932. [Google Scholar] [CrossRef]
- Ubeda, C.; Taur, Y.; Jenq, R.R.; Equinda, M.J.; Son, T.; Samstein, M.; Viale, A.; Socci, N.D.; van den Brink, M.R.M.; Kamboj, M.; et al. Vancomycin-resistant Enterococcus domination of intestinal microbiota is enabled by antibiotic treatment in mice and precedes bloodstream invasion in humans. J. Clin. Investig. 2010, 120, 4332–4341. [Google Scholar] [CrossRef]
- Brandl, K.; Plitas, G.; Mihu, C.N.; Ubeda, C.; Jia, T.; Fleisher, M.; Schnabl, B.; DeMatteo, R.P.; Pamer, E.G. Vancomycin-resistant enterococci exploit antibiotic-induced innate immune deficits. Nature 2008, 455, 804–807. [Google Scholar] [CrossRef] [PubMed]
- Kinnebrew, M.A.; Ubeda, C.; Zenewicz, L.A.; Smith, N.; Flavell, R.A.; Pamer, E.G. Bacterial flagellin stimulates Toll-like receptor 5-dependent defense against vancomycin-resistant Enterococcus infection. J. Infect. Dis. 2010, 201, 534–543. [Google Scholar] [CrossRef]
- Sydnor, E.R.M.; Perl, T.M. Hospital epidemiology and infection control in acute-care settings. Clin. Microbiol. Rev. 2011, 24, 141–173. [Google Scholar] [CrossRef]
- Bradley, C.R.; Fraise, A.P. Heat and chemical resistance of enterococci. J. Hosp. Infect. 1996, 34, 191–196. [Google Scholar] [CrossRef]
- Gilmore, M.S.; Lebreton, F.; van Schaik, W. Genomic transition of enterococci from gut commensals to leading causes of multidrug-resistant hospital infection in the antibiotic era. Curr. Opin. Microbiol. 2013, 16, 10–16. [Google Scholar] [CrossRef]
- Palmer, K.L.; Godfrey, P.; Griggs, A.; Kos, V.N.; Zucker, J.; Desjardins, C.; Cerqueira, G.; Gevers, D.; Walker, S.; Wortman, J.; et al. Comparative genomics of enterococci: Variation in Enterococcus faecalis, clade structure in E. faecium, and defining characteristics of E. gallinarum and E. casseliflavus. mBio 2012, 3, e00318-11. [Google Scholar] [CrossRef]
- Homan, W.L.; Tribe, D.; Poznanski, S.; Li, M.; Hogg, G.; Spalburg, E.; Van Embden, J.D.A.; Willems, R.J.L. Multilocus sequence typing scheme for Enterococcus faecium. J. Clin. Microbiol. 2002, 40, 1963–1971. [Google Scholar] [CrossRef]
- Ruiz-Garbajosa, P.; Bonten, M.J.M.; Robinson, D.A.; Top, J.; Nallapareddy, S.R.; Torres, C.; Coque, T.M.; Cantón, R.; Baquero, F.; Murray, B.E.; et al. Multilocus sequence typing scheme for Enterococcus faecalis reveals hospital-adapted genetic complexes in a background of high rates of recombination. J. Clin. Microbiol. 2006, 44, 2220–2228. [Google Scholar] [CrossRef]
- Willems, R.J.L.; Top, J.; van Santen, M.; Robinson, D.A.; Coque, T.M.; Baquero, F.; Grundmann, H.; Bonten, M.J.M. Global spread of vancomycin-resistant Enterococcus faecium from distinct nosocomial genetic complex. Emerg. Infect. Dis. 2005, 11, 821–828. [Google Scholar] [CrossRef]
- van Hal, S.J.; Willems, R.J.L.; Gouliouris, T.; Ballard, S.A.; Coque, T.M.; Hammerum, A.M.; Hegstad, K.; Pinholt, M.; Howden, B.P.; Malhotra-Kumar, S.; et al. The interplay between community and hospital Enterococcus faecium clones within health-care settings: A genomic analysis. Lancet Microbe 2022, 3, e133–e141. [Google Scholar] [CrossRef]
- Al Rubaye, M.; Janice, J.; Bjørnholt, J.V.; Kacelnik, O.; Haldorsen, B.C.; Nygaard, R.M.; Hegstad, J.; Sundsfjord, A.; Hegstad, K.; The Norwegian Vre Study Group. The population structure of vancomycin-resistant and -susceptible Enterococcus faecium in a low-prevalence antimicrobial resistance setting is highly influenced by circulating global hospital-associated clones. Microb. Genom. 2023, 9, 001160. [Google Scholar] [CrossRef]
- Laverde Gomez, J.A.; van Schaik, W.; Freitas, A.R.; Coque, T.M.; Weaver, K.E.; Francia, M.V.; Witte, W.; Werner, G. A multiresistance megaplasmid pLG1 bearing a hylEfm genomic island in hospital Enterococcus faecium isolates. Int. J. Med. Microbiol. 2011, 301, 165–175. [Google Scholar] [CrossRef]
- Manson, J.M.; Hancock, L.E.; Gilmore, M.S. Mechanism of chromosomal transfer of Enterococcus faecalis pathogenicity island, capsule, antimicrobial resistance, and other traits. Proc. Natl. Acad. Sci. USA 2010, 107, 12269–12274. [Google Scholar] [CrossRef] [PubMed]
- Gholizadeh, P.; Aghazadeh, M.; Ghotaslou, R.; Rezaee, M.A.; Pirzadeh, T.; Cui, L.; Watanabe, S.; Feizi, H.; Kadkhoda, H.; Kafil, H.S. Role of CRISPR-Cas system on antibiotic resistance patterns of Enterococcus faecalis. Ann. Clin. Microbiol. Antimicrob. 2021, 20, 49. [Google Scholar] [CrossRef] [PubMed]
- Cabiltes, I.; Coghill, S.; Bowe, S.J.; Athan, E. Enterococcal bacteraemia “silent but deadly”: A population-based cohort study. Intern. Med. J. 2020, 50, 434–440. [Google Scholar] [CrossRef] [PubMed]
- Giacobbe, D.R.; Labate, L.; Tutino, S.; Baldi, F.; Russo, C.; Robba, C.; Ball, L.; Dettori, S.; Marchese, A.; Dentone, C.; et al. Enterococcal bloodstream infections in critically ill patients with COVID-19: A case series. Ann. Med. 2021, 53, 1779–1786. [Google Scholar] [CrossRef] [PubMed]
- Zasowski, E.J.; Claeys, K.C.; Lagnf, A.M.; Davis, S.L.; Rybak, M.J. Time Is of the Essence: The Impact of Delayed Antibiotic Therapy on Patient Outcomes in Hospital-Onset Enterococcal Bloodstream Infections. Clin. Infect. Dis. 2016, 62, 1242–1250. [Google Scholar] [CrossRef]
- Lee, R.A.; Vo, D.T.; Zurko, J.C.; Griffin, R.L.; Rodriguez, J.M.; Camins, B.C. Infectious Diseases Consultation Is Associated with Decreased Mortality in Enterococcal Bloodstream Infections. Open Forum Infect. Dis. 2020, 7, ofaa064. [Google Scholar] [CrossRef] [PubMed]
- Cattaneo, C.; Rieg, S.; Schwarzer, G.; Müller, M.C.; Blümel, B.; Kern, W.V. Enterococcus faecalis bloodstream infection: Does infectious disease specialist consultation make a difference? Infection 2021, 49, 1289–1297. [Google Scholar] [CrossRef] [PubMed]
- Carvalho, A.S.; Lagana, D.; Catford, J.; Shaw, D.; Bak, N. Bloodstream infections in neutropenic patients with haematological malignancies. Infect. Dis. Health 2020, 25, 22–29. [Google Scholar] [CrossRef] [PubMed]
- Bussini, L.; Rosselli Del Turco, E.; Pasquini, Z.; Scolz, K.; Amedeo, A.; Beci, G.; Giglia, M.; Tedeschi, S.; Pascale, R.; Ambretti, S.; et al. Risk factors for persistent enterococcal bacteraemia: A multicentre retrospective study. J. Glob. Antimicrob. Resist. 2022, 29, 386–389. [Google Scholar] [CrossRef]
- Heidrich, V.; Bruno, J.S.; Knebel, F.H.; de Molla, V.C.; Miranda-Silva, W.; Asprino, P.F.; Tucunduva, L.; Rocha, V.; Novis, Y.; Arrais-Rodrigues, C.; et al. Dental Biofilm Microbiota Dysbiosis Is Associated with the Risk of Acute Graft-Versus-Host Disease after Allogeneic Hematopoietic Stem Cell Transplantation. Front. Immunol. 2021, 12, 692225. [Google Scholar] [CrossRef]
- Feng, D.; Zhang, Y.-T.; Qiu, T.-T.; Xu, K.-L. Clinical Features of Infection within 100 days after Hematopoietic Stem Cell Transplantation in 313 patients with Hematologic Diseases. Zhongguo Shi Yan Xue Ye Xue Za Zhi 2020, 28, 602–608. [Google Scholar] [CrossRef]
- Yan, C.-H.; Wang, Y.; Mo, X.-D.; Sun, Y.-Q.; Wang, F.-R.; Fu, H.-X.; Chen, Y.; Han, T.-T.; Kong, J.; Cheng, Y.-F.; et al. Incidence, Risk Factors, Microbiology and Outcomes of Pre-engraftment Bloodstream Infection After Haploidentical Hematopoietic Stem Cell Transplantation and Comparison with HLA-identical Sibling Transplantation. Clin. Infect. Dis. 2018, 67, S162–S173. [Google Scholar] [CrossRef]
- Friedman, G.; Stepensky, P.; Abu Ahmad, W.; Masarwa, R.; Temper, V.; Oster, Y.; Amit, S.; Averbuch, D. Enterococcal Bacteremia in Children with Malignancies and Following Hematopoietic Stem Cell Transplantation: A 15-Year Single-Center Experience. Pediatr. Infect. Dis. J. 2020, 39, 318–324. [Google Scholar] [CrossRef] [PubMed]
- Casewell, M.; Friis, C.; Marco, E.; McMullin, P.; Phillips, I. The European ban on growth-promoting antibiotics and emerging consequences for human and animal health. J. Antimicrob. Chemother. 2003, 52, 159–161. [Google Scholar] [CrossRef] [PubMed]
- Aun, E.; Kisand, V.; Laht, M.; Telling, K.; Kalmus, P.; Väli, Ü.; Brauer, A.; Remm, M.; Tenson, T. Molecular Characterization of Enterococcus Isolates from Different Sources in Estonia Reveals Potential Transmission of Resistance Genes Among Different Reservoirs. Front. Microbiol. 2021, 12, 601490. [Google Scholar] [CrossRef] [PubMed]
- Levitus, M.; Rewane, A.; Perera, T.B. Vancomycin-Resistant Enterococci. In StatPearls; StatPearls Publishing: Treasure Island, FL, USA, 2023. [Google Scholar]
- Xie, O.; Slavin, M.A.; Teh, B.W.; Bajel, A.; Douglas, A.P.; Worth, L.J. Epidemiology, treatment and outcomes of bloodstream infection due to vancomycin-resistant enterococci in cancer patients in a vanB endemic setting. BMC Infect. Dis. 2020, 20, 228. [Google Scholar] [CrossRef]
- Raza, T.; Ullah, S.R.; Mehmood, K.; Andleeb, S. Vancomycin resistant Enterococci: A brief review. J. Pak. Med. Assoc. 2018, 68, 768–772. [Google Scholar]
- Lee, T.; Pang, S.; Abraham, S.; Coombs, G.W. Antimicrobial-resistant CC17 Enterococcus faecium: The past, the present and the future. J. Glob. Antimicrob. Resist. 2019, 16, 36–47. [Google Scholar] [CrossRef]
- Hasman, H.; Clausen, P.T.L.C.; Kaya, H.; Hansen, F.; Knudsen, J.D.; Wang, M.; Holzknecht, B.J.; Samulioniené, J.; Røder, B.L.; Frimodt-Møller, N.; et al. LRE-Finder, a Web tool for detection of the 23S rRNA mutations and the optrA, cfr, cfr(B) and poxtA genes encoding linezolid resistance in enterococci from whole-genome sequences. J. Antimicrob. Chemother. 2019, 74, 1473–1476. [Google Scholar] [CrossRef]
- Rahim, S.; Pillai, S.K.; Gold, H.S.; Venkataraman, L.; Inglima, K.; Press, R.A. Linezolid-resistant, vancomycin-resistant Enterococcus faecium infection in patients without prior exposure to linezolid. Clin. Infect. Dis. 2003, 36, E146–E148. [Google Scholar] [CrossRef]
- Arias, C.A.; Panesso, D.; McGrath, D.M.; Qin, X.; Mojica, M.F.; Miller, C.; Diaz, L.; Tran, T.T.; Rincon, S.; Barbu, E.M.; et al. Genetic basis for in vivo daptomycin resistance in enterococci. N. Engl. J. Med. 2011, 365, 892–900. [Google Scholar] [CrossRef] [PubMed]
- Zeng, W.; Feng, L.; Qian, C.; Chen, T.; Wang, S.; Zhang, Y.; Zheng, X.; Wang, L.; Liu, S.; Zhou, T.; et al. Acquisition of Daptomycin Resistance by Enterococcus faecium Confers Collateral Sensitivity to Glycopeptides. Front. Microbiol. 2022, 13, 815600. [Google Scholar] [CrossRef]
- Pfaller, M.A.; Cormican, M.; Flamm, R.K.; Mendes, R.E.; Jones, R.N. Temporal and Geographic Variation in Antimicrobial Susceptibility and Resistance Patterns of Enterococci: Results From the SENTRY Antimicrobial Surveillance Program, 1997–2016. Open Forum Infect. Dis. 2019, 6, S54–S62. [Google Scholar] [CrossRef]
- Lazzaro, L.M.; Cassisi, M.; Stefani, S.; Campanile, F. Impact of PBP4 Alterations on β-Lactam Resistance and Ceftobiprole Non-Susceptibility Among Enterococcus faecalis Clinical Isolates. Front. Cell. Infect. Microbiol. 2021, 11, 816657. [Google Scholar] [CrossRef] [PubMed]
- Maitreya, A.; Qureshi, A. Genomic and phenotypic characterisation of Enterococcus mundtii AM_AQ_BC8 for its anti-biofilm, antimicrobial and probiotic potential. Arch. Microbiol. 2024, 206, 84. [Google Scholar] [CrossRef]
- Chavers, L.S.; Moser, S.A.; Benjamin, W.H.; Banks, S.E.; Steinhauer, J.R.; Smith, A.M.; Johnson, C.N.; Funkhouser, E.; Chavers, L.P.; Stamm, A.M.; et al. Vancomycin-resistant enterococci: 15 years and counting. J. Hosp. Infect. 2003, 53, 159–171. [Google Scholar] [CrossRef]
- Rince, A.; Flahaut, S.; Auffray, Y. Identification of general stress genes in Enterococcus faecalis. Int. J. Food Microbiol. 2000, 55, 87–91. [Google Scholar] [CrossRef]
- Dougherty, T.J.; Pucci, M.J.; Zawadzke, L.; Barrett, J.F. American Society of Microbiology-100th General Meeting. IDrugs Investig. Drugs J. 2000, 3, 857–860. [Google Scholar]
- Hancock, L.; Perego, M. Two-component signal transduction in Enterococcus faecalis. J. Bacteriol. 2002, 184, 5819–5825. [Google Scholar] [CrossRef] [PubMed]
- Zhang, J.; Fang, R.; Peng, Q.; Wu, S.; Lei, L. The Regulations of Essential WalRK Two-Component System on Enterococcus faecalis. J. Clin. Med. 2023, 12, 767. [Google Scholar] [CrossRef]
- Hancock, L.E.; Perego, M. The Enterococcus faecalis fsr two-component system controls biofilm development through production of gelatinase. J. Bacteriol. 2004, 186, 5629–5639. [Google Scholar] [CrossRef] [PubMed]
- Ali, L.; Goraya, M.U.; Arafat, Y.; Ajmal, M.; Chen, J.-L.; Yu, D. Molecular Mechanism of Quorum-Sensing in Enterococcus faecalis: Its Role in Virulence and Therapeutic Approaches. Int. J. Mol. Sci. 2017, 18, 960. [Google Scholar] [CrossRef] [PubMed]
- Nakayama, J.; Cao, Y.; Horii, T.; Sakuda, S.; Akkermans, A.D.; de Vos, W.M.; Nagasawa, H. Gelatinase biosynthesis-activating pheromone: A peptide lactone that mediates a quorum sensing in Enterococcus faecalis. Mol. Microbiol. 2001, 41, 145–154. [Google Scholar] [CrossRef]
- Qin, X.; Singh, K.V.; Weinstock, G.M.; Murray, B.E. Characterization of fsr, a regulator controlling expression of gelatinase and serine protease in Enterococcus faecalis OG1RF. J. Bacteriol. 2001, 183, 3372–3382. [Google Scholar] [CrossRef] [PubMed]
- Ma, P.; Yuille, H.M.; Blessie, V.; Göhring, N.; Iglói, Z.; Nishiguchi, K.; Nakayama, J.; Henderson, P.J.F.; Phillips-Jones, M.K. Expression, purification and activities of the entire family of intact membrane sensor kinases from Enterococcus faecalis. Mol. Membr. Biol. 2008, 25, 449–473. [Google Scholar] [CrossRef]
- Willett, J.L.E.; Robertson, E.B.; Dunny, G.M. The Phosphatase Bph and Peptidyl-Prolyl Isomerase PrsA Are Required for Gelatinase Expression and Activity in Enterococcus faecalis. J. Bacteriol. 2022, 204, e0012922. [Google Scholar] [CrossRef] [PubMed]
- Qin, X.; Singh, K.V.; Weinstock, G.M.; Murray, B.E. Effects of Enterococcus faecalis fsr genes on production of gelatinase and a serine protease and virulence. Infect. Immun. 2000, 68, 2579–2586. [Google Scholar] [CrossRef]
- Mylonakis, E.; Engelbert, M.; Qin, X.; Sifri, C.D.; Murray, B.E.; Ausubel, F.M.; Gilmore, M.S.; Calderwood, S.B. The Enterococcus faecalis fsrB gene, a key component of the fsr quorum-sensing system, is associated with virulence in the rabbit endophthalmitis model. Infect. Immun. 2002, 70, 4678–4681. [Google Scholar] [CrossRef] [PubMed]
- Garsin, D.A.; Sifri, C.D.; Mylonakis, E.; Qin, X.; Singh, K.V.; Murray, B.E.; Calderwood, S.B.; Ausubel, F.M. A simple model host for identifying Gram-positive virulence factors. Proc. Natl. Acad. Sci. USA 2001, 98, 10892–10897. [Google Scholar] [CrossRef] [PubMed]
- Perez, M.; Calles-Enríquez, M.; del Rio, B.; Ladero, V.; Martín, M.C.; Fernández, M.; Alvarez, M.A. IS256 abolishes gelatinase activity and biofilm formation in a mutant of the nosocomial pathogen Enterococcus faecalis V583. Can. J. Microbiol. 2015, 61, 517–519. [Google Scholar] [CrossRef]
- Thurlow, L.R.; Thomas, V.C.; Narayanan, S.; Olson, S.; Fleming, S.D.; Hancock, L.E. Gelatinase contributes to the pathogenesis of endocarditis caused by Enterococcus faecalis. Infect. Immun. 2010, 78, 4936–4943. [Google Scholar] [CrossRef]
- Nikolskaya, A.N.; Galperin, M.Y. A novel type of conserved DNA-binding domain in the transcriptional regulators of the AlgR/AgrA/LytR family. Nucleic Acids Res. 2002, 30, 2453–2459. [Google Scholar] [CrossRef] [PubMed]
- Hashem, Y.A.; Abdelrahman, K.A.; Aziz, R.K. Phenotype-Genotype Correlations and Distribution of Key Virulence Factors in Enterococcus faecalis Isolated from Patients with Urinary Tract Infections. Infect. Drug Resist. 2021, 14, 1713–1723. [Google Scholar] [CrossRef] [PubMed]
- Francisco, P.A.; Fagundes, P.I.d.G.; Lemes-Junior, J.C.; Lima, A.R.; Passini, M.R.Z.; Gomes, B.P.F.A. Pathogenic potential of Enterococcus faecalis strains isolated from root canals after unsuccessful endodontic treatment. Clin. Oral Investig. 2021, 25, 5171–5179. [Google Scholar] [CrossRef] [PubMed]
- Sillanpää, J.; Nallapareddy, S.R.; Singh, K.V.; Prakash, V.P.; Fothergill, T.; Ton-That, H.; Murray, B.E. Characterization of the ebpfm pilus-encoding operon of Enterococcus faecium and its role in biofilm formation and virulence in a murine model of urinary tract infection. Virulence 2010, 1, 236–246. [Google Scholar] [CrossRef] [PubMed]
- Hendrickx, A.P.A.; van Wamel, W.J.B.; Posthuma, G.; Bonten, M.J.M.; Willems, R.J.L. Five genes encoding surface-exposed LPXTG proteins are enriched in hospital-adapted Enterococcus faecium clonal complex 17 isolates. J. Bacteriol. 2007, 189, 8321–8332. [Google Scholar] [CrossRef] [PubMed]
- Sillanpää, J.; Prakash, V.P.; Nallapareddy, S.R.; Murray, B.E. Distribution of genes encoding MSCRAMMs and Pili in clinical and natural populations of Enterococcus faecium. J. Clin. Microbiol. 2009, 47, 896–901. [Google Scholar] [CrossRef] [PubMed][Green Version]
- Hendrickx, A.P.A.; van Schaik, W.; Willems, R.J.L. The cell wall architecture of Enterococcus faecium: From resistance to pathogenesis. Future Microbiol. 2013, 8, 993–1010. [Google Scholar] [CrossRef] [PubMed]
- Theilacker, C.; Sanchez-Carballo, P.; Toma, I.; Fabretti, F.; Sava, I.; Kropec, A.; Holst, O.; Huebner, J. Glycolipids are involved in biofilm accumulation and prolonged bacteraemia in Enterococcus faecalis. Mol. Microbiol. 2009, 71, 1055–1069. [Google Scholar] [CrossRef]
- Teng, F.; Kawalec, M.; Weinstock, G.M.; Hryniewicz, W.; Murray, B.E. An Enterococcus faecium secreted antigen, SagA, exhibits broad-spectrum binding to extracellular matrix proteins and appears essential for E. faecium growth. Infect. Immun. 2003, 71, 5033–5041. [Google Scholar] [CrossRef]
- Bubert, A.; Kuhn, M.; Goebel, W.; Köhler, S. Structural and functional properties of the p60 proteins from different Listeria species. J. Bacteriol. 1992, 174, 8166–8171. [Google Scholar] [CrossRef] [PubMed][Green Version]
- Van Tyne, D.; Martin, M.J.; Gilmore, M.S. Structure, function, and biology of the Enterococcus faecalis cytolysin. Toxins 2013, 5, 895–911. [Google Scholar] [CrossRef]
- Xiong, X.; Tian, S.; Yang, P.; Lebreton, F.; Bao, H.; Sheng, K.; Yin, L.; Chen, P.; Zhang, J.; Qi, W.; et al. Emerging enterococcus pore-forming toxins with MHC/HLA-I as receptors. Cell 2022, 185, 1157–1171.e22. [Google Scholar] [CrossRef] [PubMed]
- Deutscher, J.; Aké, F.M.D.; Derkaoui, M.; Zébré, A.C.; Cao, T.N.; Bouraoui, H.; Kentache, T.; Mokhtari, A.; Milohanic, E.; Joyet, P. The bacterial phosphoenolpyruvate:carbohydrate phosphotransferase system: Regulation by protein phosphorylation and phosphorylation-dependent protein-protein interactions. Microbiol. Mol. Biol. Rev. 2014, 78, 231–256. [Google Scholar] [CrossRef] [PubMed]
- Rom, J.S.; Hart, M.T.; McIver, K.S. PRD-Containing Virulence Regulators (PCVRs) in Pathogenic Bacteria. Front. Cell. Infect. Microbiol. 2021, 11, 772874. [Google Scholar] [CrossRef]
- Ruiz-Cruz, S.; Espinosa, M.; Goldmann, O.; Bravo, A. Global Regulation of Gene Expression by the MafR Protein of Enterococcus faecalis. Front. Microbiol. 2015, 6, 1521. [Google Scholar] [CrossRef]
- Zhang, X.; Top, J.; de Been, M.; Bierschenk, D.; Rogers, M.; Leendertse, M.; Bonten, M.J.M.; van der Poll, T.; Willems, R.J.L.; van Schaik, W. Identification of a genetic determinant in clinical Enterococcus faecium strains that contributes to intestinal colonization during antibiotic treatment. J. Infect. Dis. 2013, 207, 1780–1786. [Google Scholar] [CrossRef]
- Paganelli, F.L.; Huebner, J.; Singh, K.V.; Zhang, X.; van Schaik, W.; Wobser, D.; Braat, J.C.; Murray, B.E.; Bonten, M.J.M.; Willems, R.J.L.; et al. Genome-wide Screening Identifies Phosphotransferase System Permease BepA to Be Involved in Enterococcus faecium Endocarditis and Biofilm Formation. J. Infect. Dis. 2016, 214, 189–195. [Google Scholar] [CrossRef]
- Eaton, T.J.; Gasson, M.J. Molecular Screening of Enterococcus Virulence Determinants and Potential for Genetic Exchange between Food and Medical Isolates. Appl. Environ. Microbiol. 2001, 67, 1628–1635. [Google Scholar] [CrossRef]
- Semedo, T.; Almeida Santos, M.; Martins, P.; Silva Lopes, M.F.; Figueiredo Marques, J.J.; Tenreiro, R.; Barreto Crespo, M.T. Comparative study using type strains and clinical and food isolates to examine hemolytic activity and occurrence of the cyl operon in enterococci. J. Clin. Microbiol. 2003, 41, 2569–2576. [Google Scholar] [CrossRef]
- Stępień-Pyśniak, D.; Hauschild, T.; Kosikowska, U.; Dec, M.; Urban-Chmiel, R. Biofilm formation capacity and presence of virulence factors among commensal Enterococcus spp. from wild birds. Sci. Rep. 2019, 9, 11204. [Google Scholar] [CrossRef]
- Ike, Y.; Hashimoto, H.; Clewell, D.B. Hemolysin of Streptococcus faecalis subspecies zymogenes contributes to virulence in mice. Infect. Immun. 1984, 45, 528–530. [Google Scholar] [CrossRef] [PubMed]
- Kim, B.; Wang, Y.-C.; Hespen, C.W.; Espinosa, J.; Salje, J.; Rangan, K.J.; Oren, D.A.; Kang, J.Y.; Pedicord, V.A.; Hang, H.C. Enterococcus faecium secreted antigen A generates muropeptides to enhance host immunity and limit bacterial pathogenesis. eLife 2019, 8, e45343. [Google Scholar] [CrossRef] [PubMed]
- Xu, W.; Flores-Mireles, A.L.; Cusumano, Z.T.; Takagi, E.; Hultgren, S.J.; Caparon, M.G. Host and bacterial proteases influence biofilm formation and virulence in a murine model of enterococcal catheter-associated urinary tract infection. NPJ Biofilms Microbiomes 2017, 3, 28. [Google Scholar] [CrossRef]
- Gök, Ş.M.; Türk Dağı, H.; Kara, F.; Arslan, U.; Fındık, D. Investigation of Antibiotic Resistance and Virulence Factors of Enterococcus faecium and Enterococcus faecalis Strains Isolated from Clinical Samples. Mikrobiyol. Bul. 2020, 54, 26–39. [Google Scholar] [CrossRef] [PubMed]
- Waters, C.M.; Hirt, H.; McCormick, J.K.; Schlievert, P.M.; Wells, C.L.; Dunny, G.M. An amino-terminal domain of Enterococcus faecalis aggregation substance is required for aggregation, bacterial internalization by epithelial cells and binding to lipoteichoic acid. Mol. Microbiol. 2004, 52, 1159–1171. [Google Scholar] [CrossRef]
- Schlievert, P.M.; Gahr, P.J.; Assimacopoulos, A.P.; Dinges, M.M.; Stoehr, J.A.; Harmala, J.W.; Hirt, H.; Dunny, G.M. Aggregation and binding substances enhance pathogenicity in rabbit models of Enterococcus faecalis endocarditis. Infect. Immun. 1998, 66, 218–223. [Google Scholar] [CrossRef]
- Yagi, Y.; Kessler, R.E.; Shaw, J.H.; Lopatin, D.E.; An, F.; Clewell, D.B. Plasmid content of Streptococcus faecalis strain 39-5 and identification of a pheromone (cPD1)-induced surface antigen. J. Gen. Microbiol. 1983, 129, 1207–1215. [Google Scholar] [CrossRef]
- Galli, D.; Lottspeich, F.; Wirth, R. Sequence analysis of Enterococcus faecalis aggregation substance encoded by the sex pheromone plasmid pAD1. Mol. Microbiol. 1990, 4, 895–904. [Google Scholar] [CrossRef]
- Kafil, H.S.; Mobarez, A.M.; Moghadam, M.F. Adhesion and virulence factor properties of Enterococci isolated from clinical samples in Iran. Indian J. Pathol. Microbiol. 2013, 56, 238–242. [Google Scholar] [CrossRef]
- Lowe, A.M.; Lambert, P.A.; Smith, A.W. Cloning of an Enterococcus faecalis endocarditis antigen: Homology with adhesins from some oral streptococci. Infect. Immun. 1995, 63, 703–706. [Google Scholar] [CrossRef]
- Strateva, T.; Atanasova, D.; Savov, E.; Petrova, G.; Mitov, I. Incidence of virulence determinants in clinical Enterococcus faecalis and Enterococcus faecium isolates collected in Bulgaria. Braz. J. Infect. Dis. 2016, 20, 127–133. [Google Scholar] [CrossRef]
- Hendrickx, A.P.A.; van Luit-Asbroek, M.; Schapendonk, C.M.E.; van Wamel, W.J.B.; Braat, J.C.; Wijnands, L.M.; Bonten, M.J.M.; Willems, R.J.L. SgrA, a nidogen-binding LPXTG surface adhesin implicated in biofilm formation, and EcbA, a collagen binding MSCRAMM, are two novel adhesins of hospital-acquired Enterococcus faecium. Infect. Immun. 2009, 77, 5097–5106. [Google Scholar] [CrossRef] [PubMed]
- Teng, F.; Singh, K.V.; Bourgogne, A.; Zeng, J.; Murray, B.E. Further characterization of the epa gene cluster and Epa polysaccharides of Enterococcus faecalis. Infect. Immun. 2009, 77, 3759–3767. [Google Scholar] [CrossRef]
- Nallapareddy, S.R.; Sillanpää, J.; Mitchell, J.; Singh, K.V.; Chowdhury, S.A.; Weinstock, G.M.; Sullam, P.M.; Murray, B.E. Conservation of Ebp-type pilus genes among Enterococci and demonstration of their role in adherence of Enterococcus faecalis to human platelets. Infect. Immun. 2011, 79, 2911–2920. [Google Scholar] [CrossRef] [PubMed]
- Chilambi, G.S.; Nordstrom, H.R.; Evans, D.R.; Ferrolino, J.A.; Hayden, R.T.; Marón, G.M.; Vo, A.N.; Gilmore, M.S.; Wolf, J.; Rosch, J.W.; et al. Evolution of vancomycin-resistant Enterococcus faecium during colonization and infection in immunocompromised pediatric patients. Proc. Natl. Acad. Sci. USA 2020, 117, 11703–11714. [Google Scholar] [CrossRef]
- Brodin, P.; Davis, M.M. Human immune system variation. Nat. Rev. Immunol. 2017, 17, 21–29. [Google Scholar] [CrossRef] [PubMed]
- Cohen, I.R.; Efroni, S. The Immune System Computes the State of the Body: Crowd Wisdom, Machine Learning, and Immune Cell Reference Repertoires Help Manage Inflammation. Front. Immunol. 2019, 10, 425417. [Google Scholar] [CrossRef]
- Fali, T.; Vallet, H.; Sauce, D. Impact of stress on aged immune system compartments: Overview from fundamental to clinical data. Exp. Gerontol. 2018, 105, 19–26. [Google Scholar] [CrossRef] [PubMed]
- Lee, R.A.; Goldman, J.; Haidar, G.; Lewis, J.; Arif, S.; Hand, J.; La Hoz, R.M.; Pouch, S.; Holaday, E.; Clauss, H.; et al. Daptomycin-Resistant Enterococcus Bacteremia Is Associated with Prior Daptomycin Use and Increased Mortality After Liver Transplantation. Open Forum Infect. Dis. 2022, 9, ofab659. [Google Scholar] [CrossRef]
- Wu, X.; Wu, L.; Wan, Q. Pathogen distribution and risk factors of bacterial and fungal infections after liver transplantation. Zhong Nan Da Xue Xue Bao Yi Xue Ban 2022, 47, 1120–1128. [Google Scholar] [CrossRef] [PubMed]
- Tien, B.Y.Q.; Goh, H.M.S.; Chong, K.K.L.; Bhaduri-Tagore, S.; Holec, S.; Dress, R.; Ginhoux, F.; Ingersoll, M.A.; Williams, R.B.H.; Kline, K.A. Enterococcus faecalis Promotes Innate Immune Suppression and Polymicrobial Catheter-Associated Urinary Tract Infection. Infect. Immun. 2017, 85, e00378-17. [Google Scholar] [CrossRef] [PubMed]
- Oliveira, R.A.; Mancero, J.M.P.; Faria, D.F.; Poveda, V.d.B. A Retrospective Cohort Study of Risk Factors for Surgical Site Infection Following Liver Transplantation. Prog. Transplant. 2019, 29, 144–149. [Google Scholar] [CrossRef] [PubMed]
- Piewngam, P.; Chiou, J.; Ling, J.; Liu, R.; Pupa, P.; Zheng, Y.; Otto, M. Enterococcal bacteremia in mice is prevented by oral administration of probiotic Bacillus spores. Sci. Transl. Med. 2021, 13, eabf4692. [Google Scholar] [CrossRef] [PubMed]
- Souli, M.; Sakka, V.; Galani, I.; Antoniadou, A.; Galani, L.; Siafakas, N.; Zerva, L.; Fytrou, H.; Tsiodras, S.; Giamarellou, H. Colonisation with vancomycin- and linezolid-resistant Enterococcus faecium in a university hospital: Molecular epidemiology and risk factor analysis. Int. J. Antimicrob. Agents 2009, 33, 137–142. [Google Scholar] [CrossRef] [PubMed]
- Balian, C.; Garcia, M.; Ward, J. A Retrospective Analysis of Bloodstream Infections in Pediatric Allogeneic Stem Cell Transplant Recipients: The Role of Central Venous Catheters and Mucosal Barrier Injury. J. Pediatr. Oncol. Nurs. 2018, 35, 210–217. [Google Scholar] [CrossRef] [PubMed]
- Van Tyne, D.; Gilmore, M.S. Raising the Alarmone: Within-Host Evolution of Antibiotic-Tolerant Enterococcus faecium. mBio 2017, 8, e00066-17. [Google Scholar] [CrossRef] [PubMed]
- Van Tyne, D.; Manson, A.L.; Huycke, M.M.; Karanicolas, J.; Earl, A.M.; Gilmore, M.S. Impact of antibiotic treatment and host innate immune pressure on enterococcal adaptation in the human bloodstream. Sci. Transl. Med. 2019, 11, eaat8418. [Google Scholar] [CrossRef] [PubMed]
- Jafari, S.; Abdollahi, A.; Sabahi, M.; Salehi, M.; Asadollahi-Amin, A.; Hasannezhad, M.; Seifi, A. An Update to Enterococcal Bacteremia: Epidemiology, Resistance, and Outcome. Infect. Disord. Drug Targets 2022, 22, e170322187568. [Google Scholar] [CrossRef] [PubMed]
- Suntharam, N.; Lankford, M.G.; Trick, W.E.; Peterson, L.R.; Noskin, G.A. Risk factors for acquisition of vancomycin-resistant enterococci among hematology-oncology patients. Diagn. Microbiol. Infect. Dis. 2002, 43, 183–188. [Google Scholar] [CrossRef]
- Matar, M.J.; Tarrand, J.; Raad, I.; Rolston, K.V. Colonization and infection with vancomycin-resistant Enterococcus among patients with cancer. Am. J. Infect. Control 2006, 34, 534–536. [Google Scholar] [CrossRef]
- Edmond, M.B.; Ober, J.F.; Weinbaum, D.L.; Pfaller, M.A.; Hwang, T.; Sanford, M.D.; Wenzel, R.P. Vancomycin-resistant Enterococcus faecium bacteremia: Risk factors for infection. Clin. Infect. Dis. 1995, 20, 1126–1133. [Google Scholar] [CrossRef]
- Rafey, A.; Nizamuddin, S.; Qureshi, W.; Anjum, A.; Parveen, A. Trends of Vancomycin-Resistant Enterococcus Infections in Cancer Patients. Cureus 2022, 14, e31335. [Google Scholar] [CrossRef]
- Eryilmaz-Eren, E.; Izci, F.; Ture, Z.; Sagiroglu, P.; Kaynar, L.; Ulu-Kilic, A. Bacteremia in Hematopoietic Stem Cell Recipients Receiving Fluoroquinolone Prophylaxis: Incidence, Resistance, and Risk Factors. Infect. Chemother. 2022, 54, 446–455. [Google Scholar] [CrossRef]
- Bailly, B.; Lecheneaut, M.; Gbaguidi-Haore, H.; Chirouze, C.; Kleinclauss, F.; Bouiller, K. Epidemiology and risk factors for febrile ureteral stent-associated urinary tract infections: A prospective observational cohort study. J. Infect. 2023, 87, 12–17. [Google Scholar] [CrossRef]
- Sakka, V.; Tsiodras, S.; Galani, L.; Antoniadou, A.; Souli, M.; Galani, I.; Pantelaki, M.; Siafakas, N.; Zerva, L.; Giamarellou, H. Risk-factors and predictors of mortality in patients colonised with vancomycin-resistant enterococci. Clin. Microbiol. Infect. 2008, 14, 14–21. [Google Scholar] [CrossRef]
- Rodríguez-Noriega, E.; Hernández-Morfin, N.; Garza-Gonzalez, E.; Bocanegra-Ibarias, P.; Flores-Treviño, S.; Esparza-Ahumada, S.; González-Díaz, E.; Pérez-Gómez, H.R.; Mendoza-Mujica, C.; León-Garnica, G.; et al. Risk factors and outcome associated with the acquisition of linezolid-resistant Enterococcus faecalis. J. Glob. Antimicrob. Resist. 2020, 21, 405–409. [Google Scholar] [CrossRef]
- Meidrops, K.; Burkhardt, F.J.; Osipovs, J.D.; Petrosina, E.; Groma, V.; Stradins, P. Etiology, Risk Factors and Clinical Outcomes in Infective Endocarditis Patients Requiring Cardiac Surgery. J. Clin. Med. 2022, 11, 1957. [Google Scholar] [CrossRef]
- Danneels, P.; Hamel, J.-F.; Picard, L.; Rezig, S.; Martinet, P.; Lorleac’h, A.; Talarmin, J.-P.; Buzelé, R.; Guimard, T.; Le Moal, G.; et al. Impact of Enterococcus faecalis Endocarditis Treatment on Risk of Relapse. Clin. Infect. Dis. 2023, 76, 281–290. [Google Scholar] [CrossRef]
- Tsantes, A.G.; Altsitzioglou, P.; Papadopoulos, D.V.; Lorenzo, D.; Romanò, C.L.; Benzakour, T.; Tsukamoto, S.; Errani, C.; Angelini, A.; Mavrogenis, A.F. Infections of Tumor Prostheses: An Updated Review on Risk Factors, Microbiology, Diagnosis, and Treatment Strategies. Biology 2023, 12, 314. [Google Scholar] [CrossRef]
- Byers, K.E.; Anglim, A.M.; Anneski, C.J.; Germanson, T.P.; Gold, H.S.; Durbin, L.J.; Simonton, B.M.; Farr, B.M. A hospital epidemic of vancomycin-resistant Enterococcus risk factors and control. Infect. Control Hosp. Epidemiol. 2001, 22, 140–147. [Google Scholar] [CrossRef]
- Mascini, E.M.; Troelstra, A.; Beitsma, M.; Blok, H.E.M.; Jalink, K.P.; Hopmans, T.E.M.; Fluit, A.C.; Hene, R.J.; Willems, R.J.L.; Verhoef, J. Genotyping and preemptive isolation to control an outbreak of vancomycin-resistant Enterococcus faecium. Clin. Infect. Dis. 2006, 42, 739–746. [Google Scholar] [CrossRef][Green Version]
- Carmeli, Y.; Eliopoulos, G.M.; Samore, M.H. Antecedent treatment with different antibiotic agents as a risk factor for vancomycin-resistant Enterococcus. Emerg. Infect. Dis. 2002, 8, 802. [Google Scholar] [CrossRef]
- Zhou, Q.; Moore, C.; Eden, S.; Tong, A.; McGeer, A. Mount Sinai Hospital Infection Control Team Factors associated with acquisition of vancomycin-resistant enterococci (VRE) in roommate contacts of patients colonized or infected with VRE in a tertiary care hospital. Infect. Control Hosp. Epidemiol. 2008, 29, 398–403. [Google Scholar] [CrossRef]
- Furtado, G.H.C.; Mendes, R.E.; Pignatari, A.C.C.; Wey, S.B.; Medeiros, E.A.S. Risk factors for vancomycin-resistant Enterococcus faecalis bacteremia in hospitalized patients: An analysis of two case-control studies. Am. J. Infect. Control 2006, 34, 447–451. [Google Scholar] [CrossRef]
- McNeil, S.A.; Malani, P.N.; Chenoweth, C.E.; Fontana, R.J.; Magee, J.C.; Punch, J.D.; Mackin, M.L.; Kauffman, C.A. Vancomycin-resistant enterococcal colonization and infection in liver transplant candidates and recipients: A prospective surveillance study. Clin. Infect. Dis. 2006, 42, 195–203. [Google Scholar] [CrossRef]
- Chacko, K.I.; Sullivan, M.J.; Beckford, C.; Altman, D.R.; Ciferri, B.; Pak, T.R.; Sebra, R.; Kasarskis, A.; Hamula, C.L.; Van Bakel, H. Genetic Basis of Emerging Vancomycin, Linezolid, and Daptomycin Heteroresistance in a Case of Persistent Enterococcus faecium Bacteremia. Antimicrob. Agents Chemother. 2018, 62, e02007-17. [Google Scholar] [CrossRef]
- Chen, M.; Pan, H.; Lou, Y.; Wu, Z.; Zhang, J.; Huang, Y.; Yu, W.; Qiu, Y. Epidemiological characteristics and genetic structure of linezolid-resistant Enterococcus faecalis. Infect. Drug Resist. 2018, 11, 2397–2409. [Google Scholar] [CrossRef]
- Orsi, G.B.; Ciorba, V. Vancomycin resistant enterococci healthcare associated infections. Ann Ig 2013, 25, 485–492. [Google Scholar] [CrossRef]
- Chou, Y.-Y.; Lin, T.-Y.; Lin, J.-C.; Wang, N.-C.; Peng, M.-Y.; Chang, F.-Y. Vancomycin-resistant enterococcal bacteremia: Comparison of clinical features and outcome between Enterococcus faecium and Enterococcus faecalis. J. Microbiol. Immunol. Infect. 2008, 41, 124–129. [Google Scholar]
- Garbutt, J.M.; Ventrapragada, M.; Littenberg, B.; Mundy, L.M. Association between resistance to vancomycin and death in cases of Enterococcus faecium bacteremia. Clin. Infect. Dis. 2000, 30, 466–472. [Google Scholar] [CrossRef]
- Lebreton, F.; van Schaik, W.; McGuire, A.M.; Godfrey, P.; Griggs, A.; Mazumdar, V.; Corander, J.; Cheng, L.; Saif, S.; Young, S.; et al. Emergence of epidemic multidrug-resistant Enterococcus faecium from animal and commensal strains. mBio 2013, 4, e00534-13. [Google Scholar] [CrossRef]
- Didelot, X.; Walker, A.S.; Peto, T.E.; Crook, D.W.; Wilson, D.J. Within-host evolution of bacterial pathogens. Nat. Rev. Microbiol. 2016, 14, 150–162. [Google Scholar] [CrossRef]
- Lam, M.M.C.; Seemann, T.; Bulach, D.M.; Gladman, S.L.; Chen, H.; Haring, V.; Moore, R.J.; Ballard, S.; Grayson, M.L.; Johnson, P.D.R.; et al. Comparative analysis of the first complete Enterococcus faecium genome. J. Bacteriol. 2012, 194, 2334–2341. [Google Scholar] [CrossRef]
- Arredondo-Alonso, S.; Top, J.; Schürch, A.C.; McNally, A.; Puranen, S.; Pesonen, M.; Pensar, J.; Marttinen, P.; Braat, J.C.; Rogers, M.R.; et al. Genomes of a major nosocomial pathogen Enterococcus faecium are shaped by adaptive evolution of the chromosome and plasmidome. bioRxiv 2019, 530725. [Google Scholar] [CrossRef]
- Boonanantanasarn, K.; Gill, A.L.; Yap, Y.; Jayaprakash, V.; Sullivan, M.A.; Gill, S.R. Enterococcus faecalis enhances cell proliferation through hydrogen peroxide-mediated epidermal growth factor receptor activation. Infect. Immun. 2012, 80, 3545–3558. [Google Scholar] [CrossRef]
- Maehata, Y.; Ozawa, S.; Kobayashi, K.; Kato, Y.; Yoshino, F.; Miyamoto, C.; Izukuri, K.; Kubota, E.; Hata, R.-I.; Lee, M.-C.-I. Reactive oxygen species (ROS) reduce the expression of BRAK/CXCL14 in human head and neck squamous cell carcinoma cells. Free Radic. Res. 2010, 44, 913–924. [Google Scholar] [CrossRef]
- Forsyth, C.B.; Banan, A.; Farhadi, A.; Fields, J.Z.; Tang, Y.; Shaikh, M.; Zhang, L.J.; Engen, P.A.; Keshavarzian, A. Regulation of oxidant-induced intestinal permeability by metalloprotease-dependent epidermal growth factor receptor signaling. J. Pharmacol. Exp. Ther. 2007, 321, 84–97. [Google Scholar] [CrossRef]
- Lee, E.; Yi, J.Y.; Chung, E.; Son, Y. Transforming growth factorbeta1 transactivates EGFR via an H2O2-dependent mechanism in squamous carcinoma cell line. Cancer Lett. 2010, 290, 43–48. [Google Scholar] [CrossRef]
- Grootaert, C.; Van de Wiele, T.; Van Roosbroeck, I.; Possemiers, S.; Vercoutter-Edouart, A.-S.; Verstraete, W.; Bracke, M.; Vanhoecke, B. Bacterial monocultures, propionate, butyrate and H2O2 modulate the expression, secretion and structure of the fasting-induced adipose factor in gut epithelial cell lines. Environ. Microbiol. 2011, 13, 1778–1789. [Google Scholar] [CrossRef]
- Wang, X.; Allen, T.D.; May, R.J.; Lightfoot, S.; Houchen, C.W.; Huycke, M.M. Enterococcus faecalis induces aneuploidy and tetraploidy in colonic epithelial cells through a bystander effect. Cancer Res. 2008, 68, 9909–9917. [Google Scholar] [CrossRef]
- Shen, F.; Feng, J.; Wang, X.; Qi, Z.; Shi, X.; An, Y.; Zhang, Q.; Wang, C.; Liu, M.; Liu, B.; et al. Vinegar Treatment Prevents the Development of Murine Experimental Colitis via Inhibition of Inflammation and Apoptosis. J. Agric. Food Chem. 2016, 64, 1111–1121. [Google Scholar] [CrossRef]
- Ou, C.-C.; Lin, S.-L.; Tsai, J.-J.; Lin, M.-Y. Heat-killed lactic acid bacteria enhance immunomodulatory potential by skewing the immune response toward Th1 polarization. J. Food Sci. 2011, 76, M260–M267. [Google Scholar] [CrossRef]
- Wang, S.; Liu, K.; Seneviratne, C.J.; Li, X.; Cheung, G.S.P.; Jin, L.; Chu, C.H.; Zhang, C. Lipoteichoic acid from an Enterococcus faecalis clinical strain promotes TNF-α expression through the NF-κB and p38 MAPK signaling pathways in differentiated THP-1 macrophages. Biomed. Rep. 2015, 3, 697–702. [Google Scholar] [CrossRef][Green Version]
- Li, M.; Wei, L.; Zhou, W.; He, Z.; Ran, S.; Liang, J. miR-200a contributes to the migration of BMSCs induced by the secretions of E. faecalis via FOXJ1/NFκB/MMPs axis. Stem Cell Res. Ther. 2020, 11, 317. [Google Scholar] [CrossRef]
- You, R.; Kwon, O.Y.; Woo, H.J.; Lee, S.H. Hovenia Monofloral Honey can Attenuate Enterococcus faecalis Mediated Biofilm Formation and Inflammation. Food Sci. Anim. Resour. 2022, 42, 84–97. [Google Scholar] [CrossRef]
- Leong, J.Y.; Capella, C.E.; D’Amico, M.J.; Isguven, S.; Purtill, C.; Machado, P.; Delaney, L.J.; Henry, G.D.; Hickok, N.J.; Forsberg, F.; et al. A scoping review of penile implant biofilms-what do we know and what remains unknown? Transl. Androl. Urol. 2022, 11, 1210–1221. [Google Scholar] [CrossRef]
- Ali, I.A.A.; Lévesque, C.M.; Neelakantan, P. Fsr quorum sensing system modulates the temporal development of Enterococcus faecalis biofilm matrix. Mol. Oral Microbiol. 2022, 37, 22–30. [Google Scholar] [CrossRef]
- Ch’ng, J.-H.; Chong, K.K.L.; Lam, L.N.; Wong, J.J.; Kline, K.A. Biofilm-associated infection by enterococci. Nat. Rev. Microbiol. 2019, 17, 82–94. [Google Scholar] [CrossRef]
- Rezende-Pereira, G.; Albuquerque, J.P.; Souza, M.C.; Nogueira, B.A.; Silva, M.G.; Hirata, R.; Mattos-Guaraldi, A.L.; Duarte, R.S.; Neves, F.P.G. Biofilm Formation on Breast Implant Surfaces by Major Gram-Positive Bacterial Pathogens. Aesthet. Surg. J. 2021, 41, 1144–1151. [Google Scholar] [CrossRef]
- Kolodkin-Gal, I.; Cohen-Cymberknoh, M.; Zamir, G.; Tsesis, I.; Rosen, E. Targeting Persistent Biofilm Infections: Reconsidering the Topography of the Infection Site during Model Selection. Microorganisms 2022, 10, 1164. [Google Scholar] [CrossRef] [PubMed]
- Fiorotto, R.; Mariotti, V.; Taleb, S.A.; Zehra, S.A.; Nguyen, M.; Amenduni, M.; Strazzabosco, M. Cell-matrix interactions control biliary organoid polarity, architecture, and differentiation. Hepatol. Commun. 2023, 7, e0094. [Google Scholar] [CrossRef]
- Xiang, D.; Dong, P.-T.; Cen, L.; Bor, B.; Lux, R.; Shi, W.; Yu, Q.; He, X.; Wu, T. Antagonistic interaction between two key endodontic pathogens Enterococcus faecalis and Fusobacterium nucleatum. J. Oral Microbiol. 2023, 15, 2149448. [Google Scholar] [CrossRef] [PubMed]
- Parga, A.; Manoil, D.; Brundin, M.; Otero, A.; Belibasakis, G.N. Gram-negative quorum sensing signalling enhances biofilm formation and virulence traits in gram-positive pathogen Enterococcus faecalis. J. Oral Microbiol. 2023, 15, 2208901. [Google Scholar] [CrossRef]
- Hashem, Y.A.; Amin, H.M.; Essam, T.M.; Yassin, A.S.; Aziz, R.K. Biofilm formation in enterococci: Genotype-phenotype correlations and inhibition by vancomycin. Sci. Rep. 2017, 7, 5733. [Google Scholar] [CrossRef]
- Gilmore, M.S.; Clewell, D.B.; Ike, Y.; Shankar, N. Enterococci: From Commensals to Leading Causes of Drug Resistant Infection; Massachusetts Eye and Ear Infirmary: Boston, MA, USA, 2014. [Google Scholar]
- Smith, R.E.; Salamaga, B.; Szkuta, P.; Hajdamowicz, N.; Prajsnar, T.K.; Bulmer, G.S.; Fontaine, T.; Kołodziejczyk, J.; Herry, J.-M.; Hounslow, A.M.; et al. Decoration of the enterococcal polysaccharide antigen EPA is essential for virulence, cell surface charge and interaction with effectors of the innate immune system. PLoS Pathog. 2019, 15, e1007730. [Google Scholar] [CrossRef] [PubMed]
- Ragland, S.A.; Criss, A.K. From bacterial killing to immune modulation: Recent insights into the functions of lysozyme. PLoS Pathog. 2017, 13, e1006512. [Google Scholar] [CrossRef] [PubMed]
- Kristensen, S.S.; Diep, D.B.; Kjos, M.; Mathiesen, G. The role of site-2-proteases in bacteria: A review on physiology, virulence, and therapeutic potential. microLife 2023, 4, uqad025. [Google Scholar] [CrossRef]
- Rouchon, C.N.; Harris, J.; Zubair-Nizami, Z.; Weinstein, A.J.; Roky, M.; Frank, K.L. The Cationic Antimicrobial Peptide Activity of Lysozyme Reduces Viable Enterococcus faecalis Cells in Biofilms. Antimicrob. Agents Chemother. 2022, 66, e0233921. [Google Scholar] [CrossRef]
- Varahan, S.; Iyer, V.S.; Moore, W.T.; Hancock, L.E. Eep confers lysozyme resistance to Enterococcus faecalis via the activation of the extracytoplasmic function sigma factor SigV. J. Bacteriol. 2013, 195, 3125–3134. [Google Scholar] [CrossRef]
- Reinseth, I.; Tønnesen, H.H.; Carlsen, H.; Diep, D.B. Exploring the Therapeutic Potenital of the Leaderless Enterocins K1 and EJ97 in the Treatment of Vancomycin-Resistant Enterococcal Infection. Front. Microbiol. 2021, 12, 649339. [Google Scholar] [CrossRef] [PubMed]
- Hébert, L.; Courtin, P.; Torelli, R.; Sanguinetti, M.; Chapot-Chartier, M.-P.; Auffray, Y.; Benachour, A. Enterococcus faecalis constitutes an unusual bacterial model in lysozyme resistance. Infect. Immun. 2007, 75, 5390–5398. [Google Scholar] [CrossRef] [PubMed]
- Said, M.S.; Tirthani, E.; Lesho, E. Enterococcus Infections. In StatPearls; StatPearls Publishing: Treasure Island, FL, USA, 2023. [Google Scholar]
- Guerra, D.; Vidal, P.; Paccoud, O.; Maillard, A.; Cachera, L.; Junot, H.; Gauzit, R.; Zahar, J.R.; Abreu, M.A.; Bleibtreu, A. Dual beta-lactam treatment: Pros and cons. Porto Biomed. J. 2022, 7, e189. [Google Scholar] [CrossRef]
- Clark, N.C.; Cooksey, R.C.; Hill, B.C.; Swenson, J.M.; Tenover, F.C. Characterization of glycopeptide-resistant enterococci from U.S. hospitals. Antimicrob. Agents Chemother. 1993, 37, 2311–2317. [Google Scholar] [CrossRef] [PubMed]
- Wardal, E.; Żabicka, D.; Skalski, T.; Kubiak-Pulkowska, J.; Hryniewicz, W.; Sadowy, E. Characterization of a Tigecycline-, Linezolid- and Vancomycin-Resistant Clinical Enteroccoccus faecium Isolate, Carrying vanA and vanB Genes. Infect. Dis. Ther. 2023, 12, 2545–2565. [Google Scholar] [CrossRef] [PubMed]
- Cairns, K.A.; Udy, A.A.; Peel, T.N.; Abbott, I.J.; Dooley, M.J.; Peleg, A.Y. Therapeutics for Vancomycin-Resistant Enterococcal Bloodstream Infections. Clin. Microbiol. Rev. 2023, 36, e0005922. [Google Scholar] [CrossRef] [PubMed]
- Yim, J.; Smith, J.R.; Rybak, M.J. Role of Combination Antimicrobial Therapy for Vancomycin-Resistant Enterococcus faecium Infections: Review of the Current Evidence. Pharmacotherapy 2017, 37, 579–592. [Google Scholar] [CrossRef]
- Chong, Y.P.; Lee, S.-O.; Song, E.H.; Lee, E.J.; Jang, E.-Y.; Kim, S.-H.; Choi, S.-H.; Kim, M.-N.; Jeong, J.-Y.; Woo, J.H.; et al. Quinupristin-dalfopristin versus linezolid for the treatment of vancomycin-resistant Enterococcus faecium bacteraemia: Efficacy and development of resistance. Scand. J. Infect. Dis. 2010, 42, 491–499. [Google Scholar] [CrossRef] [PubMed]
- Linden, P.K. Treatment options for vancomycin-resistant enterococcal infections. Drugs 2002, 62, 425–441. [Google Scholar] [CrossRef]
- Noskin, G.A.; Siddiqui, F.; Stosor, V.; Kruzynski, J.; Peterson, L.R. Successful treatment of persistent vancomycin-resistant Enterococcus faecium bacteremia with linezolid and gentamicin. Clin. Infect. Dis. 1999, 28, 689–690. [Google Scholar] [CrossRef][Green Version]
- Egan, S.A.; Kavanagh, N.L.; Shore, A.C.; Mollerup, S.; Samaniego Castruita, J.A.; O’Connell, B.; McManus, B.A.; Brennan, G.I.; Pinholt, M.; Westh, H.; et al. Genomic analysis of 600 vancomycin-resistant Enterococcus faecium reveals a high prevalence of ST80 and spread of similar vanA regions via IS1216E and plasmid transfer in diverse genetic lineages in Ireland. J. Antimicrob. Chemother. 2022, 77, 320–330. [Google Scholar] [CrossRef] [PubMed]
- Zerrouki, H.; Rebiahi, S.-A.; Hadjadj, L.; Ahlem, F.; Elhabiri, Y.; Sedrati, T.; Rolain, J.-M.; Diene, S.M. High frequency and diversity of Vancomycin-resistant Enterococci (VRE) in Algerian healthcare settings. Infect. Genet. Evol. 2021, 92, 104889. [Google Scholar] [CrossRef] [PubMed]
- Rosselli Del Turco, E.; Bartoletti, M.; Dahl, A.; Cervera, C.; Pericàs, J.M. How do I manage a patient with enterococcal bacteraemia? Clin. Microbiol. Infect. 2021, 27, 364–371. [Google Scholar] [CrossRef] [PubMed]
- Penven, M.; Zouari, A.; Nogues, S.; Collet, A.; Lecourt, M.; Birer, A.; Guerin, F.; Auger, G.; Cattoir, V. Web-based prediction of antimicrobial resistance in enterococcal clinical isolates by whole-genome sequencing. Eur. J. Clin. Microbiol. Infect. Dis. 2023, 42, 67–76. [Google Scholar] [CrossRef] [PubMed]
- Mollerup, S.; Elmeskov, C.; Pinholt, M.; Sejersen, T.S.; Pedersen, M.S.; Worning, P.; Frees, D.; Westh, H. Rapid in vivo development of resistance to daptomycin in vancomycin-resistant Enterococcus faecium due to genomic alterations. FEMS Microbiol. Lett. 2022, 369, fnac063. [Google Scholar] [CrossRef] [PubMed]
- Chuang, Y.-C.; Wang, J.-T.; Yang, J.-L.; Lin, C.-Y.; Huang, S.-H.; Chen, Y.-C.; Chang, S.-C. The combination of daptomycin with β-lactam antibiotics is more effective than daptomycin alone for vancomycin-resistant Enterococcus faecium bloodstream infection. J. Infect. Public Health 2022, 15, 1396–1402. [Google Scholar] [CrossRef]
- Smith, J.R.; Barber, K.E.; Raut, A.; Aboutaleb, M.; Sakoulas, G.; Rybak, M.J. β-Lactam combinations with daptomycin provide synergy against vancomycin-resistant Enterococcus faecalis and Enterococcus faecium. J. Antimicrob. Chemother. 2015, 70, 1738–1743. [Google Scholar] [CrossRef] [PubMed]
- Santimaleeworagun, W.; Hemapanpairoa, J.; Changpradub, D.; Thunyaharn, S. Optimizing the Dosing Regimens of Tigecycline against Vancomycin-Resistant Enterococci in the Treatment of Intra-abdominal and Skin and Soft Tissue Infections. Infect. Chemother. 2020, 52, 345–351. [Google Scholar] [CrossRef] [PubMed]
- Kristich, C.J.; Rice, L.B.; Arias, C.A. Enterococcal Infection—Treatment and Antibiotic Resistance. In Enterococci: From Commensals to Leading Causes of Drug Resistant Infection; Gilmore, M.S., Clewell, D.B., Ike, Y., Shankar, N., Eds.; Massachusetts Eye and Ear Infirmary: Boston, MA, USA, 2014. [Google Scholar]
- Rodríguez-García, R.; Rodríguez-Esteban, M.Á.; García-Carús, E.; Telenti, M.; Fernández, J. In vitro activity of ceftaroline and ceftobiprole against clinical isolates of Gram-positive bacteria from infective endocarditis: Are these drugs potential options for the initial management of this disease? Diagn. Microbiol. Infect. Dis. 2020, 98, 115153. [Google Scholar] [CrossRef]
- van der Starre, C.M.; Cremers-Pijpers, S.A.J.; van Rossum, C.; Bowles, E.C.; Tostmann, A. The in situ efficacy of whole room disinfection devices: A literature review with practical recommendations for implementation. Antimicrob. Resist. Infect. Control 2022, 11, 149. [Google Scholar] [CrossRef]
- Tan, C.; Linkenheld-Struk, A.; Williams, V.; Kozak, R.; Dhabaan, G.; Maze Dit Mieusement, L.; Salt, N.; Maguire, F.; Chan, A.K.; Leis, J.A. The role of the environment in transmission of vancomycin-resistant Enterococcus: A proof-of-concept study. Antimicrob. Steward. Healthc. Epidemiol. 2022, 2, e178. [Google Scholar] [CrossRef] [PubMed]
- Suh, J.W.; Kim, N.H.; Lee, M.J.; Lee, S.E.; Chun, B.C.; Lee, C.K.; Lee, J.; Kim, J.H.; Kim, S.B.; Yoon, Y.K.; et al. Real-world experience of how chlorhexidine bathing affects the acquisition and incidence of vancomycin-resistant enterococci (VRE) in a medical intensive care unit with VRE endemicity: A prospective interrupted time-series study. Antimicrob. Resist. Infect. Control 2021, 10, 160. [Google Scholar] [CrossRef]
- Kalfopoulou, E.; Huebner, J. Advances and Prospects in Vaccine Development against Enterococci. Cells 2020, 9, 2397. [Google Scholar] [CrossRef] [PubMed]
- EARS-Net EQA. Available online: https://antimicrobialresistance.dk/ears-net-eqa.aspx (accessed on 21 July 2023).
- Forde, B.M.; Bergh, H.; Cuddihy, T.; Hajkowicz, K.; Hurst, T.; Playford, E.G.; Henderson, B.C.; Runnegar, N.; Clark, J.; Jennison, A.V.; et al. Clinical Implementation of Routine Whole-genome Sequencing for Hospital Infection Control of Multi-drug Resistant Pathogens. Clin. Infect. Dis. 2023, 76, e1277–e1284. [Google Scholar] [CrossRef] [PubMed]
- Büchler, A.C.; Ragozzino, S.; Wicki, M.; Spaniol, V.; Jäger, S.; Seth-Smith, H.M.B.; Goldenberger, D.; Hinic, V.; Egli, A.; Frei, R.; et al. Patients exposed to vancomycin-resistant enterococci during in-hospital outbreaks in a low endemic setting: A proposal for risk-based screening. Antimicrob. Resist. Infect. Control 2022, 11, 60. [Google Scholar] [CrossRef] [PubMed]
- Abi Frem, J.; Ghanem, M.; Doumat, G.; Kanafani, Z.A. Clinical manifestations, characteristics, and outcome of infections caused by vancomycin-resistant enterococci at a tertiary care center in Lebanon: A case-case-control study. J. Infect. Public Health 2023, 16, 741–745. [Google Scholar] [CrossRef]
- Brasg, I.; Elligsen, M.; MacFadden, D.; Daneman, N. Predictive utility of swab screening for vancomycin-resistant Enterococcus in selection of empiric antibiotics for Enterococcus sterile-site infections: A retrospective cohort study. CMAJ Open 2017, 5, E632–E637. [Google Scholar] [CrossRef]
- Kram, S.J.; Kram, B.L.; Schultheis, J.M.; Kuhrt, M.M.; McRae, A.S.; Anderson, D.J. VanA rectal swab screening as a predictor of subsequent vancomycin-resistant enterococcal bloodstream infection in critically ill adults. Infect. Control Hosp. Epidemiol. 2021, 42, 411–416. [Google Scholar] [CrossRef]
- Gozaydin, A.; Kose, S.; Ece, G.; Ersan, G.; Gonullu, M. Detection of Vancomycin Resistant Enterococci from Rectal Swab Samples by Becton-Dickinson GeneOhm VanR assay and Culture at ICU of a Tertiary Care Center in Turkey. Pak. J. Med. Sci. 2013, 29, 682–686. [Google Scholar] [CrossRef]




| Virulence Factor | Description | References |
|---|---|---|
| Secreted factors | ||
| Cyl, haemolysin–cytolysin |
| [103,104,105,106] |
| SagA, secreted antigen A |
| [94,107] |
| GelE, gelatinase |
| [75,77,80,81,85] |
| sprE, serine protease |
| [108,109] |
| Cell surface determinants and their formation | ||
| Agg, aggregation substance |
| [110,111,112,113] |
| efaA, Enterococcus faecium/faecalis antigen A |
| [114,115] |
| Esp, Enterococcal surface protein |
| [89,90,91] |
| Ace and Acm, collagen-binding proteins |
| [89,90,91,116] |
| Scm, second collagen adhesin from E. fm |
| [89,90,91] |
| SgrA, EcbA |
| [89,90,91,117] |
| epa, enterococcal polysaccharide antigen |
| [118] |
| Ebp, endocarditis- and biofilm-associated pili |
| [89,114,115,119] |
| Other factors | ||
| Cps, capsular polysaccharides |
| [120] |
| LTA, lipoteichoic acid |
| [92,93] |
| WTA, wall teichoic acid |
| [92,93] |
| Fsr regulator locus |
| [74,75,76,77] |
| PTS, carbohydrate phosphotransferase system |
| [99,100,101,102] |
| Ddl, D-Ala-D-Ala ligase |
| [45,87] |
Disclaimer/Publisher’s Note: The statements, opinions and data contained in all publications are solely those of the individual author(s) and contributor(s) and not of MDPI and/or the editor(s). MDPI and/or the editor(s) disclaim responsibility for any injury to people or property resulting from any ideas, methods, instructions or products referred to in the content. |
© 2024 by the authors. Licensee MDPI, Basel, Switzerland. This article is an open access article distributed under the terms and conditions of the Creative Commons Attribution (CC BY) license (https://creativecommons.org/licenses/by/4.0/).
Share and Cite
Sangiorgio, G.; Calvo, M.; Migliorisi, G.; Campanile, F.; Stefani, S. The Impact of Enterococcus spp. in the Immunocompromised Host: A Comprehensive Review. Pathogens 2024, 13, 409. https://doi.org/10.3390/pathogens13050409
Sangiorgio G, Calvo M, Migliorisi G, Campanile F, Stefani S. The Impact of Enterococcus spp. in the Immunocompromised Host: A Comprehensive Review. Pathogens. 2024; 13(5):409. https://doi.org/10.3390/pathogens13050409
Chicago/Turabian StyleSangiorgio, Giuseppe, Maddalena Calvo, Giuseppe Migliorisi, Floriana Campanile, and Stefania Stefani. 2024. "The Impact of Enterococcus spp. in the Immunocompromised Host: A Comprehensive Review" Pathogens 13, no. 5: 409. https://doi.org/10.3390/pathogens13050409
APA StyleSangiorgio, G., Calvo, M., Migliorisi, G., Campanile, F., & Stefani, S. (2024). The Impact of Enterococcus spp. in the Immunocompromised Host: A Comprehensive Review. Pathogens, 13(5), 409. https://doi.org/10.3390/pathogens13050409

