Evaluation of Betacoronavirus OC43 and SARS-CoV-2 Elimination by Zefero Air Sanitizer Device in a Novel Laboratory Recirculation System
Abstract
1. Introduction
2. Results
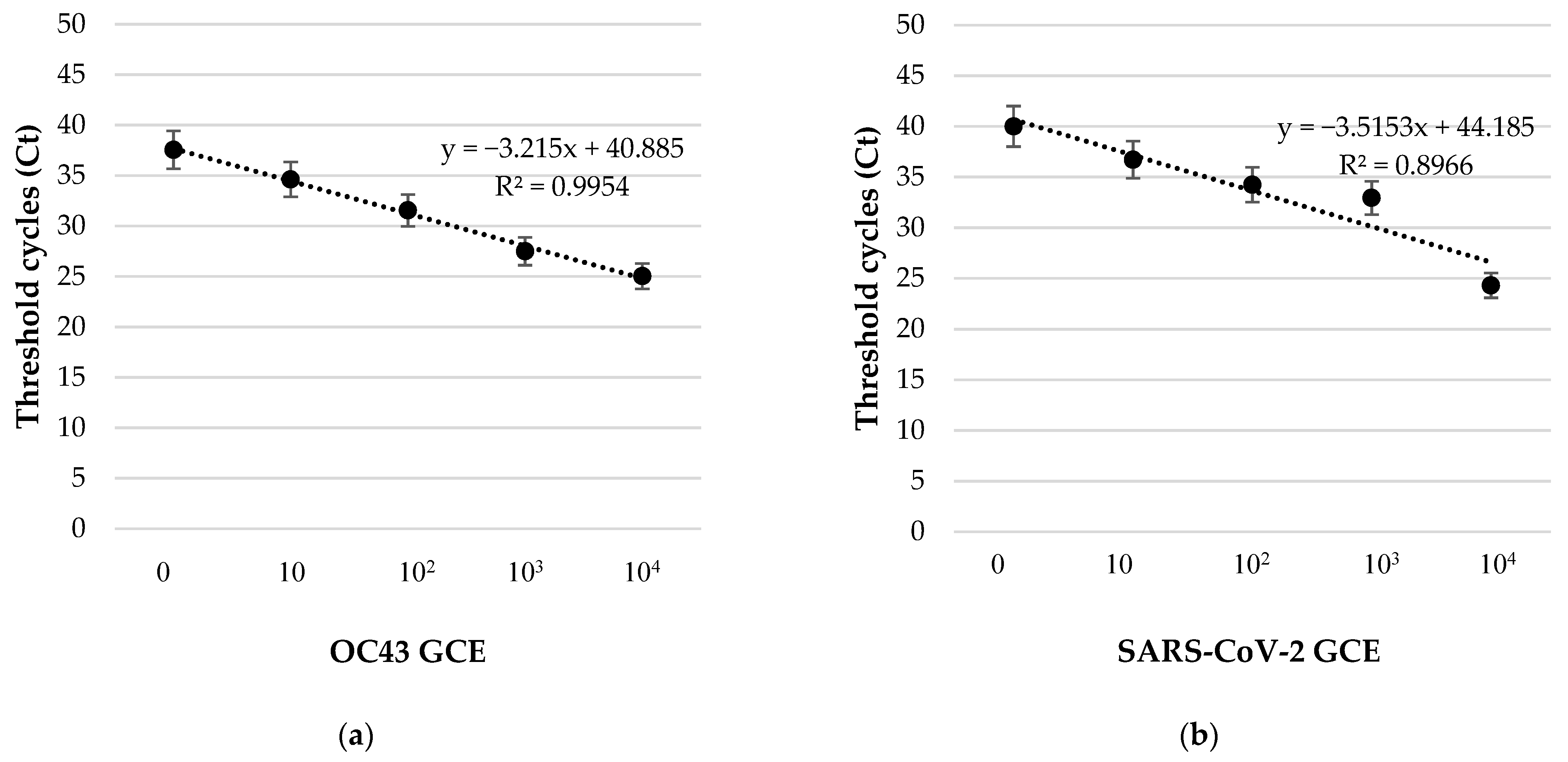
2.1. Effects of Zefero Device Operating in Photocatalysis/UV or Ozone Mode on OC43 Virus
2.2. Effects of Zefero Device Operating in Photocatalysis/UV or Ozone Mode on SARS-CoV-2
3. Discussion
4. Materials and Methods
4.1. Air Sanitizer Zefero Device: Technical Characteristics
4.2. Test System and Experimental Setup
4.3. Betacoronavirus OC43 and SARS-CoV-2
4.4. Aerosol Generation and Recovery, Viral RNA Extraction and Quantification
4.4.1. Aerosol Generation
4.4.2. Aerosol Recovery and Virus Precipitation
4.4.3. Viral RNA Extraction and Quantification
4.5. Evaluation of Viral Concentration Reduction (VCR)
4.6. Calculation of Half-Life Time
4.7. Statistical Analysis
Author Contributions
Funding
Institutional Review Board Statement
Informed Consent Statement
Data Availability Statement
Acknowledgments
Conflicts of Interest
References
- Sørensen, M.D.; Sørensen, B.; Gonzalez-Dosal, R.; Melchjorsen, C.J.; Weibel, J.; Wang, J.; Jun, C.W.; Huanming, Y.; Kristensen, P. Severe acute respiratory syndrome (SARS). Ann. N. Y. Acad. Sci. 2006, 1067, 500–505. [Google Scholar] [CrossRef] [PubMed]
- Peeri, N.C.; Shrestha, N.; Rahman, M.S.; Zaki, R.; Tan, Z.; Bibi, S.; Baghbanzadeh, M.; Aghamohammadi, N.; Zhang, W.; Haque, U. The SARS, MERS and novel coronavirus (COVID-19) epidemics, the newest and biggest global health threats: What lessons have we learned? Int. J. Epidemiol. 2020, 49, 717–726. [Google Scholar] [CrossRef] [PubMed]
- Saunders-Hastings, P.R.; Krewski, D. Reviewing the history of pandemic influenza: Understanding patterns of emergence and transmission. Pathogens 2016, 5, 66. [Google Scholar] [CrossRef] [PubMed]
- 2017–2018 Estimated Flu Illnesses, Medical Visits, Hospitalizations, and Deaths and Estimated Flu-Related Illnesses, Medical Visits, Hospitalizations, and Deaths Averted by Vaccination in the United States. Available online: https://www.cdc.gov/flu/about/burden-averted/2017-2018.htm (accessed on 31 January 2022).
- Rotondo, J.C.; Martini, F.; Maritati, M.; Mazziotta, C.; Di Mauro, G.; Lanzillotti, C.; Barp, N.; Gallerani, A.; Tognon, M.; Contini, C. SARS-CoV-2 infection: New molecular, phylogenetic, and pathogenetic insights. efficacy of current vaccines and the potential risk of variants. Viruses 2021, 13, 1687. [Google Scholar] [CrossRef] [PubMed]
- WHO Director-General’s Opening Remarks at the Media Briefing on COVID-19—11 March 2020. Available online: https://www.who.int/director-general/speeches/detail/who-director-general-s-opening-remarks-at-the-media-briefing-on-covid-19---11-march-2020 (accessed on 31 January 2022).
- WHO Coronavirus (COVID-19) Dashboard. Available online: https://covid19.who.int/ (accessed on 31 January 2022).
- Xu, Z.; Wu, Y.; Shen, F.; Chen, Q.; Tan, M.; Yao, M. Bioaerosol science, technology, and engineering: Past, present, and future. Aerosol Sci. Technol. 2011, 45, 1337–1349. [Google Scholar] [CrossRef]
- Yu, B.; Hu, Z.; Liu, M.; Yang, H.; Kong, Q.; Liu, Y. Review of research on air-conditioning systems and indoor air quality control for human health. Int. J. Refrig. 2009, 32, 3–20. [Google Scholar] [CrossRef]
- Xia, T.; Kleinheksel, A.; Lee, E.M.; Qiao, Z.; Wigginton, K.R.; Clack, H.L. Inactivation of airborne viruses using a packed bed non-thermal plasma reactor. J. Phys. D Appl. Phys. 2019, 52, 5201. [Google Scholar] [CrossRef]
- Vaze, N.D.; Arjunan, K.P.; Gallagher, M.J.; Vasilets, V.N.; Gutsol, A.F.; Fridman, A.A.; Anandan, S. Air and water sterilization using non-thermal plasma. In Proceedings of the 16th IEEE International Pulsed Power Conference, Albuquerque, NM, USA, 17–22 June 2007; Volume 2, pp. 1231–1235. [Google Scholar]
- Wu, Y.; Liang, Y.; Wei, K.; Li, W.; Yao, M.; Zhang, J.; Grinshpun, S.A. MS2 virus inactivation by atmospheric pressure cold plasma using different gas carriers and power levels. Appl. Environ. Microbiol. 2015, 81, 996–1002. [Google Scholar] [CrossRef]
- Attri, P.; Koga, K.; Shiratani, M. Possible impact of plasma oxidation on the structure of the c-terminal domain of SARS-CoV-2 Spike protein: A computational study. Appl. Phys. Express 2021, 14, 027002. [Google Scholar] [CrossRef]
- Bisag, A.; Isabelli, P.; Laurita, R.; Bucci, C.; Capelli, F.; Dirani, G.; Gherardi, M.; Laghi, G.; Paglianti, A.; Sambri, V.; et al. Cold atmospheric plasma inactivation of aerosolized microdroplets containing bacteria and purified SARS-CoV-2 RNA to contrast airborne indoor transmission. Plasma Process. Polym. 2020, 17, 2000154. [Google Scholar] [CrossRef]
- Guo, L.; Yao, Z.; Yang, L.; Zhang, H.; Qi, Y.; Gou, L.; Xi, W.; Liu, D.; Zhang, L.; Cheng, Y. Plasma-activated water: An alternative disinfectant for S protein inactivation to prevent SARS-CoV-2 infection. Chem. Eng. J. 2020, 421, 127742. [Google Scholar] [CrossRef] [PubMed]
- Torii, S.; Itamochi, M.; Katayama, H. Inactivation kinetics of waterborne virus by ozone determined by a continuous quench flow system. Water Res. 2020, 186, 116291. [Google Scholar] [CrossRef] [PubMed]
- Von Gunten, U. Oxidation processes in water treatment: Are we on track? Environ. Sci. Technol. 2018, 52, 5062–5075. [Google Scholar] [CrossRef] [PubMed]
- Wolf, C.; Pavese, A.; von Gunten, U.; Kohn, T. Proxies to monitor the inactivation of viruses by ozone in surface water and wastewater effluent. Water Res. 2019, 166, 115088. [Google Scholar] [CrossRef] [PubMed]
- Bayarri, B.; Cruz-Alcalde, A.; López-Vinent, N.; Micó, M.M.; Sans, C. Can ozone inactivate SARS-CoV-2? A review of mechanisms and performance on viruses. J. Hazard. Mater. 2021, 415, 125658. [Google Scholar] [CrossRef]
- Inagaki, H.; Saito, A.; Sugiyama, H.; Okabayashi, T.; Fujimoto, S. Rapid inactivation of SARS-CoV-2 with deep-UV LED irradiation. Emerg. Microbes Infect. 2020, 9, 1744–1747. [Google Scholar] [CrossRef]
- Patterson, E.I.; Prince, T.; Anderson, E.R.; Casas-Sanchez, A.; Smith, S.L.; Cansado-Utrilla, C.; Turtle, L.; Hughes, G.L. Methods of inactivation of SARS-CoV-2 for downstream biological assays. J. Infect. Dis. 2020, 222, 1462–1467. [Google Scholar] [CrossRef]
- Barnewall, R.; Bischoff, W. Removal of SARS-CoV-2 bioaerosols using ultraviolet air filtration. Infect. Control. Hosp. Epidemiol. 2021, 42, 1014–1015. [Google Scholar] [CrossRef]
- Herrera-Cantú, I.; García-Aguilar, K.; Pedraza-Gress, E.; Vázquez-López, E.; García-Mar, J.J.; Flores-González, L.A.; Aparicio-Razo, M.; Sánchez-Parada, O.; González-Pérez, M. Quantic analysis of the adherence of a gramnegative bacteria in a HEPA filter. Int. J. Adv. Eng. Manag. Sci. 2017, 3, 1122–1125. [Google Scholar]
- Toh, H.S.; Faure, R.L.; Mohd Amin, L.B.; Hay, C.Y.F.; George, S. A light-assisted in situ embedment of silver nanoparticles to prepare functionalized fabrics. Nanotechnol. Sci. Appl. 2017, 10, 147–162. [Google Scholar] [CrossRef][Green Version]
- Jeremiah, S.S.; Miyakawa, K.; Morita, T.; Yamaoka, Y.; Ryo, A. Potent antiviral effect of silver nanoparticles on SARS-CoV-2. Biochem. Biophys. Res. Commun. 2020, 533, 195–200. [Google Scholar] [CrossRef] [PubMed]
- Lee, S.G.; Hyun, J.; Hwang, J. One-pass antibacterial efficacy of bipolar air ions against aerosolized Staphylococcus epidermidis in a duct flow. J. Aerosol Sci. 2014, 69, 71–81. [Google Scholar] [CrossRef]
- Hyun, J.; Lee, S.G.; Hwang, J. Application of corona discharge-generated air ions for filtration of aerosolized virus and inactivation of filtered virus. J. Aerosol. Sci. 2017, 107, 31–40. [Google Scholar] [CrossRef] [PubMed]
- Nasir, A.M.; Awang, N.; Hubadillah, S.K.; Jaafar, J.; Othman, M.H.D.; Wan Salleh, W.N.; Ismail, A.F. A review on the potential of photocatalysis in combatting SARS-CoV-2 in wastewater. J. Water Process. Eng. 2021, 42, 102111. [Google Scholar] [CrossRef]
- Matsuura, R.; Lo, C.-W.; Wada, S.; Somei, J.; Ochiai, H.; Murakami, T.; Saito, N.; Ogawa, T.; Shinjo, A.; Benno, Y.; et al. SARS-CoV-2 Disinfection of air and surface contamination by TiO2 photocatalyst-mediated damage to viral morphology, RNA, and protein. Viruses 2021, 13, 942. [Google Scholar] [CrossRef]
- Liu, Y.; Ning, Z.; Chen, Y.; Guo, M.; Liu, Y.; Gali, N.K.; Sun, L.; Duan, Y.; Cai, J.; Westerdahl, D.; et al. Aerodynamic analysis of SARS-CoV-2 in two Wuhan hospitals. Nature 2020, 582, 557–560. [Google Scholar] [CrossRef] [PubMed]
- Zhao, B.; Liu, Y.; Chen, C. Air purifiers: A supplementary measure to remove airborne SARS-CoV-2. Build. Environ. 2020, 177, 106918. [Google Scholar] [CrossRef]
- Hammond, A.; Khalid, T.; Thornton, H.V.; Woodall, C.A.; Hay, A.D. Should homes and workplaces purchase portable air filters to reduce the transmission of SARS-CoV-2 and other respiratory infections? A systematic review. PLoS ONE 2021, 16, e0251049. [Google Scholar] [CrossRef]
- Zefero Scheda Tecnica. Available online: https://www.zefero.com/scheda (accessed on 31 January 2022).
- U.S. Environmental Protection Agency. Report to Congress on Indoor Air Quality; EPA/400/1-89/001C; U.S. Environmental Protection Agency: Washington, DC, USA, 1989; Volume 2.
- U.S. Environmental Protection Agency. The Total Exposure Assessment Methodology (TEAM) Study: Summary and Analysis; EPA/600/6-87/002a; U.S. Environmental Protection Agency: Washington, DC, USA, 1987.
- Cacciapaglia, G.; Cot, C.; Sannino, F. Multiwave pandemic dynamics explained: How to tame the next wave of infectious diseases. Sci. Rep. 2021, 11, 6638. [Google Scholar] [CrossRef]
- van Doremalen, N.; Bushmaker, T.; Morris, D.H.; Holbrook, M.G.; Gamble, A.; Williamson, B.N.; Tamin, A.; Harcourt, J.L.; Thornburg, N.J.; Gerber, S.I.; et al. Aerosol and surface stability of SARS-CoV-2 as compared with SARS-CoV-1. N. Engl. J. Med. 2020, 382, 1564–1567. [Google Scholar] [CrossRef]
- Chia, P.Y.; Coleman, K.K.; Tan, Y.K.; Ong, S.; Gum, M.; Lau, S.K.; Lim, X.F.; Lim, A.S.; Sutjipto, S.; Lee, P.H.; et al. Detection of air and surface contamination by severe acute respiratory syndrome coronavirus 2 (SARS-CoV-2) in hospital rooms of infected patients. medRxiv 2020, 11, 2800. [Google Scholar]
- Setti, L.; Passarini, F.; De Gennaro, G.; Barbieri, P.; Perrone, M.G.; Borelli, M.; Palmisani, J.; Di Gilio, A.; Torboli, V.; Fontana, F.; et al. SARS-Cov-2RNA found on particulate matter of Bergamo in Northern Italy: First evidence. Environ. Res. 2020, 188, 109754. [Google Scholar] [CrossRef] [PubMed]
- Narayanan, S.R.; Yang, S. Airborne transmission of virus-laden aerosols inside a music classroom: Effects of portable purifiers and aerosol injection rates. Phys. Fluids 2021, 33, 033307. [Google Scholar] [CrossRef] [PubMed]
- Djellabi, R.; Basilico, N.; Delbue, S.; D’Alessandro, S.; Parapini, S.; Cerrato, G.; Laurenti, E.; Falletta, E.; Bianchi, C.L. Oxidative inactivation of SARS-CoV-2 on photoactive AgNPs@TiO2 ceramic tiles. Int. J. Mol. Sci. 2021, 22, 8836. [Google Scholar] [CrossRef] [PubMed]
- Tanaka, H.; Sakurai, M.; Ishii, K.; Matsuzawa, Y. Inactivation of Influenza virus by ozone gas. IHI Eng. Rev. 2009, 42, 108–111. [Google Scholar]
- Blanchard, E.L.; Lawrence, J.D.; Noble, J.A.; Xu, M.; Joo, T.; Ng, N.L.; Schmidt, B.E.B.; Santangelo, P.J.; Finn, M.G. Enveloped virus inactivation on personal protective equipment by exposure to ozone. medRxiv 2020. [Google Scholar] [CrossRef]
- Zhang, J.; Zheng, C.; Xiao, G.; Zhou, Y.; Gao, R. Examination of the efficacy of ozone solution disinfectant in inactivating SARS virus. Chin. J. Disinfect. 2004, 1, 32–33. [Google Scholar]
- Grignani, E.; Mansi, A.; Cabella, R.; Castellano, P.; Tirabasso, A.; Sisto, R.; Spagnoli, M.; Fabrizi, G.; Frigerio, F.; Tranfo, G. Safe and effective use of ozone as air and surface disinfectant in the conjuncture of COVID-19. Gases 2021, 1, 19–32. [Google Scholar] [CrossRef]
- Petry, G.; Rossato, L.G.; Nespolo, J.; Kreutz, L.C.; Bertol, C.D. In Vitro inactivation of Herpes virus by ozone. Ozone Sci. Eng. 2014, 36, 249–252. [Google Scholar] [CrossRef]
- Dubuis, M.E.; Dumont-Leblond, N.; Laliberté, C.; Veillette, M.; Turgeon, N.; Jean, J.; Duchaine, C. Ozone efficacy for the control of airborne viruses: Bacteriophage and norovirus models. PLoS ONE 2020, 15, e0231164. [Google Scholar]
- Yano, H.; Nakanoa, R.; Suzukia, Y.; Nakanoa, A.; Kasaharab, K.; Hoso, H. Inactivation of severe acute respiratory syndrome coronavirus 2 (SARS-CoV-2) by gaseous ozone treatment. J. Hosp. Infect. 2020, 106, 837–838. [Google Scholar] [CrossRef] [PubMed]
- Sallustio, F.; Cardinale, G.; Voccola, S.; Picerno, A.; Porcaro, P.; Gesualdo, L. Ozone eliminates novel coronavirus Sars-CoV-2 in mucosal samples. New Microbes New Infect. 2021, 43, 100927. [Google Scholar] [CrossRef] [PubMed]
- Reed, L.J.; Muench, H. A simple method of estimating fifty percent endpoints. Am. J. Hyg. 1938, 27, 493–497. [Google Scholar]
- IDEXX Laboratories. Inc. Sample Concentration Protocol for Wastewater Surveillance for SARS-CoV-2; IDEXX Laboratories. Inc.: Westbrook, ME, USA, 2020; Available online: https://www.idexx.com/files/sample-concentration-protocol-for-wastewater-surveillance.pdf (accessed on 11 January 2022).
- Myint, S.; Johnston, S.; Sanderson, G.; Simpson, H. Evaluation of nested polymerase chain methods for the detection of human coronaviruses 229E and OC43. Mol. Cell. Probes 1994, 8, 357–364. [Google Scholar] [CrossRef]






| Time of Exposure (min) | Volume of Recirculated Air (m3) | Viral Copies Reduction (%) (±SD) | |
|---|---|---|---|
| Photocatalysis/UV Mode | Ozone Mode | ||
| 0 | 0 | 0 (±5.00) | 0 (±4.76) |
| 15 | 75 | 67.86 (±4.79) | 90.20 (±4.63) |
| 30 | 150 | 84.00 (±4.56) | 100 |
| 45 | 25 | 92.00 (±4.00) | - |
| 60 | 300 | 95.50 (±3.18) | - |
| 75 | 375 | 97.90 (±3.49) | - |
| 90 | 450 | 99.00 (±4.00) | - |
| 105 | 525 | 99.50 (±1.20) | - |
| 120 | 600 | 100 | - |
| Time of Exposure (min) | Volume of Recirculated Air (m3) | Viral Copies’ Reduction (%) (±SD) | |
|---|---|---|---|
| Photocatalysis/UV Mode | Ozone Mode | ||
| 0 | 0 | 0 (±3.87) | 0 (±4.65) |
| 15 | 75 | 60 (±3.88) | 60 (±4.68) |
| 30 | 150 | 75 (±4.02) | 85 (±4.13) |
| 45 | 225 | 90 (±4.53) | 100 |
| 60 | 300 | 95 (±4.26) | |
| 75 | 375 | 99 (±4.00) | |
| 90 | 450 | 100 | |
Publisher’s Note: MDPI stays neutral with regard to jurisdictional claims in published maps and institutional affiliations. |
© 2022 by the authors. Licensee MDPI, Basel, Switzerland. This article is an open access article distributed under the terms and conditions of the Creative Commons Attribution (CC BY) license (https://creativecommons.org/licenses/by/4.0/).
Share and Cite
Nicolò, M.S.; Rizzo, M.G.; Palermo, N.; Gugliandolo, C.; Cuzzocrea, S.; Guglielmino, S.P.P. Evaluation of Betacoronavirus OC43 and SARS-CoV-2 Elimination by Zefero Air Sanitizer Device in a Novel Laboratory Recirculation System. Pathogens 2022, 11, 221. https://doi.org/10.3390/pathogens11020221
Nicolò MS, Rizzo MG, Palermo N, Gugliandolo C, Cuzzocrea S, Guglielmino SPP. Evaluation of Betacoronavirus OC43 and SARS-CoV-2 Elimination by Zefero Air Sanitizer Device in a Novel Laboratory Recirculation System. Pathogens. 2022; 11(2):221. https://doi.org/10.3390/pathogens11020221
Chicago/Turabian StyleNicolò, Marco Sebastiano, Maria Giovanna Rizzo, Nicoletta Palermo, Concetta Gugliandolo, Salvatore Cuzzocrea, and Salvatore P. P. Guglielmino. 2022. "Evaluation of Betacoronavirus OC43 and SARS-CoV-2 Elimination by Zefero Air Sanitizer Device in a Novel Laboratory Recirculation System" Pathogens 11, no. 2: 221. https://doi.org/10.3390/pathogens11020221
APA StyleNicolò, M. S., Rizzo, M. G., Palermo, N., Gugliandolo, C., Cuzzocrea, S., & Guglielmino, S. P. P. (2022). Evaluation of Betacoronavirus OC43 and SARS-CoV-2 Elimination by Zefero Air Sanitizer Device in a Novel Laboratory Recirculation System. Pathogens, 11(2), 221. https://doi.org/10.3390/pathogens11020221

