Next Article in Journal / Special Issue
In Vitro Evaluation of Acute Toxicity of Five Citrus spp. Essential Oils towards the Parasitic Mite Varroa destructor
Previous Article in Journal
Intestinal Transcriptomic and Histologic Profiling Reveals Tissue Repair Mechanisms Underlying Resistance to the Parasite Ceratonova shasta
Previous Article in Special Issue
Quantitative Monitoring of Selected Groups of Parasites in Domestic Ruminants: A Comparative Review
 
 
Font Type:
Arial Georgia Verdana
Font Size:
Aa Aa Aa
Line Spacing:
Column Width:
Background:
Article

Occurrence and Identification of Ixodes ricinus Borne Pathogens in Northeastern Italy

1
Istituto Zooprofilattico Sperimentale delle Venezie, Viale dell’Università 10, Legnaro, 35020 Padua, Italy
2
UOC Malattie Infettive Ospedale San Martino, 32100 Belluno, Italy
*
Author to whom correspondence should be addressed.
Pathogens 2021, 10(9), 1181; https://doi.org/10.3390/pathogens10091181
Submission received: 19 August 2021 / Revised: 9 September 2021 / Accepted: 9 September 2021 / Published: 13 September 2021
(This article belongs to the Special Issue Parasites of the Third Millennium)

Abstract

:
In Europe, Ixodes ricinus is the main vector for tick-borne pathogens (TBPs), the most common tick species in Italy, particularly represented in pre-alpine and hilly northern areas. From 2011 to 2017, ticks were collected by dragging in Belluno province (northeast Italy) and analyzed by molecular techniques for TBP detection. Several species of Rickettsia spp. and Borrelia spp. Anaplaspa phagocitophilum, Neoerlichia mikurensis and Babesia venatorum, were found to be circulating in the study area carried by I. ricinus (n = 2668, all stages). Overall, 39.1% of screened pools were positive for at least one TBP, with a prevalence of 12.25% and 29.2% in immature stages and adults, respectively. Pathogens were detected in 85% of the monitored municipalities, moreover the presence of TBPs varied from one to seven different pathogens in the same year. The annual TBPs prevalence fluctuations observed in each municipality highlights the necessity of performing continuous tick surveillance. In conclusion, the observation of TBPs in ticks remains an efficient strategy for monitoring the circulation of tick-borne diseases (TBDs) in a specific area.

1. Introduction

Pathogens transmitted by ticks (TBPs) are responsible for the majority of the vector-borne diseases in temperate North America, Europe, and Asia [1]. The economic impact of tick-borne diseases (TBDs) is significant and increases every year but unfortunately the combined public health impact of TBDs remains mostly unquantified [1,2].
Given the fact that TBDs could severely concern both human and animal health, surveillance programs for TBDs and TBPs, based on harmonized One Health approaches, have been implemented in several European countries in recent years [3,4].
In Europe, Ixodes ricinus (Acari: Ixodidae) is considered one of the primary vectors of multiple pathogens that affect human and animal health [5]. These pathogens (i.e., virus, bacteria, and protozoa) circulate in enzootic cycles, alternating between ticks and suitable animal hosts. In addition, infected I. ricinus can transmit TBPs to humans, causing several TBDs [6,7].
The most frequently diagnosed zoonoses transmitted by I. ricinus are Lyme borreliosis (LB) and tick-borne encephalitis (TBE) [8,9,10]. Lyme borreliosis (LB) is caused by three species of spirochetes consisting of the B. burgdorferi sensu lato (s.l) complex (Borrelia burgdorferi sensu stricto (s.s), B. afzelii and B. garinii). Tick-borne encephalitis virus (TBEv, Flaviviridae) is described as the agent of the human TBE disease.
A wide range of TBPs responsible for human disease have been detected in European I. ricinus, including Rickettsia (Rickettsia helvetica, R. monacensis, R. raoultii, R. limoniae), Ehrlichia spp., Borrelia (B. valaisiana, B. lusitaniae and B. miyamotoi), Babesia (Ba. microti, Ba. divergens, Ba. duncani, and Ba. venatorum), Anaplasma phagocytophilum, and Neoehrlichia mikurensis [6,11,12,13,14,15,16,17,18].
Lyme borreliosis is associated with numerous TBPs species, although the pathogenicity of B. lusitaniae and B. valaisiana is still unclear [19,20,21].
Anaplasma phagocytophilum is considered an emerging pathogen which causes an underdiagnosed clinical manifestation, namely human granulocytic anaplasmosis (HGA) [22], although many of its strains are non-pathogenic to humans [22,23].
Rickettsia monacensis has been shown to cause a Mediterranean spotted fever-like illness in humans in different European countries, including Italy [24]. Likewise, R. helvetica was associated with human illness, and three cases of a mild form of human rickettsiosis were attributed to R. helvetica in northern Italy through serological analyses [25,26].
Neoehrlichia mikurensis was discovered very recently and even though it is considered a newly emerging TBP, it may be underestimated so far. The first case of human infection was reported in 2010 in Switzerland [27] and eighteen cases of human infection have been reported in Europe to date [28].
Other TBPs associated with human disease are Ba. venatorum [29,30,31,32,33,34,35,36,37] and B. miyamotoi, which were identified in I. ricinus both in several central European countries and Italy [38]. Recently, B. miyamotoi has been recognized as the agent of a non-specific febrile syndrome often misdiagnosed as acute Lyme disease [39].
The distribution of TBPs is primarily related to tick density and to the availability of animal reservoirs. During the last decades, the distribution of I. ricinus in Europe has expanded as a result of multipartite interactions between climatic, ecological, landscape and anthropogenic drivers [40]; these factors, impacting on the transformations of biotopes, affect the available habitats for ticks and encourage the host–tick–pathogen interaction which leads to a higher risk of infection with TBPs [5].
In the last few years, recreational outdoor activities have greatly increased their consistency, and an increase in the number of tick bites has been reported in urban and suburban areas, such as city parks or suburban forests [6,7,41].
The emerging crucial meeting point between wild animals, humans, pets, and ticks is given by the peri-urban recreational areas [6], in which the evaluation of TBP distribution needs a constant update to maintain the awareness of TBDs.
The territory of northeastern Italy, due to its climatic characteristics and host availability (high diversity and availability of both wild and domestic animals), provides favorable ecological conditions for I. ricinus proliferation, the most abundant tick in this area [42].
For years, a high tick abundance, TBP circulation, and TBD cases have been reported in the Veneto region; in particular, the Belluno province is historically considered an endemic area for TBPs [43,44,45], and it will be classified as a risk area soon [46,47,48].
In fact, though Italy historically reported a low incidence rate of LB, ranging from 0.001 to 0.02 new cases per 100,000 inhabitants [49,50], from 2006 to 2019 the Veneto region reported 1259 LB cases, with an increasing trend of the annual mean incidence over five years (2015–2019) of 1.916/100,000 inhabitants [48]. Remarkably, in Belluno province during the period of 2015–2017, 76 cases were observed (unpublished data provided by Local Public Health Dep. Dolomiti, Veneto Region) and the trend seems to be constantly growing; in fact, in 2019 40 LB cases were reported at the Belluno Hospital (recognized as Regional Reference Center for TBDs (unpublished data).
Likewise, the annual TBE incidence rate in this province (4.9 per 100,000 inhabitants) is the highest recorded in the municipalities [46]. For this reason, people practicing both recreational and professional outdoor activities, such as forestry workers, farmers, veterinarians, military workers, and outdoor workers are potentially exposed to tick bite risk and possible TBP infections.
This investigation began after several tick bite advisories from forestry workers and outdoor workers (professional hazard) and the cooperation with Carabinieri Corps and Forestry Team (Belluno department) carried out the monitoring activities and tick sampling during the years 2011–2017.
The aim of this study was to estimate the occurrence of TBPs in I. ricinus ticks collected in Belluno province.

2. Results

2.1. Ticks Surveillance

The study area involved 20 municipalities in Belluno province, in which 39 monitored sites were found positive for tick presence, corresponding to 95.12% of total sites investigated during the seven years of study.
During the sampling period, 187 dragging transects of 100 m2 each were performed (total 18,700 m2) within 39 sites positive for ticks monitored 1 to 38 times. In total, 2668 ticks were collected, all belonging to I. ricinus. Nymphs (2062) and larvae (331) were the most frequently collected development stages, followed by adults (147 males and 128 females, total 275) and immature ticks, with an adult ratio of 8.7:1 (Table 1 and Table A1).
Collected specimens were pooled according to their life stage, sex, date, and sampling site, resulting in a total of 596 pools (25, 296 and 275 pools for larvae, nymphs, and adults, respectively).
A considerable variability in tick numbers per collection (1 to 126 ticks/collection, median = 5) was seen throughout the study period, in addition to two peaks in activity of I. ricinus recorded in spring (May–June) and autumn (October–November). The peak of tick presence was characterized from May (n total = 801, 30.0%) to June (n total = 657, 24.6%): 60.9% of nymphs and 73.8% of adults were collected, while the majority of larvae (81.3%) were collected in autumn (September, October).
Mean observed densities of I. ricinus per 100 m2 were 11.1, 1.8, and 1.5 per nymphs, larvae, and adults, respectively. The maximum number of nymphs per sampling was 160 specimens, followed by larvae (110) and adults (42).

2.2. Tick-Borne Pathogen Detection

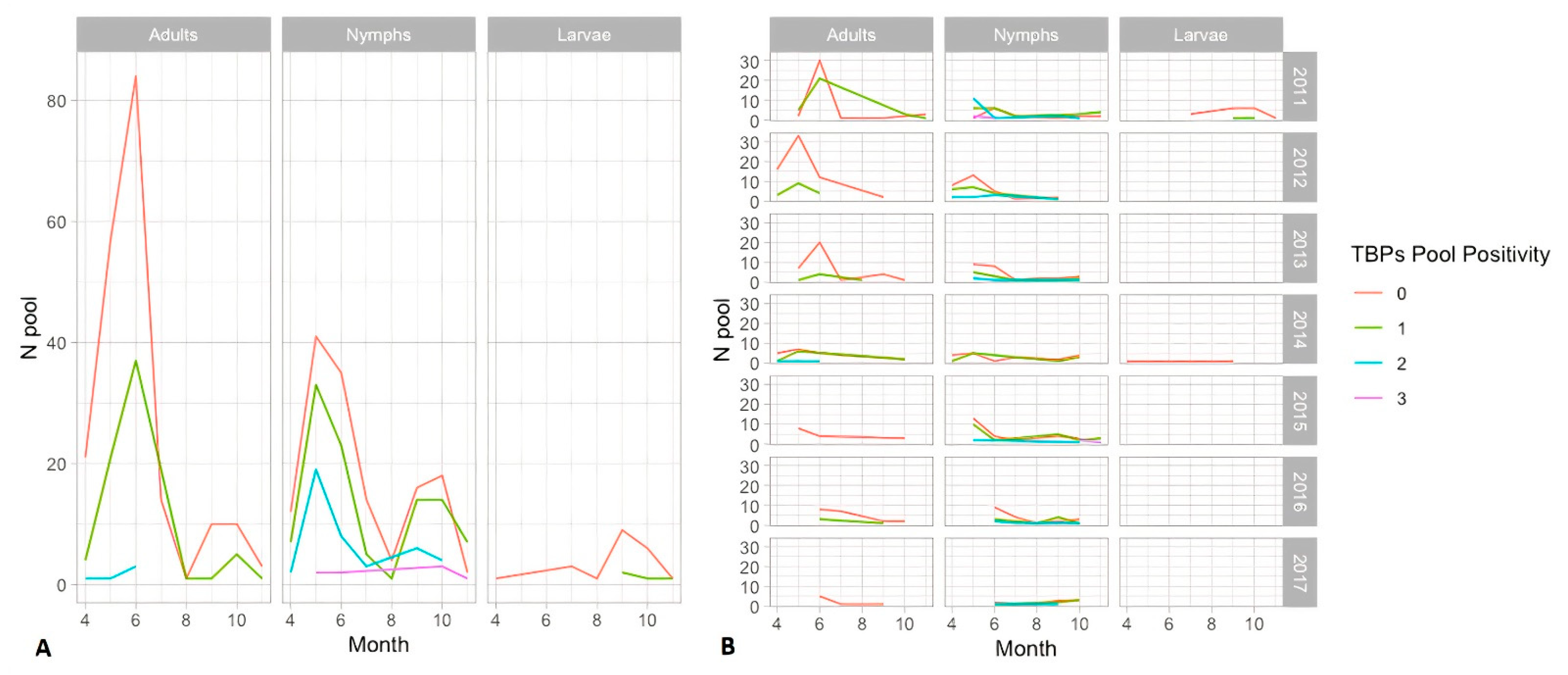
After molecular analysis of 2668 host-seeking ticks (all stages) belonging to 596 pools, 233 pools (39.1% of total tested) were positive for at least one TBP, ranging from one to three different pathogens. No tick was found to be infected with the TBE virus, although human TBE cases were reported in the same area during the surveillance period [46]. Tick density was higher in late spring (May–June), whereas the pool positivity rate (PPR) was higher in autumn (Table 2). Co-infected adults were collected from April to June, while multiple TBP presence in pooled nymphs was observed in late spring and autumn (Figure 1).
The highest TBP prevalence was detected in adult ticks (29.2) and was higher in females (32.0) compared to males (23.1). All tick stages were found to be infected with at least one TBP and R. helvetica and N. mikurensis were detected in each stage (Table 3).
The three most prevalent TBPs registered in adult ticks were A. phagocytophilum (7.6%), R. helvetica (6.9%), and B. burgdoferi s.s. (6.7%), followed by N. mikurensis (2.9%), B. afzelii (2.6%), R. monacensis (1.8%), and B. valaisiana (0.8%).
Despite adult ticks being more likely to be infected than nymphs with an overall prevalence of 29.2 (versus prevalence of 11.2 in nymphs) and higher prevalence for each TBP, in the latter a higher TBP diversity was detected, given that B. garinii and Ba. venatorum were detected only in nymphs.
Molecular investigation revealed the presence of coinfection in adults (1.8%) and multiple TBP detection in pooled nymphs (16.9%).
Five adult ticks (1.8% of total) sampled in four different sites and periods were co-infected with two pathogen species (see Table 4 for details).
Eight nymph pools (composed of 10 individuals each) coming from four different sites located in three different municipalities during six samplings (2011, 2012, 2014, and 2015) were found to be positive for three TBPs, while 42 nymph pools (from 1 to 13 specimens) collected during 30 different samplings in eight municipalities during the whole studied period were positive with two TBPs. In one site (Col della Feda), two nymph pools collected the same day were positive at four different TBPs (i.e., R. helvetica, B. garinii, B. burgdoferi s.s., and A. phagocytophilum). All the TBPs, except Ba. venatorum, were detected in different combinations: R. helvetica and A. phagocytophilum were the most frequent combination (12 pools), followed by R. helvetica and B. afzelii (9 pools) and R. helvetica and N. mikurensis (5 pools) (Table 5).
All the 20 municipalities monitored tested positive for tick presence and among them, 17 (85%) tested positive for at least one TPBs during the study period (Figure 2). In three municipalities (Sedico, Sospirolo, Ponte nelle Alpi) the circulation of more than six TBPs was demonstrated. The highest diversity in TBPs was detected in the Sospirolo municipality, with eight different pathogens circulating in the whole study period and seven TBPs co-circulating in the same year.
Despite Sedico, Sospirolo, and Ponte nelle Alpi municipalities registering the biggest diversity in TBP species occurring per year, the highest TBP prevalence was reached in La Valle Agordina (100.0%), Ospitale di Cadore (50.0%), and Alpago (44.4%) (see Table 6). In municipalities monitored for several years, notable prevalence fluctuations can be observed (e.g., Limana registered a minimum TBP prevalence of 6.7 in 2016 and a maximum TBP prevalence of 100.0 in 2012) (see Table A1 for geographical details). In general, the mean prevalence of TBPs in Belluno municipalities during the study period was 21.7%.
During a retrospective study (unpublished data), B. miyamotoi presence was investigated in a subsample of stored ticks collected in Belluno province during 2011–2017. Of the 343 (57.5%) analyzed pools, 15 were positive for B. miyamotoi (details are available in the Appendix A, Table A3) but unfortunately the data about the statistical prevalence of this emerging pathogen were unavailable.

3. Discussion

In this study, the presence and occurrence of endemic and emerging TBPs in ticks collected in northeastern Italy was deeply investigated, achieving epidemiological and biological TBPs and TBDs knowledge. Our data highlight the co-circulation of nine different pathogens in the study area, with an overall TBP prevalence of 12.5% in ticks in immature stages and of 29.2% in adults. As expected, the overall TBP prevalence was higher in adults than nymphs [51].
At a complex level, the most prevalent pathogen reported in our study was Rickettsia spp. (13.7%; 5.0% in immature stages and 8.7% in adults) followed by Borrelia spp. (12.6%; 2.6% in nymphs and 10.0% in adults).
Rickettsiae are known to be vertically transmitted; in fact, we found positivity in larvae with a prevalence of 1.0%. The Rickettsiae species detected in our study (R. helvetica and R. monacensis) are the main TBPs transmitted by I. ricinus circulating in Europe [52], and our prevalence appears to be lower than that previously reported in Italy, which ranged from 24.8% (northern Italy) to 18.4% (Central Italy) [41,53,54]. Rickettsia helvetica has been detected in I. ricinus ticks in at least 24 European countries [55], with a wide range of prevalence from 0.5% (Island of the Baltic Sea) to 66% in the Netherlands [3,56]. In northern Italy, R. monacensis was detected in the past with a higher prevalence (3.7–4.5%) than that reported of our study (0.3% in nymphs, −1.8% in adults) [57,58]. This could be explained when considering that Rickettsia spp. prevalence could be influenced by several factors, including the season, year of sampling, environment, and type of tick hosts [5].
The B. burgdorferi s.l. prevalence detected was lower compared to a previous study in northeastern Italy (4.7% in nymphs and 17.6% in adults) [38] and to other similar studies carried out in northwestern Italy (10.3–10.5%) [53,59], in the Alpine area (6.3%) in the province of Trento [60], in the Po River Valley (18.0%), and in Central Italy (20.0%) [61].
In our study, we found four genospecies (B. burgdorferi s.s., B. afzelii, B. garinii, and B. valaisiana). The most prevalent was B. burgdorferi s.s., followed by B. afzelii, which was different from a study conducted in northwestern Italy in which B. garinii and B. afzelii were the genospecies most frequently identified in questing ticks [53]. In Central Europe, B. afzelii, together with B. garinii, is one the most common genospecies with the highest prevalence rate [62]. Despite the first detection of B. miyamotoi in north Italy dating back to 2016 [38], during a retrospective study (unpublished data) B. miyamotoi presence was detected in Belluno province in 2011 and had been continuously present until 2017, with the exception of 2014. Considering that B. miyamotoi seems to be well established in the Belluno area, more attention should be paid in cases of non-specific febrile syndrome.
The most prevalent pathogen, at a species level, was A. phagocytophilum. The prevalence was higher in adults (7.6%) than in nymphs (2.9%) and was higher than the overall prevalence found previously in questing I. ricinus ticks (1.8%) in northern Italy [30]. In Europe, the infection rates range from 0.8% to 14.0% [63,64], with a greater risk of infections in eastern Europe than in western Europe [30]. The low infection rate is due to inability of A. phagocytophilum to be transmitted transovarially, and larvae can only be found infected after a meal on a bacteriemic host [22,65]. Accordingly, in our study no positivity for this pathogen was found in larvae.
Neoehrlichia mikurensis was detected in all stages with a prevalence of 0.3%, 1.6%, and 2.9% in larvae, nymphs, and adults, respectively; these results are lower compared to findings in adult ticks (10.5%) in a previous study conducted in the same area [58] but higher than data coming from northwestern Italy (2.0% in nymph and adult I. ricinus collected in a peri-urban park) [41]. In Europe, the prevalence of N. mikurensis ranged from 0.2% (Poland) [66] to 6.4% (Switzerland) [67] and in general, the median N. mikurensis infection rate was greater in western Europe than in Eastern Europe [8]. Despite this pathogen being discovered very recently, it is present in the Belluno area, confirming its high suitability for TBPs.
Few studies have been carried out in Italy to evaluate the distribution and prevalence of the zoonotic Ba. venatorum. In our study, Ba. venatorum was found only in nymphs with a prevalence of 0.1%, lower than the prevalence found previously in nymphs collected in northeastern Italy (2.4%) [29] and in the bordering province of Trento (3.8%) [30]. Transovarial transmission has been demonstrated [68] but in this study we did not find the pathogen in larvae, possibly because of the very low prevalence in this tick life stage. Babesia microti is associated with human infection [69] and it is considered a potential risk in north Italy [30], whereas it was not detected in our study.
Compared to central and eastern Europe, Italy is considered a low-risk region for TBEv. The virus seems to be restricted to areas of the northeastern part of the country [46], where it is historically endemic with a prevalence ranging from 0.2% to 2.5% [58,70,71], within the range registered in European endemic areas (0.1–5.0%) [72,73]. In our study TBE was undetected, probably because this agent has a typical distribution and presentation which is particularly scattered and circumscribed in foci; these characteristics reasonably allowed the pathogen to escape from the sampling [73]. To improve the tick positivity for TBEv detection, it would be useful to provide integrated human cases and tick monitoring surveillance [74].
In our study, co-infections in single adult ticks were reported in a similar percentage (1.8%) as in a previous study conducted in Italian humans (1.2%) [75]. The presence of multiple pathogens in ticks could cause co-transmission of pathogens to humans, affecting the medical diagnosis, severity of the disease, and prognosis [76,77]. In particular, in our study the dual co-infection between Borrelia spp. and Rickettsia spp. occurred, which is confirmed to be one of the most frequent co-infections as reported in Romania, Switzerland and Belgium [76,78,79]. Co-infection of Borrelia spp. with Babesia spp., suspected to enhance the severity of LB, was not observed in our study [80,81].
The majority of the ticks collected by dragging were nymphs (77.3%); this is probably a result of the dragging technique used [82,83]. Nymph and adult ticks are the most important stages in the transmission of pathogens to humans. Nymphs are the most dangerous because their small size and their activity period (spring and summer), which is the highest human outdoor activity time in temperate climates [84]. The I. ricinus density trend data (seasonality and distribution) reported in our study confirms what was already described in central Europe [11,85,86], although tick density in the Belluno area was lower than in other European areas [87]. The two peaks in tick abundance (May–June and October–November) correspond to the peak of TBP detection. Similarly, co-infection and multiple TBP detection in pools analyzed were recorded. Adult ticks showed a higher prevalence for each TBP compared to immature stages, where the higher TBP diversity was detected in nymphs.
All the monitored municipalities tested positive for tick presence and different species of TBPs were detected. Our results highlight the considerable variation of annual prevalence of TBPs in each municipality and detected fewer common species (e.g., Ba. venatorum). Regular monitoring is necessary to determine TBP prevalence of emerging or new TBPs. Tick surveillance should continue in order to detect abnormal prevalence peaks due to an imbalance between climatic conditions and reservoir availability [11,88].
The high diversity (up to nine species), proximity (four different TBPs in ticks collected within less than 100 m2), frequency of detection (seven different species/ sites/ years), and prevalence of TBPs characterize the Belluno province as a high-risk area for TBP transmission. Tick surveillance is necessary to assess TBP prevalence and occurrence and it allows for the identification of the different genospecies circulating in a investigated area. These data would improve prospective surveillance of TBDs in the focus area by providing more insight into the ecological and epidemiological features of TBDs [9].
Understanding and mapping I. ricinus’ spread and prevalence is pivotal to assess the risk of TBPs spreading. Furthermore, the assessment of TBDs temporal and spatial trends would be significantly improved by social communication of messages about risk related to TBDs to policymakers, stakeholders, and the citizens [9,89].

4. Materials and Methods

4.1. Study Area and Sampling Method

Tick collection was conducted in 20 municipalities in the Belluno province, Veneto Region (northeastern Italy). Sampling activity was performed in sites with human frequency for both work and leisure activities, such as parks, hiking trails, start of climbing routes, and peri-urban recreational areas (Table A1).
In order to cover the two peaks in tick activity (spring and autumn), sampling activity was carried out each year from 2011 to 2017 and from April to November [46,86].
The technique used by forest rangers and the local health unit for the collection of questing ticks was ‘tick dragging’, using a 1 m2 white flannel cloth dragged across the top of the vegetation or forest floor in a designated transept (100 m) and regularly checking for the presence of ticks [58].
Collected ticks were identified based on morphological keys [90,91], and were pooled and stored at –80 °C until molecular analysis for the pathogen identification.

4.2. Molecular Analysis

Single adult ticks, pooled nymphs (maximum 13 specimens per pool), and larvae (maximum 22 specimens per pool) were homogenized in 600 μL of Phosphate Saline Buffer (PBS) with a 5 mm bead (Qiagen) using the instrument TissueLyser II (Qiagen). Then, 150 μL of supernatant was used for the nucleotide extraction using the All Prep DNA/RNA Mini Kit (Qiagen, Valencia, CA, USA), according to the manufacturer’s instructions, and then kept frozen at −80 °C. RNA was screened for the detection of TBE virus using a TaqMan Real-Time PCR, as described elsewhere [92]. DNA was screened for the detection of B. burgdorferi s.l. and N. mikurensis using traditional PCR, as described elsewhere [93,94], and by using in-house SYBR Green Real-Time PCR (rtPCR) for the detection of A. phagocytophilum, Rickettsia spp., and Babesia spp. The target genes, primers used, and related references are listed in Table A2. Each reaction was carried out in a total volume of 20 μL, containing 10 μL of Quanti-Fast SYBR Green PCR Master mix 2× (Qiagen GmbH, Hilden, Germany), sense and reverse primers (concentration reported in Table 1), and 3 μL of DNA. Amplifications were performed in a StepOnePlus™ instrument (Applied Biosystems, Foster City, CA, USA). The thermal profile consisted of 5 min of activation at 95 °C, followed by 40 cycles at 95 °C for 15 s (denaturation), specific annealing temperature (Table 1) for 30 s (annealing), and 60 °C for 30 s (extension). Following amplification, a melting curve analysis was performed by slowly raising the temperature of the thermal chamber from 60 °C to 95 °C to distinguish between specific and non-specific amplification products. To ensure the effectiveness of DNA and RNA extraction, a PCR targeting the 18S rRNA gene internal control and a TaqMan Real-Time PCR targeting the 16S rRNA gene were applied, respectively [92,95]. Negative (sterile water) and positive controls (DNA or RNA of pathogens) were included in each run. PCR products were examined on 7% acrilamide gels stained with SYBR Gold® Nucleic Acid Gel Stain 1× (Thermo Fisher Scientific) and visualized on a Molecular Imager® Gel DocTM XR System (Biorad). DNA amplification products were directly sequenced for species identification. The amplicons were purified and sequenced in both directions with the same primers used for PCR and qPCR, using a 16-capillary ABI PRISM 3130xl Genetic Analyzer (Applied Biosystems, Foster City, CA, USA). Sequences were aligned and compared with those available in GenBank by Basic Local Alignment Search Tool (BLAST—http://blast.ncbi.nlm.nih.gov/Blast.cgi; accessed on 5 January 2018).
Phylogenetic analysis related to Borrelia burgdorferi genospecies and the Rickettsia species identified in this study were performed using the representative sequences, from 2012 to 2017, based on years and site. Phylogenetic trees (Figure A1 and Figure A2) can be inserted into Appendix A.
The DNA of a pool subsample (343/596 pools, 57.5%) was screened for the presence of Borrelia miyamotoi using a Traditional PCR targeting ~900 bp of the glpQ gene [17].

4.3. Statistical Analysis

Tick density was calculated as average number of ticks per 100 m2 [96]. Pool positivity rate (PPR), corresponding to the number of positive pools/total pool of ticks examined, was calculated (pool positive for more than one TBPs count as 1). Estimate prevalence (hereafter named Prevalence) for variable pool size together with uncertainly intervals (hereafter named confidence interval, CI) for each TBP and for TBP in general in each municipality (both annually and mean) were calculated through PoolTestR package [97]. Estimation of prevalence based on presence/absence tests on pooled samples was obtained using the script codes provided by PoolTestR package (see the package description for details). All data cleaning and preparation and graphics were conducted using R statistical software version 4.1.0 [98] and the package Tidyverse [99]. Maps and spatial data manipulation were carried out using ESRI ArcMap (ArcGIS Desktop: Release 10.5.1. Redlands, CA, USA: Environmental Systems Research Institute. Copyright© 1999–2017).

5. Conclusions

Continuous tick surveillance and TBP screening is of pivotal importance and should be maintained to collect updated data on TBP prevalence, occurrence of different genospecies circulating in the province, and to estimate the risk related to TBPs in the population. These aspects have been highlighted through this study, confirming that Belluno province is highly endemic to TBPs, with co-circulation of up to nine different TBPs. Furthermore, these data should be used to carry out risk communication campaigns aimed at sharing knowledge about different tick species present in the area, as well as the pathogens they can transmit and preventive measures against infectious tick bites. Furthermore, these data should be used to carry out risk communication campaigns aimed at implementing preventive measures against infectious tick bites. In conclusion, a multidisciplinary ‘One Health’ approach is crucial to perform eco-epidemiological research and surveillance specifically focused on the occurrence of ticks, their infection with pathogenic microorganisms, as well as on the presence of tick maintenance and reservoir vertebrate hosts.

Author Contributions

M.B., F.M. and S.R. conceived the study. M.B., F.M., S.R., G.D.R. and F.O. wrote the paper. F.M., F.O. and S.C. performed part of the tick samplings. F.M. and S.C. performed the morphological tick identification. G.D.R., F.T., E.P., C.F. and S.O. performed molecular analysis. M.B. conducted statistical analysis. V.M. provided TBDs data on humans. All authors have read and agreed to the published version of the manuscript.

Funding

This research was funded by the Veneto Region (entomological surveillance of vector-borne diseases Plan, D.G.R. n. 102 02 February 2021).

Data Availability Statement

All data are reported in the manuscript or in the Appendix A.

Acknowledgments

The authors wish to thank Captain Paolo Zanetti (Carabinieri Corps, Forestry Team, Belluno department) who carried out the tick samplings, Matteo Mazzucato (IZSVe, GIS office) for building maps, and Stefania Cazzin (IZSVe) for her technical help. We also thank Gioia Capelli, Franco Mutinelli, and Patrizia Danesi (all IZSVe) for their help in revision of the text and Elisa Mazzotta (University of Padua) for English revision.

Conflicts of Interest

The authors declare no conflict of interest.

Appendix A

Table A1. Geographical details of monitored sites in Belluno province during 2011–2017.
Table A1. Geographical details of monitored sites in Belluno province during 2011–2017.
MunicipalityID SiteAltitudeCoordinate NCoordinate E
Alpago142046.13644412.367389
Alpago 241046.13986112.351278
Belluno3NANANA
Belluno470046.18250012.195000
Belluno550046.17439412.240835
Belluno637746.15391812.266074
Belluno759046.06851512.245752
Cencenighe878546.34195611.971707
Cesiomaggiore980046.14420011.952100
Cesiomaggiore 1076546.12822611.949862
Feltre1155046.06032011.913008
La Valle Agordina1279246.27427612.058691
Lentiai1374046.03254312.009134
Limana1453246.09294312.221204
Limana1579546.05733512.240001
Limana1680046.05395612.228388
Longarone1747046.27352512.310835
Lorenzago di Cadore1875046.47834612.448012
Ospitale di Cadore1955046.31976912.321676
Ponte Nelle Alpi2076246.12348312.298094
Ponte nelle Alpi2154046.13005612.310583
Ponte Nelle Alpi2255046.15615712.287511
Ponte Nelle Alpi2371046.14340412.284754
Ponte nelle Alpi24100046.10611112.287778
Quero-Vas2550045.94415411.885902
Rivamonte Agordino2697346.25761712.040636
Rivamonte Agordino2768146.26829912.031582
Sedico2842046.19930312.125336
Sedico2934046.12402512.131986
Sedico3036046.12933512.106427
Sospirolo3158046.15888812.057320
Sospirolo32168146.16794612.013621
Soverzene3339646.20649312.302831
Soverzene3472046.21423612.311723
Sovramonte3579046.06688911.782164
Sovramonte36120046.06796911.830914
Taibon Agordino3770046.30842412.010278
Tambre38105046.10486112.441278
Tambre3980646.12190612.390455
Note: NA = not available.
Table A2. Target genes, primer concentration, annealing temperatures, and related references of primers used for the detection of A. phagocytophilum, Rickettsia spp., and Babesia spp.
Table A2. Target genes, primer concentration, annealing temperatures, and related references of primers used for the detection of A. phagocytophilum, Rickettsia spp., and Babesia spp.
PathogensTarget GenePrimerSequenceTa (°C)PC (µM)Fragment Lenght (bp)Reference
A. phagocytophilummsp2msp2-3f msp2-3r5′-CCAGCGTTTAGCAAGATAAGAG-3′56 °C0.05334[100]
5′-GMCCAGTAACAACATCATAAGC-3′
Rickettsiaspp.ompBrompB OFm rompB ORm5′-GTA ACC GGA ART AAT CGT TTC GT-3′58 °C0.1511modified after [101]
5′-GCT TTA TAA CCA GCT AAA CCR CC-3′
Babesiaspp.18S rRNABJ15′-GTC TTG TAA TTG GAA TGA TGG-3′60 °C0.1500 [102]
BN25′-TAG TTT ATG GTT AGG ACT ACG-3′
Note: Ta = annealing temperature; PC = primer concentration: msp2 = major surface protein 2; ompB = outer membrane protein B; 18S rRNA = 18S ribosomal RNA.
Table A3. Borrelia miyamotoi pool positivity results during a retrospective study in a subsample of ticks collected in Belluno province (2011–2017).
Table A3. Borrelia miyamotoi pool positivity results during a retrospective study in a subsample of ticks collected in Belluno province (2011–2017).
N PoolYearMunicipalityID SiteTick Stadium and SexSpecimen Number
12011Sospirolo31Nymphs10
22011Sospirolo31Adult Male1
32011Sospirolo31Adult Female1
42011Sedico29Nymphs6
52012Sedico28Nymphs10
62012Ospitale di Cadore19Adult Female1
72013Sospirolo31Nymphs10
82013Sospirolo31Nymphs10
92015Limana16Nymphs10
102016Sospirolo31Nymphs11
112016Sedico28Nymphs10
122016Sedico28Nymphs10
132017Limana16Nymphs11
142017Alpago1Adult Male1
152017Limana16Nymphs7
Figure A1. Phylogenetic tree based on Fla gene partial sequences of Borrelia burgdorferi sensu lato. Sequence dataset was analyzed using MEGA v6.0 [103]; the tree was constructed using the neighbor-joining (NJ) method and bootstrap analysis (1000 replicates) based on the ClustalW algorithm. Significant bootstrapping values (>70%) are shown on the nodes. The tree shows the representative sequences of this study based on years and sites. ● Reference sequences from Genbank.
Figure A1. Phylogenetic tree based on Fla gene partial sequences of Borrelia burgdorferi sensu lato. Sequence dataset was analyzed using MEGA v6.0 [103]; the tree was constructed using the neighbor-joining (NJ) method and bootstrap analysis (1000 replicates) based on the ClustalW algorithm. Significant bootstrapping values (>70%) are shown on the nodes. The tree shows the representative sequences of this study based on years and sites. ● Reference sequences from Genbank.
Pathogens 10 01181 g0a1
Figure A2. Phylogenetic tree based on rOmpB gene partial sequences of Rickettsia spp. Sequence dataset was analyzed using MEGA v6.0 [103]; the tree was constructed using the neighbor-joining (NJ) method and bootstrap analysis (1000 replicates) based on the ClustalW algorithm. Significant bootstrapping values (>70%) are shown on the nodes. Rickettsia conorii was used as outgroup. The tree shows the representative sequences of this study based on years and sites. ● Reference sequences from Genbank.
Figure A2. Phylogenetic tree based on rOmpB gene partial sequences of Rickettsia spp. Sequence dataset was analyzed using MEGA v6.0 [103]; the tree was constructed using the neighbor-joining (NJ) method and bootstrap analysis (1000 replicates) based on the ClustalW algorithm. Significant bootstrapping values (>70%) are shown on the nodes. Rickettsia conorii was used as outgroup. The tree shows the representative sequences of this study based on years and sites. ● Reference sequences from Genbank.
Pathogens 10 01181 g0a2

References

  1. Rochlin, I.; Toledo, A. Emerging tick-borne pathogens of public health importance: A mini-review. J. Med. Microbiol. 2020, 69, 781–791. [Google Scholar] [CrossRef]
  2. Mac, S.; da Silva, S.R.; Sander, B. The economic burden of lyme disease and the cost-effectiveness of lyme disease interventions: A scoping review. PLoS ONE 2019, 14, 1–17. [Google Scholar] [CrossRef]
  3. Sprong, H.; Azagi, T.; Hoornstra, D.; Nijhof, A.M.; Knorr, S.; Baarsma, M.E.; Hovius, J.W. Control of Lyme borreliosis and other Ixodes ricinus-borne diseases. Parasit Vectors 2018, 11, 1–16. [Google Scholar] [CrossRef] [Green Version]
  4. Banović, P.; Díaz-Sánchez, A.A.; Galon, C.; Foucault-Simonin, A.; Simin, V.; Mijatović, D.; Papić, L.; Wu-Chuang, A.; Obregón, D.; Moutailler, S.; et al. A One Health approach to study the circulation of tick-borne pathogens: A preliminary study. One Health 2021, 13, 100270. [Google Scholar] [CrossRef]
  5. Estrada-Peña, A.; De La Fuente, J. The ecology of ticks and epidemiology of tick-borne viral diseases. Antivir. Res. 2014, 108, 104–128. [Google Scholar] [CrossRef]
  6. Rizzoli, A.; Silaghi, C.; Obiegala, A.; Rudolf, I.; Hubálek, Z.; Földvári, G.; Plantard, O.; Vayssier-Taussat, M.; Bonnet, S.; Špitalská, E.; et al. Ixodes ricinus and its transmitted pathogens in urban and peri-urban areas in Europe: New hazards and relevance for public health. Front. Public Health 2014, 2, 251. [Google Scholar] [CrossRef] [PubMed]
  7. Maioli, G.; Pistone, D.; Bonilauri, P.; Pajoro, M.; Barbieri, I.; Patrizia, M.; Vicari, N.; Dottori, M. Ethiological agents of rickettsiosis and anaplasmosis in ticks collected in Emilia-Romagna region (Italy) during 2008 and 2009. Exp. Appl. Acarol. 2012, 57, 199–208. [Google Scholar] [CrossRef] [PubMed]
  8. Grochowska, A.; Milewski, R.; Pancewicz, S.; Dunaj, J.; Czupryna, P.; Milewska, A.J.; Róg-Makal, M.; Grygorczuk, S.; Moniuszko-Malinowska, A. Comparison of tick-borne pathogen prevalence in Ixodes ricinus ticks collected in urban areas of Europe. Sci. Rep. 2020, 10, 1–9. [Google Scholar] [CrossRef] [PubMed]
  9. Van den Wijngaard, C.C.; Hofhuis, A.; Simões, M.; Rood, E.; van Pelt, W.; Zeller, H.; Van Bortel, W. Surveillance perspective on Lyme borreliosis across the European Union and European Economic Area. Eurosurveillance 2017, 22, 1–9. [Google Scholar] [CrossRef]
  10. Kwak, M.; Somerville, C.; van Nunen, S. A novel Australian tick Ixodes (Endopalpiger) australiensis inducing mammalian meat allergy after tick bite. Asia Pac allergy. 2018, 8, e31. [Google Scholar] [CrossRef] [PubMed]
  11. Lejal, E.; Marsot, M.; Chalvet-Monfray, K.; Cosson, J.-F.; Moutailler, S.; Vayssier-Taussat, M.; Pollet, T. A three-years assessment of Ixodes ricinus-borne pathogens in a French peri-urban forest. Parasit Vectors 2019, 12, 1–14. [Google Scholar] [CrossRef] [Green Version]
  12. Ondruš, J.; Kulich, P.; Sychra, O.; Široký, P. Putative morphology of Neoehrlichia mikurensis in salivary glands of Ixodes ricinus. Sci. Rep. 2020, 10, 1–5. [Google Scholar] [CrossRef]
  13. Diza, E.; Papa, A.; Vezyri, E.; Tsounis, S.; Milonas, I.; Antoniadis, A. Borrelia valaisiana in cerebrospinal fluid. Emerg. Infect. Dis. 2004, 10, 1692–1693. [Google Scholar] [CrossRef]
  14. Escudero, R.; Barral, M.; Pérez, A.; Mar Vitutia, M.; García-Pérez, A.L.; Jiménez, S.; Sellek, R.E.; Anda, P. Molecular and pathogenic characterization of Borrelia burgdorferi sensu lato isolates from Spain. J. Clin. Microbiol. 2000, 38, 4026–4033. [Google Scholar] [CrossRef] [PubMed] [Green Version]
  15. Tobudic, S.; Burgmann, H.; Stanek, G.; Winkler, S.; Schötta, A.; Obermüller, M.; Markowicz, M.; Lagler, H. Human Borrelia miyamotoi Infection, Austria. Emerg. Infect. Dis. 2020, 26, 2201–2204. [Google Scholar] [CrossRef] [PubMed]
  16. Collares-Pereira, M.; Couceiro, S.; Franca, I.; Kurtenbach, K.; Schäfer, S.M.; Vitorino, L.; Gonçalves, L.; Baptista, S.; Vieira, M.L.; Cunha, C. First Isolation of Borrelia lusitaniae from a Human Patient. J. Clin. Microbiol. 2004, 42, 1316–1318. [Google Scholar] [CrossRef] [PubMed] [Green Version]
  17. Hovius, J.W.R.; De Wever, B.; Sohne, M.; Brouwer, M.C.; Coumou, J.; Wagemakers, A.; Oei, A.; Knol, H.; Narasimhan, S.; Hodiamont, C.J.; et al. A case of meningoencephalitis by the relapsing fever spirochaete Borrelia miyamotoi in Europe. Lancet 2013, 382, 658. [Google Scholar] [CrossRef] [Green Version]
  18. Krause, P.J. Human babesiosis. Int. J. Parasitol. 2019, 49, 165–174. [Google Scholar] [CrossRef] [PubMed]
  19. Balmelli, T.; Piffaretti, J.-C. Association between different c manifestations of Lyme disease and of Borrelia burgdorferi sensu lato. Res. Microbiol. 1995, 146, 329–340. [Google Scholar] [CrossRef]
  20. Van Dam, A.P.; Kuiper, H.; Vos, K.; Widjojokusumo, A.; De Jongh, B.M.; Spanjaard, L.; Ramselaar, A.C.P.; Kramer, M.D.; Dankert, J. Different Genospecies of Borrelia burgdorferi Are Associated with Distinct Clinical Manifestations of Lyme Borreliosis. Clin. Infect. Dis. 1993, 17, 708–717. [Google Scholar] [CrossRef] [PubMed]
  21. Ružić-Sabljić, E.; Cerar, T. Borrelia Genotyping in Lyme Disease. Open Dermatol. J. 2016, 10, 6–14. [Google Scholar] [CrossRef] [Green Version]
  22. Huhn, C.; Winter, C.; Wolfsperger, T.; Wüppenhorst, N.; Strašek Smrdel, K.; Skuballa, J.; Pfäffle, M.; Petney, T.; Silaghi, C.; Dyachenko, V.; et al. Analysis of the population structure of Anaplasma phagocytophilum using multilocus sequence typing. PLoS ONE 2014, 9, e93725. [Google Scholar] [CrossRef] [Green Version]
  23. Henningsson, A.J.; Wilhelmsson, P.; Gyllemark, P.; Kozak, M.; Matussek, A.; Nyman, D.; Ekerfelt, C.; Lindgren, P.E.; Forsberg, P. Low risk of seroconversion or clinical disease in humans after a bite by an Anaplasma phagocytophilum-infected tick. Ticks Tick-Borne Dis. 2015, 6, 787–792. [Google Scholar] [CrossRef] [Green Version]
  24. Mediavilla, J.R.; Chen, L.; Uhlemann, A.C.; Hanson, B.M.; Rosentha, M.; Stanak, K.; Koll, B.; Fries, B.C.; Armellino, D.; Schilling, M.E.; et al. Rickettsia monacensis as Cause of Mediterranean Spotted Fever–like Illness, Italy. Emerg. Infect. Dis. 2012, 18, 700–702. [Google Scholar] [CrossRef]
  25. Nilsson, K.; Liu, A.; Påhlson, C.; Lindquist, O. Demonstration of intracellular microorganisms (Rickettsia spp., Chlamydia pneumoniae, Bartonella spp.) in pathological human aortic valves by PCR. J. Infect. 2005, 50, 46–52. [Google Scholar] [CrossRef] [PubMed]
  26. Fournier, P.E.; Allombert, C.; Supputamongkol, Y.; Caruso, G.; Brouqui, P.; Raoult, D. Aneruptive Fever Associated with Antibodies to Rickettsia helvetica in Europe and Thailand. J. Clin. Microbiol. 2004, 42, 816–818. [Google Scholar] [CrossRef] [PubMed] [Green Version]
  27. Welinder-Olsson, C.; Kjellin, E.; Vaht, K.; Jacobsson, S.; Wennerås, C. First case of human “Candidatus neoehrlichia mikurensis” infection in a febrile patient with chronic lymphocytic leukemia. J. Clin. Microbiol. 2010, 48, 1956–1959. [Google Scholar] [CrossRef] [PubMed] [Green Version]
  28. Portillo, A.; Santibáñez, P.; Palomar, A.M.; Santibáñez, S.; Oteo, J.A. ‘Candidatus Neoehrlichia mikurensis’ in Europe. New Microbes New Infect. 2018, 22, 30–36. [Google Scholar] [CrossRef] [PubMed]
  29. Cassini, R.; Bonoli, C.; Montarsi, F.; Tessarin, C.; Marcer, F.; Galuppi, R. Detection of Babesia EU1 in Ixodes ricinus ticks in northern Italy. Vet. Parasitol. 2010, 171, 151–154. [Google Scholar] [CrossRef] [PubMed]
  30. Baráková, I.; Derdáková, M.; Selyemová, D.; Chvostáč, M.; Špitalská, E.; Rosso, F.; Collini, M.; Rosà, R.; Tagliapietra, V.; Girardi, M.; et al. Tick-borne pathogens and their reservoir hosts in northern Italy. Ticks Tick-Borne Dis. 2018, 9, 164–170. [Google Scholar] [CrossRef] [PubMed]
  31. Lempereur, L.; De Cat, A.; Caron, Y.; Madder, M.; Claerebout, E.; Saegerman, C.; Losson, B. First Molecular Evidence of Potentially Zoonotic Babesia microti and Babesia sp. EU1 in Ixodes ricinus Ticks in Belgium. Vector-Borne Zoonotic Dis. 2011, 11, 125–130. [Google Scholar] [CrossRef] [PubMed] [Green Version]
  32. Schorn, S.; Pfister, K.; Reulen, H.; Mahling, M.; Silaghi, C. Occurrence of Babesia spp., Rickettsia spp. and Bartonella spp. in Ixodes ricinus in Bavarian public parks, Germany. Parasit Vectors 2011, 4, 1–9. [Google Scholar] [CrossRef] [PubMed] [Green Version]
  33. Reis, C.; Cote, M.; Paul, R.E.L.; Bonnet, S. Questing ticks in suburban forest are infected by at least six tick-borne pathogens. Vector-Borne Zoonotic Dis. 2011, 11, 907–916. [Google Scholar] [CrossRef] [PubMed]
  34. Herwaldt, B.L.; Cacciò, S.; Gherlinzoni, F.; Aspöck, H.; Slemenda, S.B.; Piccaluga, P.; Martinelli, G.; Edelhofer, R.; Hollenstein, U.; Poletti, G.; et al. Molecular Characterization of a Non–Babesia divergens Organism Causing Zoonotic Babesiosis in Europe. Emerg. Infect. Dis. 2003, 9, 942–955. [Google Scholar] [CrossRef] [PubMed]
  35. Häselbarth, K.; Tenter, A.M.; Brade, V.; Krieger, G.; Hunfeld, K.P. First case of human babesiosis in Germany—Clinical presentation and molecular characterisation of the pathogen. Int. J. Med. Microbiol. 2007, 297, 197–204. [Google Scholar] [CrossRef] [PubMed]
  36. Duh, D.; Petrovec, M.; Bidovec, A.; Avsic-Zupanc, T. Cervids as Babesiae Hosts, Slovenia. Emerg. Infect. Dis. 2005, 11, 1121–1123. [Google Scholar] [CrossRef]
  37. Hunfeld, K.P.; Hildebrandt, A.; Gray, J.S. Babesiosis: Recent insights into an ancient disease. Int. J. Parasitol. 2008, 38, 1219–1237. [Google Scholar] [CrossRef]
  38. Ravagnan, S.; Tomassone, L.; Montarsi, F.; Krawczyk, A.I.; Mastrorilli, E.; Sprong, H.; Milani, A.; Rossi, L.; Capelli, G. First detection of Borrelia miyamotoi in Ixodes ricinus ticks from northern Italy. Parasit Vectors 2018, 11, 1–4. [Google Scholar] [CrossRef] [PubMed] [Green Version]
  39. Telford, S.R.; Goethert, H.K.; Molloy, P.J.; Berardi, V.P.; Chowdri, H.R.; Gugliotta, J.L.; Lepore, T.J. Borrelia miyamotoi Disease: Neither Lyme Disease nor Relapsing Fever. Clin. Lab. Med. 2015, 35, 867–882. [Google Scholar] [CrossRef] [Green Version]
  40. Medlock, J.M.; Vaux, A.G.C. Seasonal dynamics and habitat specificity of mosquitoes in an English wetland: Implications for UK wetland management and restoration. J. Vector Ecol. 2015, 40, 90–106. [Google Scholar] [CrossRef]
  41. Cafiso, A.; Olivieri, E.; Floriano, A.M.; Chiappa, G.; Serra, V.; Sassera, D.; Bazzocchi, C. Investigation of Tick-Borne Pathogens in Ixodes ricinus in a Peri-Urban Park in Lombardy (Italy) Reveals the Presence of Emerging Pathogens. Pathogens 2021, 10, 732. [Google Scholar] [CrossRef] [PubMed]
  42. Rizzoli, A.; Rosà, R.; Mantelli, B.; Pecchioli, E.; Hauffe, H.; Tagliapietra, V.; Beninati, T.; Neteler, M.; Genchi, C. Ixodes ricinus, transmitted diseases and reservoirs. Parassitologia 2004, 46, 119–122. [Google Scholar]
  43. Nuti, M.; Serafini, D.A.; Bassetti, D.; Ghionni, A.; Russino, F.; Rombolà, P.; Macri, G.; Lillini, E. Ehrlichia Infection in Italy. Emerg. Infect. Dis. 1998, 4, 663–665. [Google Scholar] [CrossRef] [PubMed] [Green Version]
  44. Ciceroni, L.; Ciarrochi, S.; Ciervo, A.; Mondarini, V.; Guzzo, F.; Caruso, G.; Murgia, R.; Cinco, M. Isolation and characterization of Borrelia burgdorferi sensu lato strains in an area of Italy where Lyme borreliosis is endemic. J. Clin. Microbiol. 2001, 39, 2254–2260. [Google Scholar] [CrossRef] [Green Version]
  45. Amicizia, D.; Domnich, A.; Panatto, D.; Lai, P.L.; Cristina, M.L.; Avio, U.; Gasparini, R. Epidemiology of tick-borne encephalitis (TBE) in Europe and its prevention by available vaccines. Hum. Vaccines Immunother. 2013, 9, 1163–1171. [Google Scholar] [CrossRef] [Green Version]
  46. Rezza, G.; Farchi, F.; Pezzotti, P.; Ruscio, M.; Lo Presti, A.; Ciccozzi, M.; Mondardini, V.; Paternoster, C.; Bassetti, M.; Merelli, M.; et al. Tick-borne encephalitis in North-East Italy: A 14-year retrospective study, January 2000 to December 2013. Eurosurveillance 2015, 20, 30034. [Google Scholar] [CrossRef] [Green Version]
  47. Beltrame, A.; Laroche, M.; Degani, M.; Perandin, F.; Bisoffi, Z.; Raoult, D.; Parola, P. Tick-borne pathogens in removed ticks Veneto, northeastern Italy: A cross-sectional investigation. Travel Med. Infect. Dis. 2018, 26, 58–61. [Google Scholar] [CrossRef]
  48. Beltrame, A.; Rodari, P.; Mauroner, L.; Zanella, F.; Moro, L.; Bertoli, G.; Da Re, F.; Russo, F.; Napoletano, G.; Silva, R. Emergence of Lyme borreliosis in the province of Verona, Northern Italy: Five-years of sentinel surveillance. Ticks Tick-Borne Dis. 2021, 12, 101628. [Google Scholar] [CrossRef]
  49. Smith, R.; Takkinen, J. Lyme borreliosis: Europe-wide co-ordinated surveillance and action needed? Euro Surveill. 2006, 11, 2977. [Google Scholar] [CrossRef] [PubMed]
  50. Beauté, J.; Spiteri, G.; Warns-Petit, E.; Zeller, H. Tick-borne encephalitis in europe, 2012 to 2016. Eurosurveillance 2018, 23, 1–9. [Google Scholar] [CrossRef] [Green Version]
  51. Klitgaard, K.; Kjær, L.J.; Isbrand, A.; Hansen, M.F.; Bødker, R. Multiple infections in questing nymphs and adult female Ixodes ricinus ticks collected in a recreational forest in Denmark. Ticks Tick-Borne Dis. 2019, 10, 1060–1065. [Google Scholar] [CrossRef]
  52. Fernández-Soto, P.; Pérez-Sánchez, R.; Díaz Martín, V.; Encinas-Grandes, A.; Álamo Sanz, R. Rickettsia massiliae in ticks removed from humans in Castilla y León, Spain. Eur. J. Clin. Microbiol. Infect. Dis. 2006, 25, 811–813. [Google Scholar] [CrossRef] [PubMed]
  53. Pistone, D.; Pajoro, M.; Novakova, E.; Vicari, N.; Gaiardelli, C.; Viganò, R.; Luzzago, C.; Montagna, M.; Lanfranchi, P. Ticks and bacterial tick-borne pathogens in Piemonte region, Northwest Italy. Exp. Appl Acarol. 2017, 73, 477–491. [Google Scholar] [CrossRef]
  54. Mancini, F.; Vescio, M.F.; Toma, L.; Di Luca, M.; Severini, F.; Cacciò, S.M.; Mariano, C.; Nicolai, G.; Masci, V.L.; Fausto, A.M.; et al. Detection of tick-borne pathogens in ticks collected in the suburban area of Monte Romano, Lazio Region, Central Italy. Ann. Ist. Super. Sanita 2019, 55, 143–150. [Google Scholar]
  55. Parola, P.; Paddock, C.D.; Socolovschi, C.; Labruna, M.B.; Mediannikov, O.; Kernif, T.; Abdad, M.Y.; Stenos, J.; Bitam, I.; Fournier, P.E.; et al. Update on tick-borne rickettsioses around the world: A geographic approach. Clin. Microbiol. Rev. 2013, 26, 657–702. [Google Scholar] [CrossRef] [Green Version]
  56. Franke, J.; Meier, F.; Moldenhauer, A.; Straube, E.; Dorn, W.; Hildebrandt, A. Established and emerging pathogens in Ixodes ricinus ticks collected from birds on a conservation island in the Baltic Sea. Med. Vet. Entomol. 2010, 24, 425–432. [Google Scholar] [CrossRef]
  57. Floris, R.; Yurtman, A.N.; Margoni, E.F.; Mignozzi, K.; Boemo, B.; Altobelli, A.; Cinco, M. Detection and identification of Rickettsia species in the northeast of Italy. Vector-Borne Zoonotic Dis. 2008, 8, 777–782. [Google Scholar] [CrossRef]
  58. Capelli, G.; Ravagnan, S.; Montarsi, F.; Ciocchetta, S.; Cazzin, S.; Porcellato, E.; Babiker, A.M.; Cassini, R.; Salviato, A.; Cattoli, G.; et al. Occurrence and identification of risk areas of Ixodes ricinus-borne pathogens: A cost-effectiveness analysis in north-eastern Italy. Parasit Vectors 2012, 5, 1–10. [Google Scholar] [CrossRef] [Green Version]
  59. Pintore, M.D.; Ceballos, L.; Iulini, B.; Tomassone, L.; Pautasso, A.; Corbellini, D.; Rizzo, F.; Mandola, M.L.; Bardelli, M.; Peletto, S.; et al. Detection of Invasive Borrelia burgdorferi Strains in North-Eastern Piedmont, Italy. Zoonoses Public Health 2015, 62, 365–374. [Google Scholar] [CrossRef] [PubMed]
  60. Pecchioli, E.; Hauffe, H.C.; Tagliapietra, V.; Bandi, C.; Genchi, C.; Rizzoli, A. Genospecies of Borrelia burgdorferi sensu lato in Ixodes ricinus ticks from the Autonomous Province of Trento, Italy. Int. J. Med. Microbiol. 2007, 297, 53–59. [Google Scholar] [CrossRef] [PubMed]
  61. Pistone, D.; Pajoro, M.; Fabbi, M.; Vicari, N.; Marone, P.; Genchi, C.; Novati, S.; Sassera, D.; Epis, S.; Bandi, C. Lyme borreliosis, Po River Valley, Italy. Emerg. Infect. Dis. 2010, 16, 1289–1291. [Google Scholar] [CrossRef]
  62. Rauter, C.; Hartung, T. Prevalence of Borrelia burgdorferi sensu lato genospecies in Ixodes ricinus ticks in Europe: A metaanalysis. Appl. Environ. Microbiol. 2005, 71, 7203–7216. [Google Scholar] [CrossRef] [PubMed] [Green Version]
  63. Kybicová, K.; Baštová, K.; Malý, M. Detection of Borrelia burgdorferi sensu lato and Anaplasma phagocytophilum in questing ticks Ixodes ricinus from the Czech Republic. Ticks Tick. Borne. Dis. 2017, 8, 483–487. [Google Scholar] [CrossRef]
  64. Stańczak, J.; Gabre, R.M.; Kruminis-Łozowska, W.; Racewicz, M.; Kubica-Biernat, B. Ixodes ricinus as a vector of Borrelia burgdorferi sensu lato, Anaplasma phagocytophilum and Babesia microti in urban and suburban forests. Ann. Agric. Environ. Med. 2004, 11, 109–114. [Google Scholar]
  65. Blazejak, K.; Janecek, E.; Strube, C. A 10-year surveillance of Rickettsiales (Rickettsia spp. and Anaplasma phagocytophilum) in the city of Hanover, Germany, reveals Rickettsia spp. as emerging pathogens in ticks. Parasit Vectors 2017, 10, 1–10. [Google Scholar] [CrossRef] [Green Version]
  66. Welc-Falȩciak, R.; Kowalec, M.; Karbowiak, G.; Bajer, A.; Behnke, J.M.; Siński, E. Rickettsiaceae and Anaplasmataceae infections in Ixodes ricinus ticks from urban and natural forested areas of Poland. Parasit Vectors 2014, 7, 1–13. [Google Scholar] [CrossRef] [Green Version]
  67. Lommano, E.; Bertaiola, L.; Dupasquier, C.; Gern, L. Infections and coinfections of questing Ixodes ricinus ticks by emerging zoonotic pathogens in Western Switzerland. Appl. Environ. Microbiol. 2012, 78, 4606–4612. [Google Scholar] [CrossRef] [Green Version]
  68. Bonnet, S.; Jouglin, M.; L’hostis, M.; Chauvin, A. Babesia sp. EU1 from Roe Deer and Transmission within Ixodes ricinus. Emerg. Infect. Dis. 2007, 13, 1208. [Google Scholar] [CrossRef] [PubMed]
  69. Hildebrandt, A.; Hunfeld, K.P.; Baier, M.; Krumbholz, A.; Sachse, S.; Lorenzen, T.; Kiehntopf, M.; Fricke, H.J.; Straube, E. First confirmed autochthonous case of human Babesia microti infection in Europe. Eur. J. Clin. Microbiol. Infect. Dis. 2007, 26, 595–601. [Google Scholar] [CrossRef] [PubMed]
  70. Alfano, N.; Tagliapietra, V.; Rosso, F.; Ziegler, U.; Arnoldi, D.; Rizzoli, A. Tick-borne encephalitis foci in northeast Italy revealed by combined virus detection in ticks, serosurvey on goats and human cases. Emerg. Microbes Infect. 2020, 9, 474–484. [Google Scholar] [CrossRef]
  71. Rizzoli, A.; Hauffe, H.C.; Tagliapietra, V.; Neteler, M.; Rosà, R. Forest structure and roe deer abundance predict Tick-borne encephalitis risk in Italy. PLoS ONE 2009, 4, e4336. [Google Scholar] [CrossRef] [PubMed] [Green Version]
  72. Süss, J. Tick-borne encephalitis 2010: Epidemiology, risk areas, and virus strains in Europe and Asia-An overview. Ticks Tick-Borne. Dis. 2011, 2, 2–15. [Google Scholar] [CrossRef] [PubMed]
  73. Dobler, G.; Hufert, F.; Pfeffer, M.; Essbauer, S. Tick-Borne Encephalitis: From Microfocus to Human Disease. In Progress in Parasitology; Springer: Berlin/Heidelberg, Germany, 2011; pp. 323–331. [Google Scholar] [CrossRef]
  74. Randolph, S.E. The shifting landscape of tick-borne zoonoses: Tick-borne encephalitis and Lyme borreliosis in Europe. Philos. Trans. R. Soc. B Biol. Sci. 2001, 356, 1045–1056. [Google Scholar] [CrossRef] [PubMed] [Green Version]
  75. Otranto, D.; Dantas-Torres, F.; Giannelli, A.; Latrofa, M.S.; Cascio, A.; Cazzin, S.; Ravagnan, S.; Montarsi, F.; Zanzani, S.A.; Manfredi, M.T.; et al. Ticks infesting humans in Italy and associated pathogens. Parasit Vectors 2014, 7, 1–9. [Google Scholar] [CrossRef] [Green Version]
  76. Lernout, T.; De Regge, N.; Tersago, K.; Fonville, M.; Suin, V.; Sprong, H. Prevalence of pathogens in ticks collected from humans through citizen science in Belgium. Parasit Vectors 2019, 12, 1–11. [Google Scholar] [CrossRef]
  77. Moutailler, S.; Valiente Moro, C.; Vaumourin, E.; Michelet, L.; Tran, F.H.; Devillers, E.; Cosson, J.F.; Gasqui, P.; Van, V.T.; Mavingui, P.; et al. Co-infection of Ticks: The Rule Rather Than the Exception. PLoS Negl. Trop. Dis. 2016, 10, 1–17. [Google Scholar] [CrossRef] [Green Version]
  78. Raileanu, C.; Moutailler, S.; Pavel, I.; Porea, D.; Mihalca, A.D.; Savuta, G.; Vayssier-Taussat, M. Borrelia diversity and co-infection with other tick borne pathogens in ticks. Front. Cell. Infect. Microbiol. 2017, 7, 36. [Google Scholar] [CrossRef] [Green Version]
  79. Oechslin, C.P.; Heutschi, D.; Lenz, N.; Tischhauser, W.; Péter, O.; Rais, O.; Beuret, C.M.; Leib, S.L.; Bankoul, S.; Ackermann-Gäumann, R. Prevalence of tick-borne pathogens in questing Ixodes ricinus ticks in urban and suburban areas of Switzerland. Parasite Vectors 2017, 10, 1–18. [Google Scholar] [CrossRef] [Green Version]
  80. Swanson, S.J.; Neitzel, D.; Reed, K.D.; Belongia, E.A. Coinfections acquired from Ixodes ticks. Clin. Microbiol. Rev. 2006, 19, 708–727. [Google Scholar] [CrossRef] [Green Version]
  81. Bhanot, P.; Parveen, N. Investigating disease severity in an animal model of concurrent babesiosis and Lyme disease. Int. J. Parasitol. 2019, 49, 145–151. [Google Scholar] [CrossRef] [PubMed]
  82. Vassallo, M.; Pichon, B.; Cabaret, J.; Figureau, C.; Pérez-Eid, C. Methodology for sampling questing nymphs of Ixodes ricinus (Acari: Ixodidae), the principal vector of lyme disease in Europe. J. Med. Entomol. 2000, 37, 335–339. [Google Scholar] [CrossRef] [PubMed]
  83. Dantas-Torres, F.; Lia, R.P.; Capelli, G.; Otranto, D. Efficiency of flagging and dragging for tick collection. Exp. Appl. Acarol. 2013, 61, 119–127. [Google Scholar] [CrossRef] [PubMed]
  84. Dennis, D.T.; Piesman, J.F. Overview of Tick-Borne Infections of Humans. In: Tick-Borne Diseases of Humans. Emerg. Infect. Dis. 2005, 11, 3–11. [Google Scholar] [CrossRef]
  85. Pérez, D.; Kneubühler, Y.; Rais, O.; Gern, L. Seasonality of Ixodes ricinus ticks on vegetation and on rodents and Borrelia burgdorferi sensu lato genospecies diversity in two lyme borreliosis-endemic areas in Switzerland. Vector-Borne Zoonotic Dis. 2012, 12, 633–644. [Google Scholar] [CrossRef] [PubMed] [Green Version]
  86. Aureli, S.; Galuppi, R.; Ostanello, F.; Foley, J.E.; Bonoli, C.; Rejmanek, D.; Rocchi, G.; Orlandi, E.; Tampieri, M.P. Abundance of questing ticks and molecular evidence for pathogens in ticks in three parks of Emilia-Romagna region of Northern Italy. Ann. Agric. Environ. Med. 2015, 22, 459–466. [Google Scholar] [CrossRef]
  87. Van Gestel, M.; Verheyen, K.; Matthysen, E.; Heylen, D. Danger on the track? Tick densities near recreation infrastructures in forests. Urban. For. Urban. Green. 2021, 59, 126994. [Google Scholar] [CrossRef]
  88. Mysterud, A.; Stigum, V.M.; Seland, I.V.; Herland, A.; Easterday, W.R.; Jore, S.; Østerås, O.; Viljugrein, H. Tick abundance, pathogen prevalence, and disease incidence in two contrasting regions at the northern distribution range of Europe. Parasit Vectors 2018, 11, 1–11. [Google Scholar] [CrossRef] [Green Version]
  89. Medlock, J.M.; Hansford, K.M.; Bormane, A.; Derdakova, M.; Estrada-Peña, A.; George, J.; Golovljova, I.; Jaenson, T.G.T.; Jensen, J.-K.; Jensen, P.M.; et al. Driving forces for changes in geographical distribution of Ixodes ricinus ticks in Europe. Parasit Vectors 2013, 6, 1–11. [Google Scholar] [CrossRef] [Green Version]
  90. Iori, A.; Di Giulio, A.; De Felici, S. Zecche d’Italia. In Mappe Parassitologiche; Rolando: Napoli, Italy, 2005; Volume 6, pp. 3–199. [Google Scholar]
  91. Manilla, G. Fauna d’Italia. Acari Ixodida; Calderini: Bologna, Italy, 1998. [Google Scholar]
  92. Schwaiger, M.; Cassinotti, P. Development of a quantitative real-time RT-PCR assay with internal control for the laboratory detection of tick borne encephalitis virus (TBEV) RNA. J. Clin. Virol. 2003, 27, 136–145. [Google Scholar] [CrossRef]
  93. Skotarczak, B.; Wodecka, B.; Cichocka, A. Coexistence DNA of Borrelia burgdorferi sensu lato and Babesia microti in Ixodes ricinus ticks from north-western Poland. Ann. Agric. Environ. Med. 2002, 9, 25–28. [Google Scholar]
  94. Da Rold, G.; Ravagnan, S.; Soppelsa, F.; Porcellato, E.; Soppelsa, M.; Obber, F.; Citterio, C.V.; Carlin, S.; Danesi, P.; Montarsi, F.; et al. Ticks are more suitable than red foxes for monitoring zoonotic tick-borne pathogens in northeastern Italy. Parasit Vectors 2018, 11, 1–10. [Google Scholar] [CrossRef] [Green Version]
  95. Smith, J.; Mcelhinney, L.M.; Heaton, P.R.; Black, E.M.; Lowings, J.P. Assessment of template quality by the incorporation of an internal control into a RT-PCR for the detection of rabies and rabies-related viruses. J. Virol. Methods 2000, 84, 107–115. [Google Scholar] [CrossRef]
  96. Salomon, J.; Hamer, S.A.; Swei, A. A Beginner’s guide to collecting questing hard ticks (acari: Ixodidae): A standardized tick dragging protocol. J. Insect Sci. 2020, 20, 11. [Google Scholar] [CrossRef] [PubMed]
  97. McLure, A. Prevalence and Regression for Pool-Tested (Group-Tested) Data. Available online: https://github.com/AngusMcLure/PoolTestR. (accessed on 10 August 2021).
  98. R Development Core Team. R: A Language and Environment for Statistical Computing. Vienna: R Foundation for Statistical Computing. Available online: http://www.r-project.org/ (accessed on 10 August 2021).
  99. Hadley, W. Easily Install and Load the “Tidyverse”. Available online: https://tidyverse.tidyverse.org (accessed on 10 August 2021).
  100. Massung, R.F.; Slater, K.G. Comparison of PCR assays for detection of the agent of human granulocytic ehrlichiosis, Anaplasma phagocytophilum. J. Clin. Microbiol. 2003, 41, 717–722. [Google Scholar] [CrossRef] [Green Version]
  101. Choi, Y.-J.; Jang, W.-J.; Kim, J.-H.; Ryu, J.-S.; Lee, S.-H.; Park, K.-H.; Paik, H.-S.; Koh, Y.-S.; Choi, M.-S.; Kim, I.-S. Spotted Fever Group and Typhus Group Rickettsioses in Humans, South Korea. Emerg. Infect. Dis. 2005, 11, 237–244. [Google Scholar] [CrossRef] [PubMed]
  102. Casati, S.; Sager, H.; Gern, L.; Piffaretti, J.C. Presence of potentially pathogenic Babesia sp. for human in Ixodes ricinus in Switzerland. Ann. Agric. Env. Med. 2006, 13, 65–70. [Google Scholar]
  103. Tamura, K.; Stecher, G.; Peterson, D.; Filipski, A.; Kumar, S. MEGA6: Molecular Evolutionary Genetics Analysis version 6.0. Mol. Biol. Evol. 2013, 30, 2725–2729. [Google Scholar] [CrossRef] [PubMed] [Green Version]
Figure 1. Number of pools negative (0) or positive for 1, 2, or 3 TBPs per tick stage collected monthly during 2011–2017 (A) and per year (B). Axes x (Month): 4 = April, 6 = June, 8 = August, 10 = October.
Figure 1. Number of pools negative (0) or positive for 1, 2, or 3 TBPs per tick stage collected monthly during 2011–2017 (A) and per year (B). Axes x (Month): 4 = April, 6 = June, 8 = August, 10 = October.
Pathogens 10 01181 g001
Figure 2. Occurrence of TBPs detected in monitored municipalities in Belluno province during 2011–2017.
Figure 2. Occurrence of TBPs detected in monitored municipalities in Belluno province during 2011–2017.
Pathogens 10 01181 g002
Table 1. Number (N) of adults, nymphs, and larvae of I. ricinus collected monthly during the seven years of surveillance (2011–2017) in Belluno Province and mean number of ticks collected per sampling.
Table 1. Number (N) of adults, nymphs, and larvae of I. ricinus collected monthly during the seven years of surveillance (2011–2017) in Belluno Province and mean number of ticks collected per sampling.
MonthYearsN SamplingN AdultsN NymphsN LarvaeN Total TicksN Mean/Sampling
April2012, 20141626152318111.3
May2011–20154079722080120.0
June2011–201738124533065717.3
July2011–20171914105501698.9
August2013, 2016–201762131162.7
September2011–2017331120213735010.6
October2011, 2013–2017291525813240514.0
November2011, 2013, 2015547788917.8
Total2011–20171862752062331266814.3
Table 2. Monthly number of total and TBP-positive pools and pool positivity rate (PPR) in Belluno province (2011–2017).
Table 2. Monthly number of total and TBP-positive pools and pool positivity rate (PPR) in Belluno province (2011–2017).
MonthYearsN Positive Pool/N Total PoolPPR (%)
April2012, 201414/4829.2
May2011–201576/17443.7
June2011–201773/19238.0
July2011–20178/3920.5
August2013, 2016–20172/825.0
September2011–201723/5839.7
October2011, 2013–201727/6144.3
November2011, 2013, 201510/1662.5
Total2011–2017233/59639.1
Table 3. Number of positive pools per each TBP, prevalence, and associated 95% confidence interval (CI 95%) in adults, pooled larvae, and nymphs of ticks collected in Belluno province from 2011 to 2017.
Table 3. Number of positive pools per each TBP, prevalence, and associated 95% confidence interval (CI 95%) in adults, pooled larvae, and nymphs of ticks collected in Belluno province from 2011 to 2017.
StageTPBs Number of Positive PoolPrevalenceCI 95% (CI Low-CI High)
LarvaeRickettsia helvetica31.00.2–2.5
Neoehrlichia mikurensis10.30.0–1.3
Total41.30.1–1.9
NymphsRickettsia helvetica673.72.9–4.7
Rickettsia monacensis70.30.1–0.7
Borrelia afzelii331.71.2–2.3
Borrelia burgdoferi s.s. 100.50.2–0.9
Borrelia garinii50.20.0–0.5
Borrelia valaisiana40.20.0–0.5
Anaplasma phagocytophilum542.92.2–3.8
Neoehrlichia mikurensis311.61.1–2.2
Babesia venatorum10.10.0–0.3
Total21211.20.9–1.8
AdultsRickettsia helvetica196.94.2–10.6
Rickettsia monacensis51.80.6–4.2
Borrelia afzelii72.61.0–5.2
Borrelia burgdoferi s.s.186.63.9–10.2
Borrelia valaisiana20.80.1–2.6
Anaplasma phagocytophilum217.64.8–11.4
Neoehrlichia mikurensis82.91.3–5.7
Total8029.22.3–7.1
Note: Babesia venatorum screening started in 2013.
Table 4. Co-infection detected in I. ricinus in single adults.
Table 4. Co-infection detected in I. ricinus in single adults.
TBPs Sex
Rickettsia helvetica + Borrelia afzeliiM
Rickettsia helvetica + Anaplasma phagocytophilumF
Rickettsia monacensis + Anaplasma phagocytophilumM
Rickettsia monacensis + Neoehrlichia mikurensisM
Borrelia burgdoferi s.s. + Anaplasma phagocytophilumF
Note: F = female and M = male.
Table 5. Multiple detection of TBPs in pooled I. ricinus nymphs (combination of three and two TBPs in the first and second box, respectively).
Table 5. Multiple detection of TBPs in pooled I. ricinus nymphs (combination of three and two TBPs in the first and second box, respectively).
TBPs CombinationN Pool
Rickettsia helvetica + Borrelia garinii + Anaplasma phagocytophilum1
Rickettsia helvetica + Borrelia burgdoferi s.s. + Anaplasma phagocytophilum1
Rickettsia helvetica + Borrelia afzelii + Neoehrlichia mikurensis2
Rickettsia helvetica + Borrelia afzelii + Anaplasma phagocytophilum2
Rickettsia helvetica + Anaplasma phagocytophilum + Neoehrlichia mikurensis1
Borrelia afzelii + Anaplasma phagocytophilum + Neoehrlichia mikurensis1
Rickettsia helvetica + Rickettsia monacensis1
Rickettsia helvetica + Borrelia afzelii9
Rickettsia helvetica+ Borrelia burgdoferi s.s.1
Rickettsia helvetica + Borrelia valaisiana1
Rickettsia helvetica + Anaplasma phagocytophilum12
Rickettsia helvetica + Neoehrlichia mikurensis5
Rickettsia monacensis + Borrelia afzelii1
Rickettsia monacensis + Neoehrlichia mikurensis1
Borrelia afzelii + Anaplasma phagocytophilum2
Borrelia afzelii + Neoehrlichia mikurensis4
Borrelia burgdoferi s.s. + Anaplasma phagocytophilum4
Borrelia burgdoferi s.s. + Neoehrlichia mikurensis1
Table 6. Annual prevalence, mean prevalence, 95% confidence interval, and number of TBPs positive/total pools in each monitored municipality in Belluno province (2011–2017).
Table 6. Annual prevalence, mean prevalence, 95% confidence interval, and number of TBPs positive/total pools in each monitored municipality in Belluno province (2011–2017).
MunicipalityAnnual TBPs PrevalenceMean TBPs PrevalenceCI 95%
(CI Low-CI High)
Number of
Positive/Total Pools
2011201220132014201520162017
Alpago44.444.416.5–75.14/8
Belluno0.028.85.319.418.423.713.16.4–22.89/34
Cencenighe0.00.00.0–85.30/1
Cesiomaggiore0.013.913.90.010.85.0–19.78/21
Feltre15.515.51.0–28.91/4
La Valle Agordina100.0100.02.6–100.01/1
Lentiai30.1138.16.4–93.52/3
Limana100.09.111.07.66.77.38.64.8–13.913/35
Longarone0.00.00.0–61.70/2
Lorenzago di Cadore19.333.30.019.73.4–52.42/7
Ospitale di Cadore50.050.03.8–96.21/2
Ponte nelle Alpi27.87.120.319.30.025.014.57.5–24.310/36
Quero-Vas15.415.42.7–40.42/12
Rivamonte Agordino12.612.60.8–45.61/4
Sedico17.615.719.933.021.213.617.814.4–21.690/174
Sospirolo9.25.16.750.47.79.88.36.7–10.285/239
Soverzene1.00.0-33.32.3–83.91/2
Sovramonte24.00.09.60.6–36.71/4
Taibon Agordino15.933.321.73.9–54.62/4
Tambre0.00.00.00–38.10/3
Total19.031.124.516.612.414.430.821.74.4–50.2233/596
Note: −= not monitored; CI = confidence interval.
Publisher’s Note: MDPI stays neutral with regard to jurisdictional claims in published maps and institutional affiliations.

Share and Cite

MDPI and ACS Style

Bertola, M.; Montarsi, F.; Obber, F.; Da Rold, G.; Carlin, S.; Toniolo, F.; Porcellato, E.; Falcaro, C.; Mondardini, V.; Ormelli, S.; et al. Occurrence and Identification of Ixodes ricinus Borne Pathogens in Northeastern Italy. Pathogens 2021, 10, 1181. https://doi.org/10.3390/pathogens10091181

AMA Style

Bertola M, Montarsi F, Obber F, Da Rold G, Carlin S, Toniolo F, Porcellato E, Falcaro C, Mondardini V, Ormelli S, et al. Occurrence and Identification of Ixodes ricinus Borne Pathogens in Northeastern Italy. Pathogens. 2021; 10(9):1181. https://doi.org/10.3390/pathogens10091181

Chicago/Turabian Style

Bertola, Michela, Fabrizio Montarsi, Federica Obber, Graziana Da Rold, Sara Carlin, Federica Toniolo, Elena Porcellato, Christian Falcaro, Valeria Mondardini, Silvia Ormelli, and et al. 2021. "Occurrence and Identification of Ixodes ricinus Borne Pathogens in Northeastern Italy" Pathogens 10, no. 9: 1181. https://doi.org/10.3390/pathogens10091181

APA Style

Bertola, M., Montarsi, F., Obber, F., Da Rold, G., Carlin, S., Toniolo, F., Porcellato, E., Falcaro, C., Mondardini, V., Ormelli, S., & Ravagnan, S. (2021). Occurrence and Identification of Ixodes ricinus Borne Pathogens in Northeastern Italy. Pathogens, 10(9), 1181. https://doi.org/10.3390/pathogens10091181

Note that from the first issue of 2016, this journal uses article numbers instead of page numbers. See further details here.

Article Metrics

Back to TopTop