In Vitro Evaluation of Acute Toxicity of Five Citrus spp. Essential Oils towards the Parasitic Mite Varroa destructor
Abstract
:1. Introduction
2. Results
2.1. Chemical Characterization
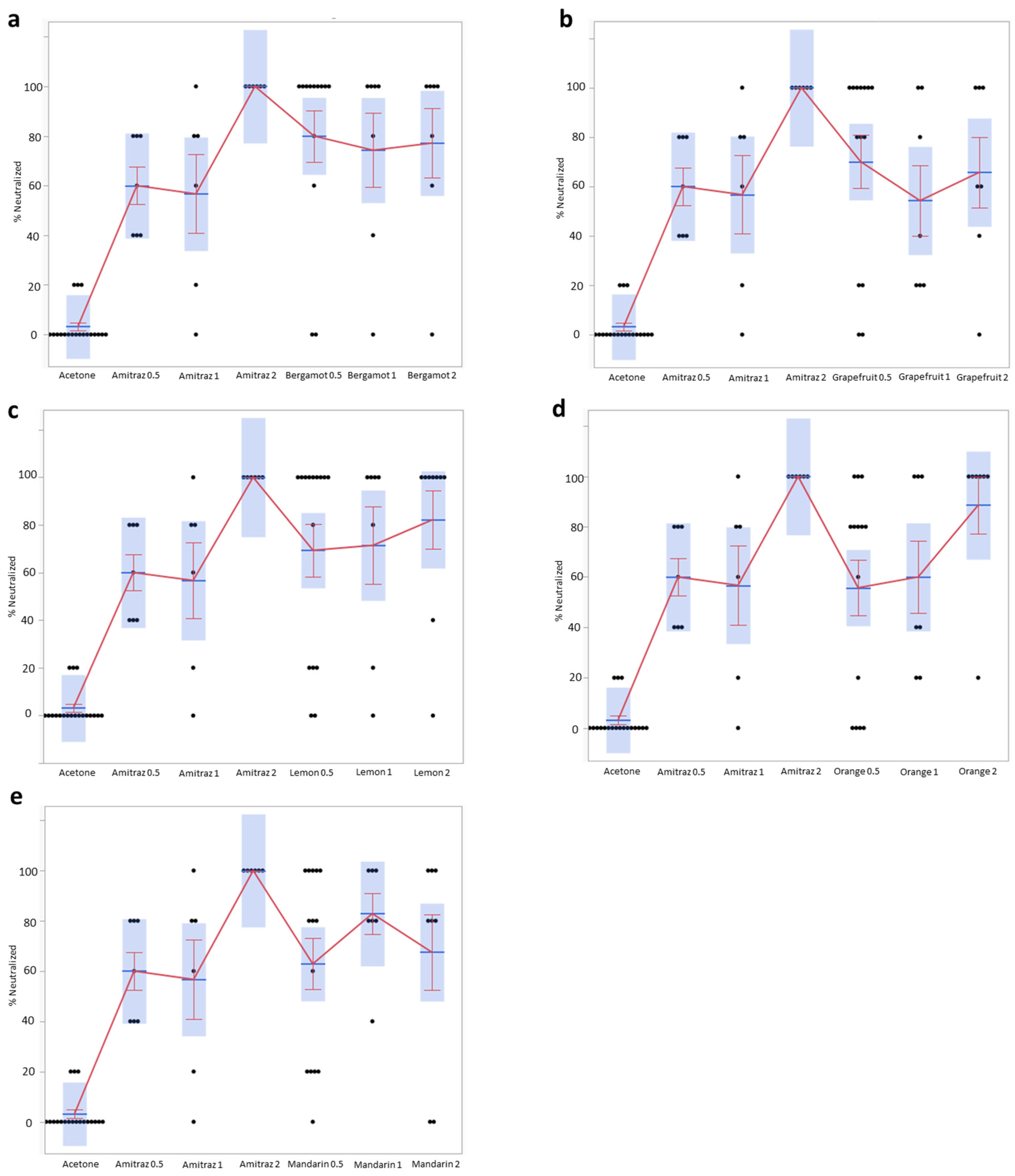
2.2. Screening Natural Compounds for Their Toxicity to V. destructor
2.3. Screening for Toxicity towards Honey Bees
3. Discussion
4. Materials and Methods
4.1. Essential Oils Used for the Experiments
4.2. Gas Chromatography-Mass Spectrometry (GC-MS)
4.3. Varroa Destructor: Toxicity Evaluation
4.4. Honey Bee Workers: Toxicity Evaluation
5. Conclusions
Author Contributions
Funding
Institutional Review Board Statement
Data Availability Statement
Conflicts of Interest
References
- Klein, A.-M.; Vaissière, B.E.; Cane, J.H.; Steffan-Dewenter, I.; Cunningham, S.A.; Kremen, C.; Tscharntke, T. Importance of pollinators in changing landscapes for world crops. Proc. R. Soc. B Biol. Sci. 2007, 274, 303–313. [Google Scholar] [CrossRef] [PubMed] [Green Version]
- Gallai, N.; Salles, J.-M.; Settele, J.; Vaissière, B.E. Economic valuation of the vulnerability of world agriculture confronted with pollinator decline. Ecol. Econ. 2009, 68, 810–821. [Google Scholar] [CrossRef]
- Breeze, T.D.; Bailey, A.P.; Balcombe, K.G.; Potts, S.G. Pollination services in the UK: How important are honeybees? Agric. Ecosyst. Environ. 2011, 142, 137–143. [Google Scholar] [CrossRef] [Green Version]
- Corbet, S.A.; Williams, I.H.; Osborne, J.L. Bees and the Pollination of Crops and Wild Flowers in the European Community. Bee World 1991, 72, 47–59. [Google Scholar] [CrossRef]
- Morse, R.A.; Calderone, N.W. The value of honey bees as pollinators of US crops in 2000. Bee Cult. 2000, 128, 1–15. [Google Scholar]
- Castro, S.L. Propolis: Biological and Pharmacological Activities. Therapeutic Uses of This Bee-product. Annu. Rev. Biomed. Sci. 2001, 3, 49–83. [Google Scholar] [CrossRef]
- Nagai, T.; Inoue, R. Preparation and the functional properties of water extract and alkaline extract of royal jelly. Food Chem. 2004, 84, 181–186. [Google Scholar] [CrossRef]
- Eteraf-Oskouei, T.; Najafi, M. Traditional and Modern Uses of Natural Honey in Human Diseases: A Review. Iran. J. Basic Med. Sci. 2013, 16, 731–742. [Google Scholar]
- Bixby, M.; Hoover, S.E.; McCallum, R.; Ibrahim, A.; Ovinge, L.; Olmstead, S.; Pernal, S.F.; Zayed, A.; Foster, L.J.; Guarna, M.M. Honey Bee Queen Production: Canadian Costing Case Study and Profitability Analysis. J. Econ. Entomol. 2020, 113, 1618–1627. [Google Scholar] [CrossRef]
- Vanengelsdorp, D.; Evans, J.D.; Saegerman, C.; Mullin, C.; Haubruge, E.; Nguyen, B.K.; Frazier, M.; Frazier, J.; Cox-Foster, D.; Chen, Y.; et al. Colony Collapse Disorder: A Descriptive Study. PLoS ONE 2009, 4, e6481. [Google Scholar] [CrossRef]
- Neumann, P.; Carreck, N. Honey bee colony losses. J. Apic. Res. 2010, 49, 1–6. [Google Scholar] [CrossRef] [Green Version]
- Goblirsch, M. Nosema ceranae disease of the honey bee (Apis mellifera). Apidologie 2018, 49, 131–150. [Google Scholar] [CrossRef] [Green Version]
- Dietemann, V.; Ellis, J.D.; Neumann, P. The COLOSS BEEBOOK Volume I, Standard methods for Apis mellifera research: Introduction. J. Apic. Res. 2013, 52, 1–4. [Google Scholar] [CrossRef] [Green Version]
- Traynor, K.S.; Mondet, F.; de Miranda, J.R.; Techer, M.; Kowallik, V.; Oddie, M.A.; Chantawannakul, P.; McAfee, A. Varroa destructor: A Complex Parasite, Crippling Honey Bees Worldwide. Trends Parasitol. 2020, 36, 592–606. [Google Scholar] [CrossRef]
- Rosenkranz, P.; Aumeier, P.; Ziegelmann, B. Biology and control of Varroa destructor. J. Invertebr. Pathol. 2010, 103, S96–S119. [Google Scholar] [CrossRef]
- Le Conte, Y.; Ellis, M.; Ritter, W. Varroa mites and honey bee health: Can Varroa explain part of the colony losses? Apidologie 2010, 41, 353–363. [Google Scholar] [CrossRef] [Green Version]
- Ramsey, S.D.; Ochoa, R.; Bauchan, G.; Gulbronson, C.; Mowery, J.D.; Cohen, A.; Lim, D.; Joklik, J.; Cicero, J.M.; Ellis, J.D.; et al. Varroa destructor feeds primarily on honey bee fat body tissue and not hemolymph. Proc. Natl. Acad. Sci. USA 2019, 116, 1792–1801. [Google Scholar] [CrossRef] [Green Version]
- McMullan, J.B.; Brown, M.J.F. The influence of small-cell brood combs on the morphometry of honeybees (Apis mellifera). Apidologie 2006, 37, 665–672. [Google Scholar] [CrossRef] [Green Version]
- Aboushaara, H.; Staron, M.; Cermakova, T. Impacts of oxalic acid, thymol, and potassium citrate as Varroa control materials on some parameters of honey bees. Turkish J. Vet. Anim. Sci. 2017, 41, 238–247. [Google Scholar] [CrossRef]
- Milani, N. The resistance of Varroa jacobsoni Oud to pyrethroids: A laboratory assay. Apidologie 1995, 26, 415–429. [Google Scholar] [CrossRef]
- Panini, M.; Reguzzi, M.C.; Chiesa, O.; Cominelli, F.; Lupi, D.; Moores, G.; Mazzoni, E. Pyrethroid resistance in Italian populations of the mite Varroa destructor: A focus on the Lombardy region. Bull. Insectology 2019, 72, 227–232. [Google Scholar]
- Rinkevich, F.D. Detection of amitraz resistance and reduced treatment efficacy in the Varroa Mite, Varroa destructor, within commercial beekeeping operations. PLoS ONE 2020, 15, e0227264. [Google Scholar] [CrossRef] [Green Version]
- Hernández-Rodríguez, C.S.; Marín, Ó.; Calatayud, F.; Mahiques, M.J.; Mompó, A.; Segura, I.; Simó, E.; González-Cabrera, J. Large-Scale Monitoring of Resistance to Coumaphos, Amitraz, and Pyrethroids in Varroa destructor. Insects 2021, 12, 27. [Google Scholar] [CrossRef]
- Lodesani, M.; Costa, C.; Serra, G.; Colombo, R.; Sabatini, A.G. Acaricide residues in beeswax after conversion to organic beekeeping methods. Apidologie 2008, 39, 324–333. [Google Scholar] [CrossRef]
- Iancu, R.; Oprean, L.; Codoi, V. Organic beekeeping and bee products. Sci. Pap. Ser. A Agron. 2012, 15, 2285–5785. [Google Scholar]
- Schneider, S.; Eisenhardt, D.; Rademacher, E. Sublethal effects of oxalic acid on Apis mellifera (Hymenoptera: Apidae): Changes in behaviour and longevity. Apidologie 2012, 43, 218–225. [Google Scholar] [CrossRef] [Green Version]
- Ostermann, D.J.; Currie, R.W. Effect of formic acid formulations on honey bee (Hymenoptera: Apidae) colonies and in-fluence of colony and ambient conditions on formic acid concentration in the hive. J. Econ. Entomol. 2004, 97, 1500–1508. [Google Scholar] [CrossRef] [PubMed]
- Imdorf, A.; Bogdanov, S.; Ochoa, R.I.; Calderone, N.W. Use of essential oils for the control of Varroa jacobsoni Oud. in honey bee colonies. Apidologie 1999, 30, 209–228. [Google Scholar] [CrossRef] [Green Version]
- Saunt, J. Citrus Varieties of the World. An Illustrated Guide; Sinclair International Ltd.: Norwich, UK, 1990. [Google Scholar]
- Fisher, K.; Phillips, C. Potential antimicrobial uses of essential oils in food: Is citrus the answer? Trends Food Sci. Technol. 2008, 19, 156–164. [Google Scholar] [CrossRef]
- Raspo, M.A.; Vignola, M.B.; Andreatta, A.E.; Juliani, H.R. Antioxidant and antimicrobial activities of citrus essential oils from Argentina and the United States. Food Biosci. 2020, 36, 100651. [Google Scholar] [CrossRef]
- Guo, J.-J.; Gao, Z.-P.; Xia, J.-L.; Ritenour, M.A.; Li, G.-Y.; Shan, Y. Comparative analysis of chemical composition, antimicrobial and antioxidant activity of citrus essential oils from the main cultivated varieties in China. LWT 2018, 97, 825–839. [Google Scholar] [CrossRef]
- Viuda-Martos, M.; Ruiz-Navajas, Y.; Fernández-López, J.; Pérez-Alvarez, J.A. Antifungal activity of lemon (Citrus lemon L.), mandarin (Citrus reticulata L.), grapefruit (Citrus paradisi L.) and orange (Citrus sinensis L.) essential oils. Food Control 2008, 19, 1130–1138. [Google Scholar] [CrossRef]
- Jing, L.; Lei, Z.; Li, L.; Xie, R.; Xi, W.; Guan, Y.; Sumner, L.; Zhou, Z. Antifungal Activity of Citrus Essential Oils. J. Agric. Food Chem. 2014, 62, 3011–3033. [Google Scholar] [CrossRef]
- Arena, M.E.; Alberto, M.R.; Cartagena, E. Potential use of Citrus essential oils against acute respiratory syndrome caused by coronavirus. J. Essent. Oil Res. 2021, 33, 330–341. [Google Scholar] [CrossRef]
- Da Silva, J.K.R.; Figueiredo, P.L.B.; Byler, K.G.; Setzer, W.N. Essential oils as antiviral agents, potential of essential oils to treat SARS-CoV-2 infection: An in-silico investigation. Int. J. Mol. Sci. 2020, 21, 3426. [Google Scholar] [CrossRef]
- Safavi, S.A.; Mobki, M. Susceptibility of Tribolium castaneum (Herbst, 1797) larvae to essential oils of Citrus reticulata Blanco fruit peels and the synergist, diethyl maleate. Biharean Biol 2016, 10, 82–85. [Google Scholar]
- Kumar, P.; Mishra, S.; Malik, A.; Satya, S. Insecticidal Evaluation of essential oils of Citrus sinensis L. (Myrtales: Myrtaceae) against housefly, Musca domestica L. (Diptera: Muscidae). Parasitol. Res. 2012, 110, 1929–1936. [Google Scholar] [CrossRef] [PubMed]
- Pazinato, R.; Volpato, A.; Baldissera, M.D.; Santos, R.C.V.; Baretta, D.; Vaucher, R.A.; Giongo, J.L.; Boligon, A.A.; Stefani, L.M.; Da Silva, A.S. In vitro effect of seven essential oils on the reproduction of the cattle tick Rhipicephalus microplus. J. Adv. Res. 2016, 7, 1029–1034. [Google Scholar] [CrossRef] [PubMed] [Green Version]
- Falcone, G.; Stillitano, T.; de Luca, A.I.; di Vita, G.; Iofrida, N.; Strano, A.; Gulisano, G.; Pecorino, B.; d’Amico, M. Energetic and Economic Analyses for Agricultural Management Models: The Calabria PGI Clementine Case Study. Energies 2020, 13, 1289. [Google Scholar] [CrossRef] [Green Version]
- Gashout, H.A.; Guzman-Novoa, E. Acute toxicity of essential oils and other natural compounds to the parasitic mite, Varroa destructor, and to larval and adult worker honey bees (Apis mellifera L.). J. Apic. Res. 2009, 48, 263–269. [Google Scholar] [CrossRef]
- Le Conte, Y.; Meixner, M.D.; Brandt, A.; Carreck, N.L.; Costa, C.; Mondet, F.; Büchler, R. Geographical Distribution and Selection of European Honey Bees Resistant to Varroa destructor. Insects 2020, 11, 873. [Google Scholar] [CrossRef] [PubMed]
- Floris, I.; Satta, A.; Cabras, P.; Garau, V.L.; Angioni, A. Comparison between two thymol formulations in the control of Varroa destructor: Effectiveness, persistence, and residues. J. Econ. Entomol. 2004, 97, 187–191. [Google Scholar] [CrossRef] [PubMed]
- Marchetti, S.; Barbattini, R.; D’Agaru, M. Comparative Effectiveness of Treatments Used to Control Varroa Jacobsoni Oud. Apidologie 1984, 15, 363–378. [Google Scholar] [CrossRef] [Green Version]
- Dahlgren, L.; Johnson, R.M.; Siegfried, B.D.; Ellis, M.D. Comparative Toxicity of Acaricides to Honey Bee (Hymenoptera: Apidae) Workers and Queens. J. Econ. Entomol. 2012, 105, 1895–1902. [Google Scholar] [CrossRef] [PubMed]
- Bergougnoux, M.; Treilhou, M.; Armengaud, C. Exposure to thymol decreased phototactic behaviour in the honeybee (Apis mellifera) in laboratory conditions. Apidologie 2012, 44, 82–89. [Google Scholar] [CrossRef]
- Chiasson, H.; Bélanger, A.; Bostanian, N.; Vincent, C.; Poliquin, A. Acaricidal Properties of Artemisia absinthium and Tanacetum vulgare (Asteraceae) Essential Oils Obtained by Three Methods of Extraction. J. Econ. Entomol. 2001, 94, 167–171. [Google Scholar] [CrossRef]
- Ferrarini, S.R.; Duarte, M.O.; da Rosa, R.G.; Rolim, V.; Eifler-Lima, V.L.; von Poser, G.; Ribeiro, V.L.S. Acaricidal activity of limonene, limonene oxide and β-amino alcohol derivatives on Rhipicephalus (Boophilus) microplus. Vet. Parasitol. 2008, 157, 149–153. [Google Scholar] [CrossRef]
- Da Camara, C.A.; Da Lima, G.S.; de Moraes, M.M.; da Silva, M.; de Melo, J.P.; dos Santos, M.L.; Fagg, C.W. Chemical composition and acaricidal activity of essential oils and selected terpenes from two species of psidium in the cerrado biome of brazil against Tetranychus urticae. Bol. Latinoam. Caribe Plantas Med. Aromat. 2020, 19, 15–28. [Google Scholar]
- Perrucci, S. Acaricidal Activity of Some Essential Oils and Their Constituents against Tyrophagus longior, a Mite of Stored Food. J. Food Prot. 1995, 58, 560–563. [Google Scholar] [CrossRef]
- Perri, M.R.; Marrelli, M.; Statti, G.; Conforti, F. Olea europaea bud extracts: Inhibitory effects on pancreatic lipase and α-amylase activities of different cultivars from Calabria region (Italy). Plant Biosyst.—Int. J. Deal. Asp. Plant Biol. 2020, 1–7. [Google Scholar] [CrossRef]
- Plapp, F.W.; Vinson, S.B. Comparative toxicities of some insecticides to the tobacco budworm and its ichneumonid parasite, Campoletis sonorensis. Environ. Entomol. 1977, 6, 381–384. [Google Scholar] [CrossRef]
- Snodgrass, G.L. Glass-Vial Bioassay to Estimate Insecticide Resistance in Adult Tarnished Plant Bugs (Heteroptera: Miridae). J. Econ. Entomol. 1996, 89, 1053–1059. [Google Scholar] [CrossRef]
- Elzen, P.J.; Eischen, F.A.; Baxter, J.R.; Wilson, W.T. Detection of resistance in US Varroa jacobsoni Oud. (Mesostigmata: Varroidae) to the acaricide fluvalinate. Apidologie 1999, 30, 13–17. [Google Scholar] [CrossRef] [Green Version]
- Aliano, N.P.; Ellis, M.D.; Siegfried, B.D. Acute contact toxicity of oxalic acid to Varroa destructor (Acari: Varroidae) and their Apis mellifera (Hymenoptera: Apidae) hosts in laboratory bioassays. J. Econ. Entomol. 2006, 99, 1579–1582. [Google Scholar] [CrossRef] [PubMed] [Green Version]
- Milani, N. Activity of oxalic and citric acids on the mite Varroa destructor in laboratory assays. Apidologie 2001, 32, 127–138. [Google Scholar] [CrossRef]
- McMahon, D.P.; Neumann, P.; Csáki, T.; Eisenhardt, D.; Doublet, V.; Kuhn, R.; Fries, I.; Natsopoulou, M.E.; Brodschneider, R.; van der Steen, J.J.M.; et al. Standard methods for maintaining adult Apis mellifera in cages under in vitro laboratory conditions. J. Apic. Res. 2013, 52, 1–36. [Google Scholar] [CrossRef]

| N. | Compound (a) | Rt (b) | RAP (c) | ||||
|---|---|---|---|---|---|---|---|
| Mandarin | Lemon | Bergamot | Orange | Grapefruit | |||
| 1 | Thujene | 6.197 | 3.40 ± 0.10 | 2.22 ± 0.27 | 1.05 ± 0.10 | 3.40 ± 0.42 | - |
| 2 | Alpha-pinene | 6.363 | 5.32 ± 0.42 | 7.97 ± 1.00 | 3.21 ± 0.34 | 5.32 ± 0.60 | 4.00 ± 0.36 |
| 3 | Camphene | 6.666 | − | 0.49 ± 0.04 | 0.14 ± 0.01 | − | − |
| 4 | Beta−pinene | 7.254 | − | 19.31 ± 1.56 | 9.61 ± 1.17 | − | − |
| 5 | Sabinene | 7.266 | 6.77 ± 0.23 | − | − | 6.77 ± 0.30 | 3.28 ± 0.39 |
| 6 | Beta-myrcene | 7.517 | 8.00 ± 0.34 | 4.50 ± 0.38 | 2.18 ± 0.14 | 8.00 ± 1.00 | 6.29 ± 0.78 |
| 7 | Phellandrene | 7.746 | − | 0.25 ± 0.01 | − | − | − |
| 8 | Limonene | 8.169 | 47.85 ± 3.41 | 35.21 ± 3.67 | 25.17 ± 2.77 | 47.85 ± 5.68 | 47.62 ± 5.87 |
| 9 | Gamma-terpinene | 8.712 | 1.87 ± 0.15 | 8.39 ± 0.98 | − | 1.87 ± 0.07 | − |
| 10 | Linalool oxide | 8.838 | − | − | 1.79 ± 0.21 | − | − |
| 11 | Alpha-terpinolene | 9.049 | − | 0.58 ± 0.04 | − | − | − |
| 12 | Linalool | 9.209 | 2.58 ± 0.19 | 0.26 ± 0.02 | 11.32 ± 1.33 | 2.58 ± 0.20 | 1.26 ± 0.11 |
| 13 | P-mentha-2,8-dien-1-ol | 9.495 | 1.32 ± 0.15 | − | 0.30 ± 0.01 | 1.32 ± 0.12 | 1.26 ± 0.12 |
| 14 | Lemongrass | 9.815 | − | − | − | − | 0.29 ± 0.03 |
| 15 | Cis-Carveol | 10.615 | 1.61 ± 0.20 | 0.32 ± 0.01 | − | 1.61 ± 0.17 | 1.63 ± 0.10 |
| 16 | Trans-Carveol | 10.792 | − | − | 0.86 ± 0.10 | 1.33 ± 0.09 | 1.35 ± 0.17 |
| 17 | Linalyl acetate | 10.918 | 4.44 ± 0.45 | − | 13.50 ± 1.95 | 4.44 ± 0.37 | − |
| 18 | Citral | 11.089 | 0.61 ± 0.03 | 4.14 ± 0.37 | − | 0.61 ± 0.06 | 0.99 ± 0.10 |
| 19 | Geranyl acetate | 12.084 | 0.47 ± 0.02 | − | − | 0.47 ± 0.03 | 1.12 ± 0.14 |
| 20 | Trans-Caryophillene | 12.558 | 0.18 ± 0.01 | Tr (d) | − | 0.18 ± 0.01 | 1.77 ± 0.22 |
| 21 | Uroterpenol | 12.680 | − | Tr | − | − | − |
| 22 | Valencene | 13.147 | 0.29 ± 0.01 | − | − | 0.29 ± 0.03 | − |
| 23 | Nerolidol | 13.593 | 0.14 ± 0.01 | − | − | 0.14 ± 0.01 | − |
| 24 | Beta-bisabolene | 16.502 | 0.19 ± 0.01 | − | − | 0.19 ± 0.01 | 0.19 ± 0.01 |
| 25 | Neoisolongifolene-8,9-dehydro | 18.108 | 0.22 ± 0.02 | − | − | 0.22 ± 0.01 | − |
| Concentration (mg/mL) | Bergamot (C. bergamia) | Grapefruit (C. paradisi) | Lemon (C. limon) | Orange (C. sinensis) | Mandarin (C. reticulata) | Acetone (− control) | Amitraz (+ control) |
|---|---|---|---|---|---|---|---|
| 0.5 mg | 80 ± 37 | 70 ± 40 | 69 ± 43 | 56 ± 42 | 63 ± 38 | 3 ± 7 | 60 ± 20 |
| 1 mg | 74 ± 39 | 54 ± 38 | 71 ± 43 | 60 ± 38 | 83 ± 21 | 57 ± 39 | |
| 2 mg | 77 ± 37 | 65 ± 38 | 82 ± 37 | 89 ± 30 | 67 ± 43 | 100 ± 0 |
Publisher’s Note: MDPI stays neutral with regard to jurisdictional claims in published maps and institutional affiliations. |
© 2021 by the authors. Licensee MDPI, Basel, Switzerland. This article is an open access article distributed under the terms and conditions of the Creative Commons Attribution (CC BY) license (https://creativecommons.org/licenses/by/4.0/).
Share and Cite
Bava, R.; Castagna, F.; Piras, C.; Palma, E.; Cringoli, G.; Musolino, V.; Lupia, C.; Perri, M.R.; Statti, G.; Britti, D.; et al. In Vitro Evaluation of Acute Toxicity of Five Citrus spp. Essential Oils towards the Parasitic Mite Varroa destructor. Pathogens 2021, 10, 1182. https://doi.org/10.3390/pathogens10091182
Bava R, Castagna F, Piras C, Palma E, Cringoli G, Musolino V, Lupia C, Perri MR, Statti G, Britti D, et al. In Vitro Evaluation of Acute Toxicity of Five Citrus spp. Essential Oils towards the Parasitic Mite Varroa destructor. Pathogens. 2021; 10(9):1182. https://doi.org/10.3390/pathogens10091182
Chicago/Turabian StyleBava, Roberto, Fabio Castagna, Cristian Piras, Ernesto Palma, Giuseppe Cringoli, Vincenzo Musolino, Carmine Lupia, Maria Rosaria Perri, Giancarlo Statti, Domenico Britti, and et al. 2021. "In Vitro Evaluation of Acute Toxicity of Five Citrus spp. Essential Oils towards the Parasitic Mite Varroa destructor" Pathogens 10, no. 9: 1182. https://doi.org/10.3390/pathogens10091182
APA StyleBava, R., Castagna, F., Piras, C., Palma, E., Cringoli, G., Musolino, V., Lupia, C., Perri, M. R., Statti, G., Britti, D., & Musella, V. (2021). In Vitro Evaluation of Acute Toxicity of Five Citrus spp. Essential Oils towards the Parasitic Mite Varroa destructor. Pathogens, 10(9), 1182. https://doi.org/10.3390/pathogens10091182

