Next Article in Journal
Integrating Real-Time Room Acoustics Simulation into a CAD Modeling Software to Enhance the Architectural Design Process
Next Article in Special Issue
GIS Modeling of Solar Neighborhood Potential at a Fine Spatiotemporal Resolution
Previous Article in Journal
Access to Parks for Youth as an Environmental Justice Issue: Access Inequalities and Possible Solutions
Previous Article in Special Issue
Development of a Façade Assessment and Design Tool for Solar Energy (FASSADES)
 
 
Font Type:
Arial Georgia Verdana
Font Size:
Aa Aa Aa
Line Spacing:
Column Width:
Background:
Article

Optimum Envelope of a Single-Family House Based on Life Cycle Analysis

by
Marie-Claude Hamelin
and
Radu Zmeureanu
*
Centre for Zero Energy Building Studies, Department of Building, Civil and Environmental Engineering, Faculty of Engineering and Computer Science, Concordia University, Montreal, Quebec H3G, Canada
*
Author to whom correspondence should be addressed.
Buildings 2014, 4(2), 95-112; https://doi.org/10.3390/buildings4020095
Submission received: 26 February 2014 / Revised: 8 April 2014 / Accepted: 9 April 2014 / Published: 21 April 2014
(This article belongs to the Special Issue Building Performance Analysis and Simulation)

Abstract

:
This paper describes the methodology used for the life cycle cost (LCC) and life cycle energy (LCE) analyses of the case study house in Quebec, Canada. The TRNSYS energy analysis program is coupled with GenOpt, a general purpose optimization program, for the purpose of this study. The particle swarm optimization (PSO) algorithm is used for the search for the optimum solution. Results show that the optimum levels of insulation should be higher than the reference values, even for the case of LCC analysis. The results are for the most part still valid if electricity costs are assumed to increase below the inflation rate for the duration of the study period.

1. Introduction

In the past few decades, several incentive programs have been introduced to improve the energy efficiency of new residential buildings in Canada. The program of Novoclimat houses [1] in Quebec is one well-known example that promoted improvements over the current practice. Other advanced programs, such as the EQuilibrium housing demonstration project [2], have proven the feasibility of building houses with lower energy consumption in cold climates. However, most of these programs are primarily based on annual energy consumption targets, and they do not take into account the other impacts over the building lifespan.
Life cycle analysis of building envelopes has been a subject of interest for many years amongst the scientific community, and previous work has proven its relevance in the design of sustainable buildings. As buildings tend to have lower heating and cooling needs, the embodied energy represents a larger portion of the life cycle energy, sometimes as much as 30% to 60% [3,4]. Evaluating energy savings only for the operation phase of the building can be deceiving, as the savings might not be as significant as they are when evaluated over the life cycle [5].
A few articles have evaluated the building envelope from the life cycle point of view. Baouendi et al. [6] proposed an integrated tool for assessing life cycle energy use, emission and cost for exterior envelopes of Canadian houses. Some authors have applied multi-objective optimization to envelope design in order to account for the necessary trade-offs between costs and impacts. Wang et al. [7] used life cycle cost and life cycle exergy consumption as criteria for an office building in Montreal, while Verbeeck and Hens [8] minimized life cycle cost, life cycle non-renewable energy consumption and life cycle global warming potential for both the envelope and HVAC systems in a Belgian climate. Various research projects had the objective of minimizing life cycle cost for the envelope design [9,10,11]. Kassab [12] defined design alternatives for an energy-efficient house in Montréal and found the optimal solution by using different weighted multi-objectives (such as 50% life cycle cost and 50% life cycle energy). Zmeureanu et al. [13] evaluated life cycle cost, energy use and greenhouse gases emissions for walls with frames ranging from 38 mm by 90-mm to 38 mm by 305-mm wood studs, with three different insulation materials. Kneifel [14] applied the life cycle cost and environmental assessment to 12 commercial, institutional and apartment buildings in 16 cities in the United States to estimate the potential impact of energy efficiency measures. He used four different analysis period lengths: 1 year, 10 years, 25 years and 40 years. He concluded that the investor’s time horizon determines the cost-effective building design. As the study period length increases, it is cost-effective to adopt the most energy efficient building design alternatives. Morrissey and Horne [15] concluded, based on life cycle cost analysis, that the most cost-effective building design is always more energy efficient than the current energy code requirements, for the 25-year and 40-year time horizons.
Our study aims at identifying good strategies to minimize cost and environmental impacts over the building life cycle. Two paths are considered: (1) optimizing only the envelope to reduce heating and cooling loads; or (2) investing in high performance mechanical systems.
This paper, which presents the first path covered in the study, describes the methodology used for the life cycle cost (LCC) and life cycle energy (LCE) analyses and compares the results from a case study with some reference data. To the best knowledge of the authors, no other research applied to Canadian conditions has been conducted on the comprehensive optimization of building envelope using, as objective functions, the life cycle cost (LCC) and life cycle energy (LCE). The closest study on this topic has described in [6] an evaluation tool, not an optimization tool, as is presented in this paper.

2. Description of the House Model

The base case study of the envelope uses Happy Modular’s first model house. The house is located about 15 km east of Ste-Agathe-des-Monts (Québec, Canada). It is a two-story house made of four standard modules. One particularity of the house is that the frame is tilted by 30°, so that the roof has an angle of 30° from the horizontal plan, facing the south. The south facade, which is an entirely glazed curtain wall, has also a vertical tilt (Figure 1). The base case is modelled with its glazed facade facing due south. Table 1 presents for each facade the gross surface area of the exterior walls and roof and the surface area of windows. The total heated floor area is 130 m2, including a basement of 46 m2, and the total heated volume is 524 m3. The roof has an area of 40 m2 (excluding overhangs) and an exterior finish made of steel sheeting. There is a total of 58 m2 of window area. An open staircase connects the first floor and the mezzanine.
Figure 1. Rendering of the model house’s facade (Courtesy of Gau Designs & Concepts).
Figure 1. Rendering of the model house’s facade (Courtesy of Gau Designs & Concepts).
Buildings 04 00095 g001
Table 1. Surface area of walls, roof and windows.
Table 1. Surface area of walls, roof and windows.
OrientationLevelGross wall area (m2)Window area (m2)
SouthBasement22.60.4
First floor26.426.0
Second floor20.719.4
EastBasement16.40.4
First floor24.83.3
Second floor24.42.6
NorthBasement22.60.4
First floor41.00.0
Second floor47.30.0
WestBasement16.40.4
First floor25.03.3
Second floor24.42.6
Roof-40.00.0
The house is built out of rectangular modules of 4 m × 4 m × 8 m; the structure is made of large glued laminated timber structural (glulam) beams that are visible from the inside of the house. The building model is divided into three zones: the basement, the first floor and the second floor, which are all heated at the same temperature set point.
For the purpose of this study, it was assumed that the air infiltration rate at a 50-Pa pressure difference is equal to one air change per hour (ACH), which is attainable when compared to other low energy houses [2]; for instance, EcoTerra, 1.0 ACH, Riverdale, 0.5 ACH, and Inspiration Minto, 0.65 ACH. This value translates to a natural air infiltration rate of 0.048 ACH.
The estimation of indoor air temperature and annual energy use is conducted under transient conditions by using the TRNSYS program [16]. Models of all components, including, for instance, the three thermal zones, exterior walls and roof, are represented in the TRNSYS Simulation Studio by several component models, the so-called “Types”, which have inputs and outputs that can be connected to other components to create the complete house model. Other “Types” are from Thermal Energy System Specialists (TESS) Component Libraries. Table 2 presents the “Types” used in this study.
Table 2. Types used in the TRNSYS model of the base case house.
Table 2. Types used in the TRNSYS model of the base case house.
TypeDescriptionName
2Differential ControllerHeaton/Coolon
14Time Dependent Forcing FunctionType14h
15Weather Data ProcessorType15-3
25Printer: No units printed to output fileType25f
28Simulation Summary: Results to external file, no energy balanceType28b
33Psychometrics: Dry bulb and relative humidity knownType33e
34Overhang and Wingwall ShadingType34
41Load Profile Sequencer: Unique days of the weekType41c
56Multi-Zone BuildingType56b
65Online Graphical PlotterType65d
69Effective Sky Temperature for Long-Wave Radiation ExchangeType69b
515Heating and Cooling Season Scheduler (TESS)Type515
648Air Mixing Valve with up to 100 Inlets (TESS)Type648
701Basement Conduction (Interfaces with Type56) (TESS)Type701c
754Simple Heating and Humidifying System: Temperature Controlled (TESS)Type754f
760Sensible Air-to-Air Heat Recovery with Controlled Outlet Conditions (TESS)Type760a
As an example, we present Type 701a, which simulates the transient conduction phenomena between the soil, the outside environment and the basement of the house, through a three-dimensional finite difference model. Figure 2 shows the soil grid for the near-field, as defined by the user (in meters). The ground is divided into two parts: (1) the near-field, the part of the ground that the temperature depends on for the heat exchange with the basement and the far-field; and (2) the far-field, where the ground temperature is independent of the near-field. To determine the initial temperature at each node, the simulation is first run for three years, in order to obtain a steady-state response. The output file, which contains the nodes’ temperature at the end of the year (11:30 p.m. on 31 December), is then used as an input file.
Figure 3 presents, as another example, the interconnections between Types for the weather data processing portion of the TRNSYS model. Type 15-3 combines data reading, radiation processing and sky temperature calculations from an EnergyPlus weather data file [17]. This format is chosen, because the weather data for the location of the house, close to the small city of Ste-Agathe-des-Monts, Québec, was available in this format from the U.S. Department of Energy [17]. While many simulations for Québec’s climate encountered in the technical literature are based on Montréal weather data, it was felt that it would be more accurate to use data from Ste-Agathe-des-Monts, as the climate in the Laurentides region differs significantly from the one experienced on Montréal’s island. For instance, the number of heating degree-days below 18 °C is equal to 5493.2 in Ste-Agathe-des-Monts, compared with 4518.7 in Montreal.
Figure 2. Near-field soil grid geometry (dimensions are in meters).
Figure 2. Near-field soil grid geometry (dimensions are in meters).
Buildings 04 00095 g002
Figure 3. Weather data processing.
Figure 3. Weather data processing.
Buildings 04 00095 g003
The main results from TRNSYS that are used in this study are the heating and cooling loads, from which the electricity use is estimated for the baseboard heaters with an efficiency of 100% and an air-conditioning unit with a coefficient of performance (COP) of three. A detailed presentation of the computer model is given in [18].
Because thermal bridges can cause as much as a 50% increase in nominal thermal transmittance of walls, they are modeled based on the parallel heat flow paths method [19]. Each wall is modeled as a combination of two walls: one wall with a layer of cavity insulation and another wall with a layer of wood that creates the thermal bridge. A framing factor of 0.22 or 0.18 [19], which represents the portion of the wall area that contains a thermal bridge (wood stud or header), is used respectively for single-stud walls and the roof. This calculation method is intended to be used for steady-state heat transfer, while TRNSYS performs transient analyses. Minor losses of accuracy are expected, but are nevertheless acceptable, as this representation constitutes a significant improvement compared with the case when thermal bridges are not considered. A 2D or 3D transient model of the envelope is beyond the purpose of this study, because of the large computing time that would be required for the optimization.

3. Selection of Optimization Variables

Table 3 presents the discrete variables used in this study. For instance, the insulation installed on the inside surface of walls could have a thickness of 75 mm, 100 mm, 125 mm, etc. The combination of two insulating materials in a wall is addressed in the present research, with the objective of representing the actual way walls are built in Canada. Insulation configurations are selected to respect good practices and the National Building Code for wood stud wall construction, such as the application of exterior insulation that limits thermal bridging and can withstand wet conditions.
Because the choice of an insulation system has an impact on the whole wall system, the envelope is considered as a whole in this optimization. Indeed, as noted by Trusty [20]: “comparison may have to be made in a building systems context rather than on a simple product-to-product basis.” For example, choosing to insulate the basement foundation from the outside results in the need to add a finish system (such as vinyl cladding) above ground, in order to protect the insulation from the sun rays. Furthermore, the impact of different wall and roof framing systems is assessed in this study, to consider the additional embodied energy inherent to bigger frames when large amounts of insulation are used. The framing system is not an independent variable; it is chosen with respect to the space needed for the insulation thickness selected. The framing system also has an impact on the effective thermal resistance of the wall because of the thermal bridging effect.
The range of insulation thickness allows the thermal resistance of walls and roof to vary between the minimal requirements as defined by [21] and very high insulation levels as used by some green building projects. The maximum thickness is also dictated by the framing systems, which were chosen amongst the most common systems in green buildings, while taking into consideration the manufacturer’s capabilities.
Table 3. Optimization variables.
Table 3. Optimization variables.
ItemVariableConstraints
1Insulation material;Sprayed polyurethane, fibreglass batt, mineral fiber,
inside of wallblown cellulose
2Insulation material;Sprayed polyurethane, extruded polystyrene, foil-faced
outside of wallpolyisocyanurate
3Insulation thickness;75–250 mm
inside of wallIncrement: 25 mm
4Insulation thickness;25–100 mm
outside of wallIncrement: 25 mm
5First insulation material for the roofSprayed polyurethane, foil-faced polyisocyanurate
6Second insulation material for the roofFibreglass batt, mineral fiber, blown cellulose
7Roof insulation thickness150–225 mm
Increment: 25 mm
8Ratio of first insulation material thickness to roof insulation thickness0–1
Increment: 0.20
9Insulation location and material for the foundation wallsSprayed polyurethane out, extruded polystyrene out, sprayed polyurethane in, blown cellulose in, fibreglass batt in, mineral fiber in, foil-faced polyisocyanurate in
10Basement walls insulation thickness75–175 mm
Increment: 25 mm
11Basement floor insulation materialSprayed polyurethane, extruded polystyrene
12Basement floor insulation thickness25–100 mm
Increment: 25mm
13Above ground floors50 mm concrete, 100 mm concrete, hardwood
14Surface area of south-facing windows10–46 m2
Increment: 4 m2
The list of insulation materials is chosen based on several of the following criteria: availability, value, embodied energy, thermal resistance and common use in green building projects. Table 4 summarizes the characteristics of some common insulation materials per an area of 1 m2 and a thickness of 25.4 mm (which is the standard available thickness on the North American market for panels and batts). Sprayed polyurethane has one of the highest thermal resistances per unit of thickness, and it was used in most of the green buildings studied in the literature review. Polyisocyanurate foil-faced rigid boards are interesting for their outstanding thermal resistance. They also have the advantage of having an embodied energy that is half the one of sprayed polyurethane, but more GHG are emitted for its production. Cellulose is selected for its extremely low embodied energy, due to the fact that it is made entirely from recycled paper. Extruded polystyrene has a rather high thermal resistance and is widely used for outside stud insulation, as well as for insulation outside the foundation, because of its resistance to moisture. Fibreglass batt is interesting for its low cost and has lower embodied energy than mineral fiber. However, mineral fibre has a better thermal resistance.
Some other criteria are not formally assessed, because of a lack of numerical values, but are nevertheless worth mentioning. Polyurethane and cellulose both improve the air tightness of the envelope thanks to their ability to fill in small cavities. However, polyurethane also has the bad quality of acting as a combustible in case of fire.
Table 4. Properties of some insulating materials.
Table 4. Properties of some insulating materials.
MaterialCost for material and installation ($/m2/25.4 mm)Thermal resistance (m2K/W/25.4 mm)Embodied energy (MJ/0.0254 m3)
Blown cellulose3.530.651.5
Extruded polystyrene12.520.8874.1
Fiberglass batt4.450.5913.9
Foiled-faced polyisocyanurate10.951.3462.0
Mineral fiber5.590.7127.4
Sprayed polyurethane18.391.00112.9
Accordingly, sprayed polyurethane and extruded polystyrene are considered for outside and foundation insulation, while sprayed polyurethane, cellulose, fibreglass, mineral and polyisocyanurate are used inside of walls and the roof.
The window type was not considered in this study as an optimization variable, as most low-energy house projects from Québec and Ontario discussed by Hamelin [18] have used triple-glazed low-e windows. Various studies concluded that triple-glazed windows are superior to double-glazing windows. For instance, [9] concluded that windows with a U-value of 1.0 W/m2 K (equivalent to triple-glazed low-e windows) instead of 1.4 W/m2 K (equivalent to double-glazed low-e windows) led to a reduced life cycle cost in Helsinki, which is in a cold climate comparable to Québec. Consequently, the triple-glazed low-e window is considered as a market standard and is used in this study.
We decided on a minimum surface area of south-facing windows of 10 m2 to ensure the customer’s satisfaction (nobody wants to buy a cottage on a lake with no view). The optimum value equals the minimum area of 10 m2 for three reasons: (i) the triple glazed windows selected in this study are quite expensive, and therefore, energy savings are not sufficient to lead to a short payback; hence, the minimum surface area of south-facing windows is used; (ii) larger windows might cause overheating, and, hence, the increased use of the air-conditioning system; (iii) the small windows are often optimal in cold climates to minimize energy use, as was indicated by the Passivhaus certification, for instance.

4. Life Cycle Data

A detailed presentation of the life cycle costing is presented in [22,23]. For the purpose of the life cycle energy optimization, all life cycle inventory data is collected in terms of primary energy. Even though one should include all life phases in an LCA, from cradle to grave, this heavily depends on the availability of life cycle inventory data. Indeed, it is beyond the scope of this work to conduct research on the life cycle primary energy of individual materials. Furthermore, data extracted from a specific life cycle inventory database is expected to be more consistent for all materials. Most of the primary energy use data for building materials, used in this paper, comes from the ATHENA Impact Estimator [24]. All primary energy use data includes waste factors and replacement when the material lifespan is shorter than the house lifespan of 50 years.
The life cycle period is set to 50 years for two reasons. First, most of the life cycle analysis or optimizations conducted on single-unit residential buildings found in the literature use this time frame. In a review article on the life cycle energy use of conventional and low-energy buildings by Sartori and Hestnes [25], six out of the nine quoted life cycle analysis of single-unit residential buildings use a life cycle time frame of 50 years. Other studies are based on 30 years, 80 years or annualized values. On the other hand, the Model National Energy Code of Canada for Houses [26] used a time frame of 30 years that corresponds to the economic life of the building (i.e., the period for which the building will be used without needing major renovations). However, this document also notes that “it can be argued that the numbers of year considered should be the life of the building, which might exceed 100 years”. Indeed, the choice made for the design of the envelope will have an impact on a longer period than the time for which the buyer plans on occupying the house. A period of 50 years then allows giving a proper value to the environmental impacts of the building while still being short enough to make reasonable assumptions on the repairs and maintenance to be made. It is worth noting that according to ISO 15686-5 [22], the period of analysis should be based on the client’s requirements, which may be over the life cycle of the asset.
The study of the durability of insulation materials and of changes of hygrothermal performance over the life time, and the need for replacement, were beyond the scope of this paper.
The envelope life cycle primary energy use LCE for the selected design alternative is calculated as follows:
Buildings 04 00095 i001
where LCEassembly is the embodied energy in each of the assemblies (roof, exterior walls, floors, etc.), including the manufacturing, construction, maintenance and end-of-life phases; Energyop is the primary electrical energy used for heating and cooling the house for one year, defined by:
Buildings 04 00095 i002
where COPcooling is the coefficient of performance of the cooling system, assumed to have a value of three; the heating is provided by electrical baseboards with an efficiency of 100%; Fprimary is the conversion factor from the site energy use to the primary energy use, including production and distribution losses. This factor is calculated using the Quebec electricity mix taken from 2007 data [27].
The life cycle cost criterion is based on the selling cost to the final occupant. Most of the cost data per unit of material comes from the RS Means Residential Cost Data 2011 book [28]. Prices from this database are corrected for St-Jérôme (the closest town to the actual building location) using a location factor of 1.15. It also includes the currency exchange rate, from U.S. dollar to Canadian dollar. Prices obtained from RS Means Residential Cost Data 2011 include 20% overhead and profits. A sales tax of 13.925% (composed of a federal tax of 5% and a provincial tax of 8.5%) is also added to all prices, as applicable.
A penalty cost is added for exterior wall systems that take up more space than the minimum 38 mm per 140 mm (2 inches × 6 inches) wood stud framing walls and 25 mm of exterior insulation. As modules have given exterior dimensions, any wall that is thicker takes up some of the living space. For each square meter of floor area lost to insulation and framing, there is an additional cost of $970, which corresponds to the selling cost per square meter of floor area at which the developer is aiming.
All prices are given in 2011 constant dollars. Since constant dollars are used, a real discount rate and a real escalation rate are used to calculate the present value of each cost, in order to combine them into a meaningful life cycle cost. The real discount rate, d, represents the time-value of money, excluding inflation, while the real escalation rate is the increase or decrease (if negative) of the price of a good, excluding inflation [29]. The real discount rate, d, is calculated based on a nominal discount rate, D, equal to the average interest rate for the period between 2001 and 2011 [30], and an inflation rate, I, also equal to the average for Canada during this period [31]:
Buildings 04 00095 i003
where D is 0.0269 (2.69%) and I is 0.0203 (2.03%), for a real discount rate, d, of 0.0065.
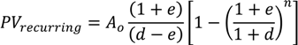
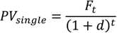
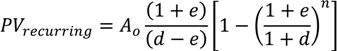
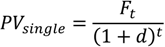
To take into account the effect of both the escalation and discount rates of the 2011 constant dollar price of energy, Equations (4) and (5) are used to calculate the present value of different costs [23]:
Buildings 04 00095 i004
Buildings 04 00095 i005
where Ft is the cost at the year of occurrence, t (with respect to the year of reference for the present value), Ao is the cost of electricity for the first year of operation, e is the real escalation rate for electricity and n is the period over which energy costs occur, in years. The life cycle cost for each design alternative, LCCenv, is then calculated as follows:
LCCenv = Cinvestment + CM&R + Cenergy
where Cinvestiment is the initial cost, not discounted; CM&R is the sum of each maintenance and replacement cost, discounted at its year of occurrence using Equation (4). Maintenance and replacement costs, CM&R, include repainting of interior walls (every eight years), replacement of vinyl siding (every 35 years), replacement of windows (every 25 years), replacement of fiber-cement siding (every 30 years) and repainting of fiber-cement every 15 years. Replacement costs are assumed to have the same cost in constant dollars and are discounted from the end of the year at which they occur (Equation (4)) to calculate the present value of an amount occurring a single time [23].
Cenergy is calculated using the cost of electricity for year one in Equation (5). For 2010, the average cost of electricity for residential customers for a monthly consumption of 1000 kWh in the province of Québec was $0.0688/kWh [31], to which are added taxes (13.925%), for a total of $0.0784/kWh. That price is used for year one of the life of the building.

5. Optimization Procedure

The GenOpt program, v. 3.0.3 [32], optimizes one given objective function calculated by a building simulation software, using an optimization algorithm selected by the user from a bank of available algorithms. The building simulation software must read text input and write text output in order to be compatible with GenOpt. This program is particularly useful to optimize building operation cost or energy, because it contains algorithms that can search for the optimum solution of discontinuous functions or functions for which analytical properties (such as the gradient) are not available. Fraisse et al. [33] compared various energy, exergy and economic optimization criteria for a solar domestic hot water system by computer simulation with the TRNSYS and GenOpt programs. Ng Cheng Hin and Zmeureanu [34] used the coupling between TRNSYS and GenOpt to optimize a solar combisystem based on life cycle cost, energy and exergy analysis.

5.1. Coupling between GenOpt and TRNSYS

Figure 4 presents the general steps executed by both GenOpt and TRNSYS for an iteration of the optimization algorithm. At each iteration of the optimization algorithm, GenOpt sets the value of all the independent variables (Table 3). It also calculates the value of intermediate variables through functions programmed in the GenOpt initiation file. The intermediate variables are the thickness for each layer, which can, in turn, be used by TRNSYS to define each wall composition. It is to be noted that for TRNSYS, a wall type is defined as any surface separating inside zones from each other or the outside environment. Consequently, the roof and the inside floors are also named “walls”.
Figure 4. Flowchart of coupling between TRNSYS and GenOpt.
Figure 4. Flowchart of coupling between TRNSYS and GenOpt.
Buildings 04 00095 g004

5.2. Algorithm Parameters

GenOpt can be set up to use one of the available optimization algorithms, for instance: Coordinate Search, Hooke–Jeeves, Particle Swarm and Hybrid General Pattern Search with Particle Swarm. GenOpt does not support multi-objective optimization, hence only one cost function can be selected. Furthermore, no genetic algorithm is included in its algorithm bank; to be used in GenOpt, this type of algorithm would have to be coded by the user, which is beyond the scope of this study. The two objective functions, LCE and LCC, are combined into one objective function. The development of the objective function is explained in the following section.
The GenOpt manual [35] gives detailed instructions on which algorithm is best suited to each type of optimization problem. In this case study, all variables are discrete, in an effort to obtain realistic values; for example, insulation in the walls can only be added by increments of 25 mm, as most materials on the North American market are available in this format. The particle swarm optimization (PSO) algorithm is suitable for the case where only discrete variables are used. This algorithm has a version where variables are encoded and treated as a string of binary numbers, which makes the use of discrete variables possible.
The particle swarm algorithm is a population-based probabilistic optimization algorithm, which mimics the movement of a flock of birds or a school of fish [35]. Each individual of a population is called a particle and represents a point in the search space that is a potential solution. For each generation (or iteration of the algorithm), a population of particles is defined, and each particle’s position changes depending on where it had its lowest cost function value (cognitive behavior), as well as on where other particles had their lowest cost function value (social behavior), in order to reach the global minima of the cost function.
Researchers made different recommendations when it comes to selecting a population size and a maximum number of generations. As summarized by Wetter [35]: Parsapoulos and Vrahatis [36] suggest using a population size of five times the number of independent variables (equal to 70 in this case) with 1000 generations; Van den Bergh and Engelbrecht [37] suggest a population size greater than 20 with 2000 to 5000 generations; while Kennedy and Eberhart [38] say that a population size between 10 and 50 usually works well. Because such a large number of generations is impractical with a computation time of over two minutes per particle, a population size of 30 with a maximum of 80 generations is chosen in this study by trial and error.
One approach that is often used for multi-objective optimization, other than finding the Pareto front with a genetic algorithm, is to merge all objective functions into one global objective function by using weighted factors [12,39]. However, it is of importance to choose correct weighting factors depending on the order of magnitudes of each objective function.
Alanne et al. [40] applied this concept in a multi-criteria evaluation of residential energy supply systems. To obtain comparable values of all five objectives (life cycle cost, use of abiotic resource, use of water, global warming potential and acidification potential, which all have different units), all values are normalized within a range of zero to one. Weighting factors, which add up to one, have a significant meaning: if two objectives are assigned a weighting factor of 0.5 each, they indeed are worth half of the total normalized cost function.
In this paper, life cycle cost was first minimized and the corresponding life cycle energy use was obtained, and then, the life cycle energy use was minimized and the corresponding life cycle cost obtained. This is equivalent to a multi-objective optimization that use weighting functions with weighting coefficients of zero and one. The minimal and maximal value for LCE and LCC are then used to normalize the objective function, F, for each design alternative, as stated in Equation (7). In each case, w1 + w2 = 1.
Buildings 04 00095 i006
The value of objective function F returned by each particle is used by GenOpt to choose particles to be evaluated in the next generation, until no better particle can be found or the number of generations has attained the specified limit.

6. Results and Discussion

Table 5 presents the objective function values (life cycle cost and life cycle energy) found by the PSO algorithm for three different values of weighting factor w1 (as used in Equation (7)) and the optimum design characteristics of the house envelope. Many configurations are within 1% of the minimum value of each objective function. For instance, for LCC analysis, 368 configurations have a life cycle cost between $246,149 and $248,609. For LCE analysis, 103 configurations have a life cycle energy between 1,495,201 MJ and 1,510,153 MJ.
Table 5. Comparison of the minimum life cycle cost (LCC) and life cycle energy (LCE) design alternatives.
Table 5. Comparison of the minimum life cycle cost (LCC) and life cycle energy (LCE) design alternatives.
Objective functions and optimization variablesw1 = 1 (minimum LCC)w1 = 0 (minimum LCE)w1 = 0.5
Life cycle cost$246,149$254,290$247,787
Life cycle energy1,910,210 MJ1,495,201 MJ1,641,345 MJ
First roof insulation layerNone135 mm polyisocyanurate90 mm polyisocyanurate
Second roof insulation layer225 mm fibreglass batts90 mm blown cellulose135 mm fibreglass batts
Roof effective thermal resistance5.44 m2·K/W7.51 m2·K/W6.91m2·K/W
Wall cavity insulation75 mm fibreglass batts250 mm blown cellulose175 mm fibreglass batts
Wall insulation outside of studs100 mm polyisocyanurate100 mm polyisocyanurate100 mm polyisocyanurate
Wall effective thermal resistance6.88 m2·K/W11.08 m2·K/W8.67 m2·K/W
Basement wall insulation100 mm polyisocyanurate175 mm polyisocyanurate175 mm polyisocyanurate
Basement wall effective thermal resistance6.54 m2·K/W10.48 m2·K/W10.48 m2·K/W
Basement floor insulation100 mm extruded polystyrene100 mm polyurethane100 mm extruded polystyrene
Basement floor effective thermal resistance3.57 m2·K/W4.05 m2·K/W3.57 m2·K/W
First and second story floor covering50 mm lightweight concrete50 mm lightweight concrete50 mm lightweight concrete
Surface area of south-facing windows10 m210 m210 m2
LCC optimization leads to smaller insulation thickness (75–175 mm) and the use of fibreglass batts for cavity insulation, while LCE optimization requires a maximum thickness of cellulose considered in this study (250 mm) with double-stud walls. Both objective functions lead to the use of 100 mm-thick polyisocyanurate for outside stud insulation. The reason for this divergence is that the cost of extra insulation materials, once the optimal point found for minimum LCC is passed, is not paid back from the annual energy cost savings over the life cycle. On the other hand, minimizing LCE calls for much higher levels of insulation, because the embodied energy of the extra material is recuperated in terms of operating energy savings over its life cycle.
However, some envelope components are similar, whether aiming at a low LCE or LCC: concrete floors perform better than wood floors; smaller windows are preferred, and polyisocyanurate is more effective for outside stud insulation. On the other hand, the second insulation material for the roof and the basement floor insulation material are of little consequence for both criteria. It can be observed that the wall insulation thickness, outside of the studs, is smaller for w1 = 0.5 than for both minimum LCC and minimum LCE optimization.
Some conclusions about materials can also be drawn from those results. For instance, polyisocyanurate is superior to polyurethane for outside stud insulation, because it is less expensive, has a higher thermal resistance and a lower embodied energy. It is also to be preferred to extrude polystyrene from both an LCC and LCE point of view. Fibreglass batts and mineral fibre are the most cost-effective materials for cavity insulation, while blown cellulose minimizes life cycle energy.

7. Comparison with Reference Values

In our opinion, the house shape with two walls and a roof tilted by 30° has a minor impact on the results when compared with a regular-shaped house. The difference between the optimum insulation levels from this study and those recommended by standards comes from the difference in economic assumptions.
While great care was taken to create an energy model that is accurate (including framing and thermal bridging effects) and to use pricing data as reliable as possible, perhaps the parameters that have the largest impact on the results are the economic assumptions. Indeed, the optimal levels of insulation presented in this article are higher than those required by building energy efficiency codes, such as MNECCH [26] which is also based on LCC optimization. A comparison of effective thermal resistance values of the optimal LCC envelope, as presented in this study, with codes and regulations from Canada is given in Table 6. In this table, the effective thermal resistances for Québec regulations (effective at the time this optimization was conducted) and Novoclimat (the new regulation in effect August 2012) are calculated using the same thermal bridging calculation method as for the modeled house (parallel heat flow according to [19]).
Table 6. A comparison of effective thermal resistance values for minimum LCC with some reference values.
Table 6. A comparison of effective thermal resistance values for minimum LCC with some reference values.
Building envelopeQuébec regulation [21]Novoclimat (new regulation) [1]MNECCH 1997 [26]Minimum LCC (this study)
Above-ground walls (m2·K/W)2.322.534.16.88
Roof (m2·K/W)3.754.285.25.44
Basement walls (m2·K/W)1.511.773.16.54
Basement floor (m2·K/W)-0.881.083.57
The higher thermal resistance values obtained in this study for minimum LCC are due in part to the longer study period, as well as to a low discount rate, which gives a considerable value to energy cost savings obtained many years in the future. This table suggests that if regulations and standards would consider a life cycle that is closer to that of an actual house (i.e., more than 30 years), as well as a lower discount rate, which would be more representative of the real value of future energy cost, they would tend to recommend higher levels of insulation.
Another optimization run for LCC was conducted to assess the impact of the chosen electricity cost escalation rate on the results. The results show that optimum design configurations do not change when the energy cost escalation rate changed from 2% to 0%. Hence, the choice of the escalation rate within the selected range has a rather limited impact on the results.

8. Conclusions

A systematic optimization process was conducted on various building envelope variables to minimize both LCE and LCC for a lifespan of 50 years, for a single-family house in Québec, Canada. This optimization took into account the details of wall assemblies, namely thermal bridging, thermal mass and multiple layers of insulation materials. Results show that the optimum levels of insulation should be higher than the reference values, even for the case of LCC analysis. The results are for the most part still valid if electricity costs are assumed to increase below the inflation rate for the duration of the study period.
While the results obtained for the envelope are optimal for this specific house, they are obtained for a simple HVAC system; that is, with electric baseboard heaters and a cooling system with a COP of three. It may be more cost and energy effective, past a certain point of envelope thermal resistance, to invest in HVAC systems (such as heat pumps or solar collectors), rather than in further insulation to obtain an even lower LCC or LCE.
The integrated thermal-optimization approach used in this study could be employed with a set of archetype houses at a given location, to provide numerical results that can be generalized if they are included in building energy-related standards.
The main uncertainties of the results presented in the paper are due to: (i) the thermal model; (ii) the embodied energy inventory data; and (iii) the forecast of economic indicators. The TRNSYS program is a well-known energy analysis program, largely used by researchers, however, as any other program was built on assumptions and simplification. For instance, the heat transfer through walls is simulated as one-dimensional, the interior air of each zone is well mixed and has a uniform temperature and the solar radiation through the windows is distributed on the interior surfaces according to a given pattern, not following the movement of the solar patch.
ATHENA Impact Estimator data are expressed in primary energy units and include the following phases of the life cycle: manufacturing, transportation, construction and demolition processes, including on-site construction of building assemblies, maintenance, repair and replacement effects through the operating life and demolition and disposal. Data are regionally sensitive, taking into consideration manufacturing technology, transportation and electricity grid differences, as well as recycled content differences for products produced in various regions. Nevertheless, Optis [41] stated that Athena uses a process-based life cycle methodology, based on his personal communications with an Athena Sustainable Materials Institute staff member, which can lead to incomplete data. Furthermore, all insulation materials data date from 2002. It is difficult to assess how the manufacturing processes and energy sources have changed in the past 10 years. In conclusion, while the database could be improved in terms of inventory methodology and the age of data, it is applicable to the Canadian building industry and is deemed to be amongst the most mature databases in the world [42].
It was beyond the scope of this paper to assess the impact of changes in inflation, the cost of materials or the energy price over the next 50 years. Rather than speculate on such future changes, we opted to follow the approach of [26], which performed the life cycle cost analysis using a set of economic indices; for instance, the real escalation rate of 0% was used for the province of Quebec to assess the minimum insulation level of houses.
The integrated thermal modelling and optimization approach used in this study could be employed with a set of archetype houses at a given location, to provide numerical results that eventually could be generalized if they are included in building energy-related standards.

Acknowledgments

The authors gratefully acknowledge the financial contribution of the Natural Sciences and Engineering Research Council of Canada, the Fonds de recherche du Québec—Nature et technologies, Happy Modular company and the Faculty of Engineering and Computer Science of Concordia University.

Conflicts of Interest

The authors declare no conflict of interest.

References

  1. Agence de l’efficacité énergétique (AEE). Ask for the Best! A Certified Quality Home. Available online: http://www.aee.gouv.qc.ca/en/my-home/novoclimat/ (accessed on 11 May 2011).
  2. Canada Mortgage and Housing Corporation (CMHC). EQuilibrium™ Housing Project Profile: ÉcoTerra™ Eastman, Quebec, Canada. Available online: http://www.cmhc-schl.gc.ca/odpub/pdf/65595.pdf?fr=1305035367640/ (accessed on 10 May 2011).
  3. Gustavsson, L.; Joelsson, A. Life cycle primary energy analysis of residential buildings. Energy Build. 2010, 42, 210–220. [Google Scholar] [CrossRef]
  4. Dodoo, A.; Gustavsson, L.; Sathre, R. Building energy-efficiency standards in a life cycle primary energy perspective. Energy Build. 2011, 43, 1589–1597. [Google Scholar] [CrossRef]
  5. Blengini, G.A.; Di Carlo, T. Energy-saving policies and low-energy residential buildings: An LCA case study to support decision makers in Piedmont (Italy). Int. J. Life Cycle Assess. 2010, 15, 652–665. [Google Scholar] [CrossRef]
  6. Baouendi, R.; Zmeureanu, R.; Bradley, B. Energy and emission estimator: A prototype tool. J. Archit. Eng. 2005, 11, 50–59. [Google Scholar] [CrossRef]
  7. Wang, W.; Zmeureanu, R.; Rivard, H. Applying multi-objective genetic algorithms in green building design optimization. Build. Environ. 2005, 40, 1512–1525. [Google Scholar] [CrossRef]
  8. Verbeeck, G.; Hens, H. Life cycle optimization of extremely low energy dwellings. J. Build. Phys. 2007, 31, 143–177. [Google Scholar] [CrossRef]
  9. Hasan, A.; Vuolle, M.; Sirén, K. Minimisation of life cycle cost of a detached house using combined simulation and optimisation. Build. Environ. 2008, 43, 2022–2034. [Google Scholar] [CrossRef]
  10. Tuhus-Dubrow, D.; Krarti, M. Genetic-algorithm based approach to optimize building envelope design for residential buildings. Build. Environ. 2010, 45, 1574–1581. [Google Scholar] [CrossRef]
  11. Bichiou, Y.; Krarti, M. Optimization of envelope and HVAC systems selection for residential buildings. Energy Build. 2011, 43, 3373–3382. [Google Scholar] [CrossRef]
  12. Kassab, M. Improving the Energy Performance of Houses in Montreal Using the Life-Cycle Analysis. Master Thesis, Concordia University, Montreal, Canada, 2002. [Google Scholar]
  13. Zmeureanu, R.; Cherqui, F.; Dupe, E.; Wurtz, E.; Allard, F. Simulation of the Environmental Impact of a Canadian House. In Proceedings of the 2005 World Sustainable Building Conference, Tokyo, Japan, 27–29 Septemebr 2005.
  14. Kneifel, J. Life-cycle carbon and cost analysis of energy efficiency measures in new commercial buildings. Energy Build. 2010, 42, 333–340. [Google Scholar] [CrossRef]
  15. Morrissey, J.; Horne, R.E. Life cycle cost implications of energy efficiency measures in new residential buildings. Energy Build. 2011, 43, 915–924. [Google Scholar] [CrossRef]
  16. Klein, S. A TRaNsient SYstems Simulation Program. Version 16. Solar Energy Laboratory: University of Wisconsin-Madison, Madison, WI, USA. Available online: http://sel.me.wisc.edu/trnsys/default.htm (accessed on 16 December 2012).
  17. EnergyPlus Energy Simulation Program. Weather Data. U.S. Department of Energy: Energy Efficiency and Renewable Energy, Washington, DC, USA. Available online: http://apps1.eere.energy.gov/buildings/energyplus/weatherdata_about.cfm (accessed on 10 December 2012).
  18. Hamelin, M.-C. Life Cycle Optimization of Envelope and Mechanical Systems for a Single-Family House in Quebec. Master Thesis, Concordia University, Montreal, Canada, 2012. [Google Scholar]
  19. ASHRAE. Handbook: Fundamentals (SI Edition). American Society of Heating, Refrigerating and Air-Conditioning Engineers Inc.: Atlanta, GA, USA, 2009. [Google Scholar]
  20. Trusty, W.B. Incorporating LCA into green building rating systems. Environ. Manag. Mag. 2009, 2009, 19–22. [Google Scholar]
  21. Gouvernement du Québec. Règlement sur L'économie de L'énergie dans les Nouveaux Bâtiments. Publications du Quebec: Quebec, Canada, 1992. (In French) [Google Scholar]
  22. ISO 15686-5:2008. Buildings and Constructed Assets. Service Life Planning. Part 5: Life-Cycle Costing. International Organization for Standardization: Geneva, Switzerland, 2008. [Google Scholar]
  23. Fuller, S.K.; Petersen, S.R. INIST Handbook 135: Life-Cycle Costing Manual for the Federal Energy Management Program. National Institute for Standards and Technology: Gaithersburg, MD, USA, 1996. [Google Scholar]
  24. Athena Impact Estimator for Buildings V 4.1 Software and Database Overview. Athena Sustainable Materials Institute: Ottawa, Canada. Available online: http://www.athenasmi.org/wp-content/uploads/2011/10/ImpactEstimatorSoftwareAndDatabaseOverview.pdf (accessed on 24 November 2011).
  25. Sartori, I.; Hestnes, A.G. Energy use in the life cycle of conventional and low-energybuildings: A review article. Energy Build. 2007, 39, 249–257. [Google Scholar] [CrossRef]
  26. Canadian Commission on Buildings and Fire Codes. Model National Energy Code of Canada for Houses; NRC-CNRC: Ottawa, Canada, 1997. [Google Scholar]
  27. Statistics Canada 2009. Catalogue No. 57-202: Electric Power Generation, Transmission and Distribution. Ministry of Industry of Canada: Ottawa, Canada. Available online: http://www.statcan.gc.ca/pub/57-202-x/57-202-x2007000-eng.pdf (accessed on 29 July 2011).
  28. RS Means. RS Means Residential Cost Data 2011, 30th Annual Edition edReed Construction Data: Norwell, MA, USA, 2001. [Google Scholar]
  29. Bank of Canada. Canadian Interest Rates and Monetary Policy Variables: 10-Year Lookup. Available online: http://www.bankofcanada.ca/rates/interest-rates/canadian-interest-rates/ (accessed on 3 August 2011).
  30. Bank of Canada. Inflation Calculation. Available online: http://www.bankofcanada.ca/rates/related/inflation-calculator/ (accessed on 3 August 2011).
  31. Hydro-Québec. Comparison of Electricity Prices in Major North American Cities 2010. Available online: http://www.hydroquebec.com/publications/en/comparison_prices/pdf/comp_2010_en.pdf (accessed on 3 August 2011).
  32. Wetter, M. GenOpt: Generic Optimization Program. Version 3.0.3, 2011. Lawrence Berkeley National Laboratory: Berkeley, CA, USA. Available online: http://simulationresearch.lbl.gov/GO/ (accessed on 17 December 2012).
  33. Fraisse, F.; Bai, Y.; Le Pierres, N.; Letz, T. Comparative study of various optimization criteria for SDHWS and a suggestion for a new global evaluation. Sol. Energy 2009, 83, 232–245. [Google Scholar] [CrossRef]
  34. Ng Cheng Hin, J.; Zmeureanu, R. Optimization of a residential solar combisystem for minimum life cycle cost, energy use and exergy destroyed. Sol. Energy 2014, 100, 102–113. [Google Scholar] [CrossRef]
  35. Wetter, M. GenOpt Generic Optimization Program, User Manual Version 3.0.3. Lawrence Berkeley National Laboratory: Berkeley, CA, USA, 2009. [Google Scholar]
  36. Parsopoulos, K.E.; Vrahatis, M.N. Recent approaches to global optimization problems through Particle Swarm Optimization. Nat. Comput. 2002, 1, 235–306. [Google Scholar] [CrossRef]
  37. Van den Bergh, F.; Engelbrecht, A.P. Effects of Swarm Size on Cooperative Particle Swarm Optimisers. In Proceedings of the Genetic and Evolutionary Computation Conference (GECCO) 2001, San Francisco, CA, USA, 7–11 July 2001.
  38. Kennedy, J.; Eberhart, R. Swarm Intelligence. Morgan Kaufmann Publishers: San Francisco, CA, USA, 2001. [Google Scholar]
  39. Hauglustaine, J.M.; Azar Lema, S. Interactive Tool Aiding to Optimise the Building Envelope during the Sketch Design. In Proceedings of the Seventh International IBPSA Conference (BS2001), Rio de Janeiro, Brazil, 13–15 August 2001.
  40. Alanne, K.; Salo, A.; Saari, A.; Gustafsson, S.I. Multi-criteria evaluation of residential energy supply systems. Energy Build. 2007, 39, 1218–1226. [Google Scholar] [CrossRef]
  41. Optis, M.B. Incorporating Life Cycle Assessment into the LEED Green Building Rating System. Master Thesis, University of Victoria, Victoria, Canada, 2005. [Google Scholar]
  42. Newton, P.; Hampson, K.; Drogemuller, R. Technology, Design and Process Innovation in the Built Environment. Spon Press: London, UK, 2009. [Google Scholar]

Share and Cite

MDPI and ACS Style

Hamelin, M.-C.; Zmeureanu, R. Optimum Envelope of a Single-Family House Based on Life Cycle Analysis. Buildings 2014, 4, 95-112. https://doi.org/10.3390/buildings4020095

AMA Style

Hamelin M-C, Zmeureanu R. Optimum Envelope of a Single-Family House Based on Life Cycle Analysis. Buildings. 2014; 4(2):95-112. https://doi.org/10.3390/buildings4020095

Chicago/Turabian Style

Hamelin, Marie-Claude, and Radu Zmeureanu. 2014. "Optimum Envelope of a Single-Family House Based on Life Cycle Analysis" Buildings 4, no. 2: 95-112. https://doi.org/10.3390/buildings4020095

APA Style

Hamelin, M.-C., & Zmeureanu, R. (2014). Optimum Envelope of a Single-Family House Based on Life Cycle Analysis. Buildings, 4(2), 95-112. https://doi.org/10.3390/buildings4020095

Article Metrics

Back to TopTop