Study on Mechanical Behavior of Excavation Supported by Rock-Socketless End-Suspended Piles in Soil–Rock Composite Strata Pit in Jinan
Abstract
1. Introduction
2. Project Overview
2.1. Stratigraphic and Geological Characteristics of Jinan
2.2. Project Background
2.3. Engineering and Hydrogeological Conditions
3. Design of the Support Structure for the RSEP Foundation Pit
3.1. Characteristics of RSEP
3.2. Foundation Pit Support Scheme
4. Model Test for RSEP
4.1. Configuration of Geotechnical Materials
4.2. Support Structure Type Selection
4.2.1. Similitude Calculation for End-Suspended Piles
4.2.2. Similitude Calculation for Internal Struts
4.2.3. Model Test Setup
4.3. Excavation Procedure for the Model Test
4.4. Analysis of Excavation Data from the Model Test
4.4.1. Settlement Pattern at the Top of the Equivalent Suspended Wall
4.4.2. Pattern of Variation in Axial Forces in Internal Struts
4.4.3. Pattern of Variation in Earth Pressure
4.4.4. Pattern of Variation in the Bending Moment in the Equivalent Suspended Wall
5. Numerical Simulation Analysis of the RSEP Support System
5.1. Establishment of the Numerical Model
5.2. Selection of the Parameters of the Numerical Model
5.3. Numerical Simulation Procedure
5.4. Analysis of the Deformation Characteristics of the Foundation Pit and Suspended Wall
5.4.1. Characteristics of Ground-Surface Settlement Outside the Pit
5.4.2. Lateral Displacement Characteristics of the Equivalent Suspended Wall
5.4.3. Pattern of Variation in Shear Force in the Equivalent Suspended Wall
5.4.4. Variation Characteristics of the Bending Moment in the Equivalent Suspended Wall
5.4.5. Pattern of Variation in Axial Forces in Internal Struts
5.4.6. Stress–Strain Behavior of the Foundation Pit
6. Analysis of Factors Influencing the Stability of Foundation Pit Excavation
6.1. The Degree of Weathering of the Underlying Rock Layer
6.1.1. Ground-Surface Settlement Outside the Pit
6.1.2. Lateral Displacement of the Equivalent Suspended Wall
6.1.3. Bending Moment of the Equivalent Suspended Wall
6.1.4. Internal-Strut Axial Forces
6.1.5. Mechanical Equilibrium Analysis of the Pile-Rock Interface
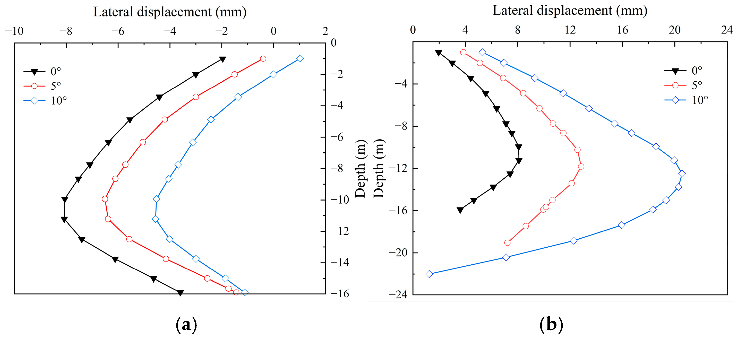
6.2. Dip Angle of the Soil–Rock Interface
6.2.1. Ground-Surface Settlement Outside the Pit
6.2.2. Lateral Displacement of the Equivalent Suspended Wall
6.2.3. Bending Moment of the Equivalent Suspended Wall
6.2.4. Internal-Strut Axial Forces
6.2.5. Quantitative Analysis of Additional Eccentric Bending Moment and Instability Mechanism
6.3. Rock-Contact Depth for the Suspended Wall
6.3.1. Ground-Surface Settlement Outside the Pit
6.3.2. Lateral Displacement of the Equivalent Suspended Wall
6.3.3. Bending Moment of the Equivalent Suspended Wall
6.3.4. Internal-Strut Axial Forces
7. Discussion
8. Conclusions
- The support system demonstrates good stability, effectively controlling deformation. The numerical results reveal a “trough-shaped” settlement profile within 20 m of the pit, with the pattern of wall displacement evolving from being “inverted triangular” to “vase-shaped,” with a maximum excavation depth of 0.368‰. Model tests recorded a peak wall top settlement of 1.84 mm.
- Internal forces follow clear patterns. The bending moment peaks about 1 m above the soil–rock interface, with abrupt changes at strut locations. Strut axial forces increase with excavation, showing inflection points upon installation of new struts, confirming their effectiveness. In practical engineering, special attention should be paid to the soil–rock interface, and local reinforcement measures should be adopted, such as enhancing the support stiffness in the vicinity or strengthening the connection points of the nearby support structures.
- Key factors significantly influence performance. Less weathered rock (moderately weathered) provides optimal constraint, minimizing deformation and strut forces. A steeper soil–rock interface dip (up to 10°) increases loads and deformation on the thicker-soil side but reduces them on the opposite side, resulting in greater overall strut forces than a horizontal interface. Increasing the unsupported length from 3.5 m to 4.5 m reduces deformation, with 4.0–4.5 m being a critical effective embedment interval where load transfer shifts from struts to deep rock.
- The effectiveness of the rock-socketless system was validated for soil–rock composite strata, overcoming the need for a rock shoulder and balancing safety with economy. The findings provide practical guidance for similar projects in Shandong and analogous regions.
Author Contributions
Funding
Data Availability Statement
Conflicts of Interest
References
- Song, S. An Applied Research on Supporting “End-suspended Piles” in Open Excavations of Foundation Pits at the Upper-soft Lower-hard Stratum. Railw. Constr. Technol. 2018, 7, 86–88. [Google Scholar]
- Wang, S. Stress and Deformation Analysis of Metro Station Key Areas Constructed with Semi-reverse Method of Cover and Excavation. Urban Mass Transit 2020, 23, 86–88, 96. [Google Scholar]
- Li, K.; Chen, Z. Construction Technology of End-suspended Pile Support for Soil-rock Combined Foundation Pit. Found. Bed. Found. 2020, 42, 1369–1371. [Google Scholar]
- Liu, J. Study on Applicability of End-suspended Pile Support to Foundation Pit in Soil-rock Mixed Stratum for Metro Station Using Top-down Method. Railw. Eng. 2016, 5, 120–125. [Google Scholar]
- Qi, H.; Wang, Y.; Hou, W.; Yang, B.; Wu, J. Application of Suspended Pile Combined with Existing Underground Structure in Foundation Pit Support Project. Archit. Technol. 2021, 52, 605–607. [Google Scholar]
- Gou, J.; Jia, K.; Cao, M.; Yang, G. Bearing Capacity Analysis of Side Pile Bottom Rock Using Pile-Beam-Arch Method in the Shallow Rock Area. Chin J. Undergr. Space Eng. 2023, 19, 717–721, 731. [Google Scholar]
- Wang, W.; Li, J.; Lyu, H.; Ma, M. Foundation pit support design with end-suspended pile: Taking the foundation pit of Zhonghui Building in Linyi City, Shandong Province as an example. Miner. Explor. 2020, 11, 2777–2782. [Google Scholar]
- Zhang, X.; Fu, D.; Zhou, X.; Han, Y. Characterization of Mechanical Behavior of Ultra-Small Clearance Tunnel Construction in Upper Soil and Lower Rock Composite Strata. Buildings 2023, 13, 559. [Google Scholar] [CrossRef]
- Zhao, R.; Zheng, Y.; Guo, Y.; Luan, S.; Zhang, S. Experiments Studying the Instability Process of a Subway Tunnel in Soil–Rock Composite Strata Influenced by Defects. Buildings 2025, 15, 878. [Google Scholar] [CrossRef]
- Li, J.; Yang, T.; Liu, F.; Zhao, Y.; Liu, H.; Deng, W.; Gao, Y.; Li, H. Modeling spatial variability of mechanical parameters of layered rock masses and its application in slope optimization at the open-pit mine. Int. J. Rock. Mech. Min. 2024, 181, 105859. [Google Scholar] [CrossRef]
- Liu, Q.; Zhang, C.; Hou, J.; Li, L. Experimental and numerical research on the anisotropic compressive mechanical behavior of layered rock. Sci. Rep. 2025, 15, 45106. [Google Scholar] [CrossRef] [PubMed]
- Zhu, K. Study on the mesoscopic failure process of heterogeneous rock based on the 3-D GBM model. Therm. Sci. 2025, 29, 1071–1075. [Google Scholar] [CrossRef]
- Chai, G.; Zhao, Y.; Yang, T.; Zhao, Q.; Jiao, S.; Li, J. Analysis of Surrounding Rock Stability Based on Refined Geological and Mechanical Parameter Modeling—A Case Study. Appl. Sci. 2025, 15, 1465. [Google Scholar] [CrossRef]
- Zhang, H.; Lei, M.; Wang, L.; Cao, M.; Huang, W.; Ding, S. Multiscale numerical investigation into the effects of rock content and rock particle size on the macroscopic and mesoscopic mechanical characteristics of soil rock mixture. Sci. Rep. 2025, 15, 7336. [Google Scholar] [CrossRef]
- Lei, G.; Guo, P.; Hua, F.C.; Gong, X.N.; Luo, L.N. Observed Performance and FEM-Based Parametric Analysis of a Top-Down Deep Excavation in Soil-Rock Composite Stratum. Geofluids 2021, 2021, 6964940. [Google Scholar] [CrossRef]
- Sun, C.; Chen, F.; Li, L.; Jia, K. Local Stability of End-suspended Piles in Ultra-deep Foundation Pits. J. Chang. River Sci. Res. Inst. 2024, 41, 133–139. [Google Scholar]
- Wu, X. The Deformation Law of Retaining Structure and Soil of Deep Foundation Pit by Suspending Pile in Metro. Sci. Technol. Eng. 2016, 16, 280–287. [Google Scholar]
- Huang, X.; Zeng, C.; Lin, B. Suspended Piles and Anchor Cables Used in Support of Deep Soil-Rock Foundation Pit. Drill. Eng. 2019, 46, 75–79. [Google Scholar]
- Diao, Z.; Xia, W. Analysis on Axial Foree Alarm and Deformation Coordination of Combined Support of Pile, Anchor Bolt and Bracing for Super-deep Foundation Pit in Binary Stratum. Mod. Tunn. Technol. 2020, 57, 864–876. [Google Scholar]
- Chi, X.; Chen, Z. Deformation Analysis for the End-Suspended Piles in Deep Foundation Pits with Asymmetric Soil-rock Strata. Constr. Technol. 2017, 46, 84–87. [Google Scholar]
- Wu, J.; Yang, Z.; Liao, S.; Liu, M. Mechanical Analysis and Design Optimization of End-suspended Piles of Deep Foundation Pit in Soil-Rock Composite Strata. Tunn. Constr. 2018, 38, 80–86. [Google Scholar]
- Bai, X.; Zhang, M.; Yuan, H. Deformation Analysis for the End-Suspended Piles in the Combined Soil-Rock Foundation Pits Under Moving Loadings. Rock Soil Mech. 2015, 36, 1167–1173, 1181. [Google Scholar]
- Zhao, W. Design of Support of Deep Foundation Pits in Hard-soft Heterogeneous Ground. Tunn. Constr. 2014, 34, 153–157. [Google Scholar]
- Chen, C.; Yang, H. Study on Calculation Method of Preloaded Axial Force of Foot-lock Anchor in Support System of Soil and Rock Dualistic Foundation Pit End-Suspended Pile. Tunn. Constr. 2020, 40, 1441–1447. [Google Scholar]
- Yu, S.; Huang, C.; Zhang, H.; Xu, Z.; Huang, Z.; Chen, Q. Deformation Analysis and Prediction of Deep Foundation Excavation of Metro in Soil-rock Area. Constr. Technol. 2017, 46, 326–329. [Google Scholar]
- Han, K.; Si, X. Research on the Construction Deformation Characteristics of Large Span Metro Station in Hard Rock Area. J. Railw. Eng. Soc. 2015, 32, 94–99. [Google Scholar]
- Liu, H.; Li, D.; Zhang, Y.; Zheng, J. Numerical Analysis of Deep Foundation Pit Displacement with Double-Row End-Suspended Piles in Strata of Soil-Rock Dualistic Structure. Chin. J. Geotech. Eng. 2008, 30, 225–230. [Google Scholar]
- Li, D.; Wang, H.; Qin, J. Research and Application of Finite Element Strength Reduction Method in the Support of Dualistic Foundation Pit. Build. Sci. 2020, 36, 8–13. [Google Scholar]
- Wu, H.; Fu, X.; Hou, Y.; Zheng, Z.; Yang, J.; Yao, J. Study on Optimization of Deep Foundation Excavation Support Scheme Based on Sensitivity Analysis. Constr. Technol. 2019, 48, 39–43. [Google Scholar]
- Baca, M.; Rybak, J. Pile base and shaft capacity under various types of loading. Appl. Sci. 2021, 11, 3396. [Google Scholar] [CrossRef]
- Zhao, S.; Xu, W.; Wang, Z.; Wang, L.; Zhou, X. Supporting Deformation and Mechanical Response Characteristics of Diaphragm Wall Without Rock Shoulder in Soil-rock Foundation Excavation. Constr. Technol. 2023, 52, 106–114. [Google Scholar]
- Xu, W.; Zhao, S.; Wang, Z.; Zhou, X. Force and Deformation Law for Excavation of Foundation Pit without Rock Shoulder Hanging Footwall in Soil and Rock Strata. Archit. Technol. 2023, 54, 1092–1097. [Google Scholar]
- Yang, L.; Qu, W.; Liu, C.; Shang, H.; Qi, X. Analysis of Suitability about the Division of Engineering Geological Condition and Rail Transit Construction in Jinan Urbon Area. J. Water Resour. Water Eng. 2012, 23, 120–123. [Google Scholar]
- Wang, H.; Lu, L.; Wang, G.; Sun, H. Study on Microstructure and Fractal Features of Shallow Ground in Jinan. Yellow River 2019, 41, 116–120, 124. [Google Scholar]
- Chen, Q.; Tian, H.; Sun, Z.; Song, J. Analysis on Engineering Geological Structure and Issues in Jinan City. Eng. Mech. 2010, 27, 96–104, 113. [Google Scholar] [CrossRef]
- Li, L.; Liu, J.; Li, K.; Huang, H.; Ji, X. Study of parameters selection and applicability of HSS model in typical stratum of Jinan. Rock Soil Mech. 2019, 40, 4021–4029. [Google Scholar]
- Men, Y.; Wang, Y.; Zhou, J.; Liao, S.; Zhang, K. Measurement and Analysis on EPB Shield Machine Tunneling Efficiency in Jinan Composite Stratum. Chin. Civ. Eng. J. 2019, 52, 110–119. [Google Scholar]
- Zhang, Z.; Gao, Y.; Zheng, X.; Cao, J.; Chen, Y. Development and application of similar materials for foundation pit excavation model test of metro station. Appl. Sci. 2022, 12, 12880. [Google Scholar] [CrossRef]
- Zhou, Y.; Feng, S.; Li, J. Study on the failure mechanism of rock mass around a mined-out area above a highway tunnel–Similarity model test and numerical analysis. Tunn. Undergr. Space Technol. 2021, 118, 104182. [Google Scholar] [CrossRef]
- Li, L.; Shang, C.; Chu, K.; Zhou, Z.; Song, S. Large-Scale geo-mechanical model tests for stability assessment of super-large cross-section tunnel. Tunn. Undergr. Space Technol. 2021, 109, 103756. [Google Scholar] [CrossRef]
- Ye, R.; Zhu, Y.; Zhou, Z.; Zhao, X.; Jin, Y.; Li, Q. Deformation Control Effect and Influencing Factors of Servo Steel Support Foundation Pits Based on Model Tests. Urban Mass Transit 2026, 29, 75–80. [Google Scholar]
- Xie, J.; Xu, Q.; Lu, L.; Wu, C.; Sun, J.; Fu, Y.; Zhou, H. Experimental and Simulation Study on Deformation and Mechanical Characteristics of Foundation Pit with Integral Pile-wall for Subway Stations. J. Railw. Sci. Eng. 2026, 1–13. [Google Scholar] [CrossRef]
- Chen, X.; Zhang, R.; Zheng, G.; Wang, R.; Zhang, Y.; Tu, J.; Ma, Y. Experimental study on progressive collapse of tied-back retaining system of excavations induced by partial over-excavation or surcharge loading. Chin. J. Geotech. Eng. 2024, 46, 2078–2088. [Google Scholar]
- Sun, Y.; Xiao, H. Wall displacement and ground-surface settlement caused by pit-in-pit foundation pit in soft clays. KSCE J. Civ. Eng. 2021, 25, 1262–1275. [Google Scholar] [CrossRef]
- Han, J.; Zhao, W.; Jia, P.; Chen, Y. Mechanical Response of Anchored Pile Supporting Deep Excavation Influenced by Local Anchor Failure. J. Northeast. Univ. (Nat. Sci.) 2018, 39, 426–430. [Google Scholar]
- Drusa, M.; Mihalik, J.; Muzik, J.; Gago, F.; Stefanik, M.; Rybak, J. The Role of Geotechnical Monitoring at Design of Foundation Structures and their Verification–Part 2. Civ. Environ. Eng. 2021, 17, 681–689. [Google Scholar] [CrossRef]



















| Strata | Layer Thickness (m) | Gravity, γ (kN/m3) | Elastic Modulus, E (MPa) | Dynamic Poisson’s Ratio, μd | Cohesion, c (kPa) | Friction Angle, φ (°) |
|---|---|---|---|---|---|---|
| Miscellaneous Fill | 1.5 | 17.66 | 40.42 | 0.402 | 8.0 | 12.0 |
| Plain Fill | 1.2 | 17.17 | 42.19 | 0.401 | 10.0 | 12.0 |
| Loess-like Silty Clay | 2.5 | 19.33 | 90.24 | 0.389 | 24.0 | 9.0 |
| Silty Clay | 4.2 | 19.13 | 206.06 | 0.389 | 30.0 | 11.5 |
| Completely Weathered Gabbro | 3.1 | 20.60 | 767.89 | 0.366 | 25.0 | 30.0 |
| Highly Weathered Gabbro | 7.4 | 23.05 | 1779.23 | 0.361 | 30.0 | 40.0 |
| ⑳3Moderately Weathered Gabbro | - | 25.41 | 7263.86 | 0.318 | 150.0 | 40.0 |
| ⑳31Moderately Weathered Gabbro | - | 27.66 | 19,495.09 | 0.299 | 200.0 | 40.0 |
| Key Physical Quantity | Dimension | Similarity Relationship | Similarity Coefficient |
|---|---|---|---|
| Density, (ρ) | ML−3 | Cρ | 1 |
| Geometric Length, (L) | L | CL | 50 |
| Elastic Modulus, (E) | ML−1T−2 | CE | 50 |
| Poisson’s Ratio, (μ) | - | Cμ | 1 |
| Strain, (ε) | - | Cε | 1 |
| Stress, (σ) | ML−1T−2 | CECε | 50 |
| Internal Friction Angle, (φ) | - | Cφ | 1 |
| Cohesion, (c) | ML−1T−2 | CECε | 50 |
| Force, (F) | MLT−2 | CECL2 | 50 |
| Category | Elastic Modulus, E (MPa) | Cohesion, C (kPa) | Friction Angle, φ (°) | |
|---|---|---|---|---|
| Original Parameters | Highly Weathered Gabbro | 1779.23 | 30.0 | 40 |
| ⑳3 Moderately Weathered Gabbro | 7263.86 | 150.0 | 40 | |
| Similitude Coefficient | 50 | 50 | 1 | |
| Target Parameters | 35.58~145.28 | 0.5~3 | 40 | |
| Category | Support Type | Pile Diameter/Wall Thickness (mm) | Elastic Modulus, E (GPa) | Length (mm) | Width (mm) |
|---|---|---|---|---|---|
| Original Parameters | Bored Pile + CSM Cut-off Wall | Φ1000 + 700 | 31.5 | 16,000 | 596 |
| Model Parameter | Nylon PA66GF30% Plate | 6.4 + 6.0 | 8.0 | 320 | 596 |
| Test Step | Procedure | Excavation Depth |
|---|---|---|
| Step 1 | Excavate from the top of the pit to a level 10 mm above the first strut position; then, install the first strut. | −30 mm |
| Step 2 | Continue excavating to a level 10 mm below the second strut position; then, install the second strut. | −165 mm |
| Step 3 | Continue excavating to a level 10 mm below the third strut position; then, install the third strut. | −310 mm |
| Step 4 | Excavate to the final formation level (base). | −440 mm |
| Support Type | Gravity, γ (kN/m3) | Elastic Modulus, E (MPa) | Poisson’s Ratio, ν |
|---|---|---|---|
| Suspended Wall | 23.5 | 31.5 | 0.25 |
| Concrete Strut | 23.5 | 31.5 | 0.25 |
| Concrete Tie Beam | 23.5 | 31.5 | 0.25 |
| Capping Beam | 23.5 | 31.5 | 0.25 |
| Steel Strut | 78.0 | 206.0 | 0.28 |
| Steel Waling Beam | 78.0 | 206.0 | 0.28 |
| Steel Tie Beam | 78.0 | 206.0 | 0.28 |
| Lattice Column | 78.0 | 206.0 | 0.28 |
| Tension Pile | 23.5 | 31.5 | 0.25 |
| Simulation Step | Procedure |
|---|---|
| 1 | Generate an initial geostatic stress field and reset stratum displacement. |
| 2 | Construct the equivalent suspended wall, lattice columns, and tension piles. |
| 3 | Excavate soil down to an elevation of −2 m. |
| 4 | Construct the first-level concrete strut, capping beam, and tie beams at −1 m. |
| 5 | Excavate soil down to an elevation of −8.7 m. |
| 6 | Install the second-level steel strut, steel waling beams, and steel tie beams at −7.75 m. |
| 7 | Excavate soil down to an elevation of −15.95 m. |
| 8 | Install the third-level steel strut, steel waling beams, and steel tie beams at −15 m. |
| 9 | Excavate to the final formation level (base) at −22 m. |
Disclaimer/Publisher’s Note: The statements, opinions and data contained in all publications are solely those of the individual author(s) and contributor(s) and not of MDPI and/or the editor(s). MDPI and/or the editor(s) disclaim responsibility for any injury to people or property resulting from any ideas, methods, instructions or products referred to in the content. |
© 2026 by the authors. Licensee MDPI, Basel, Switzerland. This article is an open access article distributed under the terms and conditions of the Creative Commons Attribution (CC BY) license.
Share and Cite
Ju, W.; Wang, H.; Xu, Y.; Zhou, X. Study on Mechanical Behavior of Excavation Supported by Rock-Socketless End-Suspended Piles in Soil–Rock Composite Strata Pit in Jinan. Buildings 2026, 16, 992. https://doi.org/10.3390/buildings16050992
Ju W, Wang H, Xu Y, Zhou X. Study on Mechanical Behavior of Excavation Supported by Rock-Socketless End-Suspended Piles in Soil–Rock Composite Strata Pit in Jinan. Buildings. 2026; 16(5):992. https://doi.org/10.3390/buildings16050992
Chicago/Turabian StyleJu, Weijun, Huaiwen Wang, Yijun Xu, and Xiaohan Zhou. 2026. "Study on Mechanical Behavior of Excavation Supported by Rock-Socketless End-Suspended Piles in Soil–Rock Composite Strata Pit in Jinan" Buildings 16, no. 5: 992. https://doi.org/10.3390/buildings16050992
APA StyleJu, W., Wang, H., Xu, Y., & Zhou, X. (2026). Study on Mechanical Behavior of Excavation Supported by Rock-Socketless End-Suspended Piles in Soil–Rock Composite Strata Pit in Jinan. Buildings, 16(5), 992. https://doi.org/10.3390/buildings16050992
