Next Article in Journal
Analysis of the Impact of Residential Building Shape and Orientation on Energy Efficiency
Next Article in Special Issue
Dynamic BIM-Driven Framework for Adaptive and Optimized Construction Projects Scheduling Under Uncertainty
Previous Article in Journal
Suggestions for a Collapse-Resistant Design for Frame–Masonry Hybrid Buildings Based on the Concept of Balancing Seismic Shear Forces
Previous Article in Special Issue
The Impact of Using Information Systems on Project Management Success Through the Mediator Variable of Project Risk Management: Results from Construction Companies
 
 
Font Type:
Arial Georgia Verdana
Font Size:
Aa Aa Aa
Line Spacing:
Column Width:
Background:
Article

An Alternative Representation of Project Activity Networks: Activity on Arcs and Nodes (AoAaN)

by
Fernando Grande-González
1,
Pablo Ballesteros-Pérez
2,
Maria Carmen González-Cruz
2,* and
Gunnar Lucko
3
1
Departamento de Proyectos de Ingeniería, Universitat Politècnica de València, Camino de Vera s/n, 46022 Valencia, Spain
2
Project Management, Innovation and Sustainability Research Centre (PRINS), Universitat Politècnica de València, Camino de Vera s/n, 46022 Valencia, Spain
3
Construction Engineering and Management Program, Department of Civil and Environmental Engineering, Catholic University of America, Washington, DC 20064, USA
*
Author to whom correspondence should be addressed.
Buildings 2025, 15(8), 1358; https://doi.org/10.3390/buildings15081358
Submission received: 1 April 2025 / Revised: 14 April 2025 / Accepted: 17 April 2025 / Published: 19 April 2025

Abstract

Activity-on-arc (AoA) and activity-on-node (AoN) project network representations have been used in construction scheduling for many decades. But due to the primary information that they emphasize—the activities themselves in the AoA graphs, and the precedence relationship structure in the AoN graphs—they also have significant limitations. In this paper, we develop a hybrid representation approach named Activity-on-Arcs-and-Nodes (AoAaN). This novel network representation transforms all project activities into arcs (as in the AoA representation) but retains all precedence relationships between activities (as in AoN). To develop this alternative network representation, first, we establish its theoretical drawing principles, which mostly involve how to deal with different precedence relationship types (FS, SS, SF, FF) in basic networks. Then, we proceed with the calculation and analysis of more realistic project examples with a larger number of activities. Advantages of the new AoAaN is that it allows a simpler and more fine-grained determination of the critical path, while facilitating computer calculation via a Dependency Structure Matrix (DSM) that purely contains numerical information. Additionally, the proposed AoAaN allows handling coupled (interdependent) activities, a type of relationship that had previously hampered analysis of networks. Due to its flexible modeling capabilities and calculation simplicity, we suggest the AoAaN representation be added to project management courses as well as be used by project schedulers as a more capable alternative to the traditional AoA and AoN representations.

1. Introduction

Scheduling is a crucial component of project management, enabling planners to visualize, analyze, and optimize project execution [1,2]. Graphical representations of project schedules play a vital role in understanding task dependencies, sequencing, and calculating the critical path and floats within a schedule. These are some of the reasons why they remain relevant in practice during the planning and execution stages of most construction projects [3].
The two most popular project schedule representations are Gantt charts and activity networks [4,5]. In Gantt charts, activity durations (represented as horizontal bars) are the primary visual elements, whereas in activity networks, the primary visual elements are the precedence relationships of activities [3]. Both types of graphs provide the data of activity durations and their precedence. But Gantt charts frequently fail to convey with clarity which activity is the successor (or predecessor) of another, especially as the number of activities grows [4,6]. On the other hand, while precedence relationships in activity networks are easier to appreciate (they are frequently represented as arrows), activity durations are displayed as a plain number on an arc or a node, completely failing to convey graphically the order of magnitude of each activity duration [7].
Even with these limitations, construction schedules in the form of a Gantt chart or activity networks are handy tools for project planning, monitoring, and control [8]. For instance, they help in registering and displaying time and cost deviations, which are two of the primary concerns of project managers [9,10,11]. Yet, in the construction domain, Ballesteros-Pérez et al. [12] proved recently through a large dataset of construction activities that planned activity durations and costs are generally accurate (on average). But their variability, and especially the way that their effects propagate throughout a network, ends up being more frequently the primary cause of project time and cost overruns [13,14,15,16].
This propagation effect is easier to analyze in network representations, rather than in Gantt charts, because the activities’ interconnections are the primary visual element of networks [3]. Costs (overruns or underruns), on the other hand, are mostly additive and are much less dependent on the activities’ order of execution [12]. That is why, in this research, we focus exclusively on activity network representations, particularly in the time dimension (neglecting the cost dimension). For a thorough review of past and recent advances in Gantt chart representations, we suggest reading the works of Wilson [4], Robles [17], or Sakin and Isaacs [18].
The most common graphical models of activity networks are Activity-on-Arc (AoA) and Activity-on-Node (AoN) [19]. These representations remain widely used in practice and taught in many project management courses [20]. However, each of them has inherent limitations that hinder their use in practice. Said limitations are reviewed in the next section.
Hence, this paper proposes a new graphical representation, named Activity-on-Arcs-and-Nodes (AoAaN), which addresses the limitations of AoA and AoN graphs while preserving their essential strengths. To do so, we first provide the theoretical drawing principles for building this new type of network representation in the presence of Finish-to-Start (FS) and non-FS precedence relationships. Second, we apply these drawing principles to two representative project examples and demonstrate their advantages. Additionally, we also describe how to model coupled (interdependent) precedence relationships in activity pairs.

2. Literature Review

In this section, we first review the limitations of AoA and AoN network representations. Then, we outline the research gap that will justify the proposed ‘hybrid’ type of network representation.

2.1. Limitations of AoA Graphs

The Activity-on-Arc (AoA) representation, also known as the Arrow Diagramming Method (ADM), was one of the earliest methods used in project scheduling [21,22]. It represents project activities as directed arcs, while nodes signify events that denote the start or completion of one or more activities. Despite its historical significance and continued use, AoA suffers from several limitations that have substantially reduced its popularity in project management [23].

2.1.1. Dummy Activities and Graph Clutter

One of the most significant drawbacks of AoA is its reliance on so-called ‘dummy’ activities. These artificial activities, which consume no time or resources, are used solely to maintain logical dependencies between productive activities. Using multiple dummies can make the network diagram appear cluttered and complex, which increases the risk of misinterpretation [24]. As the number of activities grows for real-world sized project schedules, the number of required dummy activities also escalates, making the network increasingly difficult to compose and manage [25].
In our AoAaN, while we will use dummy activities, they will always correspond to meaningful precedence relationships, unlike in AoA, where many dummies have no other purpose than connecting the activity arrows (not representing ‘complete’ precedence relationships).

2.1.2. Limitation of Precedence Relationship Types

AoA is limited in its ability to depict the full range of precedence relationship types. Specifically, it only models Finish-to-Start (FS) relationships, making it inconvenient to show Start-to-Start (SS) and impossible to model Finish-to-Finish (FF) and Start-to-Finish (SF) relationships [26,27]. This restricts the flexibility of AoA in accurately representing real-world constraints and interdependencies. This will also be explicitly addressed by our AoAaN, which can handle all types of precedence relationships.

2.1.3. Limited Support for Computational Analysis

AoA networks are primarily graphical, making them ill-suited for direct computational analysis [28]. Modern project management tools rely on matrix-based computations, e.g., Dependency Structure Matrices (DSMs) or adjacency matrices, which are more naturally suited to node-based representations [29,30]. The translation of AoA diagrams into numerical models for software-based analysis can therefore be cumbersome and error-prone. Consequently, as part of our AoAaN representation, we will also produce a DSM that can handle this new type of representation. We will delineate how the critical path calculation with this DSM is also quite easy to perform.

2.1.4. Representation Ambiguity

Given the same set of precedence relationships, AoA can employ different combinations of dummy activities. This hampers using these graphs as a communication tool because each project scheduler tends to draw them based upon different criteria (generally for consistency with other schedules developed by the same company) [12]. Our AoAaN will provide a single unique representation that avoids the hassle of multiple, but equivalent, representations.

2.2. Limitations of AoN Graphs

The Activity-on-Node (AoN) representation, also known as the Precedence Diagramming Method (PDM), attempted to address some deficiencies of AoA by placing activities directly onto its nodes and using arrows for the precedence instead [29]. While AoN is widely used due to its intuitive structure and ability to handle all four dependencies, it still presents limitations [3].

2.2.1. Time-Unscaled

Unlike in AoA graphs, where the arrows can be scaled along the time axis (one dimension) to visualize the activity durations, AoN graphs by definition cannot be time-scaled [31]. Hence, AoN graphs can be considered to be ‘half-dimensional’ (the time axis goes to the right) at the most. The forte of AoN, in fact, is that it achieves a clearer visualization of precedence relationships. However, in doing that, it sacrifices the appreciation of the activities’ duration.
Our AoAaN representation will scale the arrows to show the passing of time. Yet, this is best suited for smaller projects with fewer activities. It will constitute a partial advantage then.

2.2.2. Dependency Overlap and Readability Issues

As mentioned, unlike AoA, AoN can represent all four types of precedence relationships, but, in doing so, their structure can lead to crossing dependency lines and to arrows that point backward in time, implying apparent loops with other arrows, especially in manual efforts [32]. This reduces readability and increases the likelihood of misinterpreting or miscalculating the critical path. Because of this, AoAaN will transform all relationships into equivalent FS links so that all arrows point forward in time (especially if the graph complexity demands it).

2.2.3. Potential Redundancy in Representation

Unlike AoA, whose dummies maintain unique dependencies, AoN may include redundant relationships. This redundancy causes an unnecessary complexity in dependency tracking and can make the network more difficult to modify when schedule changes occur [33,34]. This limitation is mostly the scheduler’s responsibility. Before producing the agreed-upon baseline for all project participants, it is advised to remove any redundant arrows or nodes [35].

2.3. Research Gap

Both AoA and AoN have become foundational models in project scheduling, each offering its own distinct advantages and drawbacks. AoA’s overreliance on dummy activities and limited support for different precedence relationship types make it difficult to adapt to large-scale and real projects. On the other hand, AoN, while being more flexible and widely adopted, cannot even be time-scaled and can suffer from critical path calculation complexity in the presence of non-FS precedence relationships that create (sometimes apparent, sometimes real) loops.
Recognizing all of these limitations, the proposed Activity-on-Arcs-and-Nodes (AoAaN) representation seeks to hybridize the strengths of both methods while mitigating their weaknesses. Namely, this network representation breaks down every activity into two nodes, depicting its start and end dates, respectively, connected with a FS (Finish-to-Start) relationship. Hence, all activities are treated like Finish-to-Start (FS) arcs, similar to the rest of precedence relationships among activities. It will be demonstrated how these simple changes facilitate more intuitive graphical analysis and efficient computer processing. Eventually, this will also make the AoAaN representation more suited for scheduling education and real-world applications.
Additionally, AoAaN has another two advantages. The first is that it will allow calculating the critical path in the presence of coupled activities. These are interdependent pairs of activities whose progress is related to each other because the intermediate output of one of them becomes the input for the other, and vice versa [36,37].
Finally, we will also show how the AoAaN representation supports a clearer and exclusively numerical Dependency Structure Matrix (DSM). This type of matrix is used in many industries and scheduling software (therein to perform the critical path and float calculation) [38]. Simplifying DSM will facilitate a more robust and easy-to-check computer implementation.

2.4. Recent Advances in Activity Network Representation

Despite that the AoAaN representation only attempts to combine the strengths of the classical AoA and AoN representations, activity networks have been subject to extensive research. Consequently, these representations have been provided with new features and capabilities the original representations lacked. We will review some of them, despite it not being the intention to include them in the AoAaN representation proposed in this paper.

2.4.1. Generalized Activity Networks

To address the limitations of traditional activity networks, generalized activity networks have been developed. These models introduce flexibility by incorporating stochastic activity nodes, allowing for a more accurate reflection of real-world project dynamics [39]. Generalized AoN networks, for instance, offer advantages over traditional AoA representations by enabling direct application of logical dependency constraints, thus better managing uncertainties in project scope, cost, and duration [40].

2.4.2. Unified and Alternative Network Models

Unified activity network models integrate various precedence and window constraint types into a single framework, simplifying the complexity of model representation and solution algorithms [41]. Additionally, the AND-OR project network representation addresses resource-constrained scheduling problems by allowing alternative activity chains, which enhances the adaptability of project schedules to changing conditions [42].

2.4.3. Advanced Network Representations

Recent advancements in network representation have further enhanced the capabilities of activity networks. By embedding network vertices into low-dimensional vector spaces, these techniques preserve network topology and other critical information, facilitating more efficient analysis and management of complex project networks [43,44]. This approach supports tasks such as node classification and link prediction, which are crucial for understanding and optimizing project performance [43,44].
Hence, the evolution of activity network models highlights the need for project managers to adopt more flexible and comprehensive tools that can accommodate the complexities of modern projects. By leveraging generalized and unified network models, managers can better predict risks, optimize resource allocation, and ensure timely project completion [39,40,41]. However, it is only the intention of this paper to propose a simple representation technique, focusing exclusively on the time dimension, and that can be handled manually. In the next section, we provide details on how this hybrid representation can be implemented for a basic project.

3. Materials and Methods

In this section, we first provide the theoretical drawing basis for the AoAaN graphs. Then, we provide an example in which all four types (FS, SS, SF, and FF) are used. Finally, we extend its functionality to interdependent/coupled activities, which are common in real contexts.

3.1. Model Outline

This section explains how to draw AoAaN graphs. We depart from the same data that are needed for an AoN or AoA graph, namely activity durations and precedence relationships.
Figure 1 is a small schedule with sequential activities A and B, of durations dA and dB. Between them exists a Finish-to-Start (FS) link with a time lag t. For clarity, we add two nodes that signal the start and end of the network. Labels use dotted arrows. Arcs emanating from or terminating at nodes will generally have zero duration. Figure 1a–c show three network visualizations: (a) AoN, (b) AoA, and (c) our AoAaN. Here the AoA and AoAaN graphs are similar, but that will not hold if non-FS precedence relationships are considered.
In AoN (Figure 1a), activities are nodes (start and end included). Links are arrows, no matter whether they carry a lag duration or have zero duration. This drawing principle of keeping all precedence relationships regardless of their duration is retained in AoAaN (Figure 1c).
In AoA (Figure 1b), the start and end of the project are nodes, in this case a black dot. In many AoA graphs, the dummy arcs (dashed lines) connected to the start or end nodes are omitted. We will keep them to emphasize the analogy to AoAaN graphs.
Finally, AoAaN (Figure 1c) has the key difference that while activities are arrows, we perform all calculations as if each activity consisted of two nodes, e.g., A is from As (start) to Af (finish). For this reason, we place two nodes between the arrows. These nodes emphasize that the core elements of AoAaN are the beginnings and endings of each activity, and that they can be connected by the duration of the activity itself, or by another precedence relationship.
Next, Figure 2 displays the three remaining types in AoAaN graphs. Now, the two activities are connected by a SS (Figure 2a,d,g), SF (Figure 2b,e,h), or FF relationship (Figure 2c,f,i). Of these, Figure 2a–c adopt the traditional AoN view for comparison.
Figure 2d shows the AoA equivalent of Figure 2a. We have mentioned that it is inconvenient to represent SS in AoA. This is because even in the absence of a time lag t, one would need a dummy to connect As (predecessor start node) to Bs (successor start node). Instead, this is the norm in AoAaN (Figure 2g), which visualizes all links as arrows. Similarly, while Figure 2d omits the dummy arcs from Af and Bf to the end node, they are retained in Figure 2g.
An AoA view of Figure 2b,c is impossible. Figure 2e,f are the direct equivalent of transforming SF or FF into FS, respectively. But this transformation comes at the expense of creating a loop. Here node Bs gains a precedence arrow coming backward from Bf. On these occasions, calculating the earliest and latest dates of Bs is not straightforward. Fortunately, AoAaN (Figure 2h,i) can break this loop and simplify the calculation of the critical path in these networks. A single arrow of duration t-dB (which will generally be negative) replaces the previous SF or FF to make it purely sequential; hence, without a loop.
For non-FS relationships, AoAaN will thus adopt the graphical convention of Figure 2g–i. This approach will allow handling all types (unlike AoA) without creating loops (unlike AoN).

3.2. Application Example

We will now detail how to draw the AoAaN network for a somewhat larger example. Table 1 lists five activities, A to E. This project includes all four types of precedence relationships and some non-zero time lags between some activities (including from the end of D to the end).
Figure 3 is the (AoN) view of Table 1. The duration of each activity is below its name. Several implicit precedence relationships (FS with zero lag) have also been added as dashed lines to avoid potential calculation errors. As we have already mentioned above, it is utterly impossible to convert this five-activity project into AoA because it contains FF and SF links.
Instead, we represent it as the DSM of Table 2. Since it has non-FS links, we cannot perform the critical path calculation with this matrix. Some DSMs list activity durations on the diagonal [29]. Although this seems convenient (diagonal cells are empty except in the case of self-loops), from a mathematical point of view, they confound links and durations and thus do not belong there.
Rather, we propose the representation of Figure 4. Activities are arrows (like in AoA), yet all precedence relationships, as in AoN, have also been retained. This graph constitutes the standard form of an AoAaN graph. Note that the start and end nodes of each activity have not been labeled. Instead, black dots signal their position as bookends of each activity arrow.
Figure 4 follows all conventions of Figure 2 and Figure 3. Namely, the SS with a lag of 2 units from A to C is a precedence arrow of duration 2 from As to Cs. The FF from B to D is an arrow with negative duration (−5 time units, i.e., the duration of D itself) from Bf to Ds. And the SF from B to E is an arrow with a negative duration of E duration (−15 time units) from Bs to Es.
With the data arranged in Figure 4, we create Figure 5 for the critical path calculation. Here, earliest dates (EDs) are in green (from the forward pass) and the latest dates (LDs) are in red (from the backward pass). Note that its calculation is performed at the node level, not at the activity level.
Here the long duration of E (15 time units) would cause it to start before time zero (absent a dummy arc from the start). That is why dummies from and to the start and end are added. From Figure 2 to Figure 5, we have thus transformed all links into the FS type. Yet this does not mean that we cannot differentiate which activities are critical or not. For example, A is constrained at both its start and finish, as its incoming and outgoing arcs are all critical (red). Activity D, on the other hand, keeps some flexibility as to either its duration or start (but not both simultaneously). This is because the arc from the start to Ds is non-critical. Moreover, having transformed all precedence relationships to FS in AoAaN now enables us to draw a new DSM, wherein each activity X is broken down into two nodes (Xs and Xf) per Table 3. This paradigm change in composing the DSM is powerful because it enables the direct calculation of the critical path. Conceptually, it also resembles the numerical modification from durations to dates that Gomes-Araújo and Lucko [45] have established to generate their very compact slip charts.
This new DSM boasts some interesting features; we no longer need to list the activity durations outside the matrix (e.g., in the top header row, as in Table 2). Now all data have a consistent numerical meaning and are contained within the grid. This is convenient when performing calculations by computer instead of manually (as we assume we did in Figure 5).
Consequently, we can now perform the critical path calculation directly in Table 3. The EDs are vertical in green and LDs are horizontal in red. The forward pass (to gain ED values) must be performed by columns from top to bottom, and the backward pass (for LD values) must be performed by rows from right to left. To calculate the ED of node X, we take the maximum of the sums of X’s preceding arcs (those with a non-blank cell in X’s column) plus their preceding node’s ED value (i.e., the ED in the same row where the non-blank cell in X’s column is located). For example, Ds’s ED of 15 is calculated by retrieving the values located in the ED’s and Ds’s columns at the start and Bf rows (because those are the only non-blank cells in Ds’s column). This is max {0 + 0 = 0, 20 + (−5) = 15} = 15. After completing this particular calculation step, we then continue with Df’s ED because it is the next right-adjacent column.

3.3. Modelling Interdependent/Coupled Activities

Coupled activities are those where each needs input from the other, so they must iterate or progress somehow in parallel until they converge on a mutually satisfactory solution. Coupled activities are common in most types of engineering design and development projects [46,47], particularly where uncertainties are addressed through invention, analysis, prototyping, verification, validation, and testing tasks [36,37]. The AoAaN approach allows handling this type of activity, and Figure 6 shows the incremental approach to how they are modelled.
Figure 6a shows a pair of coupled activities with their conventional drawing approach in AoN (two arrows in opposite directions connecting both). Figure 6b shows how these two opposite arrows could be transformed into a SS and FF precedence relationship). Then, Figure 6c draws SS and FF in an AoAaN graph (per the conventions of Figure 2). But this creates a logical loop that cannot be resolved and would preclude calculating the critical path properly.
For coupled activities, we therefore propose reversing the direction of the arrow between As and Bf, which is negative in Figure 6c and positive in Figure 6d. This action (that is applied only here, not in other combinations of non-FS) successfully removes the loop and simplifies the coupled connection to just two precedence arcs (one dummy and one with the duration of one of the activities). This simplification only introduces a very minor inaccuracy in Figure 7.
Figure 7 depicts two coupled activities with the approach from Figure 6d for two scenarios whose durations of A and B differ. In Figure 7a,b, we show AoN graphs, and in Figure 7c,d the corresponding AoAaN graph with the now possible calculation of the critical path. The critical arc (in red) makes sense vis-à-vis what we would expect from coupled activities, except in one minor detail. The LD of Bs in Figure 7c is 5, not 0, giving the false impression that starting B is not critical, when it actually is. This imprecision is the cost of removing the loop in Figure 6c, yet is preferrable to not being able to calculate the critical path at all.
Having provided all of the modeling and drawing principles of AoAaN, we will review a more realistic case of a building project in the next section to validate its functioning and results.

4. Validation

We will study a larger application example with a project containing 12 activities. Table 4 displays the durations and precedence of the activities (named from A to K) in the leftmost column. The (simplified) scope of each activity is described in the second column. However, this is irrelevant for the AoAaN representation. The activity durations are stated in the third column (expressed in weeks). Finally, all activities’ precedence relationships are shown in the rightmost column (Predecessors). This project includes all four link types, but just for simplicity (not due to any conceptual limitation), all time lags have been set to 0.
Figure 8 gives the traditional AoN of this project. Again, despite not being explicit in Table 4, several dummy arcs have been included as dashed arrows so that activities do not start (end) before (after) the project start (finish). Unless specified, the default link type is FS. An inspection of Figure 8 finds that identifying the critical path is harder than in the previous five-activity example. Despite the still somewhat low number of activities and zero lags, the mere presence of several non-FS links complicates the critical path calculation substantially.
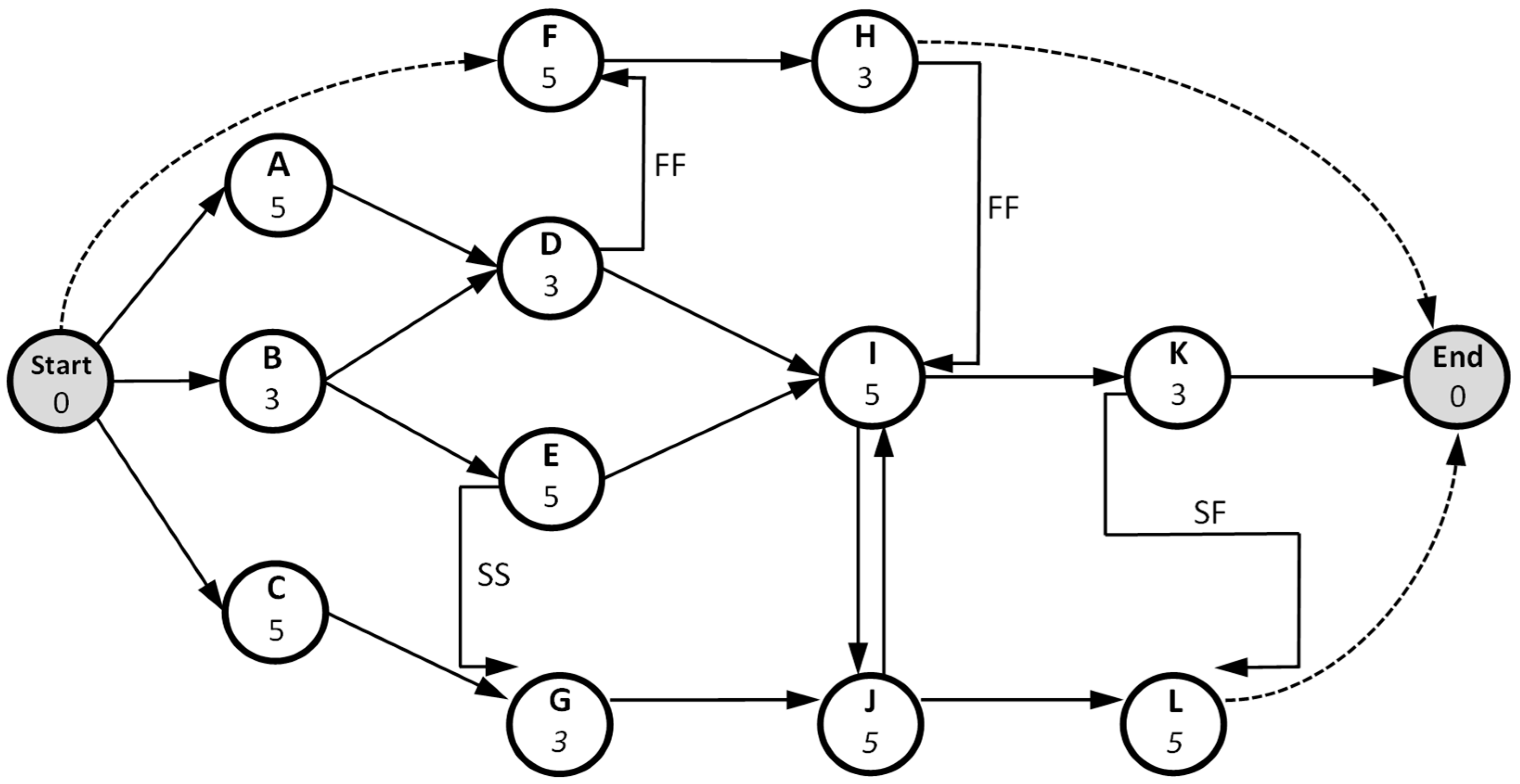
We now follow the same steps as for the previous example to generate the AoAaN in Figure 9. Note that here activities I and J are coupled (also visible in Figure 8). In Figure 9, though, all relationships are sequential, without needing to distinguish coupled from standard activities.
The corresponding DSM is provided in Table 5. This matrix is larger than the standard AoN-derived DSM because each activity X is represented as its start (Xs) and end (Xf) nodes. This means the AoAaN DSM is always of size [2(N + 1)]2, with N being the number of activities. Its advantages, though, are that this matrix is exclusively numerical, and that all cells represent plain Finish-to-Start relationships (obtained from Figure 9). This consistency makes the calculation of the critical path (green and red numbers) much simpler than in the presence of non-FS relationships, as happened in Table 2.
Finally, Figure 10 gives the critical path calculation, which is now streamlined and easier in AoAaN, because all links are sequential. It is worth noting that, without a coupled relationship between I and J, the critical path would have been limited to the bottom activities (C, G, J, and L). This is the kind of upstream or downstream effect that coupled activities can create.

5. Discussion

In this paper, we develop a new network representation named Activity-on-Arcs-and-Nodes (AoAaN) representation. This is a hybrid approach that integrates elements from both Activity-on-Node (AoN) and Activity-on-Arc (AoA) graphs while addressing their respective limitations.
A key shortcoming of AoA graphs was their reliance on dummy activities, often resulting in multiple non-unique configurations. AoAaN mitigates this issue by ensuring that all dummy activities represent meaningful precedence relationships, improving structural clarity. Meanwhile, AoN graphs, although more flexible in handling diverse link types, were not time-scaled and could suffer from calculation loops in non-FS relationships. AoAaN overcomes these issues by transforming all relationships into FS, allowing arrows to scale proportionally to their durations and ensuring they point in a positive time direction. This not only enhances readability but also reduces dependency overlap and minimizes errors in critical path calculations.
AoAaN provides a more intuitive yet powerful modeling framework for visualizing and analyzing construction schedules, particularly in large projects with diverse precedence relationships, including interdependent activities.
Despite these strengths, AoAaN does introduce some trade-offs. The number of arrows and dummy activities is slightly higher than in AoA and AoN, though this redundancy diminishes when time lags are non-zero. Retaining these elements, however, ensures a rigorous and visually clear representation of the project network.
Finally, it may be necessary to note that construction schedules are generally subject to changes as projects progress. These changes may involve activity delays, cost variations, work interruptions and the like. AoAaN representation can handle these schedule variations the same way AoA and AoN representations do, mostly and basically by updating the activities’ information downstream; that is, the start and end dates of activities have not started yet or remain in-progress. Hence, no additional information demand is necessary when opting for using this alternative network representation.

6. Conclusions

Activity-on-arc (AoA) and activity-on-node (AoN) project network representations have been used in construction scheduling for a long time. However, each has limitations due to the primary information that they emphasize. For example, AoA graphs prioritize visualizing the activities themselves (as arcs), whereas AoN graphs prioritize visualizing the precedence relationships among activities. This entails some analytical and drawing limitations, which have been addressed by a novel hybrid network representation proposed in this paper.
Namely, this paper introduces the Activity-on-Arcs-and-Nodes (AoAaN) representation, a hybrid approach that integrates elements from AoN and AoA representations. This network representation breaks down every activity into two nodes depicting its start and end dates, respectively, connected with a FS (Finish-to-Start) relationship. Hence, all activities and all precedence relationships can be modeled like arcs. In this paper, we detail the drawing principles of the AoAaN network representation for all types of precedence relationships (FS, SS, SF, and FF), as well as for coupled (interdependent) activities.
From an educational perspective, AoAaN offers advantages in teaching scheduling concepts. Its structured graphical representation and simplified critical path calculation make it an effective tool for helping students grasp task dependencies, sequencing, and schedule constraints. Additionally, AoAaN integrates well with Design Structure Matrices (DSMs), allowing students to gain hands-on experience with matrix-based computational approaches commonly used in project management and engineering.
Looking ahead, future research will explore extending AoAaN to model activity loops, enabling the representation of more complex dependencies while maintaining accurate critical path analysis. The methods outlined in this paper provide a solid foundation for further advancements in network-based project scheduling.

Author Contributions

Conceptualization, F.G.-G. and P.B.-P.; methodology, F.G.-G. and G.L.; validation, F.G.-G. and M.C.G.-C.; formal analysis, P.B.-P. and G.L.; investigation, F.G.-G.; resources, M.C.G.-C.; writing—original draft preparation, F.G.-G., P.B.-P., and G.L.; writing—review and editing, P.B.-P. and G.L.; visualization, F.G.-G. and P.B.-P.; supervision, M.C.G.-C.; funding acquisition, M.C.G.-C. All authors have read and agreed to the published version of the manuscript.

Funding

This research received no external funding.

Data Availability Statement

The original contributions presented in this study are included in the article. Further inquiries can be directed to the corresponding author.

Conflicts of Interest

The authors declare no conflict of interest.

References

  1. Kelley, J.E. Critical-Path Planning and Scheduling: Mathematical Basis. Oper. Res. 1961, 9, 296–320. [Google Scholar] [CrossRef]
  2. Ottaviani, F.M.; De Marco, A.; Narbaev, T.; Rebuglio, M. Improving Project Estimates at Completion through Progress-Based Performance Factors. Buildings 2024, 14, 643. [Google Scholar] [CrossRef]
  3. Ballesteros-Pérez, P.; Larsen, G.D.; González-Cruz, M.C. Do Projects Really End Late? On the Shortcomings of the Classical Scheduling Techniques. J. Technol. Sci. Educ. 2018, 8, 86–102. [Google Scholar] [CrossRef]
  4. Wilson, J.M. Gantt Charts: A Centenary Appreciation. Eur. J. Oper. Res. 2003, 149, 430–437. [Google Scholar] [CrossRef]
  5. Maravas, A.; Pantouvakis, J. Schedula Anima: Dynamic Visualization of Gantt Charts and Resource Usage Graphs in Project Scheduling. Buildings 2025, 15, 393. [Google Scholar] [CrossRef]
  6. Santos Fonseca, S.; Aguilera Benito, P.; Piña Ramírez, C. Development and Application of an Innovative Planning and Monitoring Tool to Optimize Construction Projects. Buildings 2025, 15, 160. [Google Scholar] [CrossRef]
  7. Stroia, N.; Moga, D.; Petreus, D.; Lodin, A.; Muresan, V.; Danubianu, M. Integrated Smart-Home Architecture for Supporting Monitoring and Scheduling Strategies in Residential Clusters. Buildings 2022, 12, 1034. [Google Scholar] [CrossRef]
  8. Zaneldin, E.; Ahmed, W. A Generic Framework for Managing Schedule and Cost Risks of Construction Activities Using PERT and the EV Technique. Buildings 2024, 14, 1918. [Google Scholar] [CrossRef]
  9. Vanhoucke, M. On the Dynamic Use of Project Performance and Schedule Risk Information during Project Tracking. Omega 2011, 39, 416–426. [Google Scholar] [CrossRef]
  10. Vanhoucke, M. On the Use of Schedule Risk Analysis for Project Management. J. Mod. Proj. Manag. 2015, 2, 108–117. [Google Scholar]
  11. Alshibani, A.; Hafez, B.E.; Hassanain, M.A.; Mohammed, A.; Al-Osta, M.; Bahraq, A. Fuzzy Logic-Based Method for Forecasting Project Final Cost. Buildings 2024, 14, 3738. [Google Scholar] [CrossRef]
  12. Ballesteros-Pérez, P.; Sanz-Ablanedo, E.; Soetanto, R.; González-Cruz, M.C.; Larsen, G.D.; Cerezo-Narváez, A. Duration and Cost Variability of Construction Activities: An Empirical Study. J. Constr. Eng. Manag. 2020, 146, 04019093. [Google Scholar] [CrossRef]
  13. Ballesteros-Pérez, P.; Sanz-Ablanedo, E.; Cerezo-Narváez, A.; Lucko, G.; Pastor-Fernández, A.; Otero-Mateo, M.; Contreras-Samper, J.P. Forecasting Accuracy of In-Progress Activity Duration and Cost Estimates. J. Constr. Eng. Manag. 2020, 146, 04020104. [Google Scholar] [CrossRef]
  14. Jang, J.; Jeong, E.; Cho, J.; Kim, T.W. Exploring Simultaneous Effects of Delay Factors in Precast Concrete Installation. Buildings 2024, 14, 3894. [Google Scholar] [CrossRef]
  15. Alhammadi, Y.; Al-Mohammad, M.S.; Rahman, R.A. Modeling the Causes and Mitigation Measures for Cost Overruns in Building Construction: The Case of Higher Education Projects. Buildings 2024, 14, 487. [Google Scholar] [CrossRef]
  16. Alsulami, B.T. Change Orders and Their Domino Effect: Insights from Public Construction Projects in the Kingdom of Saudi Arabia. Buildings 2025, 15, 87. [Google Scholar] [CrossRef]
  17. Robles, V.D. Visualizing Certainty: What the Cultural History of the Gantt Chart Teaches Technical and Professional Communicators about Management. Tech. Commun. Q. 2018, 27, 300–321. [Google Scholar] [CrossRef]
  18. Sakin, S.A.; Isaacs, K.E. A Literature-Based Visualization Task Taxonomy for Gantt Charts. In Proceedings of the 2024 IEEE Visualization and Visual Analytics (VIS), St. Pete Beach, FL, USA, 13–18 October 2024; IEEE: New York, NY, USA; pp. 236–240. [Google Scholar]
  19. Baker, K.R.; Trietsch, D. Principles of Sequencing and Scheduling, 2nd ed.; John Wiley & Sons, Inc.: Pondicherry, India, 2019; ISBN 9781119262589. [Google Scholar]
  20. Vanhoucke, M. Project Management with Dynamic Scheduling; Springer: Berlin, Heidelberg, 2012; ISBN 978-3-642-25174-0. [Google Scholar]
  21. Kelley, J.; Walker, M. Critical-Path Planning and Scheduling. In Proceedings of the Eastern Joint Computer Conference, Boston, MA, USA, 1–3 December 1959. [Google Scholar]
  22. Kelley, J.; Walker, M. The Origins of CPM: A Personal History. PMNETwork 1989, 3, 7–22. [Google Scholar]
  23. Moder, E.; Phillips, J.J.; Davis, C.R. Project Management with Cpm, Pert and Precedence Diagramming, 3rd ed.; Nostrand Reinhold: New York, NY, USA, 1983; ISBN 978-0442254155. [Google Scholar]
  24. Wiest, J.L.F. A Management Guide to PERT/CPM: With GERT/PDM/DCPM and Other Networks, 2nd ed.; Prentice-Hall, Inc.: Englewood Cliffs, NJ, USA, 1977; ISBN 978-0135491058. [Google Scholar]
  25. Ballesteros-Pérez, P.; González-Cruz, M.C.; Pastor-Ferrando, J.P. Analysis of Construction Projects by Means of Value Curves. Int. J. Proj. Manag. 2010, 28, 719–731. [Google Scholar] [CrossRef]
  26. Brucker, P.; Drexl, A.; Möhring, R.; Neumann, K.; Pesch, E. Resource-Constrained Project Scheduling: Notation, Classification, Models, and Methods. Eur. J. Oper. Res. 1999, 112, 3–41. [Google Scholar] [CrossRef]
  27. Lim, T.K.; Yi, C.Y.; Lee, D.E.; Arditi, D. Concurrent Construction Scheduling Simulation Algorithm. Comput. Aided Civ. Infrastruct. Eng. 2014, 29, 449–463. [Google Scholar] [CrossRef]
  28. Halpin, D.W.; Woodhead, R.W. Construction Management, 3rd ed.; John Wiley and Sons: New York, NY, USA, 1998; ISBN 978-0471345664. [Google Scholar]
  29. Demeulemeester, E.; Vanhoucke, M.; Herroelen, W. RanGen: A Random Network Generator for Activity-on-the-Node Networks. J. Sched. 2003, 6, 17–38. [Google Scholar] [CrossRef]
  30. González-Cruz, M.-C.; Ballesteros-Pérez, P.; Lucko, G.; Zhang, J.-X. Critical Duration Index: Anticipating Project Delays from Deterministic Schedule Information. J. Constr. Eng. Manag. 2022, 148, 04022121. [Google Scholar] [CrossRef]
  31. Triana-Granados, K.V.; Bernard, I.R.; Merlin, A.; Lucko, G.; Ballesteros-Pérez, P. Graphical Delay Tracking for Linear and Repetitive Schedules. J. Constr. Eng. Manag. 2024, 150, 04024090. [Google Scholar] [CrossRef]
  32. Bartusch, M.; Möhring, R.H.; Radermacher, F.J. Scheduling Project Networks with Resource Constraints and Time Windows. Ann. Oper. Res. 1988, 16, 199–240. [Google Scholar] [CrossRef]
  33. Ballesteros-Pérez, P. M-PERT. A Manual Project Duration Estimation Technique for Teaching Scheduling Basics. J. Constr. Eng. Manag. 2017, 143, 04017063. [Google Scholar] [CrossRef]
  34. Ballesteros-Pérez, P. Modelling the Boundaries of Project Fast-Tracking. Autom. Constr. 2017, 84, 231–241. [Google Scholar] [CrossRef]
  35. Mubarak, S. Construction Project Scheduling and Control; Wiley: Hoboken, NJ, USA, 2010; ISBN 9780470505335. [Google Scholar]
  36. de Weck, O.L.; Roos, D.; Magee, C.L.; Cooper, S. Engineering Systems; The MIT Press: Cambridge, MA, USA, 2011; ISBN 9780262298513. [Google Scholar]
  37. de Weck, O.L.; Roos, D.; Magee, C.L.; Cooper, S. Modeling and Analyzing Engineering Systems. In Engineering Systems; The MIT Press: Cambridge, MA, USA, 2011; pp. 97–122. [Google Scholar]
  38. Eppinger, S.D.; Browning, T.R. Design Structure Matrix Methods and Applications; The MIT Press: Cambridge, MA, USA, 2012; ISBN 9780262301428. [Google Scholar]
  39. W Dawson, C.; J Dawson, R. Clarification of Node Representation in Generalized Activity Networks for Practical Project Management. Int. J. Proj. Manag. 1994, 12, 81–88. [Google Scholar] [CrossRef]
  40. Dawson, C.W.; Dawson, R.J. Generalised Activity-on-the-Node Networks for Managing Uncertainty in Projects. Int. J. Proj. Manag. 1995, 13, 353–362. [Google Scholar] [CrossRef]
  41. Hendrickson, C.; Zozaya-Gorostiza, C. Unified Activity Network Model. J. Comput. Civ. Eng. 1989, 3, 192–200. [Google Scholar] [CrossRef]
  42. Tao, S.; Dong, Z.S. Scheduling Resource-Constrained Project Problem with Alternative Activity Chains. Comput. Ind. Eng. 2017, 114, 288–296. [Google Scholar] [CrossRef]
  43. Zhang, D.; Yin, J.; Zhu, X.; Zhang, C. Network Representation Learning: A Survey. IEEE Trans. Big Data 2020, 6, 3–28. [Google Scholar] [CrossRef]
  44. Liu, X.; Tang, J. Network Representation Learning: A Macro and Micro View. AI Open 2021, 2, 43–64. [Google Scholar] [CrossRef]
  45. Gomes-Araújo, L.; Lucko, G. Slip Chart–Inspired Project Schedule Diagramming: Links, Extension to Network Schedules, and Unification. J. Constr. Eng. Manag. 2016, 142, 4016011. [Google Scholar] [CrossRef]
  46. Ballesteros-Pérez, P.; González-Cruz, M.C.; Fernández-Diego, M.; Pellicer, E. Estimating future bidding performance of competitor bidders in capped tenders. J. civ. eng. manag. 2014, 20, 702–713. [Google Scholar] [CrossRef]
  47. Ballesteros-Pérez, P.; González-Cruz, M.C.; Pastor-Ferrando, J.P.; Fernández-Diego, M. The iso-Score Curve Graph. A new tool for competitive bidding. Autom. Constr. 2012, 22, 481–490. [Google Scholar] [CrossRef]
Figure 1. FS precedence relationship transformation into AoAaN [(a) AoN representation; (b) AoA representation; (c) AoAaN representation].
Figure 1. FS precedence relationship transformation into AoAaN [(a) AoN representation; (b) AoA representation; (c) AoAaN representation].
Buildings 15 01358 g001
Figure 2. Non-FS precedence relationship transformation into AoAaN [(a) SS in AoN; (b) SF in AoN; (c) FF in AoN; (d) SS in AoA; (e) SF in AoAaN (with loop); (f) FF in AoAaN (with loop); (g) SS in AoAaN; (h) SF in AoAaN; (i) FF in AoAaN].
Figure 2. Non-FS precedence relationship transformation into AoAaN [(a) SS in AoN; (b) SF in AoN; (c) FF in AoN; (d) SS in AoA; (e) SF in AoAaN (with loop); (f) FF in AoAaN (with loop); (g) SS in AoAaN; (h) SF in AoAaN; (i) FF in AoAaN].
Buildings 15 01358 g002
Figure 3. Five-activity project network (AoN representation) [Solid lines: Explicit precedence relationships; Dashed lines: Implicit precedence relationships (FS)].
Figure 3. Five-activity project network (AoN representation) [Solid lines: Explicit precedence relationships; Dashed lines: Implicit precedence relationships (FS)].
Buildings 15 01358 g003
Figure 4. Five-activity project network (AoAaN representation) [Solid lines: arcs with non-zero durations; Dotted lines: dummy arcs (zero duration)].
Figure 4. Five-activity project network (AoAaN representation) [Solid lines: arcs with non-zero durations; Dotted lines: dummy arcs (zero duration)].
Buildings 15 01358 g004
Figure 5. Critical path calculation of the five-activity project network (AoAaN) [Critical activities and arcs are red; earlies dates are green; latest dates are red].
Figure 5. Critical path calculation of the five-activity project network (AoAaN) [Critical activities and arcs are red; earlies dates are green; latest dates are red].
Buildings 15 01358 g005
Figure 6. Relationship transformation for coupled activities [(a) coupled AoN; (b) equivalent in FS, SS, SF, and FF; (c) translation into AoAaN (with loop); (d) adopted AoAaN (without loop)].
Figure 6. Relationship transformation for coupled activities [(a) coupled AoN; (b) equivalent in FS, SS, SF, and FF; (c) translation into AoAaN (with loop); (d) adopted AoAaN (without loop)].
Buildings 15 01358 g006
Figure 7. Critical path calculation in AoAaN transformation of coupled activities [(a) Project with 2 coupled activities, where duration of A > duration of B; (b) project with 2 coupled activities where duration of A < duration of B; (c) transformation of project (a) into AoAaN with critical path calculation; (d) transformation of project (b) into AoAaN with critical path calculation].
Figure 7. Critical path calculation in AoAaN transformation of coupled activities [(a) Project with 2 coupled activities, where duration of A > duration of B; (b) project with 2 coupled activities where duration of A < duration of B; (c) transformation of project (a) into AoAaN with critical path calculation; (d) transformation of project (b) into AoAaN with critical path calculation].
Buildings 15 01358 g007
Figure 8. 12-activity network (AoN representation) [Solid lines: explicit precedence relationships; dashed lines: implicit FS precedence relationships].
Figure 8. 12-activity network (AoN representation) [Solid lines: explicit precedence relationships; dashed lines: implicit FS precedence relationships].
Buildings 15 01358 g008
Figure 9. 12-activity network (AoAaN representation) [dummy arcs with zero duration are represented with dotted lines].
Figure 9. 12-activity network (AoAaN representation) [dummy arcs with zero duration are represented with dotted lines].
Buildings 15 01358 g009
Figure 10. A 12-activity network (AoAaN representation with critical path calculation) [red arcs denote criticality].
Figure 10. A 12-activity network (AoAaN representation with critical path calculation) [red arcs denote criticality].
Buildings 15 01358 g010
Table 1. Activity durations and precedence relationships of the five-activity project (FS: Finish-to-Start; SS: Start-to-Start; FF: Finish-to-Finish; SF: Start-to-Finish).
Table 1. Activity durations and precedence relationships of the five-activity project (FS: Finish-to-Start; SS: Start-to-Start; FF: Finish-to-Finish; SF: Start-to-Finish).
ActivityDuration (Days)Predecessors
Start0-
A10Start
B10A FS
C10A SS + 2
D5B FF
E15B SF
End0B FS, C FS, D FS + 2
Table 2. Traditional Dependency Structure Matrix (DSM) of the five-activity project.
Table 2. Traditional Dependency Structure Matrix (DSM) of the five-activity project.
Successors (Durations)
Predecessors Start (0)A (10)B (10)C (10)D (5)E (15)End (0)
Start-FS
A -FSSS + 2
B - FFSFFS
C - FS
D - FS + 2
E -FS
End -
Table 3. DSM of the five-activity project in AoAaN [Note the three bold negative durations forcing the relationships to become FS].
Table 3. DSM of the five-activity project in AoAaN [Note the three bold negative durations forcing the relationships to become FS].
Successors
Predecessors StartAsAfBsBfCsCfDsDfEsEfEnd
ED LD001010201222152072222
Start0-0 0 0 0
As0 -10 2
Af10 -0
Bs10 -10 −15
Bf20 - −5 0
Cs2 -10
Cf12 - 0
Ds15 -5
Df20 - 2
Es0 -15
Ef15 -0
End22 -
Table 4. Durations and precedence relationships of the 12-activity assembly hall project.
Table 4. Durations and precedence relationships of the 12-activity assembly hall project.
ActivityDescriptionDuration (Weeks)Predecessors
Start-0-
ALicenses and permits5Start
BSite cleaning3Start
CProcurement5Start
DFoundations3A FS; B FS
EFencing5B FS
FStructural calculations5D FF
GMaterials available on-site3C FS; E SS
HPrefabricated dome order3F FS
IInterior structure5D FS; E FS; H FF; J int.
JMaterials and strength tests5G FS; I int.
KDome installation3I FS
LAudit & Quality control report5J FS; K SF
End-0K FS
Table 5. 12-activity network (DSM representation).
Table 5. 12-activity network (DSM representation).
Successors
StartAsAfBsBfCsCfDsDfEsEfFsFfGsGfHsHfIsIfJsJfKsKfLsLfEnd
ED LD005030558385105810138158131518131818
PredecessorsStart0 0 0 0 0
As0 5
Af5 0
Bs0 3
Bf3 0 0
Cs0 5
Cf5 0
Ds5 3
Df8 −5 0
Es3 5 0
Ef8 0
Fs3 5
Ff8 0
Gs5 3
Gf8 0
Hs8 3
Hf11 −5 0
Is8 505
If13 0
Js8 5
Jf13 0
Ks13 3−5
Kf16 0
Ls13 5
Lf18 0
End18
Disclaimer/Publisher’s Note: The statements, opinions and data contained in all publications are solely those of the individual author(s) and contributor(s) and not of MDPI and/or the editor(s). MDPI and/or the editor(s) disclaim responsibility for any injury to people or property resulting from any ideas, methods, instructions or products referred to in the content.

Share and Cite

MDPI and ACS Style

Grande-González, F.; Ballesteros-Pérez, P.; González-Cruz, M.C.; Lucko, G. An Alternative Representation of Project Activity Networks: Activity on Arcs and Nodes (AoAaN). Buildings 2025, 15, 1358. https://doi.org/10.3390/buildings15081358

AMA Style

Grande-González F, Ballesteros-Pérez P, González-Cruz MC, Lucko G. An Alternative Representation of Project Activity Networks: Activity on Arcs and Nodes (AoAaN). Buildings. 2025; 15(8):1358. https://doi.org/10.3390/buildings15081358

Chicago/Turabian Style

Grande-González, Fernando, Pablo Ballesteros-Pérez, Maria Carmen González-Cruz, and Gunnar Lucko. 2025. "An Alternative Representation of Project Activity Networks: Activity on Arcs and Nodes (AoAaN)" Buildings 15, no. 8: 1358. https://doi.org/10.3390/buildings15081358

APA Style

Grande-González, F., Ballesteros-Pérez, P., González-Cruz, M. C., & Lucko, G. (2025). An Alternative Representation of Project Activity Networks: Activity on Arcs and Nodes (AoAaN). Buildings, 15(8), 1358. https://doi.org/10.3390/buildings15081358

Note that from the first issue of 2016, this journal uses article numbers instead of page numbers. See further details here.

Article Metrics

Back to TopTop