Physical Property Calculation and Refrigeration Cycle Analysis of Mixed Refrigerant R32/R290
Abstract
1. Introduction
2. Materials and Methods
2.1. Mathematical Model
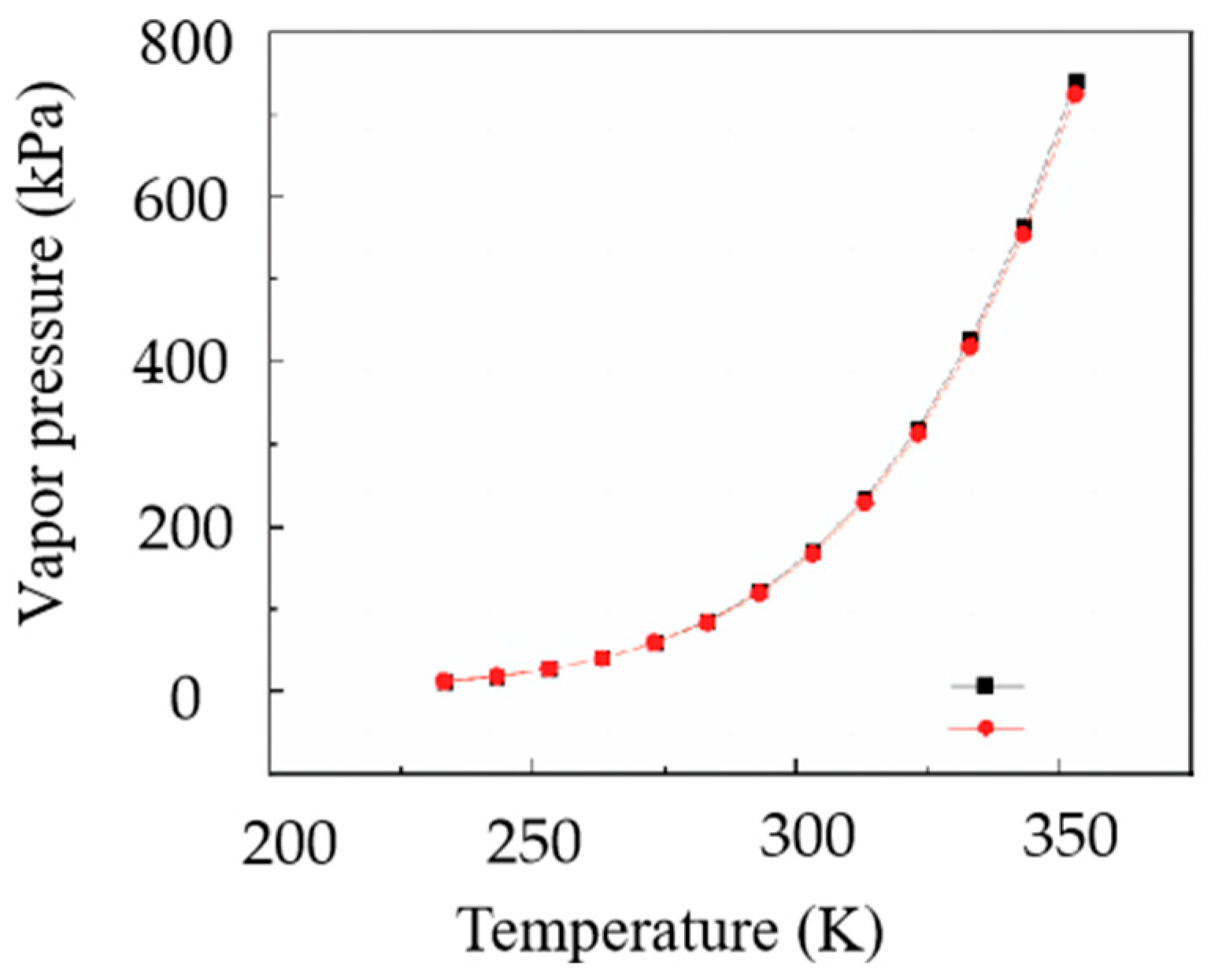
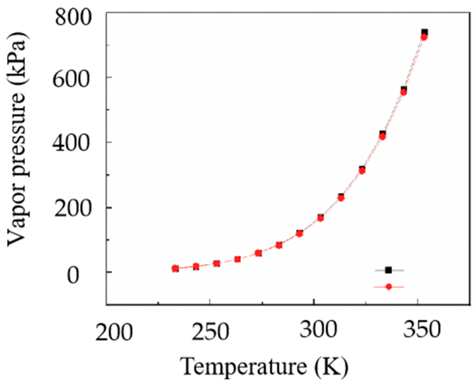
2.2. Model Validation
3. Results
3.1. Dew Point and Bubble Point
3.2. Boiling Point
3.3. Latent Heat of Vaporization
3.4. Thermal Conductivity
4. Refrigeration Cycle Performance Analysis
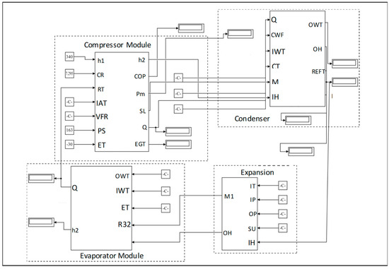
4.1. The Verification of the Refrigeration Cycle
4.2. Simulation Results of the Refrigeration Cycle
5. Discussion
5.1. Condensing Temperature
5.2. Evaporation Temperature
6. Conclusions
7. Advantages and Challenges of R32/R290 Mixed Refrigerant
7.1. Advantages and Social Contributions of R32/R290 Mixed Refrigerant
7.2. Challenges of R32/R290 Mixed Refrigerant
Author Contributions
Funding
Data Availability Statement
Conflicts of Interest
Abbreviations
| CR | Compression ratio |
| RT | Refrigeration |
| IAT | Intake air temperature |
| VFR | Volume ratio |
| PS | Suction pressure |
| ET | Evaporator temperature |
| COP | Coefficient of Performance |
| EGT | Exhaust gas temperature |
| OWT | Outlet water temperature |
| IWT | Inlet water temperature |
| CWF | Cooling water flow |
| CT | Condensation temperature |
| IH | Inlet enthalpy |
| OH | Outlet enthalpy |
| REF | Refrigerant outlet temperature |
| SU | Superheat |
| cEOS | Cubic equations of state |
| GWP | Global warming potential |
| ODP | Ozone depletion potential |
References
- Zhang, Z.; Cao, H.; Jin, T.; Lv, Z. Refrigerant Injection for Heat Pump Systems in Cold Regions: Advancements, Challenges and Future Perspectives. Int. J. Refrig. 2023, 155, 7–22. [Google Scholar]
- Vuppaladadiyam, A.K.; Antunes, E.; Vuppaladadiyam, S.S.V.; Baig, Z.T.; Subiantoro, A.; Lei, G.; Leu, S.-Y.; Sarmah, A.K.; Duan, H. Progress in the Development and Use of Refrigerants and Unintended Environmental Consequences. Sci. Total Environ. 2022, 823, 153670. [Google Scholar]
- Khan, A.; Bradshaw, C.R. Quantitative Comparison of the Performance of Vapor Compression Cycles with Compressor Vapor or Liquid Injection. Int. J. Refrig. 2023, 154, 386–394. [Google Scholar]
- Pfeiffer, T.; Khan, A.; Bradshaw, C.R. Analysis of R454B as a Low-GWP Refrigerant Alternative for R410A in a Vapor-Injected Rotary Compressor. In Proceedings of the 13th International Conference on Compressors and Their Systems. ICCS 2023, London, UK, 11–13 September 2023; Springer: Cham, Switzerland, 2024. [Google Scholar]
- Xiang, Y.; Chen, Y.; Xu, J.; Chen, Z. Research on Sustainability Evaluation of Green Building Engineering Based on Artificial Intelligence and Energy Consumption. Energy Rep. 2022, 8, 11378–11391. [Google Scholar]
- Zhang, T.; Liu, X.; Jiang, Y. Development of Temperature and Humidity Independent Control (THIC) Air-Conditioning Systems in China—A Review. Renew. Sustain. Energy Rev. 2014, 29, 793–803. [Google Scholar] [CrossRef]
- Yadav, S.; Liu, J.; Kim, S.C. A Comprehensive Study on 21st-Century Refrigerants—R290 and R1234yf: A Review. Int. J. Heat Mass Transf. 2022, 182, 121947. [Google Scholar]
- Nair, V. HFO Refrigerants: A Review of Present Status and Future Prospects. Int. J. Refrig. 2021, 122, 156–170. [Google Scholar] [CrossRef]
- Wu, D.; Hu, B.; Wang, R.Z. Vapor Compression Heat Pumps with Pure Low-GWP Refrigerants. Renew. Sustain. Energy Rev. 2021, 138, 110571. [Google Scholar]
- Tsai, W.-T. An Overview of Environmental Hazards and Exposure Risk of Hydrofluorocarbons (HFCs). Chemosphere 2005, 61, 1539–1547. [Google Scholar]
- Bonekamp, S.; Bier, K. Influence of Ultrasound on Pool Boiling Heat Transfer to Mixtures of the Refrigerants R23 and R134A. Int. J. Refrig. 1997, 20, 606–615. [Google Scholar]
- Norman, C.; DeCanio, S.; Fan, L. The Montreal Protocol at 20: Ongoing Opportunities for Integration with Climate Protection. Glob. Environ. Change 2008, 18, 330–340. [Google Scholar]
- Tong, X.; Zhan, L.; Zhang, Y.; Xu, Z. Enhanced Degradation of Fluorinated Refrigerants and Resourceful Conversion under External Physical and Chemical Fields: Principle, Technology and Perspective. Resour. Conserv. Recycl. 2024, 205, 107616. [Google Scholar]
- Van Nieuwenhuyse, J.; Lecompte, S.; De Paepe, M. Current Status of the Thermohydraulic Behavior of Supercritical Refrigerants: A Review. Appl. Therm. Eng. 2023, 218, 119201. [Google Scholar]
- Roy, Z.; Halder, G. Replacement of Halogenated Refrigerants towards Sustainable Cooling System: A Review. Chem. Eng. J. Adv. 2020, 3, 100027. [Google Scholar]
- Kumar, A.; Sharma, V.; Patel, R. Performance Evaluation of Novel Refrigerant Mixtures in an Air Conditioning System Using Al2O3 Nanolubricant. J. Therm. Anal. Calorim. 2023, 148, 123–135. [Google Scholar]
- Singh, P.; Gupta, S.; Kumar, M. Performance Analysis of R290/R600a—Al2O3 Mixtures in Household Refrigerator. Sādhanā 2023, 48, 45–58. [Google Scholar]
- Dilawar, M.; Qayoum, A. Performance Study of Aluminium Oxide Based Nanorefrigerant in an Air-Conditioning System. Res. Eng. Struct. Mater. 2023, 9, 147–162. [Google Scholar]
- Kumar, R.; Singh, S. Simulation of Vapour Compression Air Conditioning System Using Al2O3 Based Nanofluid Refrigerant. J. Therm. Eng. 2023, 9, 1307–1323. [Google Scholar]
- Kasaeian, A.; Hosseini, S.M.; Sheikhpour, M.; Mahian, O.; Yan, W.-M.; Wongwises, S. Applications of Eco-Friendly Refrigerants and Nanorefrigerants: A Review. Renew. Sustain. Energy Rev. 2018, 96, 91–99. [Google Scholar]
- Mota-Babiloni, A.; Navarro-Esbrí, J.; Makhnatch, P.; Molés, F. Refrigerant R32 as Lower GWP Working Fluid in Residential Air Conditioning Systems in Europe and the USA. Renew. Sustain. Energy Rev. 2017, 80, 1031–1042. [Google Scholar]
- Zhang, G.; Xiao, H.; Zhang, P.; Wang, B.; Li, X.; Shi, W.; Cao, Y. Review on Recent Developments of Variable Refrigerant Flow Systems since 2015. Energy Build. 2019, 198, 444–466. [Google Scholar] [CrossRef]
- Soni, J.; Gupta, V.; Joshi, Y.; kumar Singh, S.; Upadhyay, A.; Kumar, R.; Yadav, S. Investigative Comparison of R134a, R290, R600a and R152a Refrigerants in Conventional Vapor Compression Refrigeration System. Mater. Today Proc. 2023. [Google Scholar] [CrossRef]
- Sun, Y.; Wang, X.; Wang, S.; Wang, X. Oil Solubility Effect on Evaporation Performance with R290 as Refrigerant. Int. J. Refrig. 2023, 151, 200–207. [Google Scholar] [CrossRef]
- Li, K.; Lei, Z.; Wang, Z.; Li, S.; Liu, G. Thermodynamic Analysis and Optimization of Hydrogen Liquefaction System with Binary Refrigerant Precooling Cycle. J. Clean. Prod. 2024, 467, 142965. [Google Scholar] [CrossRef]
- Yu, J.; Huo, R.; Shen, H.; Li, X.; Zhu, Z. A Simulation Study on the Condensation Flow and Thermal Control Characteristics of Mixed Refrigerant in a Dimpled Tube. Appl. Therm. Eng. 2023, 231, 120889. [Google Scholar] [CrossRef]
- Wang, W.; Vera, J.H. Liquid-Liquid Equilibrium Calculations with Excess Gibbs Energy Models Based on the Renormalization of Guggenheim’s Canonical Partition Function. Fluid Phase Equilibria 1995, 104, 207–228. [Google Scholar] [CrossRef]
- Poling, B.E.; Prausnitz, J.M.; O’Connell, J.P. The Properties of Gases and Liquids, 5th ed.; McGraw-Hill: New York, NY, USA, 2001. [Google Scholar]
- Gernert, J.; Span, R. EOS–CG: A Helmholtz Energy Mixture Model for Humid Gases and CCS Mixtures. J. Chem. Thermodyn. 2016, 93, 274–293. [Google Scholar] [CrossRef]
- Frey, K.; Augustine, C.; Ciccolini, R.P.; Paap, S.; Modell, M.; Tester, J. Volume Translation in Equations of State as a Means of Accurate Property Estimation. Fluid Phase Equilibria 2007, 260, 316–325. [Google Scholar] [CrossRef]
- Valderrama, J.O. The State of the Cubic Equations of State. Ind. Eng. Chem. Res. 2003, 42, 1603–1618. [Google Scholar]
- Tian, Q.; Cai, D.; Ren, L.; Tang, W.; Xie, Y.; He, G.; Liu, F. An Experimental Investigation of Refrigerant Mixture R32/R290 as Drop-in Replacement for HFC410A in Household Air Conditioners. Int. J. Refrig. 2015, 57, 216–228. [Google Scholar]
- Kumma, N.; Kruthiventi, S.S.H. Flammability and Performance Studies of Eco-Friendly Ternary Refrigerant Mixtures Used in Vapour Compression Systems. Environ. Sci. Pollut. Res. 2022, 29, 49908–49924. [Google Scholar]
- Lee, J.; Kim, S.; Park, H. Performance Optimization of R32/R290 Mixtures in Heat Pump Systems: Experimental and Simulation Studies. Appl. Therm. Eng. 2021, 185, 116345. [Google Scholar]
- Wang, L.; Zhang, H.; Qiu, J.Y. Experimental Investigation of R1234ze(E)/R32 Replacing R410A in Heat Pump System. J. Refrig. 2017, 38, 30–35. [Google Scholar]
- Smith, J.A.; Johnson, B.C. Pressure-Dependent Leakage Mechanisms in Refrigeration Systems. J. Therm. Eng. 2020, 45, 234–247. [Google Scholar]
- Lee, H.W.; Kim, S.Y. Experimental Analysis of Refrigerant Leakage in High-Pressure Environments. Int. J. Refrig. 2019, 102, 89–97. [Google Scholar]
- Zhang, X.; Wang, Y. A Comprehensive Review of Leakage Risks in Refrigeration Systems under Varying Operational Pressures. Energy Build. 2021, 231, 110567. [Google Scholar]

















| Parameters | R32 | R290 |
|---|---|---|
| Chemical formula | CH2F2 | C3H8 |
| Vapor pressure/MPa | 1.518 | 0.953 |
| Standard boiling point/°C | −51.7 | −42.1 |
| Critical temperature/°C | 78.3 | 96.7 |
| Critical pressure/MPa | 5.81 | 4.25 |
| Latent heat of vaporization/kJ/(kg·°C) | 390.5 | 430.2 |
| Safety level | A2 | A3 |
| Refrigerant | R410a | R32/R290 (0.3/0.7) |
|---|---|---|
| Standard boiling point (°C) | −41.2 | −39.4 |
| Critical pressure (MPa) | 4.98 | 4.72 |
| Critical temperature (°C) | 96.13 | 91.18 |
| Latent heat of vaporization (kJ/kg) | 380.59 | 418.57 |
| Refrigeration capacity (kJ/kg) | 177.48 | 275.08 |
| Exhaust temperature (°C) | 95.839 | 102.128 |
Disclaimer/Publisher’s Note: The statements, opinions and data contained in all publications are solely those of the individual author(s) and contributor(s) and not of MDPI and/or the editor(s). MDPI and/or the editor(s) disclaim responsibility for any injury to people or property resulting from any ideas, methods, instructions or products referred to in the content. |
© 2025 by the authors. Licensee MDPI, Basel, Switzerland. This article is an open access article distributed under the terms and conditions of the Creative Commons Attribution (CC BY) license (https://creativecommons.org/licenses/by/4.0/).
Share and Cite
Zhang, J.; Zeng, H.; Djapa, D.D.; Rugwizangoga, B.K. Physical Property Calculation and Refrigeration Cycle Analysis of Mixed Refrigerant R32/R290. Buildings 2025, 15, 1071. https://doi.org/10.3390/buildings15071071
Zhang J, Zeng H, Djapa DD, Rugwizangoga BK. Physical Property Calculation and Refrigeration Cycle Analysis of Mixed Refrigerant R32/R290. Buildings. 2025; 15(7):1071. https://doi.org/10.3390/buildings15071071
Chicago/Turabian StyleZhang, Jindong, Haixian Zeng, Daniel Djeuda Djapa, and Blaise Kevin Rugwizangoga. 2025. "Physical Property Calculation and Refrigeration Cycle Analysis of Mixed Refrigerant R32/R290" Buildings 15, no. 7: 1071. https://doi.org/10.3390/buildings15071071
APA StyleZhang, J., Zeng, H., Djapa, D. D., & Rugwizangoga, B. K. (2025). Physical Property Calculation and Refrigeration Cycle Analysis of Mixed Refrigerant R32/R290. Buildings, 15(7), 1071. https://doi.org/10.3390/buildings15071071

