Prediction of Electrical Resistivity of Concrete Containing Electric Arc Furnace Slag as Fine Aggregate Using Gene Expression Programming Method
Abstract
1. Introduction
2. Materials and Methods
2.1. Materials
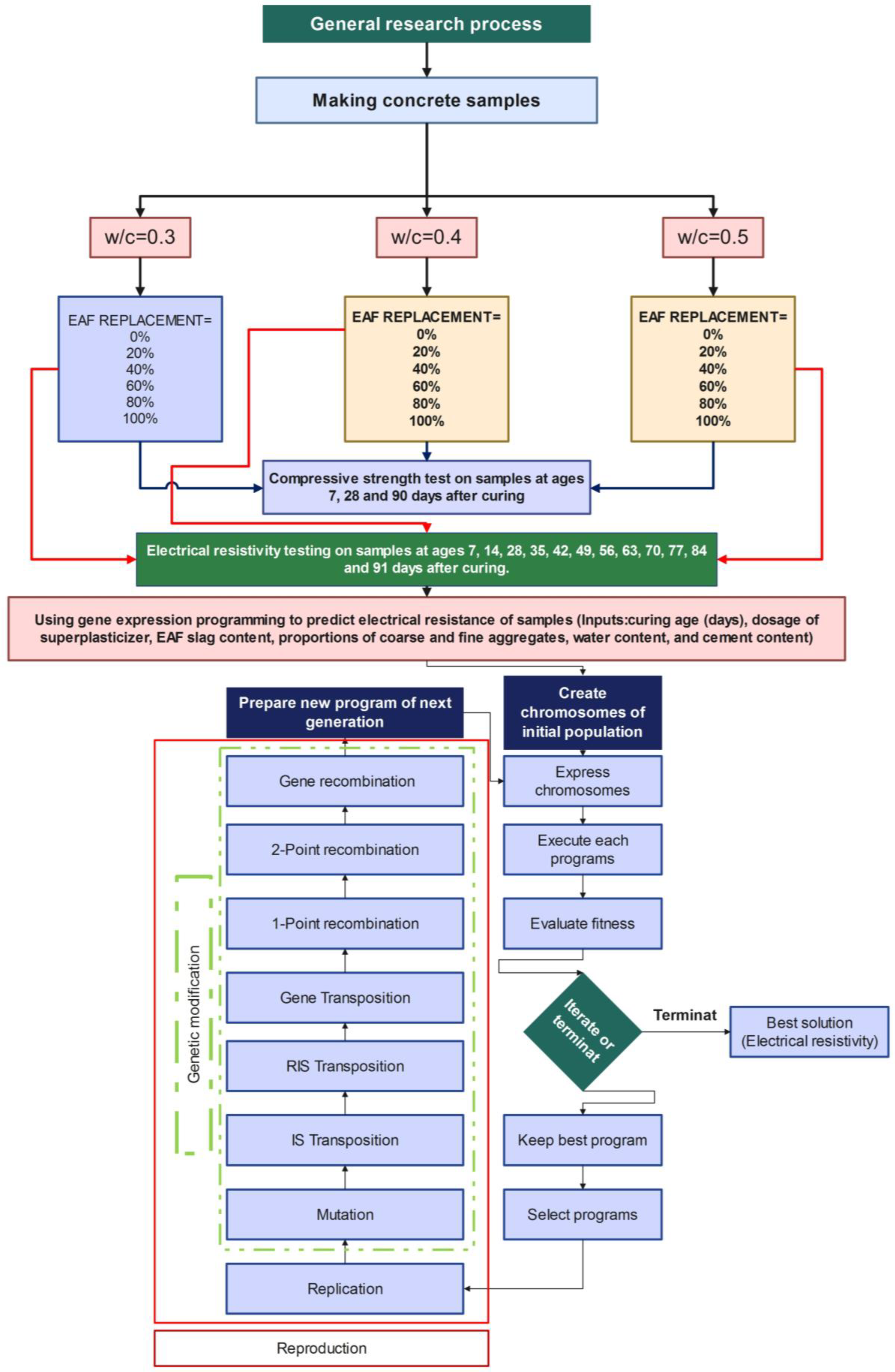
2.2. Method
2.3. Mixture Proportions and Tests
2.4. Gene Expression Programming
3. Results
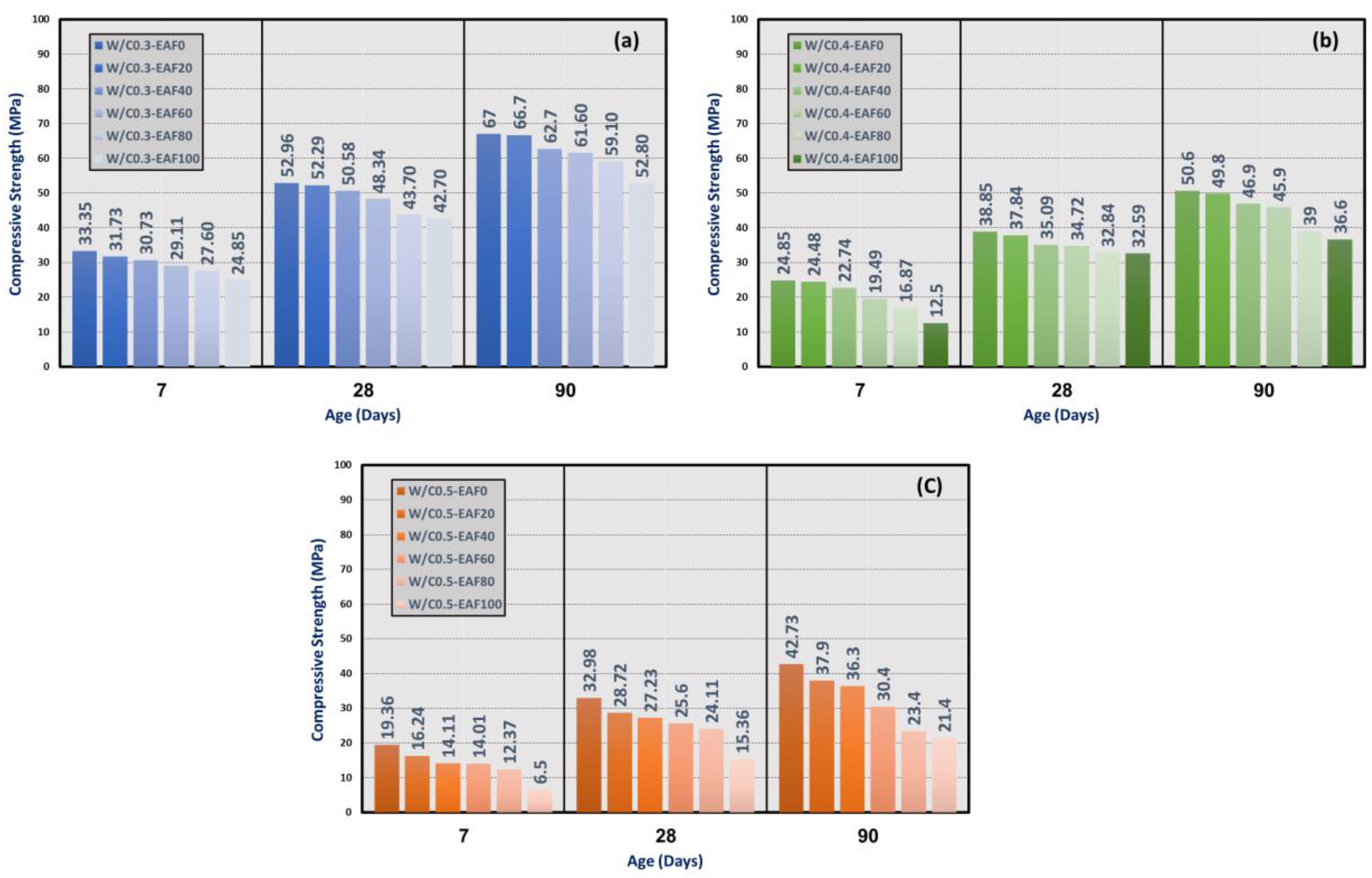
3.1. Compressive Strength
3.2. Electrical Resistivity
3.3. GEP Results
4. Conclusions
Author Contributions
Funding
Data Availability Statement
Acknowledgments
Conflicts of Interest
References
- Akhtar, A.; Sarmah, A.K. Construction and demolition waste generation and properties of recycled aggregate concrete: A global perspective. J. Clean. Prod. 2018, 186, 262–281. [Google Scholar] [CrossRef]
- Batayneh, M.; Marie, I.; Asi, I. Use of selected waste materials in concrete mixes. Waste Manag. 2007, 27, 1870–1876. [Google Scholar] [CrossRef] [PubMed]
- Zega, C.J.; Di Maio, Á.A. Use of recycled fine aggregate in concretes with durable requirements. Waste Manag. 2011, 31, 2336–2340. [Google Scholar] [CrossRef]
- Tavakoli, D.; Heidari, A.; Behfrouz, B. Using waste materials in cement and concrete way towards sustainable development. In Proceedings of the First International Cement Industry, Energy and Environment Conference, Tehran, Iran, 20 January 2013; Available online: https://www.researchgate.net/publication/370804847_Using_waste_materials_in_cement_and_concrete_way_towards_sustainable_development (accessed on 27 February 2025).
- Bu, C.; Liu, L.; Lu, X.; Zhu, D.; Sun, Y.; Yu, L.; OuYang, Y.; Cao, X.; Wei, Q. The durability of recycled fine aggregate concrete: A review. Materials 2022, 15, 1110. [Google Scholar] [CrossRef] [PubMed]
- Heidari, A.; Tavakoli, D. Performance of ceramic tile powder as a pozzolanic material in concrete. Int. J. Adv. Mater. Sci. 2012, 3, 1–11. [Google Scholar]
- Pellegrino, C.; Gaddo, V. Mechanical and durability characteristics of concrete containing EAF slag as aggregate. Cem. Concr. Compos. 2009, 31, 663–671. [Google Scholar] [CrossRef]
- Manso, J.M.; Polanco, J.A.; Losanez, M.; González, J.J. Durability of concrete made with EAF slag as aggregate. Cem. Concr. Compos. 2006, 28, 528–534. [Google Scholar] [CrossRef]
- Rondi, L.; Bregoli, G.; Sorlini, S.; Cominoli, L.; Collivignarelli, C.; Plizzari, G. Concrete with EAF steel slag as aggregate: A comprehensive technical and environmental characterisation. Compos. Part B Eng. 2016, 90, 195–202. [Google Scholar] [CrossRef]
- Abu-Eishah, S.I.; El-Dieb, A.S.; Bedir, M.S. Performance of concrete mixtures made with electric arc furnace (EAF) steel slag aggregate produced in the Arabian Gulf region. Constr. Build. Mater. 2012, 34, 249–256. [Google Scholar] [CrossRef]
- Rojas, N.; Bustamante, M.; Munoz, P.; Godoy, K.; Letelier, V. Study of properties and behavior of concrete containing EAF slag as coarse aggregate. Dev. Built Environ. 2023, 14, 100137. [Google Scholar] [CrossRef]
- Faleschini, F.; Trento, D.; Zanini, M.; Pellegrino, C.; Ortega-López, V.; Santamaria, A. Mechanical strength and environmental sustainability of EAF concrete. In Life-Cycle of Structures and Infrastructure Systems; CRC Press: Boca Raton, Florida, 2023; pp. 2455–2462. [Google Scholar]
- Sukmak, P.; Sukmak, G.; De Silva, P.; Horpibulsuk, S.; Kassawat, S.; Suddeepong, A. The potential of industrial waste: Electric arc furnace slag (EAF) as recycled road construction materials. Constr. Build. Mater. 2023, 368, 130393. [Google Scholar] [CrossRef]
- Trento, D.; Ortega-Lopez, V.; Zanini, M.A.; Faleschini, F. Stress-strain behavior of electric arc furnace slag concrete under uniaxial compression: Short-and long-term evaluation. Constr. Build. Mater. 2024, 422, 135837. [Google Scholar] [CrossRef]
- Rao, K.B.; Nayak, G.; Kamath, M.; Tantri, A. Synergetic effect of binary, ternary and quaternary binders on microstructural, mechanical and durability aspects of EAF aggregate HPC system. Constr. Build. Mater. 2024, 411, 134673. [Google Scholar]
- Shahmansouri, A.A.; Yazdani, M.; Ghanbari, S.; Bengar, H.A.; Jafari, A.; Ghatte, H.F. Artificial neural network model to predict the compressive strength of eco-friendly geopolymer concrete incorporating silica fume and natural zeolite. J. Clean. Prod. 2021, 279, 123697. [Google Scholar] [CrossRef]
- Shahmansouri, A.A.; Bengar, H.A.; Jahani, E. Predicting compressive strength and electrical resistivity of eco-friendly concrete containing natural zeolite via GEP algorithm. Constr. Build. Mater. 2019, 229, 116883. [Google Scholar] [CrossRef]
- Fernandes, R.; Marathe, S.; Rodrigues, A.P.; Sadowski, Ł.; Akhila, S. Smart modelling system for alkali-activated concrete pavements using machine learning techniques. Asian J. Civ. Eng. 2023, 24, 2193–2213. [Google Scholar] [CrossRef]
- Marathe, S.; Rodrigues, A.P. Intelligent models for prediction of compressive strength of geopolymer pervious concrete hybridized with agro-industrial and construction-demolition wastes. Stud. Geotech. Et Mech. 2024, 46, 349–376. [Google Scholar] [CrossRef]
- Zhong, J.; Feng, L.; Ong, Y.-S. Gene expression programming: A survey. IEEE Comput. Intell. Mag. 2017, 12, 54–72. [Google Scholar] [CrossRef]
- Ferreira, C. Gene expression programming: A new adaptive algorithm for solving problems. arXiv 2001, arXiv:cs/0102027. [Google Scholar]
- Ferreira, C. Gene Expression Programming: Mathematical Modeling by An Artificial Intelligence; Springer: Berlin/Heidelberg, Germany, 2006; Volume 21. [Google Scholar]
- Kara, I.F. Empirical modeling of shear strength of steel fiber reinforced concrete beams by gene expression programming. Neural Comput. Appl. 2013, 23, 823–834. [Google Scholar] [CrossRef]
- Abdollahzadeh, G.; Jahani, E.; Kashir, Z. Genetic programming based formulation to predict compressive strength of high strength concrete. Civ. Eng. Infrastruct. J. 2017, 50, 207–219. [Google Scholar]
- Azimi-Pour, M.; Eskandari-Naddaf, H. ANN and GEP prediction for simultaneous effect of nano and micro silica on the compressive and flexural strength of cement mortar. Constr. Build. Mater. 2018, 189, 978–992. [Google Scholar] [CrossRef]
- Nematzadeh, M.; Shahmansouri, A.A.; Fakoor, M. Post-fire compressive strength of recycled PET aggregate concrete reinforced with steel fibers: Optimization and prediction via RSM and GEP. Constr. Build. Mater. 2020, 252, 119057. [Google Scholar] [CrossRef]
- Javed, M.F.; Amin, M.N.; Shah, M.I.; Khan, K.; Iftikhar, B.; Farooq, F.; Aslam, F.; Alyousef, R.; Alabduljabbar, H. Applications of gene expression programming and regression techniques for estimating compressive strength of bagasse ash based concrete. Crystals 2020, 10, 737. [Google Scholar] [CrossRef]
- Al-Hashem, M.N.; Amin, M.N.; Raheel, M.; Khan, K.; Alkadhim, H.A.; Imran, M.; Ullah, S.; Iqbal, M. Predicting the compressive strength of concrete containing fly ash and rice husk ash using ANN and GEP models. Materials 2022, 15, 7713. [Google Scholar] [CrossRef] [PubMed]
- ASTM C136-06; Standard Test Method for Sieve Analysis of Fine and Coarse Aggregates. ASTM: West Conshohocken, PA, USA, 2006.
- ASTM C128-15. Standard Test Method for Relative Density (Specific Gravity) and Absorption of Fine Aggregate. ASTM International: West Conshohocken, PA, USA, 2015; Volume 1, pp. 2–7.
- ACI 363R-92; ACI Committee 363 Report. State-of-the-Art Report on High Strength Concrete. ASTM: West Conshohocken, PA, USA, 1992.
- Swamy, R. ACI Standard: Standard practice for selecting proportions for structural lightweight concrete: (ACI 211.2-81). Published by the American Concrete Institute: PO Box 19150, Redford Station, Detroit, Michigan 48219, USA. Price $7.11 Member Price $5.00. Int. J. Cem. Compos. Lightweight Concr. 1982, 4, 125. [Google Scholar]
- ASTM C39/C39M-21; Standard Test Method for Compressive Strength of Cylindrical Concrete Specimens. ASTM International: West Conshohocken, PA, USA, 2021.
- AASHTO, TP95; Standard Method of Test for Surface Resistivity Indication of Concrete’s Ability to Resist Chloride Ion Penetration. AASHTO Provisional Standards: Washington, DC, USA, 2011; pp. 78–86.
- Layssi, H.; Ghods, P.; Alizadeh, A.R.; Salehi, M. Electrical resistivity of concrete. Concr. Int. 2015, 37, 41–46. [Google Scholar]
- Hou, T.-C.; Su, Y.-M.; Chen, Y.-R.; Chen, P.-J. Effects of coarse aggregates on the electrical resistivity of Portland cement concrete. Constr. Build. Mater. 2017, 133, 397–408. [Google Scholar] [CrossRef]
- Parsian, H.; MostofiNejad, D.; Tadayon, M. Experimental study on correlation between the results of different methods of measuring the electrical resistivity of concrete. Modares Civ. Eng. J. 2016, 16, 13–25. [Google Scholar]
- Sengul, O. Use of electrical resistivity as an indicator for durability. Constr. Build. Mater. 2014, 73, 434–441. [Google Scholar] [CrossRef]
- Khan, M.A.; Zafar, A.; Akbar, A.; Javed, M.F.; Mosavi, A. Application of Gene Expression Programming (GEP) for the prediction of compressive strength of geopolymer concrete. Materials 2021, 14, 1106. [Google Scholar] [CrossRef] [PubMed]
- Ahmad, A.; Chaiyasarn, K.; Farooq, F.; Ahmad, W.; Suparp, S.; Aslam, F. Compressive strength prediction via gene expression programming (GEP) and artificial neural network (ANN) for concrete containing RCA. Buildings 2021, 11, 324. [Google Scholar] [CrossRef]
- Tian, Q.; Lu, Y.; Zhou, J.; Song, S.; Yang, L.; Cheng, T.; Huang, J. Supplementary cementitious materials-based concrete porosity estimation using modeling approaches: A comparative study of GEP and MEP. Rev. Adv. Mater. Sci. 2024, 63, 20230189. [Google Scholar] [CrossRef]
- Coppola, L.; Buoso, A.; Coffetti, D.; Kara, P.; Lorenzi, S. Electric arc furnace granulated slag for sustainable concrete. Constr. Build. Mater. 2016, 123, 115–119. [Google Scholar] [CrossRef]
- Farahat, R.; Eissa, M.; Megahed, G.; Fathy, A.; Abdel-Gawad, S.; El-Deab, M.S. Effect of EAF slag temperature and composition on its electrical conductivity. ISIJ Int. 2019, 59, 216–220. [Google Scholar] [CrossRef]









| Compound | CaO | SiO2 | Al2O3 | MgO | MnO | FeO | S | TiO2 | V2O5 |
|---|---|---|---|---|---|---|---|---|---|
| Weight% | 31.8 | 18.8 | 4.2 | 9.3 | 0.4 | 32.2 | 1.1 | 1.2 | 1 |
| Concrete Mixture Number | W/C | EAF | FA | CA | Water | Cement | (EAF/FA)% | SP | Additional Water |
|---|---|---|---|---|---|---|---|---|---|
| W/C0.3-EAF0 | 0.30 | 0 | 770 | 931 | 168 | 560 | 0 | 12.05 | 8.59 |
| W/C0.3-EAF20 | 154 | 616 | 931 | 168 | 560 | 20 | 12.05 | 9.05 | |
| W/C0.3-EAF40 | 308 | 462 | 931 | 168 | 560 | 40 | 12.05 | 9.51 | |
| W/C0.3-EAF60 | 462 | 308 | 931 | 168 | 560 | 60 | 12.05 | 9.98 | |
| W/C0.3-EAF80 | 616 | 154 | 931 | 168 | 560 | 80 | 12.05 | 10.44 | |
| W/C0.3-EAF100 | 770 | 0 | 931 | 168 | 560 | 100 | 12.05 | 10.90 | |
| W/C0.4-EAF0 | 0.40 | 0 | 1006.2 | 827 | 172 | 430 | 0 | 6.45 | 9.24 |
| W/C0.4-EAF20 | 201.24 | 804.96 | 827 | 172 | 430 | 20 | 6.45 | 9.74 | |
| W/C0.4-EAF40 | 402.48 | 603.72 | 827 | 172 | 430 | 40 | 6.45 | 10.24 | |
| W/C0.4-EAF60 | 603.72 | 402.48 | 827 | 172 | 430 | 60 | 6.45 | 10.73 | |
| W/C0.4-EAF80 | 804.96 | 201.24 | 827 | 172 | 430 | 80 | 6.45 | 11.23 | |
| W/C0.4-EAF100 | 1006.2 | 0 | 827 | 172 | 430 | 100 | 6.45 | 11.72 | |
| W/C0.5-EAF0 | 0.50 | 0 | 1053.8 | 861 | 169.5 | 339 | 0 | 1.7 | 9.64 |
| W/C0.5-EAF20 | 210.76 | 843.04 | 861 | 169.5 | 339 | 20 | 1.7 | 10.16 | |
| W/C0.5-EAF40 | 421.52 | 632.28 | 861 | 169.5 | 339 | 40 | 1.7 | 10.67 | |
| W/C0.5-EAF60 | 632.28 | 421.52 | 861 | 169.5 | 339 | 60 | 1.7 | 11.19 | |
| W/C0.5-EAF80 | 843.04 | 210.76 | 861 | 169.5 | 339 | 80 | 1.7 | 11.70 | |
| W/C0.5-EAF100 | 1053.8 | 0 | 861 | 169.5 | 339 | 100 | 1.7 | 12.26 |
| GEP MODEL | Number of Chromosomes | Head Size | Number of Genes | Linking Functions | Fitness Function | Mutation | IS Transposition | RIS Transposition | Constant per Gene | Number of Functions Used |
|---|---|---|---|---|---|---|---|---|---|---|
| GEP30-10-3-1-M | 30 | 10 | 3 | Multiplication | RMSE | 0.044 | 0.1 | 0.1 | 1 | 10 |
| GEP30-10-3-2-M | 30 | 10 | 3 | Multiplication | RMSE | 0.044 | 0.1 | 0.1 | 2 | 10 |
| GEP30-10-3-1-A | 30 | 10 | 3 | Addition | RMSE | 0.044 | 0.1 | 0.1 | 1 | 10 |
| GEP30-10-3-2-A | 30 | 10 | 3 | Addition | RMSE | 0.044 | 0.1 | 0.1 | 2 | 10 |
| GEP45-15-3-1-M | 45 | 15 | 3 | Multiplication | RMSE | 0.044 | 0.1 | 0.1 | 1 | 10 |
| GEP45-15-3-2-M | 45 | 15 | 3 | Multiplication | RMSE | 0.044 | 0.1 | 0.1 | 2 | 10 |
| GEP45-15-3-1-A | 45 | 15 | 3 | Addition | RMSE | 0.044 | 0.1 | 0.1 | 1 | 10 |
| GEP45-15-3-2-A | 45 | 15 | 3 | Addition | RMSE | 0.044 | 0.1 | 0.1 | 2 | 10 |
Disclaimer/Publisher’s Note: The statements, opinions and data contained in all publications are solely those of the individual author(s) and contributor(s) and not of MDPI and/or the editor(s). MDPI and/or the editor(s) disclaim responsibility for any injury to people or property resulting from any ideas, methods, instructions or products referred to in the content. |
© 2025 by the authors. Licensee MDPI, Basel, Switzerland. This article is an open access article distributed under the terms and conditions of the Creative Commons Attribution (CC BY) license (https://creativecommons.org/licenses/by/4.0/).
Share and Cite
Behforouz, B.; Moghbel Esfahani, S.; Tavakoli, D. Prediction of Electrical Resistivity of Concrete Containing Electric Arc Furnace Slag as Fine Aggregate Using Gene Expression Programming Method. Buildings 2025, 15, 806. https://doi.org/10.3390/buildings15050806
Behforouz B, Moghbel Esfahani S, Tavakoli D. Prediction of Electrical Resistivity of Concrete Containing Electric Arc Furnace Slag as Fine Aggregate Using Gene Expression Programming Method. Buildings. 2025; 15(5):806. https://doi.org/10.3390/buildings15050806
Chicago/Turabian StyleBehforouz, Babak, Sina Moghbel Esfahani, and Davoud Tavakoli. 2025. "Prediction of Electrical Resistivity of Concrete Containing Electric Arc Furnace Slag as Fine Aggregate Using Gene Expression Programming Method" Buildings 15, no. 5: 806. https://doi.org/10.3390/buildings15050806
APA StyleBehforouz, B., Moghbel Esfahani, S., & Tavakoli, D. (2025). Prediction of Electrical Resistivity of Concrete Containing Electric Arc Furnace Slag as Fine Aggregate Using Gene Expression Programming Method. Buildings, 15(5), 806. https://doi.org/10.3390/buildings15050806

