Abstract
With the accelerated development of subways in China, elevated subway stations (ESSs) capitalize on natural ventilation and lighting to significantly save energy. Nevertheless, their thermal environments are rarely addressed. This study conducts annual thermal environment measurements, surveys, and thermal comfort analysis on five typical ESS buildings. The results of field measurements demonstrate that the station’s thermal environment is influenced by architectural space forms such as skylight ratio, platform doors, openness, and platform form. The standard effective temperature—predicted thermal sensation (SET*—PTS) equation was developed based on the survey, indicating that passengers’ thermal adaptability surpasses the PTS. In summer, the neutral temperatures for passengers in open and enclosed stations are 28.74 SET* °C and 27.13 SET* °C, correspondingly. In winter, they are 23.43 SET* °C and 21.98 SET* °C. Physiological changes that passengers experience during the transition from entering the metro station to arriving at the platform were measured and quantified, which confirmed differences in thermal adaptation during the shift between hot and cold environments, emphasizing thermal delay and accumulation effects. This study provides important guidance for the construction, renovation, and operation of ESS buildings and the development of related standards.
1. Introduction
1.1. Advantages and Challenges of Elevated Stations
Urban rail transit (URT) in China has expanded rapidly in recent years due to its efficiency, convenience, and comfort. By the end of 2023, the total operating mileage of URT systems in China reached 11,232.65 km [1]. In over 10 Chinese cities, URT now accounts for more than 50% of public transport commuters [2], becoming the primary mode of urban passenger transport. However, the rapid growth of URT has also resulted in a significant increase in energy consumption [3]. In 2023, the total electricity consumption of URT in China reached 24.977 billion kWh [1], accounting for 0.27% of the country’s energy consumption [4], up from less than 0.11% in 2018 [5]. Although subways are commonly recognized as a green and energy-efficient mode of transportation [6,7], underground stations necessitate continuous ventilation [8] and air conditioning (VAC) and lighting to maintain a comfortable environment for passengers [9]. The energy consumption of VAC systems and lighting accounts for over 70% of non-traction electricity consumption [1,10], making it the dominant component of subway energy consumption [11,12].
Subway stations can be categorized by their relative position to the ground into underground, ground-level, and elevated stations [13]. Among them, elevated stations have construction and operating costs that are only one-third of those for underground stations [14], and their construction speed is significantly higher. As typical transitional spaces, subway stations consume three times more energy than regular indoor spaces [15]. Electricity consumption per unit area for underground stations is about 1.67 times that of elevated stations [16]. Elevated stations, which are tens of meters above the ground, mainly use natural ventilation, which significantly reduces energy consumption. However, China’s hot summer and cold winter (HSCW) region has long summers and winters with frequent rainfall and high humidity [17]. The open design of elevated stations renders them more susceptible to outdoor environmental conditions [18]. Despite the substantially lower energy costs of elevated stations compared to underground stations, sustaining stable environmental comfort within them remains a challenge.
1.2. Literature Review
Urban heat can account for over 40% of heat-related deaths [19], highlighting the critical importance of investigating urban thermal environments and thermal comfort in different regions. As one of the most frequently used urban facilities, subway stations provide public transportation services in 193 cities worldwide, serving 190 million people daily [20]. On average, passengers spend about an hour commuting by subway, including about 20 min within stations [21], with extended durations for older adults and station staff. As living standards rise, so does the demand for thermal comfort.
Table 1 summarizes key studies of the thermal environment of subway stations over the past decade. These studies span diverse climates. Deb et al. [22] identified a neutral temperature of 31.93 °C among platform passengers in India, indicating a high tolerance to heat. Passengers in other tropical [23] and cold regions [24,25] have also shown considerable adaptability. Their comfort zones are significantly wider than the steady-state comfort zones defined in international standards (e.g., ASHRAE 55 [26] or ISO 7700 [27]). International standards such as ASHRAE 55 and ISO 7730 mainly focus on steady-state indoor environments, specifying the temperature, humidity, and air velocity ranges for thermal comfort. However, ESS buildings, as semi-outdoor naturally ventilated spaces, exhibit dynamic thermal conditions that significantly differ from the steady-state conditions assumed in the standards. Nevertheless, these standards still provide a benchmark for assessing thermal comfort in transitional spaces [28], particularly when comparing passive design with active control strategies.
While some of the findings are significant, limitations exist. Yuan et al. examined thermal and lighting optimization for elevated stations in Tianjin [29], indicating that natural lighting requirements could be met with a minimal skylight ratio. However, the use of the Universal Thermal Climate Index (UTCI), a metric suitable for outdoor environments, introduced errors due to the semi-outdoor nature of elevated stations. Pan et al. [30] analyzed two underground stations in Beijing, but they did not account for the thermal environment changes from outdoors to the concourse, which may lead to inaccuracies in the final results. Chen et al. [31] investigated underground stations in the warm region and found that, in addition to the studied summer season, there were numerous passenger complaints about the thermal environment in winter and transitional seasons.
Table 1.
Literature review.
Table 1.
Literature review.
| Time | Location | Meteorological Parameters | Seasons | Stations Type | Index | Findings |
|---|---|---|---|---|---|---|
| 2010 [22] | Chennai, India | Tropical monsoon climate The highest temperature (May) is 28–36 °C | Sum. | Ground | PET | Hot environment, neutral temperature at 31.93 °C, airflow improves thermal comfort |
| 2014 [23] | Makkah, Saudi | Tropical monsoon climate The highest temperature (July) is 29–46 °C | Sum. Aut. | Ground | PMV | 80% comfort range: 27.7–34.3 °C; passengers have high tolerance for heat |
| 2016 [24] | Seoul, Korea | Temperate monsoon climate Average temperature of the year is 12.8 °C | Sum. Aut. Win. | Underground | SET* | Platform neutral temperature: 15.9–31.5 SET* °C; broader thermal comfort range than other countries |
| 2017 [32] | Athens, Greece | Mediterranean climate The highest temperature (August) is 24.4–34.3 °C | Sum. | Underground | PMV | Thermal environment affected by station depth, design, ventilation, and platform depth |
| 2020 [30] | Beijing, China | Temperate monsoon climate The highest temperature (July) is 23–31.8 °C | Sum. | Underground | MTS | Average thermal sensation from outside to carriage: 1.15 (outside), 0.12 (concourse), 0.14 (platform), −0.34 (carriage) |
| 2022 [25] | Harbin, China | Temperate monsoon climate The lowest temperature (January) is −22.4–(−11.8) °C | Win. | Underground | HDR | Station temperature and humidity influenced by platform doors, train intervals, operating time, and piston effect |
| 2023 [29] | Tianjin, China | Temperate monsoon climate Average temperature of the year is 13.1 °C | Year-round | Elevated | UTCI | Optimize lighting and thermal comfort, improving by 41.20% and 2.86%, respectively |
| 2024 [31] | Guangzhou, China | Subtropical monsoon climate The highest temperature (July) is 26.3–33.7 °C | Sum. | Underground | PMV | Station remains comfortable in peak and off-peak hours, with significant energy-saving potential |
With the rapid development of URT in China in recent years, more studies have directed their attention to the thermal environment in Chinese subway systems. The majority of studies focus on underground subway stations, where the environment is primarily maintained by VAC systems and lighting under artificial control. Nevertheless, there is a notable dearth of research on the thermal environment of ESS buildings, which depend on natural ventilation and lighting. Moreover, the majority of current studies are confined to terminal zones such as platforms [32,33,34] and carriages [35], without considering the thermal sensations and physiological changes of passengers during all the subway station transition processes, from entering the station to transit through the station and arrival at the platform.
In conclusion, research on the thermal environment of ESS buildings remains limited, despite their increasing prevalence in China’s metro systems. Given their reliance on natural ventilation, these stations are highly susceptible to external climate variations, making year-round assessments essential. Moreover, passenger thermal comfort is influenced not only by environmental conditions but also by individual physiological and psychological factors. Additionally, the dynamic process of thermal adaptation as passengers move through different station areas is not well understood. Comprehensive, year-round investigations of the thermal environment in ESS buildings are therefore essential to advance station design and operational practices.
1.3. Aim and Scope of the Study
Based on the aforementioned view, elevated subway stations (ESSs) present considerable potential for energy savings, yet they also encounter numerous challenges. The objective of this study is to assess the year-round thermal environment of ESS buildings, analyze differences in passenger comfort, and provide a foundation for future design and standard development. Specifically, the following research questions are addressed:
- (1)
- What are the thermal environment characteristics of ESS buildings in hot summer and cold winter (HSCW) regions? How does the space form of ESSs influence thermal conditions?
- (2)
- How do passengers perceive thermal conditions in different station environments? How do various subjective and objective factors influence thermal comfort?
- (3)
- How does passengers’ thermal perception change during their transit through the subway station, and what are the implications for thermal comfort upon reaching the platform?
2. Materials and Methods
2.1. Study Location
Wuhan (30.62° N, 114.30° E) is located at the eastern part of the Jianghan Plain, divided into three towns by the Yangtze River [36] and its largest tributary, the Han River. The lake area in Wuhan constitutes over 1/4 of the city’s total area, leading to an annual relative humidity exceeding 70%. Figure 1 presents the city’s typical climate. Wuhan is renowned as one of China’s “furnace cities” [37], with a summer lasting 135 days and peak temperatures approaching 40 °C, and a winter lasting 110 days with minimum temperatures dropping to −18 °C. During the hot season (June to August), wind is frequent but weak; in contrast, during the cold season (December to February), the wind is stronger but less frequent. Overall, Wuhan’s climate typifies the HSCW region, with extreme summer and winter conditions that present significant challenges to the internal environment of ESS building constructions. These distinct climate characteristics make Wuhan an ideal candidate for this study. Therefore, this research aims to carry out an exploration, with Wuhan selected as a case study.
Figure 1.
Typical meteorological data of Wuhan. Data source: http://data.cma.cn, accessed on 31 May 2024.
2.2. Case Studies
The research commenced with field and online surveys at ESS buildings in the HSCW region of China. Five representative stations in Wuhan were selected based on differences in openness, building scale and form, location, and ridership. These stations can represent the main building space forms of ESS buildings in the HSCW region of China. Of these, stations A1, A2, and A3 are located on Line 1, while stations B1 and B2 are situated on Line 2. Table 2 presents images and specifications of the five stations. The stations exhibit significant differences, resulting in varied internal environments that facilitate comparative analysis and validation.
Table 2.
Typical elevated subway stations in Wuhan.
2.3. Field Measurement
Field measurements were conducted simultaneously in the five stations during the main subway usage periods, from 8:00 to 18:00, on 1–6 August 2023, and 19–24 January 2024. A summary of the measurement instruments and their parameters is provided in Table 3. The environmental parameters measured included air temperature (Ta), relative humidity (RH), air velocity (Va), globe temperature (Tg), illuminance (lx), and wall temperature. Prior to the experiment, all instruments were standardized and calibrated to ensure the accuracy of the data obtained. The temperature and humidity data logger and globe temperature recorder measured data at one-minute intervals, continuously and automatically throughout the entire testing period. The hot wire anemometer was operated manually on the platform when no trains were present to avoid the influence of train-induced airflow. The placement of measuring instruments was carefully arranged to avoid direct sunlight and ventilation outlets, with a distance of more than 1.2 m from the track area.
Table 3.
Measurement instruments and parameters.
The arrangement of measurement points was thoughtfully planned. First, the two ends of the platform are near the train entrance, where environmental fluctuations are more pronounced, while the central platform area is typically the most thermally stable. Placing measurement points at these three locations enables effective capture of variations in temperature, humidity, and air velocity, allowing for a comprehensive understanding of the platform’s thermal environment. Second, considering measurement efficiency, ESS buildings have a linear and elongated structure, making them unsuitable for traditional indoor thermal environment assessment methods. Lastly, to ensure representativeness and efficiency, three measurement points were positioned at the platform’s ends and center, while six were deployed for side platform stations. One measurement point was located in the air-conditioned (AC) waiting room (if available), with one in the center of the concourse and one outdoors. The configuration of platform measurement points and the methodology employed are illustrated in Figure 2. The measurement points for illuminance were arranged and measured in accordance with the Method of daylighting measurements (GB/T 5699—2017) [38]. Furthermore, for the subsequent thermal environmental measurements conducted during the station transition process, additional measurement points were incorporated at pivotal entry points, including the outside, gateway, entrance, and corridor.
Figure 2.
Arrangement of measurement points and test methods. (a) Platform A1 (Line 1). (b) Platform A2 (Line 1). (c) Platform A3 (Line 1). (d) Platform B1 and B2 (Line 2). (e) Fixed automatic measurement. (f) Manually measurement. (g) Questionnaire.
2.4. Questionnaire Survey
The questionnaires were administered with the measured data collection periods. Prior to the survey, a thermal comfort questionnaire and a seven-point thermal sensation scale were developed based on the standards set forth in ASHRAE Standard 55-2013 [26,39] and the Evaluation standard for indoor thermal environment in Civil Buildings (GB/T 50785—2012) [40]. A four-level thermal comfort scale, ranging from “comfortable” to “terrible”, was also established (Table 4). Prior to completing the questionnaire, participants were informed of the research purpose, and informed consent was obtained. To achieve greater differentiation in the questionnaire results, pre-surveys and measurements were carried out at the target stations. Finally, two stations with the most pronounced differences were chosen for the questionnaire: Station A3, which is fully open and small in scale, and Station B1, which is fully enclosed and large in scale.
Table 4.
Subjective evaluation voting scale.
A total of 1377 valid responses were collected, including 718 in the summer and 659 in the winter. Given the multitude of scenarios that passengers encounter during the transition process, including climbing stairs, security checks, ticket validation, and elevators, their thermal sensation and metabolic rates undergo dynamic changes. To ensure the accuracy of the thermal sensation data, only passengers who remained on the platform for a minimum of one minute were surveyed. The number of questionnaires distributed during each time period was determined based on the fluctuations in the physical environment and ridership. Once the requisite number of responses for a specific period was obtained, the survey was immediately concluded and resumed at the beginning of the subsequent time period.
The questionnaire includes objective questions about passengers’ age, gender, travel frequency, and clothing choices, as well as subjective evaluations of thermal environment satisfaction and preferences. A summary of detailed passenger information is presented in Table 5. Nearly 70% of passengers reported a high commuting frequency, indicating that the survey results are representative. Due to the limited seating on platforms, the majority of passengers were observed to stand while waiting for trains. By analyzing data pertaining to the clothing of passengers and calculating representative thermal insulation values based on standards [40] concerning typical adult clothing in China, it was determined that the average thermal resistance of clothing of passengers in summer was approximately 0.4 clo (1 clo = 0.155 (m2∙K)/W) in summer and 1.3 clo in winter. Subway passengers alternated between walking and standing, with an average walking speed of 2–3 km/h. Based on standard metabolic rates for such activities from the standard, the average metabolic rate of the passengers was calculated to be about 2 met (116.30 W/m2).
Table 5.
Participants’ background information.
2.5. Thermal Comfort Evaluation Index
Section 1.2 of the literature review outlines thermal comfort metrics typically applied in subway stations. However, ESS buildings are neither stable indoor environments [41,42] nor fully open outdoor environments [43,44] but rather naturally ventilated intermediate environments. Furthermore, it is essential to account for extreme station environments, passengers’ variable metabolic rates, and differing thermal adaptability. Therefore, the standard effective temperature (SET*) is selected for evaluation in this study, as it better reflects human thermoregulation and environmental variations [45]. It was developed by AP Gagge and incorporated by ASHRAE in 1986 [46]. Although expressed as temperature, it essentially represents thermal sensation under specific conditions [47]. Table 6 details the thermal sensations and physiological responses associated with the SET*.
Table 6.
Thermal sensation of and physiological reaction to SET* [48].
Passengers pass through several sections when entering the subway station, often briefly stopping in transitional areas like stairs, security checks, and ticket counters. These transitional areas typically link spaces with varying thermal parameters, such as air temperature and relative humidity. The U.S. Department of Transportation [49] and ASHRAE have specifically proposed the relative warm index (RWI) and heat deficit rate (HDR) for transitional spaces such as subway platforms and concourses. The RWI is suitable for warmer environments, while the HDR is used for colder environments. Both indicators can predict changes in thermal comfort as activity levels fluctuate. These indices have been validated in the cold northern [14] and warm southern regions [50] of China but have not been applied or validated on ESS buildings in the HSCW region.
RWI is a dimensionless index, and its equations are shown in (1) and (2).
When Pa ≤ 2269 Pa,
where M(τ) is the passenger’s metabolic rate (W/m2), τ is the elapsed time (s), Icw is the clothing thermal resistance (clo), Ia is the clothing boundary layer air thermal resistance (clo), ta is the dry bulb temperature (°C), and R is the average heat radiated from a passenger’s body surface (W/m2).
When Pa ≥ 2269 Pa,
HDR reflects the heat deficit from the human body (W/m2). Its equation is shown below in (3).
where D is the heat deficit (J/m2), and Δτ is the exposure duration (s).
RWI and HDR consider the human thermal balance in the transitional state, where metabolic rate and clothing thermal resistance are linearly related to time, and both require 6 min to reach stability. Therefore, the metabolic rate and clothing thermal resistance equations are shown in (4)–(8):
When τ < 360 s, calculate using Equations (4) and (5)
When τ > 360 s, calculate using Equations (6) and (7)
where Icw1 is the initial clothing thermal resistance (clo), Icw2 is the final clothing thermal resistance (clo), M1 is the initial metabolic rate (W/m2), and M2 is the final metabolic rate (W/m2).
In addition, the fitting formula for relative wind speed Va induced by human movement and the Ia, as per the American subway environmental design manual [49], is shown in Equation (8):
3. Results and Discussion
3.1. Outdoor Thermal Parameters
Figure 3 shows the temperature and relative humidity variation curves for outdoor monitoring points in urban and suburban areas. The outdoor measurements were compared with historical meteorological data, confirming that these periods are representative of the typical summer and winter climates in Wuhan. Rain began on the afternoon of August 6, and the rest of the summer measurement period was sunny. In Wuhan’s summer, humidity is higher at night and lower during the day, with the highest air temperature typically occurring around 2 PM. In winter, continuous precipitation from 19 to 21 January increased relative humidity, but the arrival of cold air from 22 to 24 January caused relative humidity to drop below 20%.
Figure 3.
Outdoor thermal parameter during measurement period. (a) Summer. (b) Winter.
3.2. Station Environmental Characteristics
This section systematically analyzes the thermal environment measurement results of ESS buildings from multiple perspectives and explores the impact of architectural space forms on the station’s thermal environment.
3.2.1. Air Temperature
Figure 4 presents the air temperature box plot for ESS buildings. In the box plot, the box represents the 25% to 75% value range, with the white square inside the box indicating the mean and the horizontal line representing the median. Additionally, dots outside the lower and upper quartiles (Q1 and Q3), and beyond 1.5 times the interquartile range (IQR), are considered “outliers”, representing extreme observations. Figure 4a shows the situation in summer. On the platform, A2 has the highest average temperature due to the lack of shading on the skylights, while B2 has the lowest temperature because of the louvered ventilation on both sides and the curved shape that allows heat to accumulate upwards. Since the platform is above the concourse and serves as shading, the concourse temperature is lower than that of the platform during the summer. Although the average temperatures of the platform and concourse are close to the maximum limit of 35 °C specified in the Code for design of metro (GB 50157-2013) [51], they exceed the limit approximately half of the time. In contrast, the temperature in the AC waiting rooms remains below 30 °C, providing passengers with a comfortable waiting environment.
Figure 4.
Box plot of air temperature in elevated subway stations. (a) Summer. (b) Winter.
Figure 4b shows the winter temperature box plot. Platform A3 has the lowest average air temperature because it is completely open and has difficulty retaining heat. Platform B1 has the highest temperature due to its longer and more enclosed design, which offers better insulation against the cold. The concourse is generally more enclosed than the platform, so its temperature is higher. However, the B1 concourse temperature is lower than the platform’s due to the vertical shading installed in the concourse, which prevents it from receiving solar radiation in the winter. The temperature in the AC waiting rooms generally meets the minimum standard of 12 °C, but the temperatures in the concourse and platform do not meet the standard.
Analysis of the station air temperature shows that during the summer, the environment in elevated subway stations is severely harsh, and passively designed ESS buildings are unable to meet passengers’ thermal comfort needs. Only active measures, such as AC waiting rooms, can effectively improve the station’s thermal environment. In winter, enclosed stations show significant improvement in thermal comfort compared to open ones.
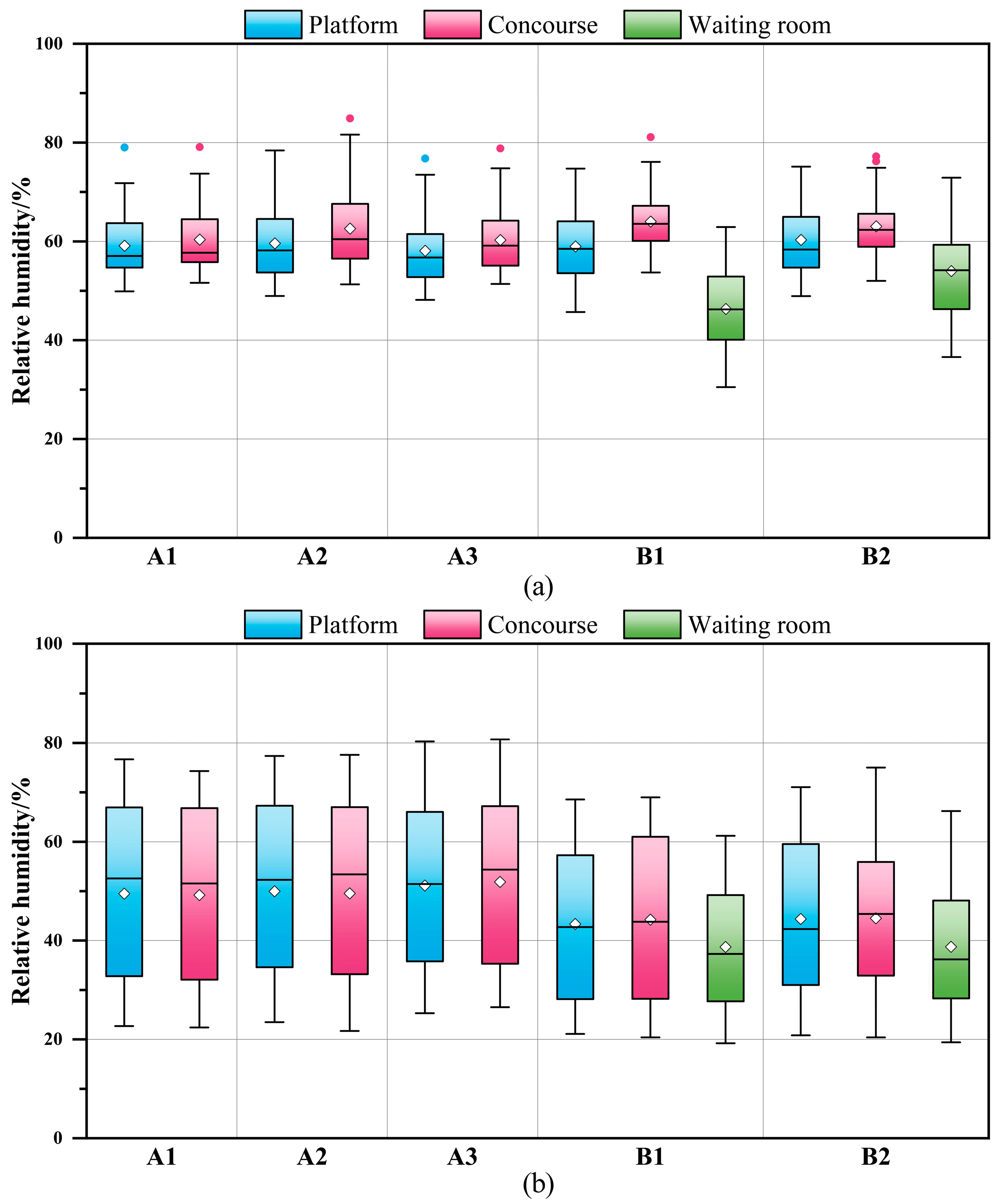
3.2.2. Relative Humidity
Figure 5 presents the relative humidity box plot for ESS buildings. Figure 5a shows the summer. In summer, the platforms are directly exposed to solar radiation, causing faster evaporation of moisture, leading to lower relative humidity compared to the concourse. Platform A3 shows the lowest average relative humidity, suggesting that open platforms reduce moisture retention. The AC waiting rooms have a lower relative humidity due to artificial regulation.
Figure 5.
Box plot of relative humidity in elevated subway stations. (a) Summer. (b) Winter.
Figure 5b shows the winter humidity box plot. In winter, the station experiences rainy days and dry cold air, resulting in significant fluctuations in relative humidity. However, it is noticeable that at low humidity (dry cold air), the relative humidity at the five stations is quite similar, while at high humidity (rainy), the relative humidity at the two stations on Line 2 is significantly lower than that of Line 1. This is because the stations on Line 2 have reserved platforms on both sides, with island platforms located farther from the building edge. The half platform screen doors (PSDs) block outdoor rain, and there are no open skylights, making it difficult for rainwater to directly affect the platforms. Line 1 stations have deficiencies in these three aspects, causing rainwater to frequently fall on the platforms, increasing platform humidity and potentially causing safety issues.
Analysis of the stations’ relative humidity shows that in summer (no rain), the relative humidity of ESS buildings is comparatively consistent, influenced by solar radiation evaporation and the outdoor environment. However, in winter (during rainfall), the relative humidity is lower in stations B1 and B2, where the platforms are sheltered by architectural design, mitigating the influence of rainwater on the station environment and ensuring platform safety. This underscores the need to consider platform protection in the architectural design of ESS buildings.
3.2.3. Air Velocity
Figure 6 presents the air velocity box plot for ESS buildings. Since Station A3 is fully open, it has the highest air velocity in both summer and winter, with the instantaneous maximum wind speed reaching 4.19 m/s in summer and 10.97 m/s in winter. The openness primarily determines air velocity, so regardless of the season, the air velocity in the concourse is always lower than that on the platform. Station A1 has a larger spatial scale, resulting in more frequent internal air changes, so its air velocity is similar to that of semi-open stations. For the two stations on Line 2, in summer, the outdoor temperature is higher than the internal temperature, and due to the thermal pressure difference, outdoor air can flow into the interior more rapidly, resulting in a certain wind speed. In winter, due to the indoor temperature being higher than the outdoor temperature, combined with the station’s enclosed structure, airflow struggles to reach the interior. Additionally, the half-PSD blocks some of the parallel airflow, redirecting it upward, resulting in lower air velocity on platforms with PSDs.
Figure 6.
Box plot of air velocity in elevated subway stations. (a) Summer. (b) Winter.
By comparing the air velocity in summer with that in winter, it can be observed that in the smaller and relatively open stations A2 and A3, the average air velocity varies slightly. Station A1, due to its larger building scale, also exhibits minor fluctuations. However, B1 and B2 stations, due to platform length, PSDs, and thermal pressure differences caused by architectural space forms, undergo more substantial alterations. Therefore, the design of Line 2 stations is more benefited around passive regulation of air velocity in both summer and winter.
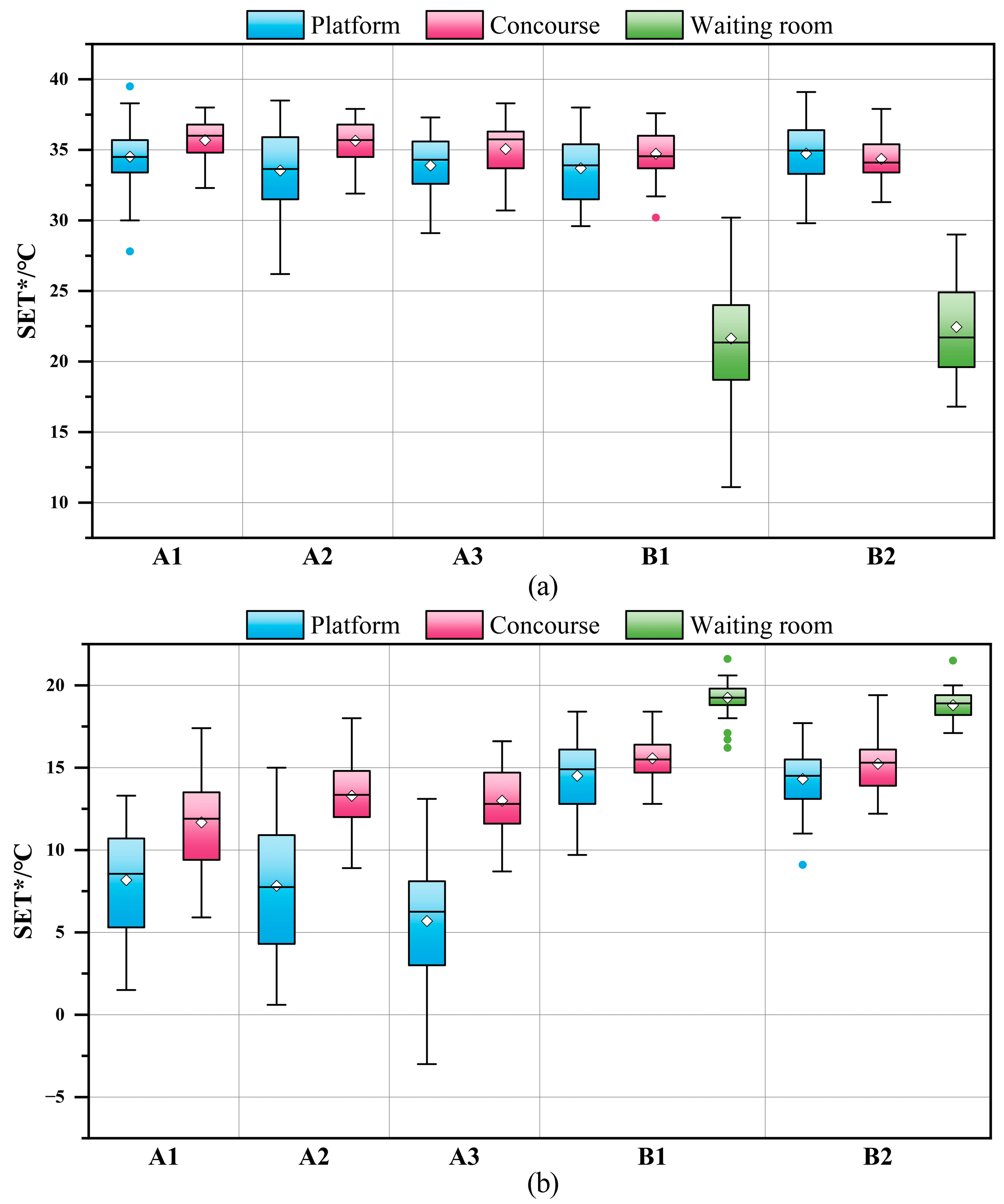
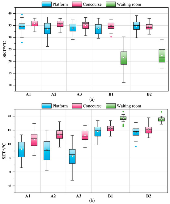
3.2.4. Standard Effective Temperature
The above are the field measurements of the single thermal environment at stations. To evaluate passengers’ thermal perception in a comprehensive and objective manner, the SET* of passengers was calculated using Matlab software 2022b and presented as a box plot in Figure 7. Based on Table 6, the thermal comfort range is from 17.5 to 30.0 °C. Figure 7a illustrates the summer SET* box plot, where almost all platforms and concourses are in the overheating zone, with little difference among them. The AC waiting rooms remain within the comfort zone, sometimes even “Slightly cool”. Figure 7b shows the winter results. The SET* difference in concourses is small, but for platforms, station A3’s SET* is much lower, due to the open environment causing excessively low temperatures and high air velocity. The SET* for the platforms at the two Line 2 stations is significantly higher than that for those of Line 1. The SET* of the AC waiting rooms meets the minimum comfort requirement but still falls within the “Slightly cool” range.
Figure 7.
Box plot of SET* in elevated subway stations. (a) Summer. (b) Winter.
3.2.5. Thermal Environment Analysis
Thermal imaging devices allow for the observation of the internal thermal distribution of the station. The thermal conditions of the platforms and concourse during the hottest time from 12:00 to 2:00 PM in summer are presented in Figure 8. In the context of the platforms, with the exception of the central area of A1 and A3, other stations are substantially influenced by the skylights. Specifically, the outer section of platform A1 is characterized by a lower elevation and a higher density of skylights, resulting in concentrated solar radiation. The ground temperature beneath the skylights measures 44.8 °C, representing a 4.6 °C increase compared to the 40.2 °C of the adjacent ground surface. However, due to the large spacing and high height of the skylights in the middle of the platform, the heat distribution is relatively uniform. In addition, it can be clearly observed at stations A2 and B1 that sunlight can also significantly increase the ground temperature near the skylights. Due to the large width and height of the concourse, sunlight has difficulty reaching the interior, resulting in very high temperatures on the sides but a more stable internal thermal environment.
Figure 8.
Thermal imaging of the platform and concourse.
The installation of facade shading in the station can effectively block solar radiation. The shell shape of the concourse at Station B1 reduces the temperature of the concourse by 3.5 °C. At Station A1, the temperature of the louvers registers 53.7 °C, while the ground surface temperature is 39.5 °C, indicating a temperature reduction of 14.2 °C. For Station A2, the temperature of the exterior windows is 57 °C, and the ground surface temperature is 42.3 °C, demonstrating a temperature decrease of 14.7 °C. At Station A3, the exterior window temperature is 45.1 °C, and the ground surface temperature is 36.6 °C, reflecting a temperature reduction of 8.5 °C. Evidently, the installation of louvers or sun shading curtains on exterior windows can effectively absorb and impede heat transfer, thereby mitigating the direct influence of solar radiation on the interior space of the station.
The illuminance of five stations was measured to quantify the effects of solar radiation. As specified in Urban Rail Transit Lighting (GB/T 16275—2008) [52], the illuminance of elevated platforms must be at least 100 lx, while concourse and waiting rooms require a minimum of 200 lx. The measured results are shown on the right side of Figure 9, while the roof and platform conditions are displayed on the left. The results show that the annual illuminance of the platforms meets the minimum requirement of 100 lx. Among them, Platform B2 has excessively large and concentrated skylight areas and records the highest average illuminance, surpassing 4000 lx, resulting in excessive heat in the station. Despite having the highest skylight ratio, Platform A1 exhibits the lowest illuminance. Three primary factors contribute to this phenomenon. First, the relatively large spacing between skylights ensures even lighting without causing solar radiation to concentrate. Second, the station’s large scale causes solar radiation to undergo multiple reflections and scatterings within the expansive space, resulting in intensity attenuation. Finally, the central urban location of Station A1 allows surrounding buildings to partially shield it from solar radiation. In the concourses, B1 and B2 use artificial lighting during the day to meet the 200 lx minimum standard in summer. However, with a width-to-height ratio often exceeding 5:1, lighting is extremely uneven between the sides and the interior. The average illuminance in all concourses falls below the standard.
Figure 9.
Average illuminance of the elevated station. Note: PF is the platform; CC is the concourse; WR is the air-conditioned waiting room.
This suggests that in ESS buildings, platform illumination is excessively high, making solar radiation a major factor influencing the thermal environment. Conversely, the concourse has limited access to natural lighting, leading to a relatively stable indoor thermal environment.
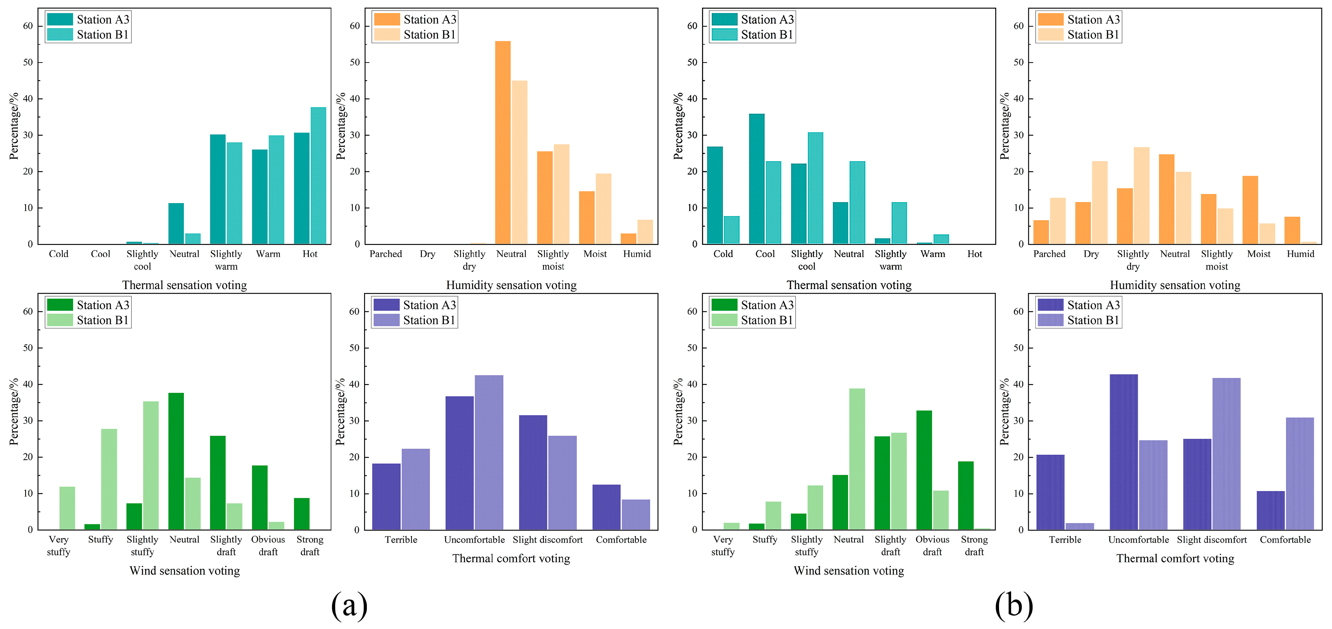
3.3. Questionnaire Results
Based on the evaluation of the thermal environment impacts of the architectural space forms of the five stations, the two most contrasting stations were selected: the fully open Line 1 A3 station and the fully enclosed Line 2 B1 station. The subjective evaluations of passengers at these two stations were analyzed for more representative findings [53,54]. Figure 10 shows the voting results for thermal, humidity, wind, and comfort perceptions throughout the year at the two stations. In Figure 10a, a higher proportion of passengers in summer felt that the B1 station was hot. Neutral voting rates at A3 and B1 stations were 11.6% and 3.2%, respectively, with no votes indicating that the stations were “Cool” or “Cold” during summer. Neutral votes for the humidity at the two stations were 56.1% and 45.2%, suggesting that most passengers were familiar with Wuhan’s humid climate. The perception of wind differed greatly between the two stations, with 52.9% of passengers at A3 reporting sensations ranging from “Slightly draft” to “Strong draft”, compared to just 9.9% at B1. At station A3, 37.9% of passengers felt the wind environment was “Neutral”. The stark contrast in openness between the two stations led to pronounced differences in passengers’ perceptions of the wind environment. At stations A3 and B1, 44.5% and 34.7% of passengers, respectively, reported feeling “Comfortable” or “Slightly discomfort”. Overall, the open A3 station is clearly more favored by passengers in summer.
Figure 10.
Subjective perception statistics of station thermal environment. (a) Passenger perception in summer. (b) Passenger perception in winter.
Figure 10b presents the winter subjective evaluations. At stations A3 and B1, 63.2% and 31.1% of passengers, respectively, felt “Cold” or “Cool”, while 23.1% of passengers at B1 felt “Neutral”, showing that the enclosed B1 station offers a much better thermal sensation in winter compared to A3. The percentages of passengers rating the stations as “Humid” or “Moist” were primarily recorded during rainy periods, at 26.8% and 6.8%, respectively, due to A3’s open platform causing rain and snow to enter. Conversely, passengers perceived the environment as “Parched” or “Dry” mainly during periods of dry cold air, at 18.7% and 36.1%, respectively, as the enclosed design of B1 prevents outdoor water vapor from entering. At A3 station, 52.0% of passengers reported “Strong draft” or “Obvious draft”, exceeding half, while 78.4% of passengers rated B1’s wind environment between “Slightly stuffy” and “Slightly draft”, indicating that passengers prefer the calmer wind conditions at B1 in winter. About 73.1% of passengers at B1 considered the conditions as “Comfort” or “Slight discomfort”, while only 36.1% at A3 shared this view. Consequently, the comfort level for passengers at B1 in winter is roughly double that of A3.
Overall, the questionnaire indicates that passengers have a high tolerance for humidity. In summer, both stations are very hot, with no significant differences between them, but passengers prefer the higher airspeed at A3 station to alleviate thermal discomfort. However, in winter, most passengers prefer the enclosed space, and the number of comfortable passengers is twice that in the open space.
Combining the questionnaire with the measured data in Section 3.2, and taking A3 station in summer as an example, it is found that although the average temperature on the platform in summer is 35.4 °C, with a maximum of 38.1 °C, it far exceeds the comfort range of not exceeding 35 °C in GB50157-2013 [51] and the recommended 25–27 °C in ASHRAE 55 [55]. This indicates that natural ventilation cannot meet traditional indoor standards under extreme climates. However, passengers alleviated thermal discomfort through behavioral adaptation (e.g., preferring higher air velocity), with the maximum air velocity reaching 4.19 m/s in summer, much higher than the recommended limit of 0.8 m/s in ASHRAE 55 [56]. The questionnaire results indicate a high level of acceptance of this high air velocity among passengers. This contradiction highlights the necessity of dynamic thermal adaptation in semi-outdoor environments and suggests that traditional standards need to be contextually modified.
To evaluate the difference between passengers’ thermal sensation and the predicted thermal sensation (PTS) [57] in the HSCW region, the SET*—PTS curve was first plotted based on Table 6 [58]. Then, the SET* values from the A3 and B1 station surveys were divided into intervals of 0.5 °C using the temperature frequency method (bin method). The average SET* of each interval was used as the independent variable, and the mean thermal sensation (MTS) was used as the dependent variable for linear fitting with SET*. The MTS and SET*—PTS curves for both stations were plotted in Figure 11. The advantage of PTS is that it reflects the independent characteristics of different types and presents the adaptability differences across various populations. The slope of the fitting line reflects the difference in passengers’ thermal adaptability [59]. A smaller slope at the same SET* indicates stronger heat adaptation. The intercept of the fitting line reflects the neutral SET*.
Figure 11.
Plot of the fitting between SET* and MTS.
The MTS—SET* relationships for both stations are summarized in Equations (9)–(12), which are as follows:
During the summer,
where MTS is the mean thermal sensation; SET* is the standard effective temperature; R2 is the coefficient of determination; and p is the level of significance.
MTSA3S = 0.22829 SET* − 6.56095 (R2 = 0.98536, p < 0.001)
MTSB1S = 0.24768 SET* − 6.72049 (R2 = 0.98248, p < 0.001)
During the winter,
MTSA3W = 0.15317 SET* − 3.58893 (R2 = 0.97424, p < 0.001)
MTSB1W = 0.22859 SET* − 5.02472 (R2 = 0.98762, p < 0.001)
In summer, the slopes for A3 and B1 are approximately 0.23 and 0.25, with neutral temperatures of 28.74 SET* °C and 27.13 SET* °C, respectively. In winter, the slopes are approximately 0.15 and 0.23, with neutral temperatures of 23.43 SET* °C and 21.98 SET* °C, respectively. This indicates that, whether in summer or winter, passengers at A3 have better heat adaptability than those at B1. The slope of SET*-PTS is similar to the passenger thermal sensation curve, but there is a significant difference in neutral temperature. Therefore, using SET* to assess passenger thermal comfort underestimates passengers’ thermal adaptability.
Figure 12 shows the differences in thermal sensation votes among passengers of different genders, conditions, ages, and travel frequencies. Figure 12a indicates that women exhibit greater heat tolerance in summer, whereas men demonstrate higher cold tolerance in winter. Figure 12b shows the thermal sensation differences among passengers at two stations under different positions and seasons. During summer, sitting alleviates thermal discomfort compared to standing. In winter, however, contrasting results emerge: passengers standing at Station A3 feel colder, while those sitting at Station B1 feel colder. This is attributed to the higher air velocity at Station A3, where standing increases the body’s heat dissipation area, whereas at Station B1, standing areas receive more solar radiation, and the lower internal air velocity makes standing warmer. Figure 12c indicates that elderly passengers exhibit greater heat tolerance in summer but reduced cold tolerance in winter compared to younger passengers. Figure 12d shows that passengers with high travel frequency demonstrate enhanced thermal adaptability in both summer and winter. Frequent travelers, typically daily commuters, tend to adopt clothing strategies aligned with the day’s weather and promptly identify the most comfortable waiting spots upon reaching the platform.
Figure 12.
Differences in thermal sensation under varying conditions. (a) Gender difference. (b) Condition difference. (c) Age difference. (d) Times/week difference.
3.4. Transition Process Analysis
To ascertain the reasons behind the observed difference in thermal adaptability between passengers at station A3 and station B1, both in summer and winter (as discussed in Section 3.3), a comprehensive survey and detailed field measurements of the transition process at both stations (Figure 13) were conducted to identify the underlying causes. As shown in Figure 13, both stations are located in the middle of the road, requiring passengers to ascend stairs on either side and then proceed through corridors to reach the concourse. At B1 station, the entrance is located on one side alone, where passengers can take an escalator to enter the corridor, passing through the concourse and platform before finally reaching the AC waiting room. On the other hand, passengers at A3 station must first enter its ancillary building, which has better thermal insulation, and then walk upstairs to the corridor. From there, they pass through a more open corridor and the concourse before reaching the platform. A3 station does not have an AC waiting room.
Figure 13.
The environmental conditions during the passenger transition process.
Analysis of the transition processes at both stations reveal important differences. At B1 station, passengers’ metabolic rates are relatively low at entry, and as they move from the gateway to the platform and AC waiting room, they gradually transition from a cold environment to a relatively warm one. As the thermal comfort survey is conducted on the platform, passengers are more sensitive to cold at this stage. In contrast, at A3 station, the entrance building has better thermal insulation and the walk up the stairs allows passengers to accumulate heat. As they move from the entrance to the platform, their bodies transition from warm to cold, leading to a higher tolerance to the cold.
This thermal adaptation process highlights the importance of the environmental characteristics of the transition process. A3 passengers are better able to tolerate thermal discomfort due to the warmer conditions they experience upon entry and the accumulation of heat during the transition process.
The parameters for calculating RWI and HDR are derived from passengers’ basic activity information and the physical environment during their transition from outdoors to the carriage. These values are substituted into Equations (1)–(8) from Section 2.5 for computation. The parameters and results are summarized in Table 7. It is assumed that passengers’ clothing in outdoor areas meets thermal comfort requirements, so the HDR for passengers in outdoor areas is set to 0 [14,60].
Table 7.
Parameters of passenger’s whole transition process.
The results of the calculations for each node in Table 7 are presented in Figure 14. The results show that in summer, passengers at both stations experience a cooling process after entering the station. At B1 station, the lowest RWI value is recorded when passengers reach the AC waiting room, even falling below 0. At A3 station, the lowest RWI is calculated at the platform, at 0.68. This is significantly lower than the 0.81 calculated at the concourse. For station B1, the RWI at the platform is 0.66. Generally, RWI values in this range indicate that both stations are in extremely hot environments, suggesting high levels of heat stress, which are characteristic of extremely hot conditions for passengers and potentially impact station operations and comfort.
Figure 14.
Variation of RWI and HDR at various nodes of the station.
In the winter, A3 station experiences a gradual increase in heat loss during the transition process, with the maximum heat loss occurring on the platform, reaching −99.30 W/m2, a heat loss increased by 32.7% compared to the entrance. The process of passengers transitioning within the station helps passengers continuously adapt to the cold environment. In contrast, B1 station shows a decrease in heat loss as passengers enter the station. At the station entrance, the HDR is −105.15 W/m2, while at the station platform, the HDR is −84.61 W/m2. Moreover, the lowest heat loss occurs in the waiting room, with an HDR of −66.96 W/m2. Passengers reduce heat loss by 36.3% during the transition process through the subway station, which leads them to feel noticeably warmer. The comfort range of the HDR is between 0 and −56 W/m2 [61]. When HDR = 0, there is no heat debt for the human body. However, due to the body’s ability to retain heat, cold discomfort begins when the heat debt reaches −100 kJ/m2, corresponding to HDR ≤ −100 W/m2. Therefore, in winter, although passengers in the waiting room of station B1 continue to lose heat, the rate of heat loss is much lower than on the platform of station A3. The above calculation results corroborate findings in Section 3.3 and confirm the existence of thermal perception delay and heat accumulation phenomena as passengers enter the station.
4. Conclusions
A comprehensive year-round empirical study was conducted on elevated subway stations (ESS) in the hot summer and cold winter region, yielding the following conclusions:
- (1)
- ESS buildings with natural ventilation experience high temperatures in summer, but enclosed stations are significantly warmer than open stations in winter. Skylights represent crucial factors affecting station temperature. Increasing the skylight spacing or height or reducing the skylight ratio can substantially reduce the thermal radiation of the platform. The distance between the platform edge and the outdoors, platform form, and station openness influence station humidity. Openness and platform scale affect the air velocity. Due to the concourse’s large width-to-height ratio, the environment on both sides is substantially impacted by the outdoors, but the internal environment remains relatively stable.
- (2)
- Standard effective temperature (SET*) is instrumental in identifying comfort differences between ESS buildings with various architectural space forms, but it underestimates passengers’ heat adaptation capacity. During summer, the neutral temperatures for passengers in open and enclosed stations are 28.74 SET* °C and 27.13 SET* °C, respectively. In winter, they are 23.43 SET* °C and 21.98 SET* °C, respectively. Men and older adults exhibit better heat tolerance but lower cold resistance. In summer, sitting is cooler than standing. However, in winter, in open environments, sitting is warmer. Moreover, passengers with a higher travel frequency exhibit stronger adaptation capacities. Most passengers are highly adaptable to the local humid environment, and airflow can substantially mitigate thermal discomfort.
- (3)
- In summer, the relative warm index (RWI) values for open and enclosed platforms are 0.68 and 0.66, respectively, showing that both are overheated. In winter, the heat deficit rate (HDR) values are −99.30 W/m2 for open platforms and −84.61 W/m2 for enclosed ones; compared to the entrance, the heat deficit of −99.302 W/m increases by 32.7%, while that of −84.61 W/m2 decreases by 36.3%. Environmental factors and changes in metabolic rate during the entire process of entering the station may lead passengers to encounter thermal perception delays and heat accumulation, affecting their thermal adaptation upon reaching the platform.
This study provides important references for the future design and renovation of architectural space forms in ESS buildings, as well as the formulation of related standards.
Author Contributions
Conceptualization, C.Z., T.M., and M.W.; data curation, C.Z. and C.Q.; formal analysis, C.Z., T.M., and M.W.; funding acquisition, S.X.; investigation, C.Z. and R.D.; methodology, C.Z.; project administration, M.W.; resources, C.Z.; software, C.Z.; supervision, S.X. and M.W.; validation, C.Z. and M.W.; visualization, C.Z. and C.Q.; writing—original draft, C.Z.; writing—review and editing, S.X., C.Q., T.M., R.D., and M.W. All authors have read and agreed to the published version of the manuscript.
Funding
This research was funded by the National Natural Science Foundation of China (No. 52378020), Urban Renewal and Transportation Joint Laboratory of Anhui Province (NO. 2024CSGX-KF01), and Hebei Culture and Art Science Planning and Tourism Research Project (HB22-YB113).
Data Availability Statement
The original contributions presented in this study are included in the article. Further inquiries can be directed to the corresponding author.
Acknowledgments
The authors also extend special thanks to the anonymous reviewers and editor for their valuable comments and recommendations for publishing this paper.
Conflicts of Interest
Author Congyue Qi was employed by the company China Construction Third Engineering Bureau Co., Ltd. The remaining authors declare that the research was conducted in the absence of any commercial or financial relationships that could be construed as a potential conflict of interest.
Nomenclature
| ESS | elevated subway station |
| SET* | standard effective temperature |
| PTS | predicted thermal sensation |
| URT | urban rail transit |
| VAC | ventilation and air conditioning |
| HSCW | hot summer and cold winter region |
| UTCI | Universal Thermal Climate Index |
| PET | physiological equivalent temperature |
| PMV | predicted mean vote |
| MTS | mean thermal sensation |
| HDR | heat deficit rate |
| Ta | air temperature, °C |
| RH | relative humidity, % |
| Va | air velocity, m/s |
| Tg | globe bulb temperature, °C |
| Lx | illuminance, lx |
| AC | air-conditioned |
| RWI | relative warm index |
| τ | elapsed time, s |
| M(τ) | metabolic rate, W/m2 |
| Icw | clothing thermal resistance, clo |
| Ia | clothing boundary layer air thermal resistance, clo |
| R | average heat radiated from body surface, W/m2 |
| D | heat deficit, J/m2 |
| Δτ | exposure duration, s |
| Icw1 | initial clothing thermal resistance, clo |
| Icw2 | final clothing thermal resistance, clo |
| M1 | initial metabolic rate, W/m2 |
| M2 | final metabolic rate, W/m2 |
| PF | platform |
| CC | concourse |
| WR | air-conditioned waiting room |
| MTSA3S | mean thermal sensation of station A3 in summer |
| R2 | coefficient of determination |
| p | level of significance |
| MTSB1S | mean thermal sensation of station B1 in summer |
| MTSA3W | mean thermal sensation of station A3 in winter |
| MTSB1W | mean thermal sensation of station B1 in winter |
References
- Han, B.M.; Yu, Y.R.; Xi, Z.; Sun, Y.J.; Lu, F.; Li, S.W.; Li, Z.; Huang, S.; Hu, J.; Sang, Y.; et al. Statistical Analysis of Urban Rail Transit Operations Worldwide in 2023: A Review. Urban Rapid Rail Transit. 2024, 37, 1–9. (In Chinese) [Google Scholar] [CrossRef]
- China Association of Metro. 2022 Urban Rail Transit Statistical and Analytical Report [EB/OL]. 31 March 2023. Available online: https://www.camet.org.cn/xytj/tjxx/11944.shtml (accessed on 13 November 2024).
- Yang, J.; Liu, M.; Zhang, H.; Zheng, W.; You, S.; Cui, T. Ventilation and energy performance study on platform screen doors with adjustable vents in a subway station. Tunn. Undergr. Space Technol. 2022, 120, 104291. [Google Scholar] [CrossRef]
- National Energy Administration. Total Electricity Consumption in 2023 Increased by 6.7% Compared to the Previous Year [EB/OL]. 8 January 2024. Available online: https://www.nea.gov.cn/2024-01/18/c_1310760885.htm (accessed on 13 November 2024).
- National Energy Administration. Total Electricity Consumption in 2018 Increased by 8.5% Compared to the Previous Year [EB/OL]. 8 January 2019. Available online: https://www.nea.gov.cn/2019-01/18/c_137754978.htm (accessed on 13 November 2024).
- Gao, W.; Cui, M.; Pan, E.; Loo, B.P.Y. Green commuting within the x-minute city: Towards a systematic evaluation of its feasibility. J. Transp. Geogr. 2024, 121, 104003. [Google Scholar] [CrossRef]
- Wang, R.; Wu, W.; Yao, Y.; Tan, W. “Green transit-oriented development”: Exploring the association between TOD and visible green space provision using street view data. J. Environ. Manag. 2023, 344, 118093. [Google Scholar] [CrossRef] [PubMed]
- Yin, H.; Guo, H.; Tang, Z.; Yu, J.; Lu, H. Conventional and advanced exergy analyses of an air-conditioning system in a subway station. Int. J. Exergy 2019, 29, 236–262. [Google Scholar] [CrossRef]
- Yin, H.; Yang, C.; Yi, L.; Yu, J.; Wu, Y.; Deng, Y.; Tang, Z. Ventilation and air conditioning system of deep-buried subway station in sub-tropical climates: Energy-saving strategies. Appl. Therm. Eng. 2020, 178, 115555. [Google Scholar] [CrossRef]
- Guan, B.; Liu, X.; Zhang, T.; Xia, J. Energy consumption of subway stations in China: Data and influencing factors. Sustain. Cities Soc. 2018, 43, 451–461. [Google Scholar] [CrossRef]
- Bi, H.; Zhou, Y.; Liu, J.; Wang, H.; Yu, T. Load forecast and fuzzy control of the air-conditioning systems at the subway stations. J. Build. Eng. 2022, 49, 104029. [Google Scholar] [CrossRef]
- Su, Z.; Li, X. Sub-system energy model based on actual operation data for subway stations. Sustain. Cities Soc. 2020, 52, 101835. [Google Scholar] [CrossRef]
- Passi, A.; Nagendra SM, S.; Maiya, M.P. Characteristics of indoor air quality in underground metro stations: A critical review. Build. Environ. 2021, 198, 107907. [Google Scholar] [CrossRef]
- Cao, M.; Li, Z.; Zhao, X.; Zhang, L.; Duan, X. Heat deficit mitigation strategies for elevated rail stations in cold regions of China based on thermal comfort assessment. Build. Environ. 2023, 228, 109904. [Google Scholar] [CrossRef]
- Pitts, A.; Saleh, J.B. Potential for energy saving in building transition spaces. Energy Build. 2007, 39, 815–822. [Google Scholar] [CrossRef]
- Su, Z.; Li, X. Analysis of energy-saving for ventilation and air-conditioning system of subway stations with platform screen doors. J. Build. Eng. 2022, 59, 105064. [Google Scholar] [CrossRef]
- Xu, L.; Ding, Y.; Du, C. Thermal performance assessment of exterior building walls under intermittent air-conditioning operation in China’s hot summer and cold winter zone. J. Build. Eng. 2024, 95, 110204. [Google Scholar] [CrossRef]
- Lee, J.; Sohn, K. Identifying the Impact on Land Prices of Replacing At-grade or Elevated Railways with Underground Subways in the Seoul Metropolitan Area. Urban Stud. 2013, 51, 44–62. [Google Scholar] [CrossRef]
- Ignjačević, P.; Botzen, W.; Estrada, F.; Daanen, H.; Lupi, V. Climate-induced mortality projections in Europe: Estimation and valuation of heat-related deaths. Int. J. Disaster Risk Reduct. 2024, 111, 104692. [Google Scholar] [CrossRef]
- Yang, J.; Fan, X.; Zhang, H.; Zheng, W.; Ye, T. A review on characteristics and mitigation strategies of indoor air quality in underground subway stations. Sci. Total Environ. 2023, 869, 161781. [Google Scholar] [CrossRef] [PubMed]
- Wen, Y.; Leng, J.; Shen, X.; Han, G.; Sun, L.; Yu, F. Environmental and Health Effects of Ventilation in Subway Stations: A Literature Review. Int. J. Environ. Res. Public Health 2020, 17, 1084. [Google Scholar] [CrossRef]
- Deb, C.; Ramachandraiah, A. Evaluation of thermal comfort in a rail terminal location in India. Build. Environ. 2010, 45, 2571–2580. [Google Scholar] [CrossRef]
- Zhang, Y.F.; Yuan, Y.P.; Cao, X.L.; He, L. The Research of the Thermal Environment based on the Measurement and Questionnaire on Platform in Makkah Metro Project. Refrig. Air Cond. 2014, 28, 464–468. (In Chinese) [Google Scholar]
- Han, J.; Kwon, S.; Chun, C. Indoor environment and passengers’ comfort in subway stations in Seoul. Build. Environ. 2016, 104, 221–231. [Google Scholar] [CrossRef]
- Yang, B.; Yang, C.; Ni, L.; Wang, Y.; Yao, Y. Investigation on thermal environment of subway stations in severe cold region of China: A case study in Harbin. Build. Environ. 2022, 212, 108761. [Google Scholar] [CrossRef]
- ASHRAE Standard 55 (No. 2013); Thermal Environmental Conditions for Human Occupancy. American Society of Heating, Refrigerating and Air-Conditioning Engineers Inc.: Tullie Cir NE Atlanta, GA, USA, 2013.
- ISO 7730:2005; Ergonomics of the Thermal Environment-Analytical Determination and Interpretation of Thermal Comfort Using Calculation of the PMV and PPD Indices and Local Thermal Comfort Criteria. ISO: Genève, Switzerland, 2005.
- Li, R.; Liu, J.; Chen, X.; Zhang, W.; Lei, T.; Chen, J.; Xia, Y.; Bantserova, O.L. Transient thermal comfort during summer in air-conditioned indoor and naturally ventilated transitional spaces − A field study in Zhengzhou, China. Energy Build. 2025, 328, 115122. [Google Scholar] [CrossRef]
- Yuan, J.; Yu, Q.; Yao, S.; Ma, X.; Sun, Z. Multi-objective optimization for the daylighting and thermal comfort performance of elevated subway station buildings in cold climate zone of China. J. Build. Eng. 2023, 78, 107771. [Google Scholar] [CrossRef]
- Pan, S.; Liu, Y.; Xie, L.; Wang, X.; Yuan, Y.; Jia, X. A thermal comfort field study on subway passengers during air-conditioning season in Beijing. Sustain. Cities Soc. 2020, 61, 102218. [Google Scholar] [CrossRef]
- Chen, Z.; Xie, X.; Hu, H.; Zhou, X.; Yang, Y.; Song, W.; Luh, D.B.; Li, X. Field investigation on thermal comfort of metro passengers in hot summer and warm winter zone of China: A case study in Guangzhou. Energy Build. 2024, 320, 114633. [Google Scholar] [CrossRef]
- Assimakopoulos, M.N.; Katavoutas, G. Thermal Comfort Conditions at the Platforms of the Athens Metro. Procedia Eng. 2017, 180, 925–931. [Google Scholar] [CrossRef]
- Ding, Y.; Hou, Y. Analysis of indoor environment state characteristics of urban rail transit stations based on actual measurements in Chongqing, China. Energy Build. 2022, 277, 112544. [Google Scholar] [CrossRef]
- Passi, A.; Shiva Nagendra, S.M.; Maiya, M.P. Evaluation of comfort perception of passengers in urban underground metro stations. Energy Sustain. Dev. 2022, 68, 273–288. [Google Scholar] [CrossRef]
- Xiao, F.M.; Yi, K.; Zhang, Y.X.; Zang, J.B.; Song, C. Research and optimization of airflow organization in passenger room of subway train. In Proceedings of the 3rd International Conference on Advanced Manufacturing Technology and Manufacturing Systems, Changsha, China, 17–20 December 2024; Volume 13226, p. 132261T. [Google Scholar] [CrossRef]
- Huang, J.; Ding, W.; Han, J. Wuhan. In Towards Low Carbon Cities in China; Routledge: London, UK, 2014; pp. 122–146. [Google Scholar]
- Yu, J.; Tao, F.; Chen, L.; Zhou, T. SUHI evolution characteristics and influencing mechanism of eight furnace cities in middle and lower reaches of Yangtze River, China. Urban Clim. 2024, 58, 102182. [Google Scholar] [CrossRef]
- GB/T 5699-2017; Method of Daylighting Measurements. Standards Press of China: Beijing, China, 2017.
- Silva, A.S.; Ghisi, E.; Lamberts, R. Performance evaluation of long-term thermal comfort indices in building simulation according to ASHRAE Standard 55. Build. Environ. 2016, 102, 95–115. [Google Scholar] [CrossRef]
- GB/T 50785-2012; Evaluation Standard for Indoor Thermal Environment in Civil Buildings. Standards Press of China: Beijing, China, 2012.
- Buonomano, A.; Forzano, C.; Giuzio, G.F.; Palombo, A.; Russo, G. Energy efficiency and indoor thermal comfort of railway carriages: Development of an innovative passenger-centric-control framework for HVAC systems. Energy 2024, 307, 132440. [Google Scholar] [CrossRef]
- Yang, L.; Chen, Z.; Zhen, M. Effects of thermal-acoustic interaction on airport terminal’s indoor thermal comfort: A case study in cold region of China. J. Build. Eng. 2024, 86, 108834. [Google Scholar] [CrossRef]
- Thapa, S.; Rijal, H.B.; Zaki, S.A. District-wise evaluation of meteorological factors and outdoor thermal comfort in India using UTCI–Insight into future climatic scenario. Sustain. Cities Soc. 2024, 116, 105840. [Google Scholar] [CrossRef]
- Zhen, M.; Yuan, X.; Gao, L.; Xia, W.; Nan, K.; Zhang, M. Outdoor thermal comfort of urban plaza space under thermoacoustic interactions –Taking Datang Everbright City as an example. Build. Environ. 2025, 267, 112327. [Google Scholar] [CrossRef]
- Jia, X.; Li, S.; Zhu, Y.; Du, Z.; Cao, B. Development of the Universal Standard Effective Temperature for evaluating thermal comfort across different metabolic rates. Build. Environ. 2024, 250, 111149. [Google Scholar] [CrossRef]
- Gagge, A.P.; Fobelets, A.P.; Berglund, L. A standard predictive index of human response to the thermal environment. Ashrae Trans. 1986, 92, 709–731. [Google Scholar]
- Yuan, L.; Wang, K.; Xue, S.; Yin, S.; Zhan, Q.; Chao, X. Assessing and enhancing the applicability of standard effective temperature in outdoor thermal sensation prediction for continental climates. Energy Build. 2024, 305, 113894. [Google Scholar] [CrossRef]
- Parsons, K. Human Thermal Environments: The Effects of Hot, Moderate, and Cold Environments on Human Health, Comfort and Performance; CRC Press: Boca Raton, FL, USA, 2007. [Google Scholar]
- US Department of Transportation. Subway Environmental Design Handbook; Principles and Applications; Urban Mass Transportation Administration Office of Research and Development: Washington, DC, USA, 1976; Volume I. [Google Scholar]
- Abbaspour, M.; Jafari, M.J.; Mansouri, N.; Moattar, F.; Nouri, N.; Allahyari, M. Thermal comfort evaluation in Tehran metro using Relative Warmth Index. Int. J. Environ. Sci. Technol. 2008, 5, 297–304. [Google Scholar] [CrossRef]
- GB 50157-2013; Code for Design of Metro. Standards Press of China: Beijing, China, 2014.
- GB/T 16275-2008; Urban Rail Transit Lighting. Standards Press of China: Beijing, China, 2009.
- Ahmed, S.K. How to choose a sampling technique and determine sample size for research: A simplified guide for researchers. Oral Oncol. Rep. 2024, 12, 100662. [Google Scholar] [CrossRef]
- Chen, X.; Wang, L.; Li, W.; Yang, Y.; Yang, E.; Deng, C. Mitigating data imbalance and noise: A divergence-based approach with enhanced sample selection. Neurocomputing 2024, 605, 128269. [Google Scholar] [CrossRef]
- Lila, A.; Sharmin, T.; Khalil, A.; Ismaeel, W.S.; Karram, M.; Ewida, S.; Zacharia, M.M.; Ammar, H.M. Thermal comfort study in MSMEs in Cairo using onsite measurements and optimization algorithm. In Building Simulation 2023, Proceedings of the 18th Conference of IBPSA, Shanghai, China, 4–6 September 2023; IBPSA: Colorado Springs, CO, USA, 2023; pp. 290–297. [Google Scholar]
- Luo, M.; Zhang, H.; Raftery, P.; Zhou, L.; Parkinson, T.; Arens, E.; He, Y.; Present, E. Detailed measured air speed distribution in four commercial buildings with ceiling fans. Build. Environ. 2021, 200, 107979. [Google Scholar] [CrossRef]
- Ji, W.; Zhu, Y.; Cao, B. Development of the Predicted Thermal Sensation (PTS) model using the ASHRAE Global Thermal Comfort Database. Energy Build. 2020, 211, 109780. [Google Scholar] [CrossRef]
- Zheng, Z.; Zhang, Y.; Mao, Y.; Yang, Y.; Fu, C.; Fang, Z. Analysis of SET* and PMV to evaluate thermal comfort in prefab construction site offices: Case study in South China. Case Stud. Therm. Eng. 2021, 26, 101137. [Google Scholar] [CrossRef]
- Hou, Y.; Cao, B.; Zhu, Y.; Zhang, H.; Yang, L.; Duanmu, L.; Lian, Z.; Zhang, Y.; Zhai, Y.; Wang, Z.; et al. Temporal and spatial heterogeneity of indoor and outdoor temperatures and their relationship with thermal sensation from a global perspective. Environ. Int. 2023, 179, 108174. [Google Scholar] [CrossRef] [PubMed]
- Jin, C.Y. Combining thermodynamics with architectural design concepts: Thermal comfort and sustainability of railway passenger stations. Int. J. Heat Technol. 2023, 41, 1374–1382. [Google Scholar] [CrossRef]
- Kong, X.; Qiao, X.; Yuan, G. Investigation of thermal environment and the associated energy consumption of transportation buildings along the expressways in the cold region of China: A case study. Energy Built Environ. 2020, 1, 278–287. [Google Scholar] [CrossRef]
Disclaimer/Publisher’s Note: The statements, opinions and data contained in all publications are solely those of the individual author(s) and contributor(s) and not of MDPI and/or the editor(s). MDPI and/or the editor(s) disclaim responsibility for any injury to people or property resulting from any ideas, methods, instructions or products referred to in the content. |
© 2025 by the authors. Licensee MDPI, Basel, Switzerland. This article is an open access article distributed under the terms and conditions of the Creative Commons Attribution (CC BY) license (https://creativecommons.org/licenses/by/4.0/).























